Energy-Efficient Power Allocation for Full-Duplex Device-to-Device Underlaying Cellular Networks with NOMA
Abstract
1. Introduction
- (1)
- We investigate FD D2D underlaying cellular networks with downlink NOMA, where two downlink cellular users form a group of NOMA users and the FD D2D users reuse the spectrum for NOMA users.
- (2)
- The system’s energy efficiency is maximized under the conditions of power constraints for all users, the successful SIC for NOMA users and the QoS requirements for FD D2D users and NOMA users.
- (3)
- The optimization problem in this paper is non-convex and non-linear fractional, which makes it difficult to obtain the optimal solution directly. Thus, a dual-layer iteration algorithm is proposed to deal with the problem. The outer-layer iteration algorithm is to solve a non-linear fractional problem based on Dinkelbach algorithm, and the inner-layer iteration algorithm, based on the difference of a concave or convex (D.C.) structure, is used to deal with the non-convex programming.
- (4)
- The performance of the proposed scheme is compared with the traditional orthogonal multiple access (OMA) scheme, which verifies the superiority of the proposed scheme in terms of energy efficiency.
2. System Model and Problem Formulation
2.1. System Model
2.2. Problem Formulation
3. Proposed Optimal Solution
3.1. Outer-Layer Iteration Algorithm
3.2. Inner-Layer Iteration Algorithm
| Algorithm 1 Complete Dual-layer Iteration Algorithm |
| Outer-layer iteration algorithm |
| Initialization: Set , tolerance and is a feasible solution of optimization problem (22), then obtain |
Repeat
|
| Inner-layer iteration algorithm |
| Initialization: Set , tolerance and is a feasible solution of optimization problem (22) |
Repeat
|
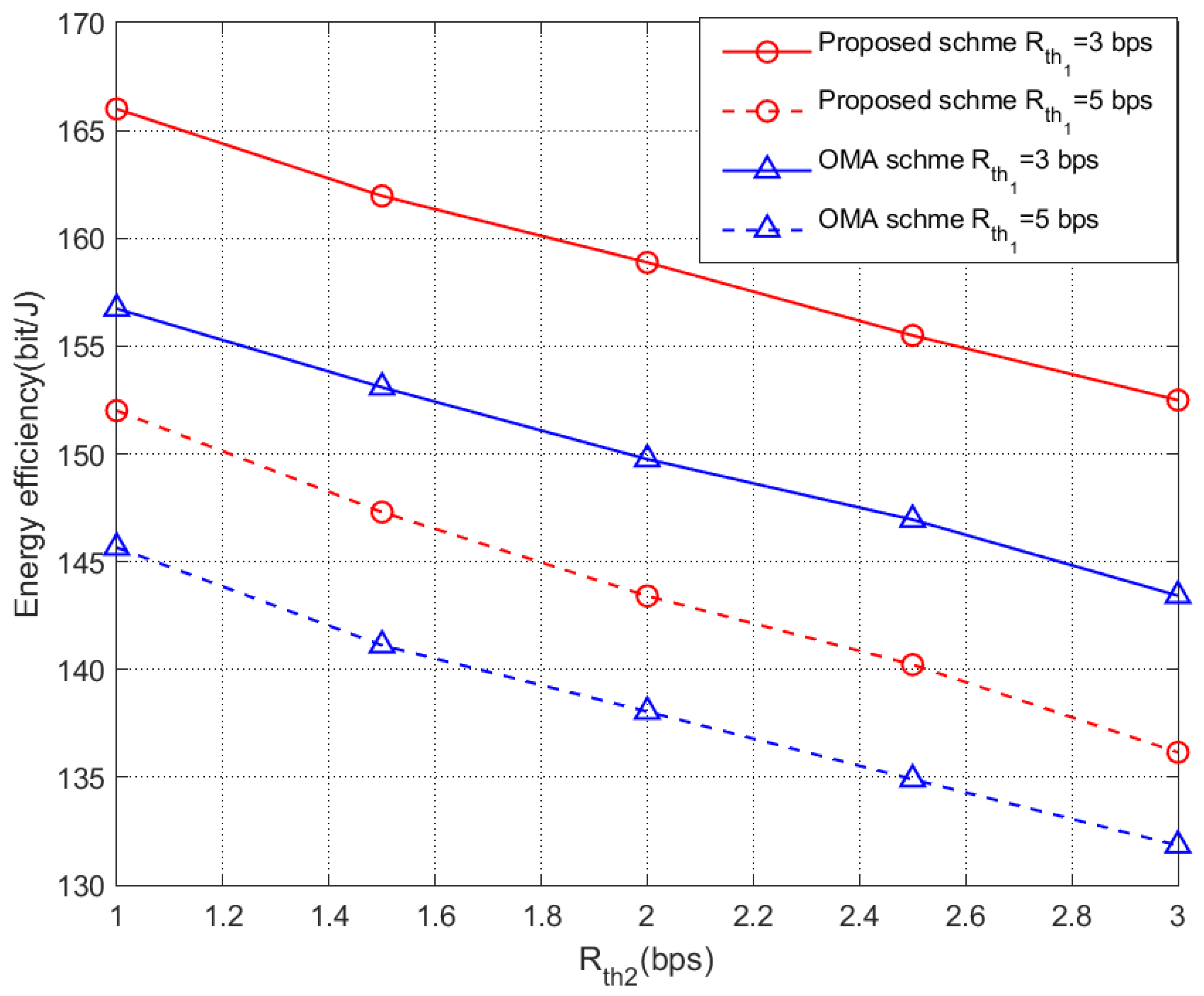
4. Simulation Results
5. Conclusions
Author Contributions
Funding
Institutional Review Board Statement
Informed Consent Statement
Data Availability Statement
Conflicts of Interest
References
- Li, L.; Hu, Y.; Zhang, H.; Liang, W.; Gao, A. Deep learning based physical layer security of D2D underlay cellular network. China Commun. 2020, 17, 93–106. [Google Scholar]
- Cai, Y.; Ni, Y.; Zhang, J.; Zhao, S.; Zhu, H. Energy efficiency and spectrum efficiency in underlay device-to-device communications enabled cellular networks. China Commun. 2019, 16, 16–34. [Google Scholar]
- Gu, W.; Zhu, Q. Stackelberg Game Based Social-Aware Resource Allocation for NOMA Enhanced D2D Communications. Electronics 2019, 8, 1360. [Google Scholar] [CrossRef]
- Sun, Y.; Wang, F.; Liu, Z. Coalition Formation Game for Resource Allocation in D2D Uplink Underlaying Cellular Networks. IEEE Commun. Lett. 2019, 23, 888–891. [Google Scholar] [CrossRef]
- Yadav, A.; Quan, C.; Varshney, P.K.; Poor, H.V. On Performance Comparison of Multi-Antenna HD-NOMA, SCMA, and PD-NOMA Schemes. IEEE Wireless Commun. Lett. 2021, 10, 715–719. [Google Scholar] [CrossRef]
- Huang, R.; Wan, D.; Ji, F.; Qing, H.; Li, J.; Yu, H.; Chen, F. Performance analysis of NOMA-based cooperative networks with relay selection. China Commun. 2020, 17, 111–119. [Google Scholar]
- Liu, G.; Wang, Z.; Hu, J.; Ding, Z.; Fan, P. Cooperative NOMA Broadcasting/Multicasting for Low-Latency and High-Reliability 5G Cellular V2X Communications. IEEE Internet Things J. 2019, 6, 7828–7838. [Google Scholar] [CrossRef]
- Mikhaylov, K.; Petrov, V.; Gupta, R.; Lema, M.A.; Galinina, O.; Andreev, S.; Koucheryavy, Y.; Valkama, M.; Pouttu, A.; Dohler, M. Energy Efficiency of Multi-Radio Massive Machine-Type Communication (MR-MMTC): Applications, Challenges, and Solutions. IEEE Commun. Mag. 2019, 57, 100–106. [Google Scholar]
- Sabuj, S.R.; Ahmed, A.; Cho, Y.; Lee, K.-J.; Jo, H.-S. Cognitive UAV-Aided URLLC and mMTC Services: Analyzing Energy Efficiency and Latency. IEEE Access 2021, 9, 5011–5027. [Google Scholar] [CrossRef]
- Lee, W.; Ban, T.-W.; Jung, B.C. Distributed Transmit Power Optimization for Device-to-Device Communications Underlying Cellular Networks. IEEE Access 2019, 7, 87617–87633. [Google Scholar]
- Du, Y.; Zhang, W.; Wang, S.; Xia, J.; Mohammad, H.A. Joint Resource Allocation and Mode Selection for Device-to-Device Communication Underlying Cellular Networks. IEEE Access 2021, 9, 29020–29031. [Google Scholar] [CrossRef]
- Wang, D.; Zhang, S.; Cheng, Q.; Zhang, X. Joint Interference Alignment and Power Allocation Based on Stackelberg Game in Device-to-Device Communications Underlying Cellular Networks. IEEE Access 2021, 9, 81651–81659. [Google Scholar] [CrossRef]
- Awan, A.Y.; Ali, M.; Naeem, M.; Qamar, F.; Sial, M.N. Joint Network Admission Control, Mode Assignment, and Power Allocation in Energy Harvesting Aided D2D Communication. IEEE Trans. Ind. Inform. 2020, 16, 1914–1923. [Google Scholar] [CrossRef]
- Zhang, R.; Jia, S.; Ma, Y.; Xu, C. Social-Aware D2D Video Delivery Method Based on Mobility Similarity Measurement in 5G Ultra-Dense Network. IEEE Access 2020, 8, 52413–52427. [Google Scholar] [CrossRef]
- Al-kahtani, M.S.; Ferdouse, L.; Karim, L. Energy Efficient Power Domain Non-Orthogonal Multiple Access Based Cellular Device-to-Device Communication for 5G Networks. Electronics 2020, 9, 237. [Google Scholar] [CrossRef]
- Alemaishat, S.; Saraereh, O.A.; Khan, I.; Choi, B.J. An Efficient Resource Allocation Algorithm for D2D Communications Based on NOMA. IEEE Access 2019, 7, 120238–120247. [Google Scholar] [CrossRef]
- Budhiraja, I.; Kumar, N.; Tyagi, S.; Tanwar, S.; Han, Z. An Energy Efficient Scheme for WPCN-NOMA Based Device-to-Device Communication. IEEE Trans. Veh. Technol. 2021, 70, 11935–11948. [Google Scholar] [CrossRef]
- Cheng, Y.; Liang, C.; Chen, Q.; Yu, F.R. Energy-Efficient D2D-Assisted Computation Offloading in NOMA-Enabled Cognitive Networks. IEEE Trans. Veh. Technol. 2021, 70, 13441–13446. [Google Scholar] [CrossRef]
- Chen, J.; Jia, J.; Liu, Y.; Wang, X.; Aghvami, A.H. Optimal Resource Block Assignment and Power Allocation for D2D-Enabled NOMA Communication. IEEE Access 2019, 7, 90023–90035. [Google Scholar] [CrossRef]
- Li, R.; Hong, P.; Xue, K.; Zhang, M.; Yang, T. Resource Allocation for Uplink NOMA-Based D2D Communication in Energy Harvesting Scenario: A Two-Stage Game Approach. IEEE Trans. Wirel. Commun. 2022, 21, 976–990. [Google Scholar] [CrossRef]
- Do, D.-T.; Nguyen, M.-S.V.; Le, A.-T.; Rabie, K.M.; Zhang, J. Joint Full-Duplex and Roadside Unit Selection for NOMA-Enabled V2X Communications: Ergodic Rate Performance. IEEE Access 2020, 8, 140348–140360. [Google Scholar] [CrossRef]
- Dang, H.-P.; Nguyen, M.-S.V.; Do, D.-T.; Pham, H.-L.; Selim, B.; Kaddoum, G. Joint Relay Selection, Full-Duplex and Device-to-Device Transmission in Wireless Powered NOMA Networks. IEEE Access 2020, 8, 82442–82460. [Google Scholar] [CrossRef]
- Dinh, P.; Arfaoui, M.A.; Sharafeddine, S.; Assi, C.; Ghrayeb, A. Joint User Pairing and Power Control for C-NOMA with Full-Duplex Device-to-Device Relaying. In Proceedings of the 2019 IEEE Global Communications Conference (GLOBECOM), Waikoloa, HI, USA, 9–13 December 2019; pp. 1–6. [Google Scholar]
- Duan, W.; Ji, Y.; Hou, J.; Zhuo, B.; Wen, M.; Zhang, G. Partial-DF Full-Duplex D2D-NOMA Systems for IoT with/without an Eavesdropper. IEEE Internet Things J. 2021, 8, 6154–6166. [Google Scholar] [CrossRef]
- Li, J.; Li, X.; Wang, A.; Ye, N. Beamspace MIMO-NOMA for Millimeter-Wave Broadcasting via Full-Duplex D2D Communications. IEEE Trans. Broadcast. 2020, 66, 545–554. [Google Scholar] [CrossRef]
- Chen, Y.; Zhang, G.; Xu, H.; Ren, Y.; Chen, X.; Li, R. Outage Constrained Design in NOMA-Based D2D Offloading Systems. Electronics 2022, 11, 256. [Google Scholar] [CrossRef]
- Jiang, J.; Guo, J.; Khan, M. Energy-saving Service Offloading for the Internet of Medical Things Using Deep Reinforcement Learning. ACM TOSN 2023, 19, 1–20. [Google Scholar] [CrossRef]
- Huang, H.; Yang, Y.; Ding, Z. Deep learning-based sum data rate and energy efficiency optimization for MIMO-NOMA systems. IEEE Trans. Wirel. Commun. 2020, 8, 5373–5388. [Google Scholar] [CrossRef]
- Jiang, F.; Zhang, L.; Sun, C. Clustering and resource allocation strategy for D2D multicast networks with machine learning approaches. China Commun. 2021, 18, 196–211. [Google Scholar] [CrossRef]
- Garcia, C.E.; Camana, M.R.; Koo, I. Ensemble Learning aided QPSO–Based Framework for Secrecy Energy Efficiency in FD CR-NOMA Systems. IEEE Trans. Green Commun. Netw. 2022, 7, 649–667. [Google Scholar] [CrossRef]
- Dinkelbach, W. On nonlinear fractional programming. Manag. Sci. 1967, 13, 492–498. [Google Scholar] [CrossRef]
- Ding, J.; Jiang, L.; He, C. Energy-Efficient Power Control for Underlaying Full-Duplex Device-to-Device Communications. In Proceedings of the 2017 Asia Modelling Symposium (AMS), Kota Kinabalu, Malaysia, 4–6 December 2017; pp. 155–160. [Google Scholar]
- Xu, C.; Song, L.; Han, Z.; Zhao, Q.; Wang, X.; Cheng, X.; Jiao, B. Efficiency Resource Allocation for Device-to-Device Underlay Communication Systems: A Reverse Iterative Combinatorial Auction Based Approach. IEEE J. Sel. Areas Commun. 2013, 31, 348–358. [Google Scholar] [CrossRef]







| Parameter | Value |
|---|---|
| Cell radius | 400 m |
| Channel bandwidth | 1 Hz |
| Path loss exponent, | 4 |
| Minimum power gap for successful SIC, | 10 dBm |
| Minimum rate requirement of , | 3, 5 bps |
| Minimum rate requirement of , | 1, 1.5, …, 3 bps |
| Minimum rate requirement of D2D, | 3, 5 bps |
| Circuit power, | 17 dBm |
| Tolerance, | |
| Noise density, | −169 dBm |
| Maximum power of BS, | 24 dBm |
| Maximum power of D2D, | 21 dBm |
| SI cancellation coefficient, | −110, −105, …, −70 dB |
| Maximum distance between D2D users | 40 m |
Disclaimer/Publisher’s Note: The statements, opinions and data contained in all publications are solely those of the individual author(s) and contributor(s) and not of MDPI and/or the editor(s). MDPI and/or the editor(s) disclaim responsibility for any injury to people or property resulting from any ideas, methods, instructions or products referred to in the content. |
© 2023 by the authors. Licensee MDPI, Basel, Switzerland. This article is an open access article distributed under the terms and conditions of the Creative Commons Attribution (CC BY) license (https://creativecommons.org/licenses/by/4.0/).
Share and Cite
Zhao, X.; Liu, F.; Zhang, Y.; Chen, S.; Gan, J. Energy-Efficient Power Allocation for Full-Duplex Device-to-Device Underlaying Cellular Networks with NOMA. Electronics 2023, 12, 3433. https://doi.org/10.3390/electronics12163433
Zhao X, Liu F, Zhang Y, Chen S, Gan J. Energy-Efficient Power Allocation for Full-Duplex Device-to-Device Underlaying Cellular Networks with NOMA. Electronics. 2023; 12(16):3433. https://doi.org/10.3390/electronics12163433
Chicago/Turabian StyleZhao, Xu, Fang Liu, Yajing Zhang, Songchao Chen, and Jie Gan. 2023. "Energy-Efficient Power Allocation for Full-Duplex Device-to-Device Underlaying Cellular Networks with NOMA" Electronics 12, no. 16: 3433. https://doi.org/10.3390/electronics12163433
APA StyleZhao, X., Liu, F., Zhang, Y., Chen, S., & Gan, J. (2023). Energy-Efficient Power Allocation for Full-Duplex Device-to-Device Underlaying Cellular Networks with NOMA. Electronics, 12(16), 3433. https://doi.org/10.3390/electronics12163433

