Comparison of Gamma Irradiation Effects on Short Circuit Characteristics of SiC MOSFET Power Devices between Planar and Trench Structures
Abstract
:1. Introduction
2. Device Structure and Experimental Method
3. Experimental Results
3.1. Measured Threshold Voltage after Irradiation
3.2. Measured SC Characteristics of Planar SiC MOSFET after Irradiation
3.3. Measured SC Characteristics of Trench SiC MOSFET after Irradiation
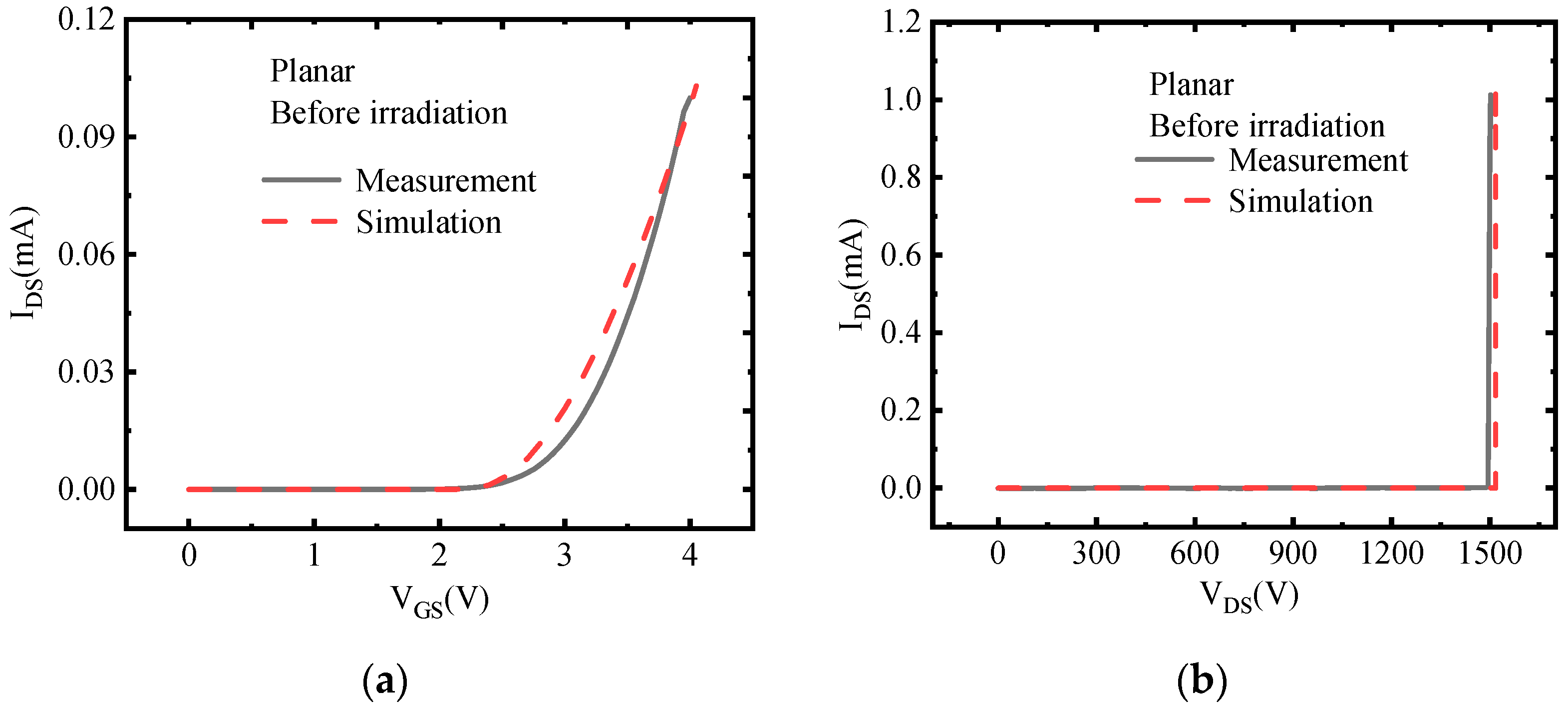
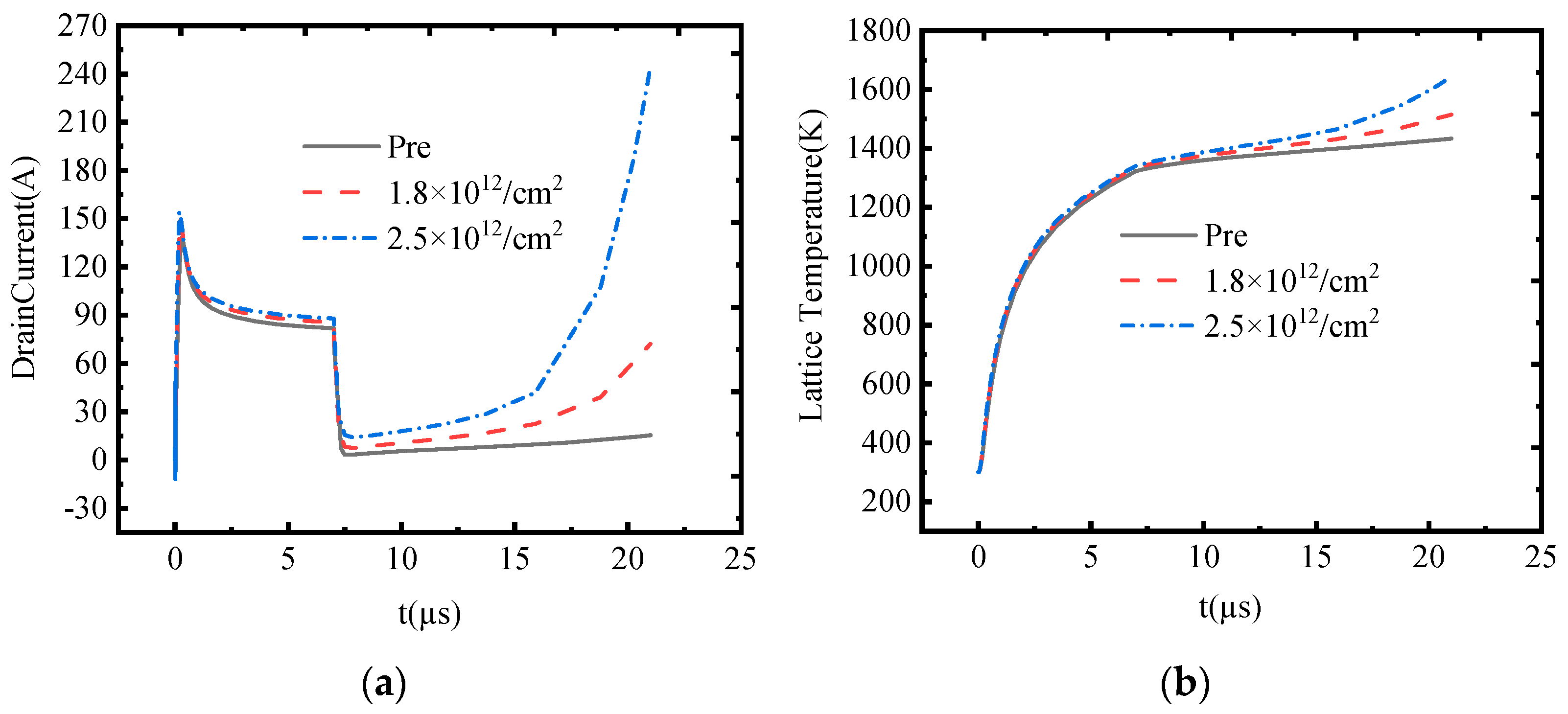
4. Analysis and Simulations
5. Conclusions
Author Contributions
Funding
Data Availability Statement
Conflicts of Interest
References
- Lauenstein, J.-M.; Casey, M.C.; Ladbury, R.L.; Kim, H.S.; Phan, A.M.; Topper, A.D. Space Radiation Effects on SiC Power Device Reliability. In Proceedings of the International Reliability Physics Symposium IEEE, Monterey, CA, USA, 21–25 March 2021; IEEE: Piscataway, NJ, USA, 2021. [Google Scholar]
- Na, J.; Kim, K. A Novel 4H-SiC Double Trench MOSFET with Built-In MOS Channel Diode for Improved Switching Performance. Electronics 2023, 12, 92. [Google Scholar] [CrossRef]
- Sun, Y.; Wan, X.; Liu, Z.; Jin, H.; Yan, J.; Li, X.; Shi, Y. Investigation of total ionizing dose effects in 4H–SiC power MOSFET under gamma ray radiation. Radiat. Phys. Chem. 2022, 197, 110219. [Google Scholar] [CrossRef]
- Sun, J.; Wei, J.; Zheng, Z.; Wang, Y.; Chen, K.J. Short circuit capacity and short circuit induced VTH instability of a 1.2 kV SiC power MOSFET. IEEE J. Emerg. Sel. Top. Power Electron. 2019, 7, 1539–1546. [Google Scholar] [CrossRef]
- Luo, Z.; Chen, T.; Cressler, J.D.; Sheridan, D.C.; Williams, J.R.; Reed, R.A.; Marshall, P.W. Impact of proton irradiation on the static and dynamic characteristics of high-voltage 4H-SiC JBS switching diodes. IEEE Trans. Nucl. Sci. 2003, 50, 1821–1826. [Google Scholar]
- Pappis, D.; de Menezes, L.; Zacharias, P. Comparison of the Short Circuit Capability of Planar and Trench SiC MOSFETs. In Proceedings of the PCIM Europe 2017; International Exhibition and Conference for Power Electronics, Intelligent Motion, Renewable Energy and Energy Management, Nuremberg, Germany, 16–18 May 2017; Volume 2017, pp. 854–862. [Google Scholar]
- Okawa, M.; Aiba, R.; Kanamori, T.; Yano, H.; Iwamuro, N.; Harada, S. Experimental and numerical investigations of short-circuit failure mechanisms for state-of-the-art 1.2 kV SiC trench MOSFETs. In Proceedings of the 2019 31st International Symposium on Power Semiconductor Devices and ICs (ISPSD), Shanghai, China, 19–23 May 2019; pp. 167–170. [Google Scholar]
- Lin, C.; Wu, J.; Xu, H.; Ren, N.; Guo, Q.; Sheng, K. Comparison and Analysis of Short Circuit Performance of 1200 V SiC MOSFETs. In Proceedings of the 2020 17th China International Forum on Solid State Lighting & 2020 International Forum on Wide Bandgap Semiconductors China (SSLChina: IFWS), Shenzhen, China, 23–25 November 2020; pp. 81–84. [Google Scholar]
- Gonzalez, J.O.; Deb, A.; Bashar, E.; Agbo, S.; Jahdi, S.; Alatise, O. Benchmarking the robustness of Si and SiC MOSFETs: Unclamped inductive switching and short-circuit performance. Microelectron. Reliab. 2022, 138, 114719. [Google Scholar] [CrossRef]
- Bashar, E.; Agbo, N.; Wu, R.; Mendy, S.; Jahdi, S.; Jennings, M.; Withey, A.; Evans, S.; Davies, G.; Demitrova, J.; et al. A Review of Short Circuit Performance in 650 V Power Devices: SiC MOSFETs, Silicon Super-junction MOSFETs, SiC Cascode JFETs, Silicon MOSFETs and Silicon IGBTs. In Proceedings of the International Exhibition and Conference for Power Electronics, Intelligent Motion, Renewable Energy and Energy Management, Nuremberg, Germany, 10–12 May 2022; pp. 1–8. [Google Scholar]
- Kakarla, B.; Tsibizov, A.; Stark, R.; Badstübner, I.K.; Grossner, U. Short circuit robustness and carrier lifetime in silicon carbide MOSFETs. In Proceedings of the 32nd International Symposium on Power Semiconductor Devices and ICs (ISPSD), Vienna, Austria, 13–18 September 2020; pp. 234–237. [Google Scholar]
- Hazdra, P.; Popelka, S. Displacement damage and total ionization dose effects on 4H-SiC power devices. IET Power Electron 2019, 12, 3910–3918. [Google Scholar] [CrossRef]
- Hu, D.; Zhang, J.; Jia, Y.; Wu, Y.; Peng, L.; Tang, Y. Impact of different gate biases on irradiation and annealing responses of SiC MOSFETs. IEEE Trans. Electron Devices 2018, 65, 3719–3724. [Google Scholar] [CrossRef]
- Akturk, A.; McGarrity, J.M.; Potbhare, S.; Goldsman, N. Radiation Effects in Commercial 1200 V 24 A Silicon Carbide Power MOSFETs. IEEE Trans. Nucl. Sci. 2012, 59, 3258–3264. [Google Scholar] [CrossRef]
- Schwank, J.R.; Shaneyfelt, M.R.; Fleetwood, D.M.; Felix, J.A.; Dodd, P.E.; Paillet, P.; Ferlet-Cavrois, V. Radiation effects in MOS oxides. IEEE Trans. Nucl. Sci. 2008, 55, 1833–1853. [Google Scholar] [CrossRef]














Disclaimer/Publisher’s Note: The statements, opinions and data contained in all publications are solely those of the individual author(s) and contributor(s) and not of MDPI and/or the editor(s). MDPI and/or the editor(s) disclaim responsibility for any injury to people or property resulting from any ideas, methods, instructions or products referred to in the content. |
© 2023 by the authors. Licensee MDPI, Basel, Switzerland. This article is an open access article distributed under the terms and conditions of the Creative Commons Attribution (CC BY) license (https://creativecommons.org/licenses/by/4.0/).
Share and Cite
Shu, L.; Liao, H.-L.; Wu, Z.-Y.; Li, Y.-Y.; Fang, X.-Y.; Liang, S.-W.; Li, T.-D.; Wang, L.; Wang, J.; Zhao, Y.-F. Comparison of Gamma Irradiation Effects on Short Circuit Characteristics of SiC MOSFET Power Devices between Planar and Trench Structures. Electronics 2023, 12, 2891. https://doi.org/10.3390/electronics12132891
Shu L, Liao H-L, Wu Z-Y, Li Y-Y, Fang X-Y, Liang S-W, Li T-D, Wang L, Wang J, Zhao Y-F. Comparison of Gamma Irradiation Effects on Short Circuit Characteristics of SiC MOSFET Power Devices between Planar and Trench Structures. Electronics. 2023; 12(13):2891. https://doi.org/10.3390/electronics12132891
Chicago/Turabian StyleShu, Lei, Huai-Lin Liao, Zi-Yuan Wu, Yan-Yan Li, Xing-Yu Fang, Shi-Wei Liang, Tong-De Li, Liang Wang, Jun Wang, and Yuan-Fu Zhao. 2023. "Comparison of Gamma Irradiation Effects on Short Circuit Characteristics of SiC MOSFET Power Devices between Planar and Trench Structures" Electronics 12, no. 13: 2891. https://doi.org/10.3390/electronics12132891
APA StyleShu, L., Liao, H.-L., Wu, Z.-Y., Li, Y.-Y., Fang, X.-Y., Liang, S.-W., Li, T.-D., Wang, L., Wang, J., & Zhao, Y.-F. (2023). Comparison of Gamma Irradiation Effects on Short Circuit Characteristics of SiC MOSFET Power Devices between Planar and Trench Structures. Electronics, 12(13), 2891. https://doi.org/10.3390/electronics12132891

