Sign in to use this feature.

Years

Between: -

Subjects

remove_circle_outline
remove_circle_outline
remove_circle_outline
remove_circle_outline

Journals

Article Types

Countries / Regions

Search Results (4)

Search Parameters:
Keywords = SCWE

Order results
Result details
Results per page
Select all
Export citation of selected articles as:
9 pages, 3843 KB  
Communication
Comparison of Gamma Irradiation Effects on Short Circuit Characteristics of SiC MOSFET Power Devices between Planar and Trench Structures
by Lei Shu, Huai-Lin Liao, Zi-Yuan Wu, Yan-Yan Li, Xing-Yu Fang, Shi-Wei Liang, Tong-De Li, Liang Wang, Jun Wang and Yuan-Fu Zhao
Electronics 2023, 12(13), 2891; https://doi.org/10.3390/electronics12132891 - 30 Jun 2023
Cited by 4 | Viewed by 2205
Abstract
The short circuit withstand energy (SCWE) variations, and short circuit withstand time (SCWT) variations, of planar and trench silicon carbide (SiC) metal-oxide-semiconductor field-effect transistor (MOSFET) power devices are studied after exposure to a total ionizing dose (TID). The results for ON bias are [...] Read more.
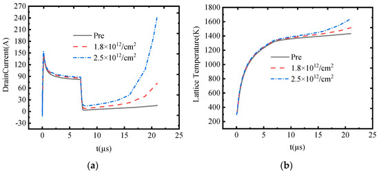
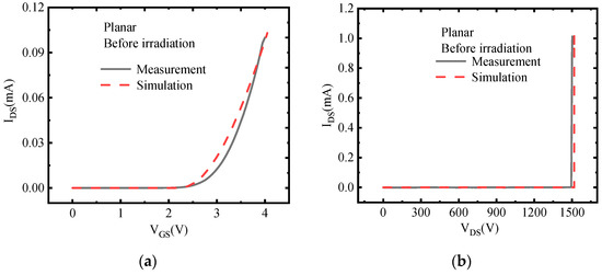
The short circuit withstand energy (SCWE) variations, and short circuit withstand time (SCWT) variations, of planar and trench silicon carbide (SiC) metal-oxide-semiconductor field-effect transistor (MOSFET) power devices are studied after exposure to a total ionizing dose (TID). The results for ON bias are explored. The SCWE and SCWT are studied for planar and trench SiC MOSFET power devices tested for TID with gamma irradiation. A higher degradation phenomenon for the SCWE and SCWT are observed for the planar SiC MOSFET. The physical mechanisms for these variations are analyzed and confirmed by technology computer-aided design (TCAD) simulation. Full article
(This article belongs to the Section Electronic Materials, Devices and Applications)
Show Figures

Figure 1

26 pages, 1409 KB  
Review
Polysaccharides from the Sargassum and Brown Algae Genus: Extraction, Purification, and Their Potential Therapeutic Applications
by Elda A. Flores-Contreras, Rafael G. Araújo, Arath A. Rodríguez-Aguayo, Muriel Guzmán-Román, Jesús Carlos García-Venegas, Erik Francisco Nájera-Martínez, Juan Eduardo Sosa-Hernández, Hafiz M. N. Iqbal, Elda M. Melchor-Martínez and Roberto Parra-Saldivar
Plants 2023, 12(13), 2445; https://doi.org/10.3390/plants12132445 - 25 Jun 2023
Cited by 40 | Viewed by 10982
Abstract
Brown macroalgae represent one of the most proliferative groups of living organisms in aquatic environments. Due to their abundance, they often cause problems in aquatic and terrestrial ecosystems, resulting in health problems in humans and the death of various aquatic species. To resolve [...] Read more.
Brown macroalgae represent one of the most proliferative groups of living organisms in aquatic environments. Due to their abundance, they often cause problems in aquatic and terrestrial ecosystems, resulting in health problems in humans and the death of various aquatic species. To resolve this, the application of Sargassum has been sought in different research areas, such as food, pharmaceuticals, and cosmetics, since Sargassum is an easy target for study and simple to obtain. In addition, its high content of biocompounds, such as polysaccharides, phenols, and amino acids, among others, has attracted attention. One of the valuable components of brown macroalgae is their polysaccharides, which present interesting bioactivities, such as antiviral, antimicrobial, and antitumoral, among others. There is a wide variety of methods of extraction currently used to obtain these polysaccharides, such as supercritical fluid extraction (SFE), pressurized liquid extraction (PLE), subcritical water extraction (SCWE), ultrasound-assisted extraction (UAE), enzyme-assisted extraction (EAE), and microwave-assisted extraction (MAE). Therefore, this work covers the most current information on the methods of extraction, as well as the purification used to obtain a polysaccharide from Sargassum that is able to be utilized as alginates, fucoidans, and laminarins. In addition, a compilation of bioactivities involving brown algae polysaccharides in in vivo and in vitro studies is also presented, along with challenges in the research and marketing of Sargassum-based products that are commercially available. Full article
(This article belongs to the Special Issue Bioactive Compounds from Marine Plants and Related Sources)
Show Figures

Graphical abstract

17 pages, 2534 KB  
Article
Subcritical Water Extraction of Mango Seed Kernels and Its Application for Cow Ghee Preservation
by Rambabu Krishnamoorthy, Abdul Hai and Fawzi Banat
Processes 2023, 11(5), 1379; https://doi.org/10.3390/pr11051379 - 3 May 2023
Cited by 10 | Viewed by 3249
Abstract
Mango seed kernel (MSK) extract contains phytochemicals, bioactives, and fatty acids that are of interest to food and nutritional scientists. The subcritical water extraction process (SCWE) can be effective in extracting valuable bioactives from MSK. In this study, SCWE was investigated and optimized [...] Read more.
Mango seed kernel (MSK) extract contains phytochemicals, bioactives, and fatty acids that are of interest to food and nutritional scientists. The subcritical water extraction process (SCWE) can be effective in extracting valuable bioactives from MSK. In this study, SCWE was investigated and optimized for the extraction of bioactives from MSK using Box–Behnken experimental design. The extract yield was examined as a function of various process variables, namely, solvent-to-feed (L/S) ratio, extraction temperature (T), and extraction time (t). Analysis of variance (ANOVA) for experimental results showed that extraction temperature was the most significant variable that impacted the extract yield. A maximum yield of 52.3% was obtained at optimized extraction conditions of L/S ratio = 20.7, T = 116.5 °C, and t = 45 min. Antioxidant assessment of the SCWE extract obtained at the optimized conditions showed higher total phenolic content (19.2 mg GAE/g), and DPPH and ABTS radical scavenging activity (>91%), than the extracts obtained by conventional hot water extraction and ultra-sound assisted extraction. Furthermore, an assessment of the MSK extract as a natural preservative showed that its inclusion (20% v/v) improved the oxidative stability of cow ghee with a par performance to synthetic butylated hydroxyanisole antioxidant (0.02% w/v). Thus, the study demonstrated SCWE as an effective green method for the production of MSK extract that could be applied for the preservation of oxidative food products. Full article
(This article belongs to the Special Issue Advances in Sub-/Supercritical Water Processes)
Show Figures

Figure 1

11 pages, 476 KB  
Article
Eating Quality of Pork from Entire Male Pigs after Dietary Supplementation with Hydrolysable Tannins
by Ivan Bahelka, Roman Stupka, Jaroslav Čítek, Michal Šprysl, Ondřej Bučko and Pavel Fľak
Animals 2023, 13(5), 893; https://doi.org/10.3390/ani13050893 - 1 Mar 2023
Cited by 2 | Viewed by 2473
Abstract
Boar taint is an unpleasant odour and flavour released during heat treatment of pork from uncastrated male pigs. The two main compounds responsible for boar taint are androstenone and skatole. Androstenone is a steroid hormone formed in the testis during sexual maturity. Skatole [...] Read more.
Boar taint is an unpleasant odour and flavour released during heat treatment of pork from uncastrated male pigs. The two main compounds responsible for boar taint are androstenone and skatole. Androstenone is a steroid hormone formed in the testis during sexual maturity. Skatole is a product of microbial degradation of the amino acid tryptophan in the hindgut of pigs. Both of these compounds are lipophilic, which means that they can be deposited in adipose tissue. Several studies have reported heritability estimates for their deposition from medium (skatole) to high magnitudes (androstenone). In addition to efforts to influence boar taint through genetic selection, much attention has also been paid to reducing its incidence using various feeding strategies. From this point of view, research has focused especially on the reduction in skatole content by supplementation of feed additives into the nutrition of entire male pigs. Promising results have been achieved using hydrolysable tannins in the diet. To date, most studies have investigated the effects of tannins on the production and accumulation of skatole in adipose tissue, intestinal microbiota, growth rate, carcasses and pork quality. Thus, the objective of this study was, in addition to determining the effects of tannins on androstenone and skatole accumulation, to assess the effects of tannins on the sensory traits of meat from entire males. The experiment was performed on 80 young boars—progeny of several hybrid sire lines. Animals were randomly assigned to one control and four experimental groups (each numbering 16). The control group (T0) received a standard diet without any tannin supplementation. Experimental groups were supplemented with 1% (T1), 2% (T2), 3% (T3) or 4% (T4) SCWE (sweet chestnut wood extract) rich in hydrolysable tannins (Farmatan). Pigs received this supplement for 40 days prior to slaughter. Subsequently, the pigs were slaughtered, and sensory analysis was applied to evaluate the odour, flavour, tenderness and juiciness of the pork. The results showed a significant effect of tannins on skatole accumulation in adipose tissue (p = 0.052–0.055). The odour and flavour of the pork were not affected by tannins. However, juiciness and tenderness were reduced by higher tannin supplementation (T3–T4) compared to the controls (p < 0.05), but these results were sex-dependent (in favour of men compared to women). Generally, women rated tenderness and juiciness worse than men regardless of the type of diet. Full article
Show Figures

Figure 1

Back to TopTop