Abstract
The Internet of Things (IoT) is a paradigm that has rapidly evolved in recent years. The ability to connect many devices is driving the development of new types of applications that allow the remote monitoring of a wide variety of devices. One of the great challenges that has been identified in this field is the monitoring of sensors scattered in wide areas or located in environments with poor or even no communications coverage. To deal with this problem, different approaches based on cellular or satellite communications have been considered. However, these alternatives are complex and very expensive. To overcome these drawbacks, we designed a system based on unmanned aerial vehicles and LoRa technology that enables data transfer from sensors to a central system. Furthermore, machine learning techniques were applied to process and classify the data retrieved from the sensors. Finally, a Java-based application was developed, providing services such as data storage, processing, and visualization. To verify the correct operation of the proposed system, manual and autonomous flight tests were carried out, verifying the correct transmission of the data from the sensors to the central system.
1. Introduction
The emerging paradigm of the Internet of Things (IoT) has become a prominent technology in our world and currently offers an unparalleled framework for the development of applications where many devices need to be connected. The IoT can be defined as an information network that allows the connection among various types of devices through the Internet, allowing monitoring and even remote control of objects through a network [1,2]. The IoT is one of the fastest evolving technologies and is currently significantly changing many aspects of people’s daily lives. The ability of any device to communicate from anywhere at any time and in real time is causing a revolution in the type of applications that can be developed. At present, this technology is applied in different environments, such as agriculture [3,4], where traditional agricultural activities are being transformed into intelligent agricultural systems. Industrial environments are also adapting to this new IoT technology; nowadays, it is being used to perform predictive maintenance and quality management, as well as guarantee manufacturing without defects [5,6]. Even in the field of medicine, the application of the IoT systems is increasing the capabilities of diagnosing and treating diseases [7,8].
At the lowest layer of the IoT, wireless sensor networks (WSNs) play an important and fundamental role. In general, WSNs are made up of small, connected nodes working autonomously [9]. WSNs combine a wide range of different types of devices and are the cornerstone of all IoT systems [10]. However, this technology is not exempt from problems, and one of the challenges in this field is the application of IoT technology in large areas, where devices can be scattered, far apart from each other, and where communication coverage can also be poor or even null [11]. Some proposed solutions to address this issue are based on the application of cellular or satellite communication; however, these alternatives are very complex and expensive [12]. Due to these problems, a new wireless communication technology, called low power wide area network (LPWAN), has recently emerged. This approach supports communication over long distances (10–40 Km), requiring low consumption and allowing budget decreases [13]. Among the different alternatives proposed to develop these types of networks, LoRaWAn, which is based on applying the LoRa communication protocol in its physical layer, stands out [14]. LoRa is a modulation technology designed to allow long-range transmissions in the 433, 868, or 915 MHz frequency bands.
One of the most widespread applications in IoT environments is remote monitoring, in which all the data retrieved by a set of sensors distributed in a given area are centralized and stored. Most traditional monitoring systems consist of a few fixed stations, equipped with one to several sensors and measurement units sparsely deployed over large geographic areas. In this sense, meteorological [15], seismic [16], oceanographic [17], or even atmospheric pollution [18] monitoring systems have been developed. However, these types of networks are installed in fixed and static locations and can provide sufficient coverage only in very small areas. To extend sensor networks over large areas, in recent years, there has been a growing interest in the application of unmanned aerial vehicles (UAVs) in the field of sensor networks. UAV–LoRa networks have the advantage of ensuring direct visibility between this type of aircraft and ground sensors, allowing the exchange of data even if there is a large distance between them [19]. Furthermore, the use of UAVs as mobile communication nodes is perfectly adapted in environments where there is not enough communication coverage, or a very high investment is needed to implement it [20].
Different methods have been proposed combining LoRa communications and UAVs. Recently, a LoRa-based approach system was developed to transmit the identifier of a UAV and track its status in real time [21]. A UAV-based application with LoRa communication was used to obtain environmental data in disaster scenarios [22]. In [23], a fleet of UAVs was capable of adjusting their position to offer a very robust LoRa communication system to provide coverage to a set of terrestrial mobile systems. To track merchandise and increase location accuracy, IoT devices embedded in delivery vehicles, along with UAVs and LoRa gateways, were presented in [24]. In [25], a novel approach for linking a drone with air pollution monitoring stations using LoRa technology was described. Lastly, a study was completed on real-time applications related to UAVs and LoRa communications [26].
We tried to advance this technology and designed a novel system composed of a heterogeneous sensors network, where nodes can be scattered over a wide area and without communication coverage. The proposed system provides communication with isolated beacons, which are made up of several sensors. To this aim, we suggest the application of a UAV acting as a bridge between the beacons and the main system, using LoRa communication for data transmission. We propose the application of UAVs for data collection and transmission, the integration of LoRa technology as a long-distance communication system, and the application of artificial intelligence techniques for data processing.
The rest of this paper is structured as follows: Section 2 identifies the different elements of the developed system and explains its operation. Section 3 is focused on the description and discussion of the results obtained; finally, the conclusions and future work directions are presented in Section 4.
2. Materials and Methods
The system designed in this work is composed of three different parts: first, a set of sensors is grouped into a single device, called a beacon. A central system then supports data storage and applies machine learning algorithms for data processing. Finally, a UAV collects the data from the beacon and transmits it to the central system.
Figure 1 shows a scheme of the developed system. First, sensors take measurements of the considered variables. Once the data are retrieved, values are stored in the beacon. When the UAV connects to the beacon, the information is sent through LoRa communication technology. Finally, when the UAV returns home, all the information is moved to the central system, where it is permanently stored, and machine learning algorithms can be applied for data processing and classification.
Figure 1.
System scheme.
2.1. Sensors and the Beacon
To monitor a set of sensors, we developed a beacon to provide the following tasks: handle different types of sensors, obtain reliable measurements, control the flow of information, temporarily store the data, and control communications to transfer all the information. As shown in Figure 2, the beacon was composed of an ATmega2560 MCU processor, an RFM95 LoRa communication device integrated into the Dragino LoRa v1.4 board, a microSD module to temporarily store the information, a DHT11 module to measure temperature and humidity, and a Bluetooth HC-05 communication module.
Figure 2.
Beacon components.
Main sensors integrated into the beacon provide information about temperature and humidity because these variables are essential in a large variety of applications such as precision agriculture, environmental control, climate monitoring, etc. The design of the beacon also allows the incorporation of other sensor devices through a Bluetooth connection. To verify the correct communication with external sensors, an electronic nose, capable of detecting compounds in the air, is connected to the beacon. This device has been applied in a wide variety of applications. For example, in precision agriculture, it has been used to monitor crops and detect diseases [27,28]. In environmental monitoring, e-noses have been applied to monitor atmospheric pollution [29,30]. Medical applications have also employed e-noses in diagnosing diseases [31].
The electronic nose considered in this work was developed in a previous research work [32]. The electronic nose incorporated a Bluetooth communication system capable of transferring the data to and from the beacon. The components that made up this electronic nose were the following: a PIC18F46K80 microcontroller, an RN42VX Bluetooth module, and 4 gas sensors: MiCS-4514, MiCS-4514, MiCS-5914, and MiCS-5526 from Sensirion (Stäfa, Switzerland). The sensor MiCS-4514 included two sensing elements with independent heaters and sensing layers. One sensor detected oxidizing gases (OX), while the other sensor detected reducing gases (RED). The core of the device was a high-performance 8-bit microcontroller (PIC18F46K80) with 64 kB of program memory and 3648 bytes of RAM. The entire system was powered by a 3.7 V 600 mAh Li-polymer rechargeable external battery. The main advantage of connecting the e-nose with the beacon via Bluetooth was that they could be located at a certain distance, avoiding possible interference between them.
The algorithm that controls the operation of the beacon begins detecting all sensors and initializes LoRa and Bluetooth communication parameters. Once this phase is finished, the microcontroller and the LoRa communication module enter a low consumption state. This mode allows the system to alternate activity and rest periods, increasing its autonomy. While the device is activated, sensor data and UAV messages can be received. Finally, when the beacon and the UAV are linked, data can be transferred through the LoRa connection.
Figure 3 shows the beacon system. In Figure 3a, the beacon appears in the left part of the image, and the electronic nose is in the right part. In addition, to appreciate the small size of all components, a EUR 2 coin is shown between both devices. Beacon internal components and their connections are presented in Figure 3b.
Figure 3.
Beacon device along with the electronic nose. (a) Comparison of the components of the beacon with a coin; (b) presentation of the internal structure of the beacon.
2.2. Unmanned Aerial Vehicle
The UAV aims to allow the transmission of information from the beacon to the central system. With this aim, a new device onboard that supports communication with both the beacon (LoRa communication) and the central system (Bluetooth communication) was developed (Figure 4). This new device was composed of an Arduino Mega 2560 board, a LoRa RFM95 device that provides communication with the beacon, a microSD module to temporarily store the information, and a Bluetooth module to connect to the central system.
Figure 4.
Structure of the communication system integrated in the UAV.
In this work, a quadcopter multirotor aerial vehicle was developed. The flight controller was a PIXHAWK module and integrated a 32-bit ARM Cortex M4 core with an FPU processor. The complete system contained acceleration sensors, gyroscopes, and GPS for stabilization and navigation control. Communication with the vehicle was supported via a 2.4 GHz radio channel, providing data transmission up to 1 to 2 km. A 3-cell and 5000 mAh battery supported flights of up to 20 min. Figure 5 shows the developed UAV with the LORA communication device integrated into its lower part.
Figure 5.
Integration of LoRa communication in the UAV.
The UAV algorithm controlled the system and started initializing LoRa and Bluetooth communication parameters. Once the UAV took off, the system sent specific messages to the beacon. When the beacon received a UAV message, the data transferring process was activated. As soon as the transmission was completed, the system was updated to standby mode until the drone returned home. Finally, once the vehicle landed, the Bluetooth connection was activated, and all the data were transferred to the central system.
2.3. Data Processing
In last few years, electronic noses have been applied to detect different compounds in the air [33]. However, the main problems with this type of device are accuracy and precision. It is necessary to develop algorithms that detect specific compounds based on the data transmitted by the sensors integrated into the electronic nose. In this sense, pattern recognition techniques, based on machine learning methods, can be of great help. In the present work, machine learning techniques were applied to detect two different types of hazardous compounds. The first compound considered was ethanol, which is used in the processing of food and alcoholic beverages and in the production of fuel and personal and household products. The gas emitted by ethanol is not only highly flammable but also poses serious health risks to people [34]. The second compound considered was hydrogen peroxide because it can become a toxic and asphyxiating gas with a significant implicit risk of asphyxiation. Hydrogen peroxide is antiseptic due to its oxidizing power. It has antibacterial, antiviral, and antifungal properties, and exposure to this substance can cause shortness of breath, edema, and bronchitis [35].
To identify both compounds, a perceptron neural network was developed. The input layer was composed of 4 neurons, corresponding to the 4 sensors integrated into the electronic nose; an internal layer of 3 neurons; and an output layer with 2 neurons, in which each one represented one of the two substances to be distinguished. Backpropagation algorithms were applied as the learning technique, developing the following stages: feedforward stage, in which sensor data were introduced into the input nodes of the neural network, propagating the results by the entire neural network. The second stage consisted of adjusting the weights of neurons based on the differences between the actual and the desired output. The dataset was obtained by performing laboratory tests and applying solutions of ethanol, hydrogen peroxide as pollutants, and clean air to the electronic nose. Clean air acted as the reference or zero gas to train the neural network. In these tests, the data were divided into two different sets: a learning set, with the data calibrating the neural network; and the validation set, used to verify the values resulting from processing the data with the neural network. Finally, a success rate of 98.072% was achieved in the classification process.
2.4. Software Development
To receive and process the data from the UAV, a JAVA application was developed (Figure 6). This tool provided the following services:
Figure 6.
Developed JAVA application.
- App-UAV connection: received the data from the UAV through a Bluetooth connection.
- Data Storage: a specific database was developed to store the data retrieved from the beacon and the UAV.
- Data Query: all the information about flights and the beacon could be requested.
- Data analysis: applied the neural network to detect any of the compounds considered.
3. Results and Discussion
3.1. E-Nose
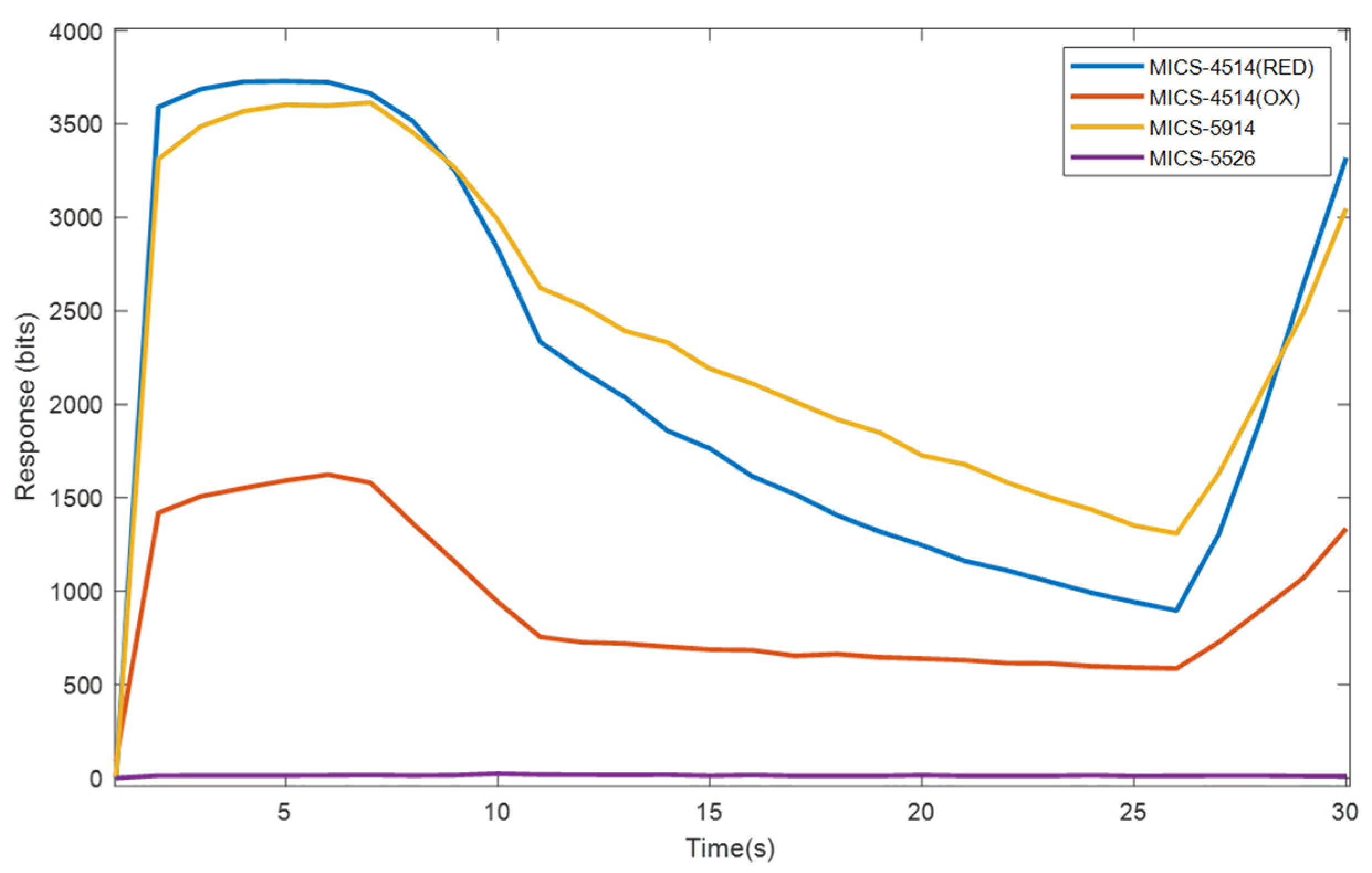
To train the neural network, different experiments were carried out, exposing the electronic nose to three different substances for 30 s and recording the values obtained by the sensors during that time. In these experiments, a modification of the heating of the sensors was programmed. It started at 100% and, after 10 s, it dropped to 50%. In this way, changes in the resistance of each sensor to each target substance were observed. Figure 7 and Figure 8 show the sensors’ responses to ethanol and hydrogen peroxide, respectively. Figure 9 presents the data obtained when using a clean air sample. The data in figures are presented according to the value received by the analog–digital converter of the 12-bit microcontroller (value proportional to the voltage between 0 and 4096).
Figure 7.
E-nose response to an ethanol sample.
Figure 8.
E-nose response to a sample of hydrogen peroxide.
Figure 9.
E-nose response to a clean air sample.
Comparing the previous figures, we verified that each substance generated a different sensor response. In addition, as shown in the first two graphs, there is a period (the first 2 s) that must be discarded because it is the time it takes for the sensors to react. In the results obtained, three important aspects could be observed about the behavior of the electronic nose in the face of different substances:
- MICS-4515(RED) and MICS-5914 sensors were very sensitive to hydrogen peroxide. The difference in resistance increased above 1000, which is very positive for the classification of this substance.
- MICS-4515(RED) and MICS-5914 sensors saturated in the presence of ethanol. They barely modified the resistance, unlike when there was no ethanol in the environment.
- MICS-4515(OX) and MICS-5526 sensors similarly responded to all substances.
3.2. LoRa Communication System
To check the correct operation of the system, two different tests were performed (Figure 10). In both tests, the beacon was placed in an open environment to guarantee direct communication with the UAV. The objective of the first test was to verify the correct operation of the system. In this case, the UAV was manually controlled from the ground station, directing the drone toward the beacon at a low altitude. Once the communication between the UAV and the beacon was established, the data were successfully transmitted, and, finally, the UAV returned home. As shown in Figure 10a, the beacon is in the lower left part of the image, while the UAV was flying a few meters high, just when the communication between both systems started. The second test consisted of performing an autonomous flight according to a previously planned path. In this case, the UAV took off and flew toward the coordinates of the beacon at a 20 m altitude. Once the UAV reached the target coordinates, the UAV sent a message to the beacon and waited for a reply message. Once the beacon responded, a communication link was established, and the data of the beacon were transferred to the UAV. When the transmission ended, the UAV automatically returned home. To design the path and monitor UAV flight, the Mission Planner application (Figure 10b) was used. In both tests, once the UAV landed, all the information was correctly transmitted to the central system.
Figure 10.
Flight tests: (a) manual flight test; (b) autonomous flight test.
4. Conclusions
In this work, an IoT system capable of monitoring sensors located in places with little or no coverage was presented. The proposed approach integrates a beacon with different sensors and two communication modules. First, a Bluetooth link allows the connection to external sensors, while a LoRa module is associated with the communication to the UAV. Furthermore, a home-developed electronic nose has been connected to the beacon to support the detection of compounds in the air. To support data transfer between the remote beacons and the system, a UAV with a LoRa communication link was proposed. Furthermore, a Java-based application was also developed to retrieve and store data handled by the beacon and transmitted through the UAV. A multilayer perceptron neural network with a backpropagation learning algorithm was deployed and trained for data processing purposes. To this end, two different air compounds were considered (ethanol and hydrogen peroxide), while clean air was used as the reference gas. Finally, different tests were performed considering manual and autonomous flights to validate the proposed system. These tests allowed the verification of the connection between the beacon and external sensors, the correct data transferring from the beacon to the central system through a UAV, and the identification of air compounds. Although this work focused on supporting communication for one beacon, the expansion to several beacons forming a heterogeneous network of sensors is simple: it would be enough to place new beacons in different positions and plan UAV paths that pass through the positions of the beacons.
The main conclusion drawn from this work is that the proposed system solves some of the problems identified in traditional IoT systems. More specifically, the proposed system focuses on unfavorable environments, where communication coverage is not guaranteed. The combination of UAVs and LoRa communication provides a real solution in this environment requiring low-cost budgets.
Future works will deal with issues such as the detection of new air compounds detected by the electronic nose and the application of a UAV swarm that can be intelligently organized to cover a large area in the shortest time.
Author Contributions
P.A. participated in the conceptualization, defining work methodology and formal analysis tasks. J.L.H. performed investigation, writing—original draft preparation, writing—review and editing, and visualization tasks. J.L. was in charge of the supervision, project administration, and funding acquisition tasks. Finally, P.M. developed software and validated the system. All authors have read and agreed to the published version of the manuscript.
Funding
Authors want to thank Spanish Ministry of Science, Innovation and Universities for supporting the NEOGAS project (PID2019-107697RB-C44).
Conflicts of Interest
The authors declare no conflict of interest.
References
- Anupriya, K.; Yomas, J.; Jubin, S.E. A review on IoT protocols for long distance and low power. Int. J. Eng. Sci. Technol. 2015, 5, 344–347. [Google Scholar]
- Gomathi, R.; Krishna, G.H.S.; Brumancia, E.; Dhas, Y.M. A Survey on IoT Technologies, Evolution and Architecture. In Proceedings of the 2018 International Conference on Computer, Communication, and Signal Processing (ICCCSP), Chennai, India, 22–23 February 2018; pp. 1–5. [Google Scholar] [CrossRef]
- Díaz, S.E.; Pérez, J.C.; Mateos, A.C.; Marinescu, M.-C.; Guerra, B.B. A novel methodology for the monitoring of the agricultural production process based on wireless sensor networks. Comput. Electron. Agric. 2011, 76, 252–265. [Google Scholar] [CrossRef]
- Becker-Reshef, I.; Justice, C.; Sullivan, M.; Vermote, E.; Tucker, C.; Anyamba, A.; Small, J.; Pak, E.; Masuoka, E.; Schmaltz, J.; et al. Monitoring Global Croplands with Coarse Resolution Earth Observations: The Global Agriculture Monitoring (GLAM) Project. Remote Sens. 2010, 2, 1589–1609. [Google Scholar] [CrossRef] [Green Version]
- Liu, L.; Mishra, A.R. Enabling technologies challenges of green internet of things (iot) towards sustainable development in the era of industry 4. Technol. Econ. Dev. Econ. 2022, 1, 1–32. [Google Scholar] [CrossRef]
- Christou, I.T.; Kefalakis, N.; Soldatos, J.K.; Despotopoulou, A.-M. End-to-end industrial IoT platform for Quality 4.0 applications. Comput. Ind. 2022, 137, 103591. [Google Scholar] [CrossRef]
- Nalini, M.; Abirami, V.; Lakshmi, G.A.; Harini, D. IoT based smart medicine kit. Mater. Today Proc. 2021, 46, 4125–4127. [Google Scholar] [CrossRef]
- Lu, Z.-X.; Qian, P.; Bi, D.; Ye, Z.-W.; He, X.; Zhao, Y.-H.; Su, L.; Li, S.-L.; Zhu, Z.-L. Application of AI and IoT in Clinical Medicine: Summary and Challenges. Curr. Med. Sci. 2021, 41, 1134–1150. [Google Scholar] [CrossRef]
- Gulati, K.; Boddu, R.S.K.; Kapila, D.; Bangare, S.L.; Chandnani, N.; Saravanan, G. A review paper on wireless sensor network techniques in Internet of Things (IoT). Mater. Today Proc. 2021, 51, 161–165. [Google Scholar] [CrossRef]
- Abdul-Qawy, A.S.H.; Almurisi, N.M.S.; Tadisetty, S. Classification of Energy Saving Techniques for IoT-based Heterogeneous Wireless Nodes. Procedia Comput. Sci. 2020, 171, 2590–2599. [Google Scholar] [CrossRef]
- Yazid, Y.; Ez-Zazi, I.; Guerrero-González, A.; El Oualkadi, A.; Arioua, M. UAV-Enabled Mobile Edge-Computing for IoT Based on AI: A Comprehensive Review. Drones 2021, 5, 148. [Google Scholar] [CrossRef]
- Moron-Lopez, J.; Rodriguez-Sanchez, M.C.; Carreno, F.; Vaquero, J.; Pompa-Pernia, A.G.; Mateos-Fernandez, M.; Aguilar, J.A.P. Implementation of Smart Buoys and Satellite-Based Systems for the Remote Monitoring of Harmful Algae Bloom in Inland Waters. IEEE Sens. J. 2020, 21, 6990–6997. [Google Scholar] [CrossRef]
- Mekki, K.; Bajic, E.; Chaxel, F.; Meyer, F. A comparative study of LPWAN technologies for large-scale IoT deployment. ICT Express 2019, 5, 1–7. [Google Scholar] [CrossRef]
- Queralta, J.P.; Gia, T.; Zou, Z.; Tenhunen, H.; Westerlund, T. Comparative Study of LPWAN Technologies on Unlicensed Bands for M2M Communication in the IoT: Beyond LoRa and LoRaWAN. Procedia Comput. Sci. 2019, 155, 343–350. [Google Scholar] [CrossRef]
- Shuman, C.A.; Steffen, K.; Box, J.; Stearns, C.R. A Dozen Years of Temperature Observations at the Summit: Central Greenland Automatic Weather Stations 1987–99. J. Appl. Meteorol. 2001, 40, 741–752. [Google Scholar] [CrossRef]
- Ringler, A.T.; Steim, J.; Wilson, D.C.; Widmer-Schnidrig, R.; E Anthony, R. Improvements in seismic resolution and current limitations in the Global Seismographic Network. Geophys. J. Int. 2019, 220, 508–521. [Google Scholar] [CrossRef]
- Gasparin, F.; Greiner, E.; Lellouche, J.-M.; Legalloudec, O.; Garric, G.; Drillet, Y.; Bourdallé-Badie, R.; Le Traon, P.-Y.; Rémy, E.; Drévillon, M. A large-scale view of oceanic variability from 2007 to 2015 in the global high resolution monitoring and forecasting system at Mercator Océan. J. Mar. Syst. 2018, 187, 260–276. [Google Scholar] [CrossRef]
- Kim, S.H.; Jeong, J.M.; Hwang, M.T.; Kang, C.S. Development of an IoT-based atmospheric environment monitoring system. In Proceedings of the 2017 International Conference on Information and Communication Technology Convergence (ICTC), Jeju Island, Korea, 18–20 October 2017; pp. 861–863. [Google Scholar] [CrossRef]
- Davoli, L.; Pagliari, E.; Ferrari, G. Hybrid LoRa-IEEE 802.11s Opportunistic Mesh Networking for Flexible UAV Swarming. Drones 2021, 5, 26. [Google Scholar] [CrossRef]
- Ali, Z.A.; Masroor, S.; Aamir, M. UAV Based Data Gathering in Wireless Sensor Networks. Wirel. Pers. Commun. 2018, 106, 1801–1811. [Google Scholar] [CrossRef]
- Mujumdar, O.; Celebi, H.; Guvenc, I.; Sichitiu, M.; Hwang, S.; Kang, K.-M. Use of LoRa for UAV Remote ID with Multi-User Interference and Different Spreading Factors. In Proceedings of the 2021 IEEE 93rd Vehicular Technology Conference (VTC2021-Spring), Helsinki, Finland, 25–28 April 2021. [Google Scholar] [CrossRef]
- Pan, M.; Chen, C.; Yin, X.; Huang, Z. UAV-Aided Emergency Environmental Monitoring in Infrastructure-Less Areas: LoRa Mesh Networking Approach. IEEE Internet Things J. 2021, 9, 2918–2932. [Google Scholar] [CrossRef]
- Saraereh, O.A.; Alsaraira, A.; Khan, I.; Uthansakul, P. Performance Evaluation of UAV-Enabled LoRa Networks for Disaster Management Applications. Sensors 2020, 20, 2396. [Google Scholar] [CrossRef]
- Delafontaine, V.; Schiano, F.; Cocco, G.; Rusu, A.; Floreano, D. Drone-aided Localization in LoRa IoT Networks. In Proceedings of the 2020 IEEE International Conference on Robotics and Automation (ICRA), Virtual, 31 May–31 August 2020; pp. 286–292. [Google Scholar] [CrossRef]
- Chen, L.-Y.; Huang, H.-S.; Wu, C.-J.; Tsai, Y.-T.; Chang, Y.-S. A LoRa-Based Air Quality Monitor on Unmanned Aerial Vehicle for Smart City. In Proceedings of the 2018 International Conference on System Science and Engineering (ICSSE), New Taipei City, Taiwan, 15 March 2018; pp. 1–5. [Google Scholar] [CrossRef]
- Ghazali, M.H.M.; Teoh, K.; Rahiman, W. A Systematic Review of Real-Time Deployments of UAV-Based LoRa Communication Network. IEEE Access 2021, 9, 124817–124830. [Google Scholar] [CrossRef]
- Chang, K.P.P.; Zakaria, A.; Nasir, A.S.A.; Yusuf, N.; Thriumani, R.; Shakaff, A.Y.M.; Adom, A.H. Analysis and feasibility study of plant disease using e-nose. In Proceedings of the 2014 IEEE International Conference on Control System, Computing and Engineering (ICCSCE 2014), Penang, Malaysia, 28–30 November 2014; pp. 58–63. [Google Scholar]
- Cui, S.; Cao, L.; Acosta, N.; Zhu, H.; Ling, P.P. Development of Portable E-Nose System for Fast Diagnosis of Whitefly Infestation in Tomato Plant in Greenhouse. Chemosensors 2021, 9, 297. [Google Scholar] [CrossRef]
- Cruz, C.; Matatagui, D.; Ramírez, C.; Badillo-Ramirez, I.; de la O-Cuevas, E.; Saniger, J.M.; Horrillo, M.C. Carbon SH-SAW-Based Electronic Nose to Discriminate and Classify Sub-ppm NO2. Sensors 2022, 22, 1261. [Google Scholar] [CrossRef] [PubMed]
- Weng, X.; Kong, C.; Jin, H.; Chen, D.; Li, C.; Li, Y.; Ren, L.; Xiao, Y.; Chang, Z. Detection of Volatile Organic Compounds (VOCs) in Livestock Houses Based on Electronic Nose. Appl. Sci. 2021, 11, 2337. [Google Scholar] [CrossRef]
- VR, N.; Mohapatra, A.K.; Lukose, J.; Kartha, V.B.; Chidangil, S. Post-COVID syndrome screening through breath analysis using electronic nose technology. Anal. Bioanal. Chem. 2022, 414, 3617–3624. [Google Scholar] [CrossRef]
- Arroyo, P.; Meléndez, F.; Suárez, J.I.; Herrero, J.L.; Rodríguez, S.; Lozano, J. Electronic Nose with Digital Gas Sensors Connected via Bluetooth to a Smartphone for Air Quality Measurements. Sensors 2020, 20, 786. [Google Scholar] [CrossRef] [Green Version]
- Seesaard, T.; Goel, N.; Kumar, M.; Wongchoosuk, C. Advances in gas sensors and electronic nose technologies for agricultural cycle applications. Comput. Electron. Agric. 2022, 193, 106673. [Google Scholar] [CrossRef]
- Feng, Y.; Tian, X.; Chen, Y.; Wang, Z.; Xia, J.; Qian, J.; Zhuang, Y.; Chu, J. Real-time and on-line monitoring of ethanol fermentation process by viable cell sensor and electronic nose. Bioresour. Bioprocess. 2021, 8, 37. [Google Scholar] [CrossRef]
- Abdollahi, M.; Hosseini, A. Hydrogen Peroxide. In Encyclopedia of Toxicology; Elsevier: Amsterdam, The Netherlands, 2014; pp. 967–970. [Google Scholar] [CrossRef]
Publisher’s Note: MDPI stays neutral with regard to jurisdictional claims in published maps and institutional affiliations. |
© 2022 by the authors. Licensee MDPI, Basel, Switzerland. This article is an open access article distributed under the terms and conditions of the Creative Commons Attribution (CC BY) license (https://creativecommons.org/licenses/by/4.0/).









