Integrating LoRa-Based Communications into Unmanned Aerial Vehicles for Data Acquisition from Terrestrial Beacons
Abstract
:1. Introduction
2. Materials and Methods
2.1. Sensors and the Beacon
2.2. Unmanned Aerial Vehicle
2.3. Data Processing
2.4. Software Development
- App-UAV connection: received the data from the UAV through a Bluetooth connection.
- Data Storage: a specific database was developed to store the data retrieved from the beacon and the UAV.
- Data Query: all the information about flights and the beacon could be requested.
- Data analysis: applied the neural network to detect any of the compounds considered.
3. Results and Discussion
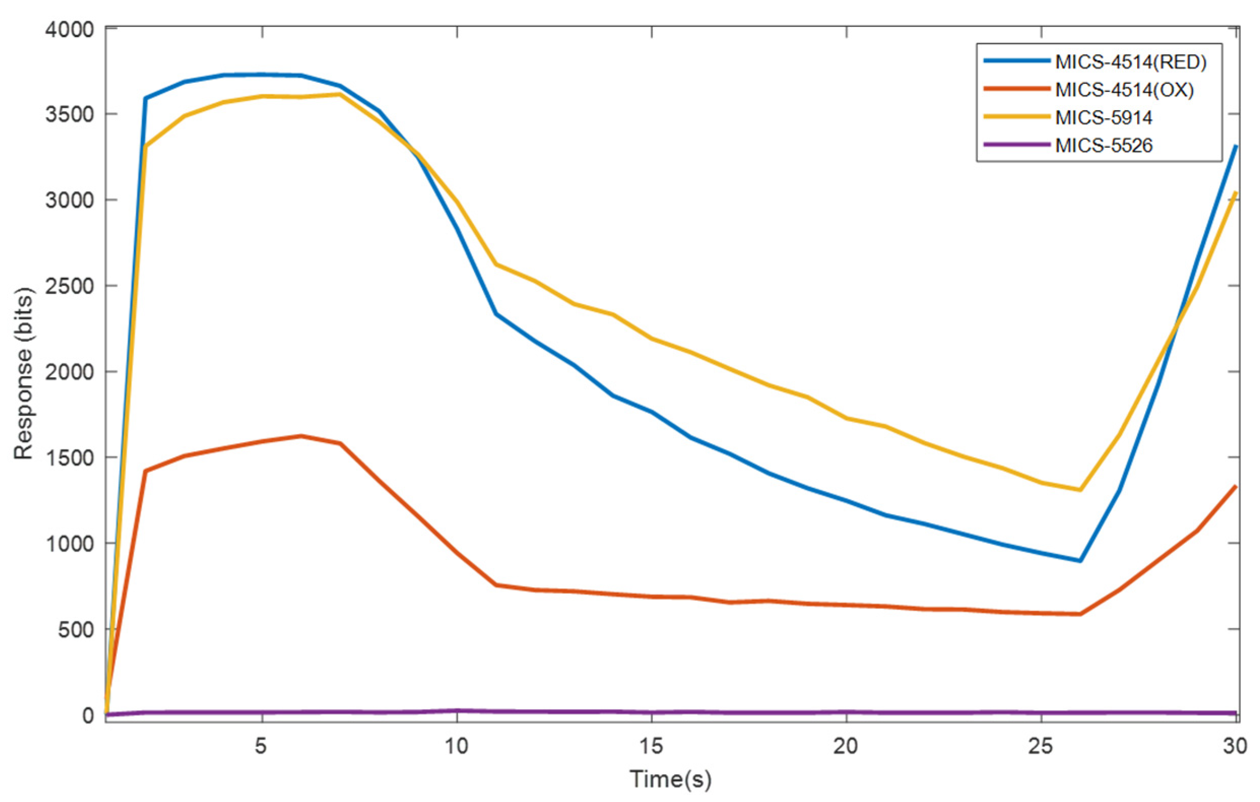
3.1. E-Nose
- MICS-4515(RED) and MICS-5914 sensors were very sensitive to hydrogen peroxide. The difference in resistance increased above 1000, which is very positive for the classification of this substance.
- MICS-4515(RED) and MICS-5914 sensors saturated in the presence of ethanol. They barely modified the resistance, unlike when there was no ethanol in the environment.
- MICS-4515(OX) and MICS-5526 sensors similarly responded to all substances.
3.2. LoRa Communication System
4. Conclusions
Author Contributions
Funding
Conflicts of Interest
References
- Anupriya, K.; Yomas, J.; Jubin, S.E. A review on IoT protocols for long distance and low power. Int. J. Eng. Sci. Technol. 2015, 5, 344–347. [Google Scholar]
- Gomathi, R.; Krishna, G.H.S.; Brumancia, E.; Dhas, Y.M. A Survey on IoT Technologies, Evolution and Architecture. In Proceedings of the 2018 International Conference on Computer, Communication, and Signal Processing (ICCCSP), Chennai, India, 22–23 February 2018; pp. 1–5. [Google Scholar] [CrossRef]
- Díaz, S.E.; Pérez, J.C.; Mateos, A.C.; Marinescu, M.-C.; Guerra, B.B. A novel methodology for the monitoring of the agricultural production process based on wireless sensor networks. Comput. Electron. Agric. 2011, 76, 252–265. [Google Scholar] [CrossRef]
- Becker-Reshef, I.; Justice, C.; Sullivan, M.; Vermote, E.; Tucker, C.; Anyamba, A.; Small, J.; Pak, E.; Masuoka, E.; Schmaltz, J.; et al. Monitoring Global Croplands with Coarse Resolution Earth Observations: The Global Agriculture Monitoring (GLAM) Project. Remote Sens. 2010, 2, 1589–1609. [Google Scholar] [CrossRef] [Green Version]
- Liu, L.; Mishra, A.R. Enabling technologies challenges of green internet of things (iot) towards sustainable development in the era of industry 4. Technol. Econ. Dev. Econ. 2022, 1, 1–32. [Google Scholar] [CrossRef]
- Christou, I.T.; Kefalakis, N.; Soldatos, J.K.; Despotopoulou, A.-M. End-to-end industrial IoT platform for Quality 4.0 applications. Comput. Ind. 2022, 137, 103591. [Google Scholar] [CrossRef]
- Nalini, M.; Abirami, V.; Lakshmi, G.A.; Harini, D. IoT based smart medicine kit. Mater. Today Proc. 2021, 46, 4125–4127. [Google Scholar] [CrossRef]
- Lu, Z.-X.; Qian, P.; Bi, D.; Ye, Z.-W.; He, X.; Zhao, Y.-H.; Su, L.; Li, S.-L.; Zhu, Z.-L. Application of AI and IoT in Clinical Medicine: Summary and Challenges. Curr. Med. Sci. 2021, 41, 1134–1150. [Google Scholar] [CrossRef]
- Gulati, K.; Boddu, R.S.K.; Kapila, D.; Bangare, S.L.; Chandnani, N.; Saravanan, G. A review paper on wireless sensor network techniques in Internet of Things (IoT). Mater. Today Proc. 2021, 51, 161–165. [Google Scholar] [CrossRef]
- Abdul-Qawy, A.S.H.; Almurisi, N.M.S.; Tadisetty, S. Classification of Energy Saving Techniques for IoT-based Heterogeneous Wireless Nodes. Procedia Comput. Sci. 2020, 171, 2590–2599. [Google Scholar] [CrossRef]
- Yazid, Y.; Ez-Zazi, I.; Guerrero-González, A.; El Oualkadi, A.; Arioua, M. UAV-Enabled Mobile Edge-Computing for IoT Based on AI: A Comprehensive Review. Drones 2021, 5, 148. [Google Scholar] [CrossRef]
- Moron-Lopez, J.; Rodriguez-Sanchez, M.C.; Carreno, F.; Vaquero, J.; Pompa-Pernia, A.G.; Mateos-Fernandez, M.; Aguilar, J.A.P. Implementation of Smart Buoys and Satellite-Based Systems for the Remote Monitoring of Harmful Algae Bloom in Inland Waters. IEEE Sens. J. 2020, 21, 6990–6997. [Google Scholar] [CrossRef]
- Mekki, K.; Bajic, E.; Chaxel, F.; Meyer, F. A comparative study of LPWAN technologies for large-scale IoT deployment. ICT Express 2019, 5, 1–7. [Google Scholar] [CrossRef]
- Queralta, J.P.; Gia, T.; Zou, Z.; Tenhunen, H.; Westerlund, T. Comparative Study of LPWAN Technologies on Unlicensed Bands for M2M Communication in the IoT: Beyond LoRa and LoRaWAN. Procedia Comput. Sci. 2019, 155, 343–350. [Google Scholar] [CrossRef]
- Shuman, C.A.; Steffen, K.; Box, J.; Stearns, C.R. A Dozen Years of Temperature Observations at the Summit: Central Greenland Automatic Weather Stations 1987–99. J. Appl. Meteorol. 2001, 40, 741–752. [Google Scholar] [CrossRef]
- Ringler, A.T.; Steim, J.; Wilson, D.C.; Widmer-Schnidrig, R.; E Anthony, R. Improvements in seismic resolution and current limitations in the Global Seismographic Network. Geophys. J. Int. 2019, 220, 508–521. [Google Scholar] [CrossRef]
- Gasparin, F.; Greiner, E.; Lellouche, J.-M.; Legalloudec, O.; Garric, G.; Drillet, Y.; Bourdallé-Badie, R.; Le Traon, P.-Y.; Rémy, E.; Drévillon, M. A large-scale view of oceanic variability from 2007 to 2015 in the global high resolution monitoring and forecasting system at Mercator Océan. J. Mar. Syst. 2018, 187, 260–276. [Google Scholar] [CrossRef]
- Kim, S.H.; Jeong, J.M.; Hwang, M.T.; Kang, C.S. Development of an IoT-based atmospheric environment monitoring system. In Proceedings of the 2017 International Conference on Information and Communication Technology Convergence (ICTC), Jeju Island, Korea, 18–20 October 2017; pp. 861–863. [Google Scholar] [CrossRef]
- Davoli, L.; Pagliari, E.; Ferrari, G. Hybrid LoRa-IEEE 802.11s Opportunistic Mesh Networking for Flexible UAV Swarming. Drones 2021, 5, 26. [Google Scholar] [CrossRef]
- Ali, Z.A.; Masroor, S.; Aamir, M. UAV Based Data Gathering in Wireless Sensor Networks. Wirel. Pers. Commun. 2018, 106, 1801–1811. [Google Scholar] [CrossRef]
- Mujumdar, O.; Celebi, H.; Guvenc, I.; Sichitiu, M.; Hwang, S.; Kang, K.-M. Use of LoRa for UAV Remote ID with Multi-User Interference and Different Spreading Factors. In Proceedings of the 2021 IEEE 93rd Vehicular Technology Conference (VTC2021-Spring), Helsinki, Finland, 25–28 April 2021. [Google Scholar] [CrossRef]
- Pan, M.; Chen, C.; Yin, X.; Huang, Z. UAV-Aided Emergency Environmental Monitoring in Infrastructure-Less Areas: LoRa Mesh Networking Approach. IEEE Internet Things J. 2021, 9, 2918–2932. [Google Scholar] [CrossRef]
- Saraereh, O.A.; Alsaraira, A.; Khan, I.; Uthansakul, P. Performance Evaluation of UAV-Enabled LoRa Networks for Disaster Management Applications. Sensors 2020, 20, 2396. [Google Scholar] [CrossRef]
- Delafontaine, V.; Schiano, F.; Cocco, G.; Rusu, A.; Floreano, D. Drone-aided Localization in LoRa IoT Networks. In Proceedings of the 2020 IEEE International Conference on Robotics and Automation (ICRA), Virtual, 31 May–31 August 2020; pp. 286–292. [Google Scholar] [CrossRef]
- Chen, L.-Y.; Huang, H.-S.; Wu, C.-J.; Tsai, Y.-T.; Chang, Y.-S. A LoRa-Based Air Quality Monitor on Unmanned Aerial Vehicle for Smart City. In Proceedings of the 2018 International Conference on System Science and Engineering (ICSSE), New Taipei City, Taiwan, 15 March 2018; pp. 1–5. [Google Scholar] [CrossRef]
- Ghazali, M.H.M.; Teoh, K.; Rahiman, W. A Systematic Review of Real-Time Deployments of UAV-Based LoRa Communication Network. IEEE Access 2021, 9, 124817–124830. [Google Scholar] [CrossRef]
- Chang, K.P.P.; Zakaria, A.; Nasir, A.S.A.; Yusuf, N.; Thriumani, R.; Shakaff, A.Y.M.; Adom, A.H. Analysis and feasibility study of plant disease using e-nose. In Proceedings of the 2014 IEEE International Conference on Control System, Computing and Engineering (ICCSCE 2014), Penang, Malaysia, 28–30 November 2014; pp. 58–63. [Google Scholar]
- Cui, S.; Cao, L.; Acosta, N.; Zhu, H.; Ling, P.P. Development of Portable E-Nose System for Fast Diagnosis of Whitefly Infestation in Tomato Plant in Greenhouse. Chemosensors 2021, 9, 297. [Google Scholar] [CrossRef]
- Cruz, C.; Matatagui, D.; Ramírez, C.; Badillo-Ramirez, I.; de la O-Cuevas, E.; Saniger, J.M.; Horrillo, M.C. Carbon SH-SAW-Based Electronic Nose to Discriminate and Classify Sub-ppm NO2. Sensors 2022, 22, 1261. [Google Scholar] [CrossRef] [PubMed]
- Weng, X.; Kong, C.; Jin, H.; Chen, D.; Li, C.; Li, Y.; Ren, L.; Xiao, Y.; Chang, Z. Detection of Volatile Organic Compounds (VOCs) in Livestock Houses Based on Electronic Nose. Appl. Sci. 2021, 11, 2337. [Google Scholar] [CrossRef]
- VR, N.; Mohapatra, A.K.; Lukose, J.; Kartha, V.B.; Chidangil, S. Post-COVID syndrome screening through breath analysis using electronic nose technology. Anal. Bioanal. Chem. 2022, 414, 3617–3624. [Google Scholar] [CrossRef]
- Arroyo, P.; Meléndez, F.; Suárez, J.I.; Herrero, J.L.; Rodríguez, S.; Lozano, J. Electronic Nose with Digital Gas Sensors Connected via Bluetooth to a Smartphone for Air Quality Measurements. Sensors 2020, 20, 786. [Google Scholar] [CrossRef] [Green Version]
- Seesaard, T.; Goel, N.; Kumar, M.; Wongchoosuk, C. Advances in gas sensors and electronic nose technologies for agricultural cycle applications. Comput. Electron. Agric. 2022, 193, 106673. [Google Scholar] [CrossRef]
- Feng, Y.; Tian, X.; Chen, Y.; Wang, Z.; Xia, J.; Qian, J.; Zhuang, Y.; Chu, J. Real-time and on-line monitoring of ethanol fermentation process by viable cell sensor and electronic nose. Bioresour. Bioprocess. 2021, 8, 37. [Google Scholar] [CrossRef]
- Abdollahi, M.; Hosseini, A. Hydrogen Peroxide. In Encyclopedia of Toxicology; Elsevier: Amsterdam, The Netherlands, 2014; pp. 967–970. [Google Scholar] [CrossRef]










Publisher’s Note: MDPI stays neutral with regard to jurisdictional claims in published maps and institutional affiliations. |
© 2022 by the authors. Licensee MDPI, Basel, Switzerland. This article is an open access article distributed under the terms and conditions of the Creative Commons Attribution (CC BY) license (https://creativecommons.org/licenses/by/4.0/).
Share and Cite
Arroyo, P.; Herrero, J.L.; Lozano, J.; Montero, P. Integrating LoRa-Based Communications into Unmanned Aerial Vehicles for Data Acquisition from Terrestrial Beacons. Electronics 2022, 11, 1865. https://doi.org/10.3390/electronics11121865
Arroyo P, Herrero JL, Lozano J, Montero P. Integrating LoRa-Based Communications into Unmanned Aerial Vehicles for Data Acquisition from Terrestrial Beacons. Electronics. 2022; 11(12):1865. https://doi.org/10.3390/electronics11121865
Chicago/Turabian StyleArroyo, Patricia, José Luis Herrero, Jesús Lozano, and Pablo Montero. 2022. "Integrating LoRa-Based Communications into Unmanned Aerial Vehicles for Data Acquisition from Terrestrial Beacons" Electronics 11, no. 12: 1865. https://doi.org/10.3390/electronics11121865
APA StyleArroyo, P., Herrero, J. L., Lozano, J., & Montero, P. (2022). Integrating LoRa-Based Communications into Unmanned Aerial Vehicles for Data Acquisition from Terrestrial Beacons. Electronics, 11(12), 1865. https://doi.org/10.3390/electronics11121865

