Numerical Evaluation of Complex Capacitance Measurement Using Pulse Excitation in Electrical Capacitance Tomography
Abstract
:1. Introduction
2. Materials and Methods
2.1. Admittance Measurement with Capacitive Coupling
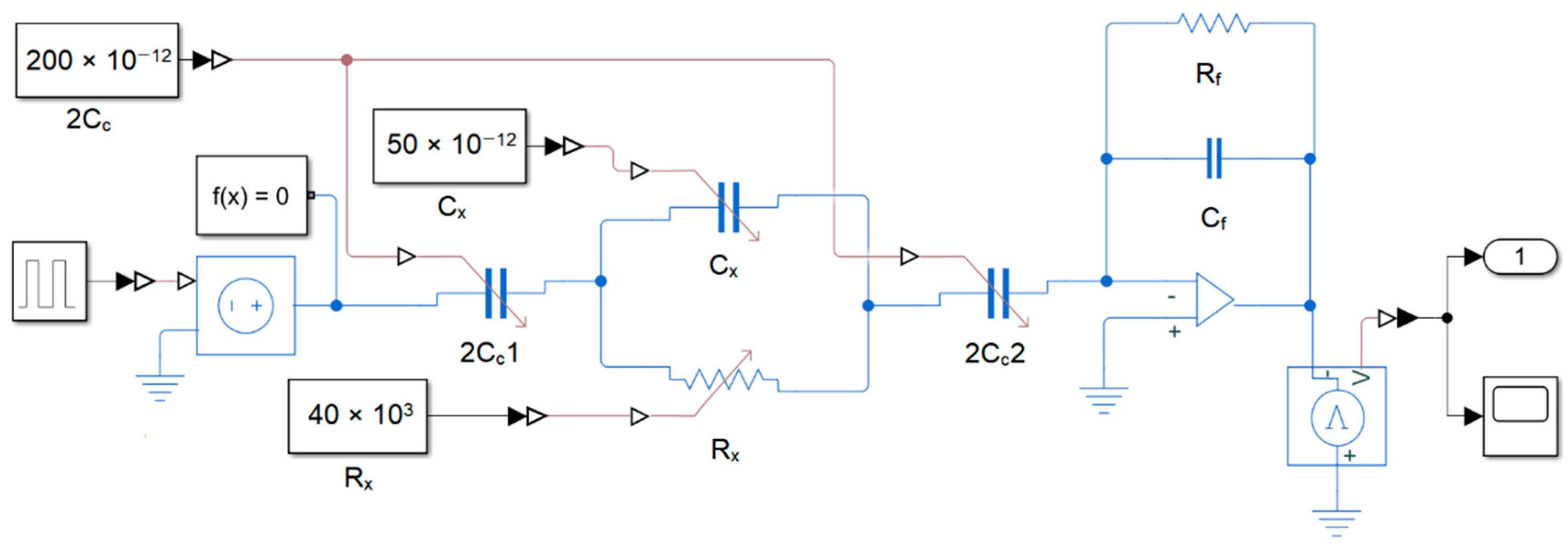
2.2. Pulse Shape Analysis in the Measurement Circuit
2.3. Admittance Component Estimation Using Digital Samples of Integrator Response
2.4. Numerical Simulations of Tomographic Measurements
2.4.1. Test Object
2.4.2. Forward Problem
2.4.3. Simulations of the Measurements Using Pulse Excitation
2.5. Image Reconstruction
3. Results
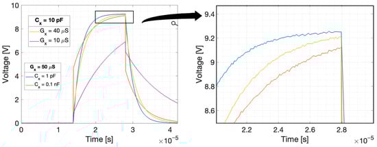
3.1. Admittance Estimation Using Simulated Integrator Response
3.2. Image Reconstruction from Simulated Data
4. Discussion
5. Conclusions
Author Contributions
Funding
Institutional Review Board Statement
Informed Consent Statement
Data Availability Statement
Conflicts of Interest
References
- Huang, S.M.; Stott, A.L.; Green, R.G.; Beck, M.S. Electronic transducers for industrial measurement of low value capacitances. J. Phys. E. 1988, 21, 242–250. [Google Scholar] [CrossRef]
- Yang, W.Q. Hardware design of electrical capacitance tomography systems. Meas. Sci. Technol. 1996, 7, 225–232. [Google Scholar] [CrossRef]
- Plaskowski, A.; Beck, M.S.; Thorn, R.; Dyakowski, T. Imaging Industrial Flows; Applications of Electrical Process Tomography; CRC Press: Boca Raton, FL, USA, 1995; ISBN 9780750302968. [Google Scholar]
- Wang, H.; Yang, W. Application of electrical capacitance tomography in pharmaceutical fluidised beds—A review. Chem. Eng. Sci. 2021, 231, 116236. [Google Scholar] [CrossRef]
- Jin, H.; Wang, M.; Williams, R.A. Analysis of bubble behaviors in bubble columns using electrical resistance tomography. Chem. Eng. J. 2007, 130, 179–185. [Google Scholar] [CrossRef]
- Rymarczyk, T.; Sikora, J. Applying industrial tomography to control and optimization flow systems. Open Phys. 2018, 16, 332–345. [Google Scholar] [CrossRef]
- Dickin, F.; Wang, M. Electrical resistance tomography for process applications. Meas. Sci. Technol. 1996, 7, 247–260. [Google Scholar] [CrossRef]
- Yao, J.; Takei, M. Application of Process Tomography to Multiphase Flow Measurement in Industrial and Biomedical Fields: A Review. IEEE Sens. J. 2017, 17, 8196–8205. [Google Scholar] [CrossRef]
- Brown, B.H.; Barber, D.C. Electrical impedance tomography; the construction and application to physiological measurement of electrical impedance images. Med. Prog. Technol. 1987, 13, 69–75. [Google Scholar]
- Grychtol, B.; Müller, B.; Adler, A. 3D EIT image reconstruction with GREIT. Physiol. Meas. 2016, 37, 785–800. [Google Scholar] [CrossRef]
- Harikumar, R.; Prabu, R.; Raghavan, S. Electrical Impedance Tomography (EIT) and Its Medical Applications: A Review. Int. J. Soft Comput. Eng. 2013, 3, 193–198. [Google Scholar]
- Jiang, Y.; Soleimani, M. Capacitively Coupled Phase-based Dielectric Spectroscopy Tomography. Sci. Rep. 2018, 8, 17526. [Google Scholar] [CrossRef] [PubMed]
- Karsten, J.; Stueber, T.; Voigt, N.; Teschner, E.; Heinze, H. Influence of different electrode belt positions on electrical impedance tomography imaging of regional ventilation: A prospective observational study. Crit. Care 2016, 20, 3. [Google Scholar] [CrossRef] [PubMed] [Green Version]
- Osinski, K.; Bujnowski, A.; Przystup, P.; Wtorek, J. Electrodes array for contactless ECG measurement of a bathing person—A sensitivity analysis. In Proceedings of the 41st Annual International Conference of the IEEE Engineering in Medicine and Biology Society (EMBC), Berlin, Germany, 23–27 July 2019; pp. 6583–6586. [Google Scholar] [CrossRef]
- Schwarz, M.; Jendrusch, M.; Constantinou, I. Spatially resolved electrical impedance methods for cell and particle characterization. Electrophoresis 2020, 41, 65–80. [Google Scholar] [CrossRef] [Green Version]
- Teixeira, F.L.; Fan, L.S. A Multimodal Tomography System Based on ECT Sensors. IEEE Sens. J. 2007, 7, 426–433. [Google Scholar] [CrossRef]
- Sun, S.; Cao, Z.; Huang, A.; Xu, L.; Yang, W. A High-Speed Digital Electrical Capacitance Tomography System Combining Digital Recursive Demodulation and Parallel Capacitance Measurement. IEEE Sens. J. 2017, 17, 6690–6698. [Google Scholar] [CrossRef] [Green Version]
- Smolik, W.T.; Kryszyn, J.; Radzik, B.; Stosio, M.; Wróblewski, P.; Wanta, D.; Dańko, L.; Olszewski, T.; Szabatin, R. Single-shot high-voltage circuit for electrical capacitance tomography. Meas. Sci. Technol. 2017, 28, 025902. [Google Scholar] [CrossRef]
- Kryszyn, J.; Wanta, D.M.; Smolik, W.T. Gain Adjustment for Signal-to-Noise Ratio Improvement in Electrical Capacitance Tomography System EVT4. IEEE Sens. J. 2017, 17, 8107–8116. [Google Scholar] [CrossRef]
- Cui, Z.; Zhang, W.; Hu, Y.; Wang, H. Further Development in Differential Electrical Capacitance Tomography. IEEE Sens. J. 2018, 18, 9781–9791. [Google Scholar] [CrossRef]
- Cui, Z.; Chen, Y.; Wang, H. A dual-modality integrated sensor for electrical capacitance tomography and electromagnetic tomography. IEEE Sens. J. 2019, 19, 10016–10026. [Google Scholar] [CrossRef]
- Kovačić, D.; Šantić, A. An Electrical Impedance Tomography System for Current Pulse Measurements. Proc. Int. Fed. Med. Biol. Eng. Med. 2001, 2001, 255–257. [Google Scholar]
- Mejía-Aguilar, A.; Pallàs-Areny, R. Electrical impedance measurement using voltage/current pulse excitation. In Proceedings of the 19th IMEKO World Congress, Lisbon, Portugal, 6–11 September 2009; Volume 1, pp. 591–596. [Google Scholar]
- Grossi, M.; Riccò, B. Electrical impedance spectroscopy (EIS) for biological analysis and food characterization: A review. J. Sensors Sens. Syst. 2017, 6, 303–325. [Google Scholar] [CrossRef] [Green Version]
- Lentka, G.; Kowalewski, M. Improvement of the fast impedance spectroscopy method using square pulse excitation. In Proceedings of the Joint International IMEKO TC1+TC7+TC13 Symposium, Jena, Germany, 31 August–2 September 2011; Volume 1, pp. 259–262. [Google Scholar]
- Ojarand, J.; Annus, P.; Land, R.; Parve, T.; Min, M. Nonlinear chirp pulse excitation for the fast impedance spectroscopy. Elektron. Ir Elektrotechnika 2010, 4, 73–76. [Google Scholar]
- Pliquet, U.; Gersing, E.; Pliquett, F. Evaluation of Fast Time-domain Based Impedance Measurements on Biological Tissue—Beurteilung schneller Impedanzmessungen im Zeitbereich an biologischen Geweben. Biomed. Tech. 2000, 45, 6–13. [Google Scholar] [CrossRef] [PubMed]
- Howie, M.B.; Dzwonczyk, R.; McSweeney, T.D. An evaluation of a new two-electrode myocardial electrical impedance monitor for detecting myocardial ischemia. Anesth. Analg. 2001, 92, 12–18. [Google Scholar] [CrossRef]
- Min, M.; Pliquett, U.; Nacke, T.; Barthel, A.; Annus, P.; Land, R. Broadband excitation for short-time impedance spectroscopy. Physiol. Meas. 2008, 29, S185–S192. [Google Scholar] [CrossRef] [PubMed]
- Land, R.; Annus, P.; Min, M. Time-frequency impedance spectroscopy: Excitation considerations. In Proceedings of the IMEKO TC4 International Symposium on Novelties in Electrical Measurements and Instrumentations, Iasi, Romania, 19–21 September 2007; pp. 1–4. [Google Scholar]
- Min, M.; Pliquett, U.; Nacke, T.; Barthel, A.; Annus, P.; Land, R. Signals in bioimpedance measurement: Different waveforms for different tasks. IFMBE Proc. 2007, 17, 181–184. [Google Scholar] [CrossRef]
- Jiang, Y.D.; Soleimani, M. Capacitively Coupled Electrical Impedance Tomography for Brain Imaging. IEEE Trans. Med. Imaging 2019, 38, 2104–2113. [Google Scholar] [CrossRef]
- Xu, L.; Sun, S.; Cao, Z.; Yang, W. Performance analysis of a digital capacitance measuring circuit. Rev. Sci. Instrum. 2015, 86, 054703. [Google Scholar] [CrossRef]
- Ojarand, J.; Min, M. On the selection of excitation signals for the fast spectroscopy of electrical bioimpedance. J. Electr. Bioimpedance 2018, 9, 133–141. [Google Scholar] [CrossRef] [Green Version]
- Rymarczyk, T.; Nita, P.; Vejar, A.; Stefaniak, B.; Sikora, J. Electrical tomography system for innovative imaging and signal analysis. Prz. Elektrotechniczny 2019, 95, 133–136. [Google Scholar] [CrossRef] [Green Version]
- Hasgall, P.A.; Di Gennaro, F.; Baumgartner, C.; Neufeld, E.; Lloyd, B.; Gosselin, M.C.; Payne, D.; Klingenböck, A.K.N. IT’IS Database for Thermal and Electromagnetic Parameters of Biological Tissues. Version 4.1, 22 February 2022. Available online: https://itis.swiss/virtual-population/tissue-properties/ (accessed on 10 May 2022). [CrossRef]
- Kryszyn, J.; Smolik, W. 2D Modelling of a Sensor for Electrical Capacitance Tomography in Ectsim Toolbox. Inform. Control. Meas. Econ. Environ. Prot. 2017, 7, 146–149. [Google Scholar] [CrossRef]
- Wanta, D.; Smolik, W.T.; Kryszyn, J.; Wróblewski, P.; Midura, M. A Finite Volume Method using a Quadtree Non-Uniform Structured Mesh for Modeling in Electrical Capacitance Tomography. Proc. Natl. Acad. Sci. India Sect. A Phys. Sci. 2021, 1–10. [Google Scholar] [CrossRef]
- Wtorek, J.; Bujnowski, A.; Polinski, A.; Nowakowski, A. A six-ring probe for monitoring conductivity changes. Physiol. Meas. 2005, 26, S69–S79. [Google Scholar] [CrossRef] [PubMed]















| Tissue | Object | Position xc, yc [mm] | Size a, b [mm] | Tilt [deg] | ||
|---|---|---|---|---|---|---|
| left lung | LL | 59.0, −7.8 | 43.4, 71.0 | 70.9 | 1029 | 123 |
| right lung | RL1 | −64.4, 0.6 | 54.4, 77.5 | 95.4 | ||
| RL2 | −53.6, 68.6 | 9.8, 33.2 | 176.44 | |||
| heart | H | 14.2, 38.2 | 46.3, 39.4 | 21.3 | 3260 | 281 |
| spine | S | −6.9, −47.6 | 11.4, 11.4 | 90 | 175 | 22.2 |
| aorta | A | −0.9, −23.7 | 9.9, 9.7 | 90 | 3260 | 281 |
| body | LBO | 65.0, 2.7 | 67.3, 98.22 | 90 | 56.8 | 43.8 |
| RBO | −71.8, 4.7 | 69.7, 100.2 | 90 | |||
| BR | 0, 0 | 143.6, 191.1 | 90 |
[PF] | [PF] | Relative Error [%] | Uncertainty [%] | Sensitivity |
|---|---|---|---|---|
| 1 | 1.23 | 23.09 | 19.70 | 0.97 |
| 10 | 10.25 | 2.53 | 3.08 | 0.97 |
| 100 | 100.67 | 0.66 | 1.88 | 1.28 |
[PF] | [PF] | Relative Error [%] | Uncertainty [%] | Sensitivity |
|---|---|---|---|---|
| 1 | 0.96 | 3.16 | 27.00 | 1.04 |
| 10 | 10.00 | 0.01 | 2.72 | 1.00 |
| 100 | 99.98 | 0.01 | 0.85 | 1.00 |
[PF] | [PF] | Relative Error [%] | Uncertainty [%] | Sensitivity |
|---|---|---|---|---|
| 0.01 | 0.01 | 0.24 | 0.05 | 1.00 |
| 0.10 | 0.10 | 1.50 | 0.39 | 1.03 |
| 1.00 | 1.20 | 22.10 | 4.97 | 2.00 |
[PF] | [PF] | Relative Error [%] | Uncertainty [%] | Sensitivity |
|---|---|---|---|---|
| 0.01 | 0.01 | 0.78 | 0.10 | 1.03 |
| 0.10 | 0.10 | 3.72 | 0.41 | 1.04 |
| 1.00 | 1.50 | 52.20 | 5.02 | 2.00 |
| Component | Ideal Data | Data Obtained Using the Proposed Method | |
|---|---|---|---|
| Residuum | ε | 6.6 × 10−4 | 3.4 × 10−2 |
| σ | 6.3 × 10−5 | 5.2 × 10−4 | |
| Discrepancy | ε | 0.125 | 0.389 |
| σ | 0.580 | 0.711 |
Publisher’s Note: MDPI stays neutral with regard to jurisdictional claims in published maps and institutional affiliations. |
© 2022 by the authors. Licensee MDPI, Basel, Switzerland. This article is an open access article distributed under the terms and conditions of the Creative Commons Attribution (CC BY) license (https://creativecommons.org/licenses/by/4.0/).
Share and Cite
Wanta, D.; Makowiecka, O.; Smolik, W.T.; Kryszyn, J.; Domański, G.; Midura, M.; Wróblewski, P. Numerical Evaluation of Complex Capacitance Measurement Using Pulse Excitation in Electrical Capacitance Tomography. Electronics 2022, 11, 1864. https://doi.org/10.3390/electronics11121864
Wanta D, Makowiecka O, Smolik WT, Kryszyn J, Domański G, Midura M, Wróblewski P. Numerical Evaluation of Complex Capacitance Measurement Using Pulse Excitation in Electrical Capacitance Tomography. Electronics. 2022; 11(12):1864. https://doi.org/10.3390/electronics11121864
Chicago/Turabian StyleWanta, Damian, Oliwia Makowiecka, Waldemar T. Smolik, Jacek Kryszyn, Grzegorz Domański, Mateusz Midura, and Przemysław Wróblewski. 2022. "Numerical Evaluation of Complex Capacitance Measurement Using Pulse Excitation in Electrical Capacitance Tomography" Electronics 11, no. 12: 1864. https://doi.org/10.3390/electronics11121864
APA StyleWanta, D., Makowiecka, O., Smolik, W. T., Kryszyn, J., Domański, G., Midura, M., & Wróblewski, P. (2022). Numerical Evaluation of Complex Capacitance Measurement Using Pulse Excitation in Electrical Capacitance Tomography. Electronics, 11(12), 1864. https://doi.org/10.3390/electronics11121864

