Analysis of DC-Side Snubbers for SiC Devices Application
Abstract
1. Introduction
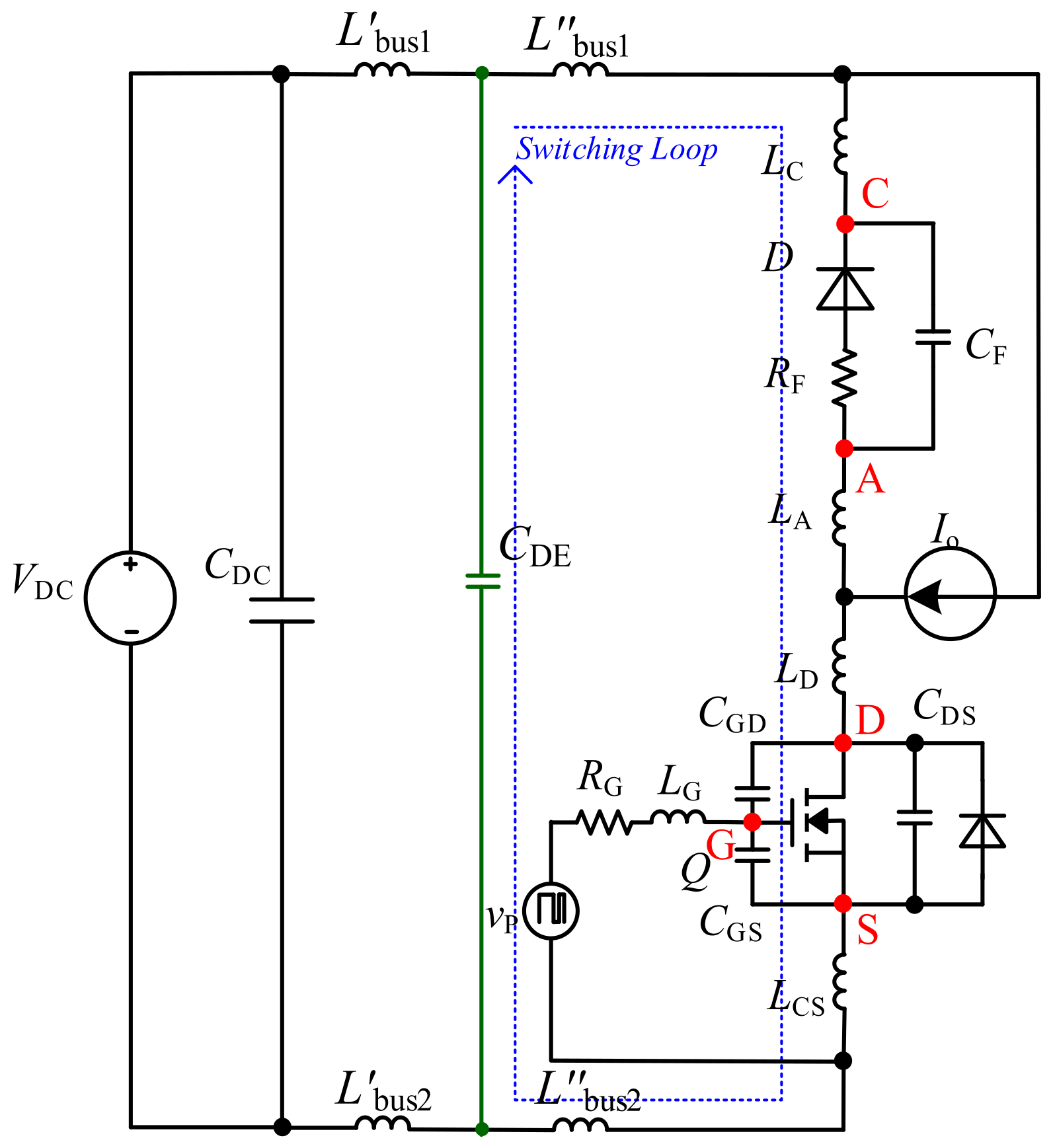
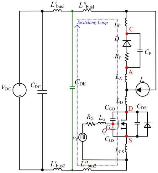
2. Suppressing Mechanism of DC-Side Snubber CDE
2.1. Analysis of Stage 4
2.2. Analysis of Stage 7 and Stage 8
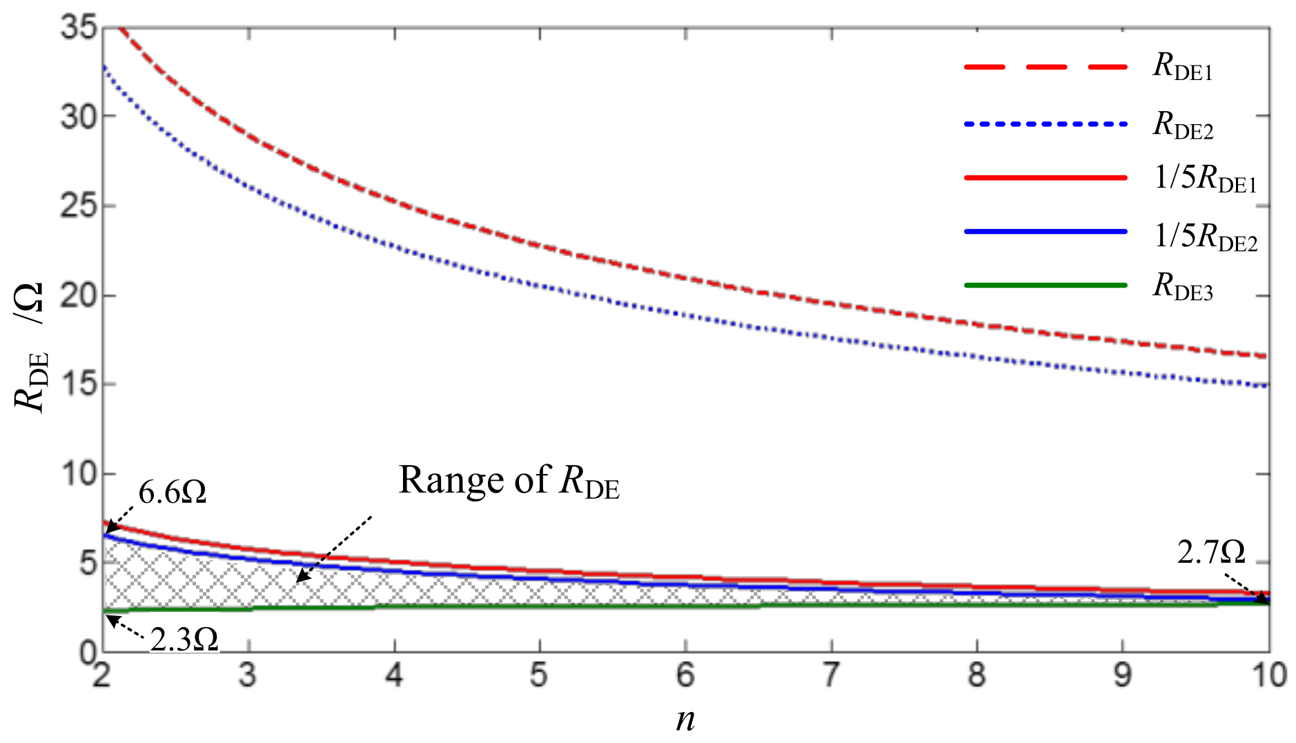
2.3. Guideline Selection for Capacitor CDE
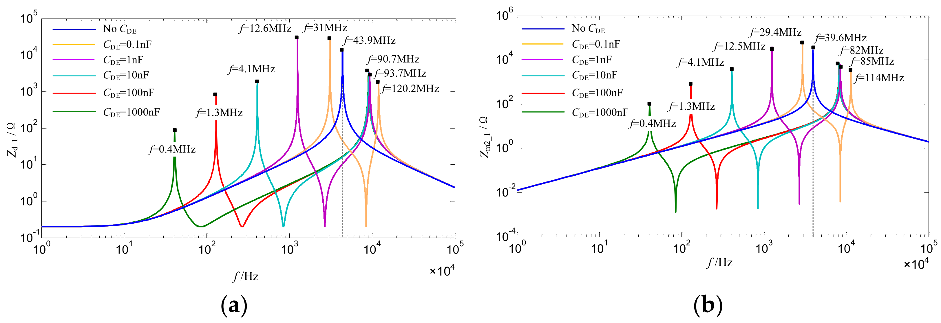
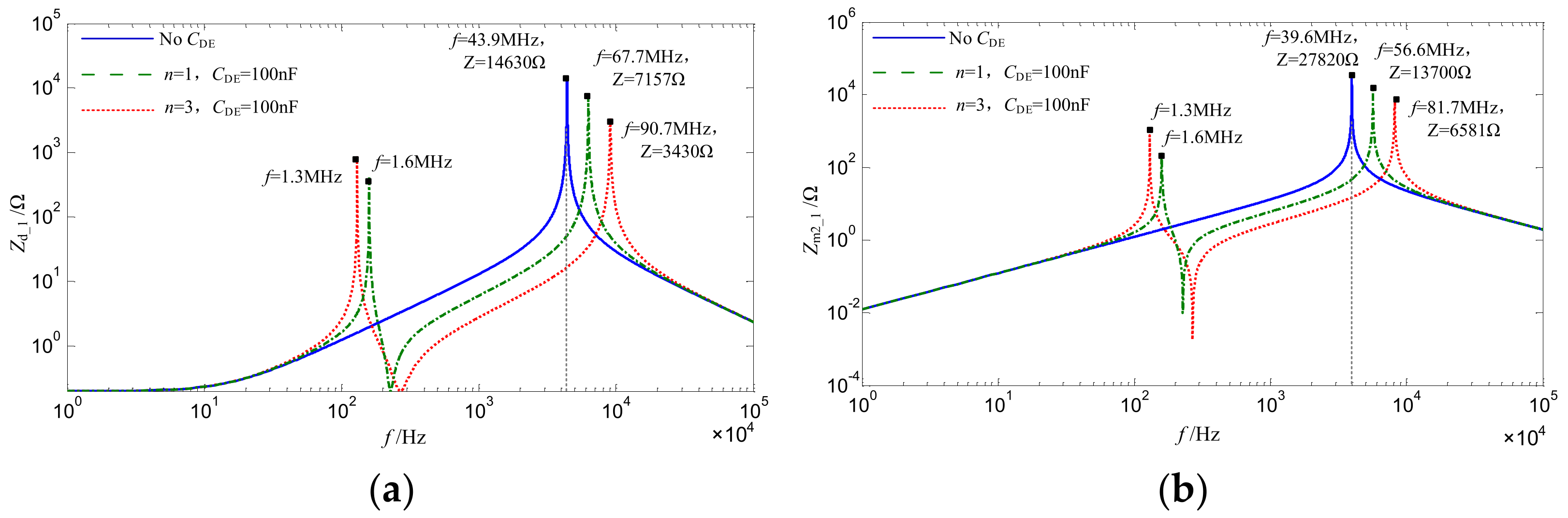
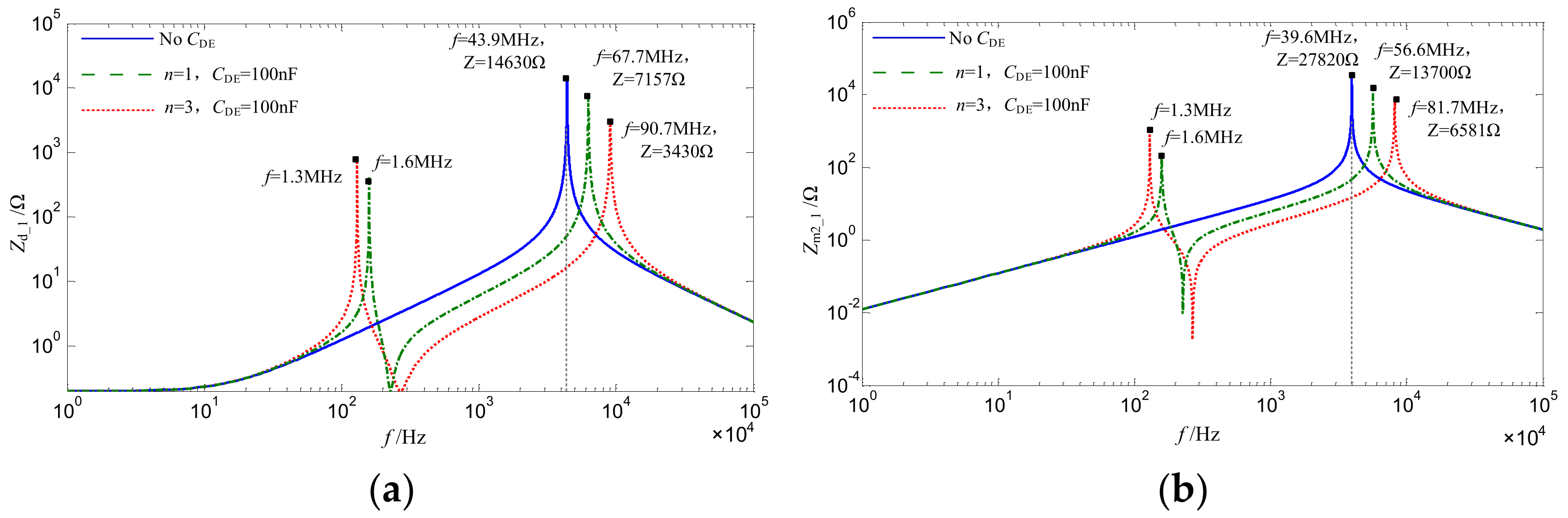
2.4. Analyzation for the Suppressing Effectiveness of Capacitor CDE
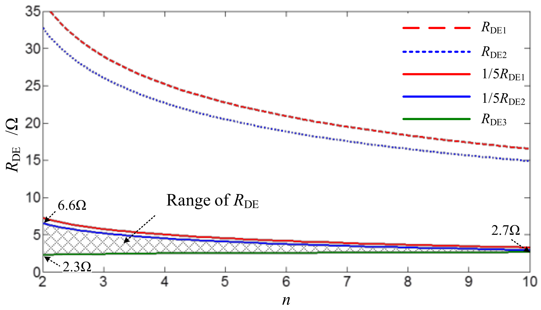
3. Analyzation for DC-Side Snubber with Damping Resistor CDE–RDE
4. Experimental Results
5. Conclusions
- (1)
- According to the guideline design for DC-side snubbers, the turn-off overvoltage and oscillation of the SiC diode and the SiC MOSFET can be suppressed effectively.
- (2)
- Capacitor CDE is closer to devices, which represents the parasitic inductors in the switching power loop are lower, which means the lower the peak impedance is and the lower the turn-off overvoltage is.
- (3)
- The DC-side snubber with the damping resistor CDE-RDE can not only eliminate the low-frequency oscillation on the turn-off voltage but also can reduce the turn-off overvoltage.
Author Contributions
Funding
Data Availability Statement
Conflicts of Interest
Appendix A
References
- Millan, J.; Godignon, P.; Perpiñà, X.; Pérez-Tomás, A.; Rebollo, J. A survey of wide bandgap power semiconductor devices. IEEE Trans. Power Electron. 2013, 29, 2155–2163. [Google Scholar] [CrossRef]
- Jouha, W.; Oualkadi, A.; Dherbécourt, P.; Joubert, E.; Masmoudi, M. Silicon carbide power MOSFET model: An accurate parameter extraction method based on the levenberg–marquardt algorithm. IEEE Trans. Power Electron. 2018, 33, 9130–9133. [Google Scholar] [CrossRef]
- Hashimoto, K.; Okuda, T.; Hikihara, T. A flyback converter with SiC power MOSFET operating at 10 MHz: Reducing leakage inductance for improvement of switching behaviors. In Proceedings of the 2018 International Power Electronics Conference (IPEC-Niigata 2018–ECCE Asia), Niigata, Japan, 20–24 May 2018; pp. 3757–3761. [Google Scholar]
- Zhang, W.; Zhang, Z.; Wang, F.; Costinett, D.L.; Tolbert, M.; Blalock, B.J. Characterization and Modeling of a SiC MOSFET′s turn-on overvoltage. In Proceedings of the 2018 IEEE Energy Conversion Congress and Exposition (ECCE), Portland, OR, USA, 23–27 September 2018; pp. 7003–7009. [Google Scholar]
- Koiwa, K.; Itoh, J.I. A maximum power density design method for nine switches matrix converter using SiC-MOSFET. IEEE Trans. Power Electron. 2015, 31, 1189–1202. [Google Scholar] [CrossRef]
- Hazra, S.; De, A.; Cheng, L.; Palmour, J.; Schupbach, M.; Hull, B.A.; Allen, S.; Bhattacharya, S. High switching performance of 1700-V, 50-A SiC power MOSFET over Si IGBT/BiMOSFET for advanced power conversion applications. IEEE Trans. Power Electron. 2015, 31, 4742–4754. [Google Scholar]
- Lemmon, A.; Mazzola, M.; Gaord, J.; Parker, C. Stability considerations for silicon carbide field-effect transistors. IEEE Trans. Power Electron. 2013, 28, 4453–4459. [Google Scholar] [CrossRef]
- Mohan, N.; Undeland, T.M. Power Electronics: Converters, Applications, and Design; John Wiley & Sons: Hoboken, NJ, USA, 2007. [Google Scholar]
- Zhang, Z.; Guo, B.; Wang, F.; Tolbert, L.M.; Blalock, B.J.; Liang, Z. Impact of ringing on switching losses of wide band-gap devices in a phase-leg configuration. In Proceedings of the 2014 IEEE Applied Power Electronics Conference and Exposition—APEC 2014, Fort Worth, TX, USA, 16–20 March 2014; pp. 2542–2549. [Google Scholar]
- Kadavelugu, A.; Baek, S.; Dutta, S.; Bhattacharya, S.; Scofield, J. High-frequency design considerations of dual active bridge 1200 V SiC MOSFET DC-DC converter. In Proceedings of the 2011 Twenty-Sixth Annual IEEE Applied Power Electronics Conference and Exposition (APEC), Fort Worth, TX, USA, 6–11 March 2011; pp. 314–320. [Google Scholar]
- Wang, Y.; De Haan, S.W.H.; Ferreira, J.A. Potential of improving PWM converter power density with advanced components. In Proceedings of the 2009 13th European Conference on Power Electronics and Applications, Barcelona, Spain, 8–10 September 2009; pp. 1–10. [Google Scholar]
- Liu, Q.; Wang, S.; Baisden, A.C.; Wang, F.; Boroyevich, D. EMI suppression in voltage source converters by utilizing dc-link decoupling capacitors. IEEE Trans. Power Electron. 2007, 22, 1417–1428. [Google Scholar]
- Chen, Z. Electrical Integration of SiC Power Devices for High-Power-Density Applications; Virginia Polytechnic Institute and State University: Blacksburg, VA, USA, 2013. [Google Scholar]
- Chen, Z.; Yao, Y.; Boroyevich, D.; Ngo, K.; Mattavelli, P. Exploration of a switching loop snubber for parasitic ringing suppression. In Proceedings of the 2014 IEEE Energy Conversion Congress and Exposition (ECCE), Pittsburgh, PA, USA, 14–18 September 2014; pp. 1605–1612. [Google Scholar]
- Zhang, Z.; Wang, F. Driving and Characterization of wide bandgap semiconductors for voltage source converter applications. In Proceedings of the 2014 IEEE Wide Bandgap Power Devices and Applications, Knoxville, TN, USA, 13–15 October 2014; pp. 1–84. [Google Scholar]
- Witcher, J.B. Methodology for Switching Characterization of Power Devices and Modules; Virginia Polytechnic Institute and State University: Blacksburg, VA, USA, 2003. [Google Scholar]
- Pilli, N.K.; Singh, S.K. Influence of peak gate current and rate of rise of gate current on switching behaviour of SiC MOSFET. In Proceedings of the 2017 IEEE Transportation Electrification Conference (ITEC-India), Pune, India, 13–15 December 2017; pp. 1–6. [Google Scholar]
- Joko, M.; Goto, A.; Hasegawa, M.; Miyahara, S.; Murakami, H. Snubber circuit to suppress the voltage ringing for SiC device. In Proceedings of the PCIM Europe 2015, Nuremberg, Germany, 19–20 May 2015; pp. 1–6. [Google Scholar]
- Liu, T.; Ning, R.; Wong, T.T.; Shen, Z.J. Modeling and Analysis of SiC MOSFET Switching Oscillations. IEEE J. Emerg. Sel. Top. Power Electron. 2016, 4, 747–756. [Google Scholar] [CrossRef]
- Yamashita, Y.; Furuta, J.; Inamori, S.; Kobayashi, K. Design of RCD snubber considering wiring inductance for MHz-switching of SiC-MOSFET. In Proceedings of the 2017 IEEE 18th Workshop on Control and Modeling for Power Electronics (COMPEL), Stanford, CA, USA, 9–12 July 2017; pp. 1–6. [Google Scholar]
- Wang, J.; Li, R.T.; Chung, H.S. An Investigation into the Effects of the Gate Drive Resistance on the Losses of the MOSFET–Snubber–Diode Configuration. IEEE Trans. Power Electron. 2012, 27, 2657–2672. [Google Scholar] [CrossRef]
- Li, H.; Munk-Nielsen, S. Challenges in switching SiC MOSFET without ringing. In Proceedings of the PCIM Europe 2014, Nuremberg, Germany, 20–22 May 2014; pp. 1–6. [Google Scholar]
- Chen, Z.; Boroyevich, D.; Mattavelli, P.; Ngo, K. A frequency-domain study on the effect of DC-link decoupling capacitors. In Proceedings of the 2018 IEEE Energy Conversion Congress and Exposition (ECCE), Denver, CO, USA, 28 October 2013; pp. 1886–1893. [Google Scholar]
- Petterteig, A.; Lode, J.; Undeland, T.M. IGBT turn-off losses for hard switching and with capacitive snubbers. In Proceedings of the 1991 IEEE Industry Applications Society Annual Meeting, Dearborn, MI, USA, 28 September–4 October 1991; pp. 1501–1507. [Google Scholar]
- Liang, M.; Li, Y.; Chen, Q.; Lu, Y.; Yu, H.; Zheng, T.Q.; Guo, H.; Zhao, F. Research on an improved DC-side snubber for suppressing the turn-off overvoltage and oscillation in high speed SiC MOSFET application. In Proceedings of the 2014 IEEE Energy Conversion Congress and Exposition (ECCE), Cincinnati, OH, USA, 1–5 October 2017; pp. 1358–1365. [Google Scholar]
- Liang, M.; Zheng, T.Q.; Li, Y. An Improved Analytical Model for Predicting the Switching Performance of SiC MOSFETs. J. Power Electron. 2016, 16, 374–387. [Google Scholar] [CrossRef][Green Version]















| Parameter | Value | Parameter | Value |
|---|---|---|---|
| RDS_on | 0.2 Ω | L′P | 50 nH |
| CGD | 7.6 pF | L′bus | 150 nH |
| CDS | 75 pF | RG | 15 Ω |
| CF | 67 pF |
| Model | Type | Bandwidth |
|---|---|---|
| Tektronix TCP0030A | Current probe | 120 M |
| Tektronix DPO4054B | Oscilloscope | 500 M |
| CP3308R | Passive probe | 300 M |
| SSDN-10 | Coaxial Shunt | 2000 M |
| Parameter | Value | Parameter | Value |
|---|---|---|---|
| Input voltage | 600 V | Switching frequency | 50 kHz |
| Output voltage | 150 V | Output inductor | 100 µH |
| Output power | 700 W~1100 W | Output capacitor | 220 µF |
Publisher′s Note: MDPI stays neutral with regard to jurisdictional claims in published maps and institutional affiliations. |
© 2022 by the authors. Licensee MDPI, Basel, Switzerland. This article is an open access article distributed under the terms and conditions of the Creative Commons Attribution (CC BY) license (https://creativecommons.org/licenses/by/4.0/).
Share and Cite
Liang, M.; Chen, J.; Jia, P. Analysis of DC-Side Snubbers for SiC Devices Application. Electronics 2022, 11, 3874. https://doi.org/10.3390/electronics11233874
Liang M, Chen J, Jia P. Analysis of DC-Side Snubbers for SiC Devices Application. Electronics. 2022; 11(23):3874. https://doi.org/10.3390/electronics11233874
Chicago/Turabian StyleLiang, Mei, Jiwen Chen, and Pengyu Jia. 2022. "Analysis of DC-Side Snubbers for SiC Devices Application" Electronics 11, no. 23: 3874. https://doi.org/10.3390/electronics11233874
APA StyleLiang, M., Chen, J., & Jia, P. (2022). Analysis of DC-Side Snubbers for SiC Devices Application. Electronics, 11(23), 3874. https://doi.org/10.3390/electronics11233874

