A Low-Cost Microwave Filter with Improved Passband and Stopband Characteristics Using Stub Loaded Multiple Mode Resonator for 5G Mid-Band Applications
Abstract
1. Introduction
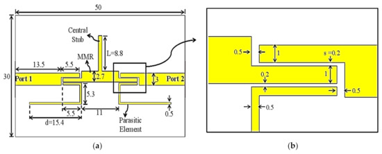
2. Filter Structure
3. Filter Analysis and Modeling
3.1. SL-MMR Modeling
3.1.1. Odd-Mode Resonant Frequency
3.1.2. Even-Mode Resonant Frequency
3.2. Parasitic Elements Modeling
4. Parametric Study
- The dual narrowband mode can be obtained when a short central stub (or no central stub) is attached to the filter. This design is beneficial for only specific applications within this 5G sub-band, but with an improved quality factor.
- The second mode (the main concern of this work) is obtained when a longer central stub is used. In this case, the even and odd resonant frequencies are getting closer to each other to cover wider bandwidth. The advantage of this mode is concluded by covering the entire 5G sub-band with good matching characteristics to make the device, to which the filter is attached, compatible with the entire band of interest.
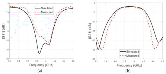
5. Measured Results
- Shielding the fabricated filter to provide a noticeable immunity against the electromagnetic interference;
- Controlling the electrical length of the central stub with the aid of varactor or PIN diode to present a controllable even mode resonant frequency, so that the filter can be used as a wideband 5G filter and dual-band narrow band filter.
6. Conclusions
Author Contributions
Funding
Acknowledgments
Conflicts of Interest
References
- Mahon, S. The 5G Effect on RF Filter Technologies. IEEE Trans. Semicond. Manuf. 2017, 30, 494–499. [Google Scholar] [CrossRef]
- Shin, K.R.; Eilert, K. Compact low cost 5G NR n78 band pass filter with silicon IPD technology. In Proceedings of the 2018 IEEE 19th Wireless and Microwave Technology Conference (WAMICON), Sand Key, FL, USA, 9–10 April 2018; pp. 1–3. [Google Scholar]
- Abdulraheem, Y.; Hasanain, A.H.A.; Baha, A.S.; Parchin, N.O.; Ahmed, M.A.; Abdulkareem, S.A.; Raed, A.A. New Radiation Pattern-Reconfigurable 60-GHz Antenna for 5G Communications. IntechOpen. 2019. Available online: https://www.intechopen.com/online-first/new-radiation-pattern-reconfigurable-60-ghz-antenna-for-5g-communications (accessed on 26 September 2019).
- Campanella, H.; Qian, Y.; Romero, C.O.; Wong, J.S.; Giner, J.; Kumar, R. Monolithic Multiband MEMS RF Front-End Module for 5G Mobile. J. Microelectromechan. Syst. 2021, 30, 72–80. [Google Scholar] [CrossRef]
- Statement: Improving Consumer Access to Mobile Services at 3.6 GHz to 3.8 GHz. Available online: https://www.ofcom.org.uk/consultations-and-statements/category-1/future-use-at-3.6-3.8-ghz (accessed on 21 October 2018).
- Watanabe, A.O.; Ali, M.; Sayeed, S.Y.B.; Tummala, R.R.; Raj, P.M. A Review of 5G Front-End Systems Package Integration. IEEE Trans. Compon. Packag. Manuf. Technol. 2020. [Google Scholar] [CrossRef]
- Ben Thomas, Q. Global 5G Rush But No Global 5G Handsets. Microw. J. 2019, 62, 98–103. [Google Scholar]
- Caleffi, M.; Trianni, V.; Cacciapuoti, A.S. Self-Organizing Strategy Design for Heterogeneous Coexistence in the Sub-6 GHz. IEEE Trans. Wirel. Commun. 2018, 17, 7128–7143. [Google Scholar] [CrossRef]
- Ban, Y.; Li, C.; Sim, C.; Wu, G.; Wong, K. 4G/5G Multiple Antennas for Future Multi-Mode Smartphone Applications. IEEE Access 2016, 4, 2981–2988. [Google Scholar] [CrossRef]
- Liu, C.; Deng, Z.; Liu, X.; Luo, X. A Wideband Bandpass Filter with Broad Stopband and Ultra-Wide Reflectionless Range for 5G Applications. In Proceedings of the 2019 IEEE MTT-S International Microwave Symposium (IMS), Boston, MA, USA, 2–7 June 2019; pp. 834–837. [Google Scholar]
- Al-Yasir, Y.I.A.; Tu, Y.; Parchin, N.O.; Abdulkhaleq, A.; Kosha, J.; Ullah, A.; Abd-Alhameed, R.; Noras, J. New Multi-standard Dual-Wideband and Quad-Wideband Asymmetric Step Impedance Resonator Filters with Wide Stop Band Restriction. Int. J. Microw. Comput. Aided Eng. 2019, 29, e21802. [Google Scholar] [CrossRef]
- Xu, J.; Wu, W.; Wei, G. Compact Multi-Band Bandpass Filters with Mixed Electric and Magnetic Coupling Using Multiple-Mode Resonator. IEEE Trans. Microw. Theory Tech. 2015, 63, 3909–3919. [Google Scholar] [CrossRef]
- Chen, D.; Bu, H.; Zhu, L.; Cheng, C. A Differential-Mode Wideband Bandpass Filter on Slotline Multi-Mode Resonator With Controllable Bandwidth. IEEE Microw. Wirel. Compon. Lett. 2015, 25, 28–30. [Google Scholar] [CrossRef]
- Ai, J.; Zhang, Y.; Xu, K.; Li, D.; Fan, Y. Miniaturized Quint-Band Bandpass Filter Based on Multi-Mode Resonator and λ/4 Resonators with Mixed Electric and Magnetic Coupling. IEEE Microw. Wirel. Compon. Lett. 2016, 26, 343–345. [Google Scholar] [CrossRef]
- Zhang, S.; Chen, Z.; Chu, Q. Compact Tunable Balanced Bandpass Filter with Novel Multi-Mode Resonator. IEEE Microw. Wirel. Compon. Lett. 2017, 27, 43–45. [Google Scholar] [CrossRef]
- Zhang, J.; He, M.; Chen, H.; Pang, D.; Ji, L.; Zhao, X.; Zhang, X. Bandpass filters using multi-mode square ring resonators. IET Microw. Antennas Propag. 2018, 12, 1656–1665. [Google Scholar] [CrossRef]
- Psychogiou, D.; Gomez-Garcia, R. Multi-Mode-Cavity-Resonator-Based Bandpass Filters With Multiple Levels of Transfer-Function Adaptivity. IEEE Access 2019, 7, 24759–24765. [Google Scholar] [CrossRef]
- Bi, X.; Wang, L.; Ma, Q.; Hu, B.; Xu, Q. A Compact Sept-Band Bandpass Filter Utilising a Single Multi-Mode Resonator. IET Microw. Antennas Propag. 2019, 13, 2013–2019. [Google Scholar] [CrossRef]
- Alnahwi, F.; Abdulhameed, A.; Swadi, H.; Abdullah, A. A Compact Wide-Slot UWB Antenna with Reconfigurable and Sharp Dual-Band Notches for Underlay Cognitive Radio Applications. Turk. J. Electr. Eng. Comput. Sci. 2019, 27, 94–105. [Google Scholar] [CrossRef]
- Liu, N.; Chen, X.; Zhu, L.; Chen, X.; Fu, G.; Liu, Y. Low-Profile Triple-Band Microstrip Antenna Via Sharing a Single Multi-Mode Patch Resonator. IET Microw. Antennas Propag. 2019, 13, 1580–1585. [Google Scholar] [CrossRef]
- Zheng, D.; Wu, K. Leaky-Wave Antenna Featuring Stable Radiation Based on Multi-Mode Resonator (MMR) Concept. IEEE Trans. Antennas Propag. 2020, 68, 2016–2030. [Google Scholar] [CrossRef]
- Al-Yasir, Y.I.A.; Ojaroudi Parchin, N.; Abdulkhaleq, A.M.; Bakr, M.S.; Abd-Alhameed, R.A. A Survey of Differential-Fed Microstrip Bandpass Filters: Recent Techniques and Challenges. Sensors 2020, 20, 2356. [Google Scholar] [CrossRef]
- Li, G.; Xiu, Y.Z. High-Selectivity Dual-Band Band pass Filter Using a Quad-Mode Resonator with Source-Load Coupling. IEEE Microw. Wirel. Compon. Lett. 2013, 23, 474–476. [Google Scholar]
- Shou-Jia, S.; Tao, S.; Kun, D.; Bian, W.; Chang-Hong, L. Compact Microstrip Dual-Band Bandpass Filter Using a Novel Stub-Loaded Quad-Mode Resonator. IEEE Microw. Wirel. Compon. Lett. 2013, 23, 465–467. [Google Scholar]
- Issa, H.; Wehbi, M. Tunable Bandpass Filter Using Series Connected Varactor Diodes. IETE J. Res. 2019, 1–7. [Google Scholar] [CrossRef]
- Wibisono, G.; Firmansyah, T.; Herudin, H.; Wildan, M.; Supriyanto, T.; Alaydrus, M.; Ujang, F. Multiwideband Bandpass Filter Based on Folded Quad Cross-Stub Stepped Impedance Resonator. Int. J. Antennas Propag. 2020. [Google Scholar] [CrossRef]
- Li, X.; Song, J.; Wang, D.; Qin, Q.; Sun, L. A Highly Selective and Compact 5G n77 Band Pass Filter Based on HRS IPD Technology. In Proceedings of the 2020 IEEE MTT-S International Microwave Workshop Series on Advanced Materials and Processes for RF and THz Applications (IMWS-AMP), Suzhou, China, 29–31 July 2020; pp. 1–3. [Google Scholar]
- Lee, P.-N.; Hsieh, P.-C.; Hsieh, S.-C.; Kung, C.-Y.; Wang, C.-C. Design and Fabrication of Band-Pass Filter on Glass IPD for 5G New Radio. In Proceedings of the 2020 IEEE 70th Electronic Components and Technology Conference (ECTC), Orlando, FL, USA, 6 June 2020; pp. 1775–1780. [Google Scholar]
- Dai, X.; Zhang, X.; Kao, H.-L.; Wei, B.-H.; Xu, J.-X.; Li, X. LTCC Bandpass Filter With Wide Stopband Based on Electric and Magnetic Coupling Cancellation. IEEE Trans. Compon. Packag. Manuf. Technol. 2014, 4, 1705–1713. [Google Scholar]
- Zhu, Y.-Y.; Yang, Y.-J.; Chen, J.-X. High-performance bandpass filter using HTCC stepped-impedance resonators. IET Microw. Antennas Propag. 2018, 12, 56–62. [Google Scholar] [CrossRef]
- Yang, Y.; Lu, R.; Gao, L.; Gong, S. 4.5 GHz Lithium Niobate MEMS Filters With 10% Fractional Bandwidth for 5G Front-Ends. J. Microelectromechanical Syst. 2019, 28, 575–577. [Google Scholar] [CrossRef]
- Yang, Y.; Lu, R.; Gao, L.; Gong, S. A C-band Lithium Niobate MEMS Filter with 10% Fractional Bandwidth for 5G Front-ends. In Proceedings of the 2019 IEEE International Ultrasonics Symposium (IUS), Glasgow, UK, 6–9 October 2019; pp. 1981–1984. [Google Scholar]
- Al-Yasir, Y.; Parchin, N.O.; Rachman, Z.-A.S.A.; Ullah, A.; Abd-Alhameed, R. Compact tunable microstrip filter with wide-stopband restriction and wide tuning range for 4G and 5G applications. In Proceedings of the IET′s Antennas and Propagation Conference, Birmingham, UK, 11–12 November 2019; pp. 1–6. [Google Scholar]
- Zuo, C.; He, C.; Cheng, W.; Wang, Z. Hybrid Filter Design for 5G using IPD and Acoustic Technologies. In Proceedings of the 2019 IEEE International Ultrasonics Symposium (IUS), Glasgow, UK, 6–9 October 2019; pp. 269–272. [Google Scholar]
- Gao, L.; Yang, Y.; Gong, S. Wideband Hybrid Monolithic Lithium Niobate Acoustic Filter in the K-Band. Ieee Trans. Ultrason. Ferroelectr. Freq. Control 2020. [Google Scholar] [CrossRef] [PubMed]
- Al-Yasir, Y.I.A.; Parchin, N.O.; Alabdallah, A.; Abdulkhaleq, A.M.; Sajedin, M.; Elfergani, I.T.E.; Abd-Alhameed, R.A. Design, Simulation and Implementation of Very Compact Open-loop Trisection BPF for 5G Communications. In Proceedings of the 2019 IEEE 2nd 5G World Forum (5GWF), Dresden, Germany, 30 September–2 October 2019; pp. 189–193. [Google Scholar]
- Kikkert, C.J. Designing Low Cost Wideband Microstrip Bandpass Filters. In Proceedings of the TENCON 2005–2005 IEEE Region 10 Conference, Melbourne, Australia, 21–24 November 2005; pp. 1–6. [Google Scholar]
- Gupta, K.; Garg, R.; Bahl, I.; Bhartia, P. Microstrip Lines and Slotlines, 2nd ed.; Artech House: Boston, MA, USA, 1996. [Google Scholar]
- Pozar, D. Microwave Engineering, 4th ed.; Wiley: Hoboken, NJ, USA, 2012. [Google Scholar]
- Zhu, L.; Sun, S.; Menzel, W. Ultra-Wideband (UWB) Bandpass Filters Using Multiple-Mode Resonator. IEEE Microw. Wirel. Compon. Lett. 2005, 15, 796–798. [Google Scholar]
- Sun, S.; Zhu, L. Capacitive-Ended Interdigital Coupled Lines for UWB Bandpass Filters With Improved Out-of-Band Performances. IEEE Microw. Wirel. Compon. Lett. 2006, 16, 440–442. [Google Scholar] [CrossRef]
- Ren, B.; Liu, H.; Ma, Z.; Ohira, M.; Wen, P.; Wang, X. Compact Dual-Band Differential Bandpass Filter Using Quadruple-Mode Stepped-Impedance Square Ring Loaded Resonators. IEEE Access 2018, 6, 21850–21858. [Google Scholar] [CrossRef]
- Ren, B.; Ma, Z.; Liu, H.; Guan, X.; Wen, P.; Ohira, M. Compact Multi-Band Differential Bandpass Filters Using Microstrip Multi-mode Resonators. In Proceedings of the IEEE MTT-S International Wireless Symposium (IWS), Guangzhou, China, 19–22 May 2019. [Google Scholar]
- Alnahwi, F.; Islam, N. A Generalized Concept for Band Notch Generation in Ultra-Wide Band Antennas. Prog. Electromagn. Res. C 2014, 54, 179–185. [Google Scholar] [CrossRef]













| Results | RL(dB) @ f0(GHz) | −10 dB Impedance Bandwidth (MHz) | IL(dB) @ f(GHz) | Rejection(dB) @ f(GHz) | |
|---|---|---|---|---|---|
| Lower Band | Upper Band | ||||
| Simulated | 22 @ 3.95 | 550 | 21 @ 3.2 3.0 @ 3.7 2.3 @ 3.95 (f0) 4.0 @ 4.2 17.7 @ 4.6 | 15 @ 3.0 21 @ 3.2 25 @ 3.24 (fTZs) 14 @ 3.4 | 17.5 @ 5.0 14.6 @ 4.4 22 @ 4.52 (fTZs) 18 @ 4.6 |
| Measured | 19 @ 3.95 | 490 | 18.4 @ 3.2 3.1 @ 3.7 2.4 @ 3.95 (f0) 4.2 @ 4.2 19.5 @ 4.6 | 17 @ 3.0 18.4 @ 3.2 25 @ 3.31 (fTZs) 20 @ 3.4 | −@ 5.0 23 @ 4.4 24.9 @ 4.45 (fTZs) 19.5 @ 4.6 |
| Ref. | Technique | Freq. (GHz) | −10 dB FBW (%) | RL (dB) | IL (dB) | Via Holes | Size (mm2) |
|---|---|---|---|---|---|---|---|
| [16] | MMSRR | 3.5 | 5.7 | 27 | 1.7 | 0 | 45 × 45 |
| [17] | MMSIW | 2.2 | 5.4 | 12 | 3.3 | SIW | 89 × 36 |
| [18] | MMR | 2.8/3.5/4.2 | 6.8/9.4/3.0 | 13/17/12 | 1.2/1.0/1.9 | 5 | 40 × 65 |
| [23] | SLR | 1.8/3.5 | 14/10 | 24/18 | 0.8/0.9 | 1 | 25 × 25 |
| [26] | FQC-SSIR | 0.8/1.8/2.62 | 25/10/7 | 15/10/14 | - | 0 | 97 × 129 |
| [27] | IPD | 3.75 | 24 | >10 | 1.52 | IPD | 2.0 × 1.25 |
| [29] | LTCC | 2.45 | 10.8 | >15 | 2.5 | 0 | 2.48 × 2.02 |
| [30] | HTCC | 2.25 | 5.5 | >17 | 1.8 | 0 | 7.0 × 4.8 |
| [31] | Acoustic Wave | 4.5 | 8.5 | >14 | 2.7 | 0 | 0.64 × 1.4 |
| [34] | Hybrid (IPD & Acoustic) | 3.8 | 22 | - | 2.5 | IPD | 2.0 × 1.8 |
| Prop. | SIR/SLR | 3.95 | 14 | 19 | 2.4 | 0 | 25 × 50 |
Publisher′s Note: MDPI stays neutral with regard to jurisdictional claims in published maps and institutional affiliations. |
© 2021 by the authors. Licensee MDPI, Basel, Switzerland. This article is an open access article distributed under the terms and conditions of the Creative Commons Attribution (CC BY) license (http://creativecommons.org/licenses/by/4.0/).
Share and Cite
Alnahwi, F.M.; Al-Yasir, Y.I.A.; Abdulhameed, A.A.; Abdullah, A.S.; Abd-Alhameed, R.A. A Low-Cost Microwave Filter with Improved Passband and Stopband Characteristics Using Stub Loaded Multiple Mode Resonator for 5G Mid-Band Applications. Electronics 2021, 10, 450. https://doi.org/10.3390/electronics10040450
Alnahwi FM, Al-Yasir YIA, Abdulhameed AA, Abdullah AS, Abd-Alhameed RA. A Low-Cost Microwave Filter with Improved Passband and Stopband Characteristics Using Stub Loaded Multiple Mode Resonator for 5G Mid-Band Applications. Electronics. 2021; 10(4):450. https://doi.org/10.3390/electronics10040450
Chicago/Turabian StyleAlnahwi, Falih M., Yasir I. A. Al-Yasir, Abdulghafor A. Abdulhameed, Abdulkareem S. Abdullah, and Raed A. Abd-Alhameed. 2021. "A Low-Cost Microwave Filter with Improved Passband and Stopband Characteristics Using Stub Loaded Multiple Mode Resonator for 5G Mid-Band Applications" Electronics 10, no. 4: 450. https://doi.org/10.3390/electronics10040450
APA StyleAlnahwi, F. M., Al-Yasir, Y. I. A., Abdulhameed, A. A., Abdullah, A. S., & Abd-Alhameed, R. A. (2021). A Low-Cost Microwave Filter with Improved Passband and Stopband Characteristics Using Stub Loaded Multiple Mode Resonator for 5G Mid-Band Applications. Electronics, 10(4), 450. https://doi.org/10.3390/electronics10040450

