Nitrogen Fertilization and Harvest Timing Affect Switchgrass Quality
Abstract
1. Introduction
2. Materials and Methods
2.1. Experiment Design and Treatment Description
2.2. Soil Analysis
2.3. Switchgrass Biomass Harvest Sampling
2.4. Sample Preparation for Nutrient Analysis and Biomass Quality
2.5. Statistical Analysis
3. Results
3.1. Biomass Quality Parameters as Affected by Nitrogen Fertilization Rates
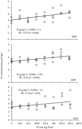
3.2. Mineral Concentration as Affected by Nitrogen Fertilization Rates
3.3. Biomass Quality Parameters as Affected by AGDD
3.4. Mineral Concentration as Affected by Accumulated Growing Degree Days
4. Discussion
5. Conclusions
Supplementary Materials
Author Contributions
Funding
Conflicts of Interest
References
- Nikièma, P.; Rothstein, D.E.; Min, D.H.; Kapp, C.J. Nitrogen fertilization of switchgrass increases biomass yield and improves net greenhouse gas balance in northern Michigan, U.S.A. Biomass Bioenerg. 2011, 35, 4356–4367. [Google Scholar] [CrossRef]
- Zhenmin, L.; Espinosa, P. Tackling climate change to accelerate sustainable development. Nat. Clim. Chang. 2019, 9, 494–496. [Google Scholar] [CrossRef]
- Moosmann, L.; Urruita, C.; Siemons, A.; Cames, M.; Schneider, L. International Climate Negotiations: Issues at Stake in View of the COP25 UN Climate Change Conference in Madrid. Available online: http://www.europarl.europa.eu/supporting-analyses (accessed on 8 May 2020).
- McLaughlin, S.B.; Kszos, L.A. Switchgrass as a bioenergy crop. In Encyclopedia of Plant and Crop Science; Goodman, R.M., Ed.; CRC Press: Boca Raton, FL, USA, 2004; Volume 1, pp. 1207–1212. [Google Scholar]
- McLaughlin, S.B.; Kszos, L.A. Development of switchgrass (Panicum virgatum) as a bioenergy feedstock in the United States. Biomass Bioenerg. 2005, 28, 515–535. [Google Scholar] [CrossRef]
- Wright, L. Worldwide commercial development of bioenergy with a focus on energy crop-based projects. Biomass Bioenerg. 2006, 30, 706–714. [Google Scholar] [CrossRef]
- Keshwani, D.R.; Cheng, J.J. Switchgrass for bioethanol and other value-added applications: A review. Bioresour. Technol. 2009, 100, 1515–1523. [Google Scholar] [CrossRef] [PubMed]
- Brown, C.; Griggs, T.; Keene, T.; Marra, M.; Skousen, J. Switchgrass biofuel production on reclaimed surface mines: I. Soil quality and dry matter yield. Bionerg. Res. 2016, 9, 31–39. [Google Scholar] [CrossRef]
- Vaneeckhaute, C.; Meers, E.; Michels, E.; Ghekiere, G.; Accoe, F.; Tack, F.M.G. Closing the nutrient cycle by using bio-digestion waste derivatives as synthetic fertilizer substitutes: A field experiment. Biomass Bioenerg. 2013, 55, 175–189. [Google Scholar] [CrossRef]
- Priefer, C.; Jörissen, J.; Frör, O. Pathways to shape the bioeconomy. Resources 2017, 6, 10. [Google Scholar] [CrossRef]
- Jeke, N.N.; Zvomuya, F.; Ross, L. Accumulation and partitioning of biomass, nutrients, and trace elements in switchgrass for phytoremediation of municipal biosolids. Int. J. Phytoremediat. 2016, 18, 892–899. [Google Scholar] [CrossRef]
- Richner, J.M.; Kallenbach, R.L.; Roberts, C.A. Dual use switchgrass: Managing switchgrass for biomass production and summer forage. Agron. J. 2014, 106, 1438–1444. [Google Scholar] [CrossRef]
- Mosali, J.; Biermacher, J.T.; Cook, B.; Blanton, J. Bioenergy for cattle and cars: A switchgrass production system that engages cattle producers. Agron. J. 2013, 105, 960–966. [Google Scholar] [CrossRef]
- Casler, M.D.; Vogel, K.P.; Taliaferro, C.M.; Wynia, R.L. Latitudinal adaptation of switchgrass populations. Crop Sci. 2004, 44, 293–303. [Google Scholar] [CrossRef]
- Sena, K.L.; Goff, B.; Davis, D.; Smith, S.R. Switchgrass growth and forage quality trends provide insight for management. Crop Forage Turfgrass Manag. 2018, 4, 170053. [Google Scholar] [CrossRef]
- Ashworth, A.; Moore, P.; King, R.; Pote, D.; Douglas, J.; Jacobs, A. Switchgrass nitrogen fertility response and nutrient cycling in a hay system. Agron. J. 2020. [Google Scholar] [CrossRef]
- Heaton, E.A.; Dohleman, F.G.; Long, S.P. Seasonal nitrogen dynamics of Miscanthus x giganteus and Panicum virgatum. GCB Bioenerg. 2009, 1, 297–307. [Google Scholar] [CrossRef]
- Anderson, E.K.; Parrish, A.S.; Voight, T.B.; Owens, V.N.; Hong, C.H.; Lee, D.K. Nitrogen fertility and harvest management of switchgrass for sustainable bioenergy feedstock production in Illinois. Ind. Crops Prod. 2013, 48, 19–27. [Google Scholar] [CrossRef]
- Ibrahim, M.; Hong, C.O.; Singh, S.; Kumar, S.; Osborne, S.; Owens, V. Switchgrass biomass quality as affected by nitrogen rate, harvest time, and storage. Agron. J. 2017, 109, 86–96. [Google Scholar] [CrossRef]
- Madakadze, I.; Stewart, K.; Peterson, P.; Coulman, B.; Samson, R.; Smith, D. Light interception, use-efficiency and energy yield of switchgrass (Panicum virgatum L.) grown in a short season area. Biomass Bioenerg. 1998, 15, 475–482. [Google Scholar] [CrossRef]
- Sanderson, M.A.; Moore, K.J. Switchgrass morphological development predicted from day of the year or degree day models. Agron. J. 1991, 91, 732–734. [Google Scholar] [CrossRef]
- Vogel, K.P.; Brejda, J.J.; Walters, D.T.; Buxton, D.R. Switchgrass biomass production in the Midwest USA. Agron. J. 2002, 94, 413–420. [Google Scholar] [CrossRef]
- Casler, M.D.; Boe, A.R. Cultivar × environment interactions in switchgrass. Crop Sci. 2003, 43, 2226–2233. [Google Scholar] [CrossRef]
- Parrish, D.J.; Fike, J.H. The biology and agronomy of switchgrass for biofuels. Crit. Rev. Plant Sci. 2005, 24, 423–459. [Google Scholar] [CrossRef]
- Aravindhakshan, S.C.; Epplin, F.M.; Taliaferro, C.M. Switchgrass, bermudagrass, flaccidgrass, and lovegrass biomass yield response to nitrogen for single and double harvest. Biomass Bioenerg. 2011, 35, 308–319. [Google Scholar] [CrossRef]
- Guretzky, J.A.; Biermacher, J.T.; Cook, B.J.; Kering, M.K.; Mosali, J. Switchgrass for forage and bioenergy: Harvest and nitrogen rate effects on biomass yields and nutrient composition. Plant Soil 2011, 339, 69–81. [Google Scholar] [CrossRef]
- Kering, M.K.; Guretzky, J.A.; Interrante, S.M.; Butler, T.J.; Biermacher, J.T.; Mosali, J. Harvest timing affects switchgrass production, forage nutritive value, and nutrient removal. Crop Sci. 2013, 53, 1809–1817. [Google Scholar] [CrossRef]
- Moore, J.E. Forage Quality Indices: Development and Application. In Forage Quality, Evaluation, and Utilization, 1st ed.; Fahey, G.C., Jr., Ed.; ASA, CSSA, and SSSA: Madison, WI, USA, 2015; pp. 967–998. [Google Scholar] [CrossRef]
- McKendry, P. Energy production from biomass (part 1): Overview of biomass. Bioresour. Technol. 2002, 83, 37–46. [Google Scholar] [CrossRef]
- Web Soil Survey. Available online: https://websoilsurvey.sc.egov.usda.gov/App/HomePage.htm (accessed on 10 October 2019).
- Kachurina, O.; Zhang, H.; Raun, W.; Krenzer, E. Simultaneous determination of soil aluminum, ammonium- and nitrate-nitrogen using 1 M potassium chloride extraction. Commun. Soil Sci. Plant Anal. 2000, 31, 893–903. [Google Scholar] [CrossRef]
- Mehlich, A. Mehlich 3 soil test extractant: A modification of Mehlich 2 extractant. Commun. Soil Sci. Plant Anal. 1984, 15, 1409–1416. [Google Scholar] [CrossRef]
- Hanson, D.; Kotuby-Amacher, J.; Miller, R.O. Soil analysis: Western States Proficiency Testing Program for 1996. Fresenius J. Anal. Chem. 1998, 360, 348–350. [Google Scholar] [CrossRef]
- Soltanpour, P.N.; Johnson, G.W.; Workman, S.M.; Jones, J.B., Jr.; Miller, R.O. Inductively coupled plasma emission spectrometry and inductively coupled plasma-mass spectrometry. In Methods of Soil Analysis, Part 3. Chemical Methods; Sparks, D.L., Ed.; SSSA and ASA: Madison, WI, USA, 1996; SSSA Book Ser. 5; pp. 91–139. [Google Scholar]
- Mitchell, R.B.; Moore, K.J.; Moser, L.E.; Fritz, J.O.; Redfearn, D.D. Predicting developmental morphology in switchgrass and big bluestem. Agron. J. 1997, 89, 827–832. [Google Scholar] [CrossRef]
- Moore, K.J.; Moser, L.E.; Vogel, K.P.; Waller, S.S.; Johnson, B.E.; Pedersen, J.F. Describing and quantifying growth stages of perennial forage grasses. Agron. J. 1991, 83, 1073–1077. [Google Scholar] [CrossRef]
- Oklahoma Mesonet. Available online: www.mesonet.org (accessed on 10 October 2019).
- Jones, J.B.; Case, V.W. Sampling, Handling, and Analyzing Plant Tissue Samples. In Soil Testing and Plant Analysis, 3rd ed.; Westerman, R.L., Ed.; SSSA: Madison, WI, USA, 1990; pp. 404–410. [Google Scholar]
- Antonangelo, J.A.; Zhang, H. Heavy metal phytoavailability in a contaminated soil of northeastern Oklahoma as affected by biochar amendment. Environ. Sci. Pollut. Res. 2019, 26, 33582–33593. [Google Scholar] [CrossRef] [PubMed]
- Thomason, W.E.; Raun, W.R.; Johnson, G.V.; Taliaferro, C.M.; Freeman, K.W.; Wynn, K.J.; Mullen, R.W. Switchgrass response to harvest frequency and time and rate of applied nitrogen. J. Plant Nutr. 2005, 27, 1199–1226. [Google Scholar] [CrossRef]
- Hong, C.O.; Owens, V.N.; Bransby, D.; Farris, R.; Fike, J.; Heaton, E.; Kim, S.; Mayton, H.; Mitchell, R.; Viands, D. Switchgrass response to nitrogen fertilizer across diverse environments in the USA: A regional feedstock partnership report. Bioenerg. Res. 2014, 7, 777–788. [Google Scholar] [CrossRef]
- Ameen, A.; Tang, C.; Liu, J.; Han, L.; Xie, G.H. Switchgrass as forage and biofuel feedstock: Effect of nitrogen fertilization rate on the quality of biomass harvested in late summer and early fall. Field Crops Res. 2019, 235, 154–162. [Google Scholar] [CrossRef]
- Ashworth, A.J.; Rocateli, A.C.; West, C.P.; Brye, K.R.; Popp, M.P. Switchgrass growth and effects on biomass accumulation, moisture content, and nutrient removal. Agron. J. 2017, 109, 1359–1367. [Google Scholar] [CrossRef]
- Schmer, M.R.; Vogel, K.P.; Mitchell, R.B.; Dien, B.S.; Jung, H.G.; Casler, M.D. Temporal and spatial variation in switchgrass biomass composition and theoretical ethanol yield. Agron. J. 2012, 104, 54–64. [Google Scholar] [CrossRef]
- Aurangzaib, M.; Moore, K.J.; Archontoulis, S.V.; Heaton, E.A.; Lenssen, A.W.; Fei, S. Compositional differences among upland and lowland switchgrass ecotypes grown as a bioenergy feedstock crop. Biomass Bioenerg. 2016, 87, 169–177. [Google Scholar] [CrossRef]
- Wilson, D.M.; Dalluge, D.L.; Rover, M.; Heaton, E.A.; Brown, R.C. Crop management impacts biofuel quality: Influence of switchgrass harvest time on yield, nitrogen and ash of fast pyrolysis products. Bioenerg. Res. 2013, 6, 103–113. [Google Scholar] [CrossRef]
- Tubeuileh, A.; Rennie, T.J.; Goss, M.J. A review on biomass production from C4 grasses: Yield and quality for end-use. Curr. Opin. Plant Biol. 2016, 31, 172–180. [Google Scholar] [CrossRef] [PubMed]
- Lindsay, K.R.; Popp, M.P.; West, C.P.; Ashworth, A.J.; Rocateli, A.C.; Farris, R.; Kakani, V.G.; Fritschi, F.B.; Green, V.S.; Alison, M.W.; et al. Predicted harvest time effects on switchgrass moisture content, nutrient concentration, yield, and profitability. Biomass Bioenerg. 2018, 108, 74–89. [Google Scholar] [CrossRef]
- Popp, M.P.; Ashworth, A.J.; Moore, P.A., Jr.; Owens, P.R.; Douglas, J.L.; Pote, D.H.; Jacobs, A.A.; Lindsay, K.R.; Dixon, B.L. Fertilizer recommendations for switchgrass: Quantifying economic effects on quality and yield. Agron. J. 2018, 110, 1854–1861. [Google Scholar] [CrossRef]
- Makaju, S.O.; Wu, Y.Q.; Zhang, H.; Kakani, V.G.; Taliaferro, C.M.; Anderson, M.P. Switchgrass winter yield, year-round elemental concentrations, and associated soil nutrients in a zero input environment. Agron. J. 2013, 105, 463–470. [Google Scholar] [CrossRef]




| Year | pH | NO3-N -N | P | K | SO4-S | Ca | Mg | Fe | Zn | B | Cu |
|---|---|---|---|---|---|---|---|---|---|---|---|
| mg kg−1 | |||||||||||
| 2008 | 6.3 | 2.7 | 16.8 | 120 | 8.8 | 1614 | 326 | 48.5 | 0.7 | 0.34 | 1.38 |
| Std. dev. | 0.19 | 0.4 | 2.9 | 17 | 0.9 | 171 | 34 | 10.7 | 0.07 | 0.01 | 0.11 |
| 2009 | 6.2 | 7.1 | 15 | 115 | 5.5 | 1612 | 324 | 60.3 | 0.82 | 0.36 | 1.5 |
| Std. dev. | 0.19 | 8.6 | 2.7 | 20 | 0.0 | 172 | 33 | 9.3 | 0.09 | 0.03 | 0.04 |
| 2010 | 6.4 | 2.5 | 16 | 114.6 | 6.3 | 1587 | 315 | 58.4 | 0.72 | 0.27 | 1.5 |
| Std. dev. | 0.11 | 1.0 | 3.0 | 13.2 | 1.8 | 158 | 29 | 8.0 | 0.18 | 0.01 | 0.28 |
| Year | Harvest | Date | Julian DOY | AGDD | Growth Stage |
|---|---|---|---|---|---|
| 2008 | 1 | 12 June 2008 | 164 | 755 | E1 |
| 2008 | 2 | 24 July 2008 | 206 | 1452 | R2 |
| 2008 | 3 | 5 September 2008 | 249 | 2175 | S3 |
| 2008 | 4 | 30 October 2008 | 304 | 2611 | Senescence |
| 2008 | 5 | 4 December 2008 | 339 | 2672 | Senescence |
| 2009 | 6 | 28 February 2009 | 425 | 2748 | V0 |
| 2009 | 1 | 3 July 2009 | 184 | 1180 | E4 |
| 2009 | 2 | 9 August 2009 | 221 | 1822 | S0 |
| 2009 | 3 | 25 September 2009 | 268 | 2426 | S5 |
| 2009 | 4 | 19 November 2009 | 323 | 2627 | Senescence |
| 2010 | 5 | 26 January 2010 | 391 | 2642 | G5 |
| 2010 | 6 | 2 March 2010 | 426 | 2642 | G5 |
| 2010 | 1 | 15 July 2010 | 196 | 1323 | R1 |
| 2010 | 2 | 3 September 2010 | 246 | 2240 | S4 |
| 2010 | 3 | 28 October 2010 | 301 | 2803 | Senescence |
| 2010 | 4 | 2 December 2010 | 336 | 2878 288 | Senescence |
| 2011 | 5 | 7 January 2011 | 372 | 2888 | G5 |
| 2011 | 6 | 25 March 2011 | 449 | 3031 | V1 |
| Year | N Rate | N | P | K | Ca | Mg | S | Cu | Fe | Zn | Mn |
|---|---|---|---|---|---|---|---|---|---|---|---|
| kg ha−1 | g kg−1 | mg kg−1 | |||||||||
| 2008 | 0 | 3.02c | 0.90 | 3.95 | 1.83 | 1.35ab | 0.50 | 7.7ab | 58.0 | 19.0 | 51.8 |
| 33.6 | 3.78abc | 0.88 | 3.35 | 2.18 | 1.50ab | 0.48 | 8.1a | 57.0 | 15.6 | 59.1 | |
| 67.2 | 3.01c | 0.83 | 3.28 | 1.65 | 1.30b | 0.43 | 6.4b | 63.9 | 13.0 | 44.7 | |
| 100.8 | 3.48bc | 0.85 | 3.25 | 1.95 | 1.48ab | 0.45 | 7.2ab | 61.8 | 14.2 | 47.9 | |
| 134.4 | 3.61abc | 1.00 | 4.25 | 2.00 | 1.78a | 0.53 | 8.0ab | 62.4 | 17.9 | 48.4 | |
| 168.0 | 3.71abc | 0.78 | 3.63 | 1.93 | 1.58ab | 0.45 | 7.0ab | 57.0 | 15.3 | 57.2 | |
| 201.6 | 4.44a | 0.80 | 3.80 | 1.90 | 1.58ab | 0.48 | 7.1ab | 55.7 | 15.5 | 46.2 | |
| 235.2 | 4.12ab | 0.75 | 3.23 | 1.93 | 1.60ab | 0.48 | 7.4ab | 56.9 | 15.6 | 44.4 | |
| Avg. | 3.64 | 0.85 | 3.59 | 1.92 | 1.52 | 0.47 | 7.4 | 59.1 | 15.7 | 49.9 | |
| Std. dev. | 0.70 | 0.16 | 0.83 | 0.34 | 0.29 | 0.08 | 1.1 | 11.7 | 3.8 | 13.5 | |
| P | 0.013 | 0.479 | 0.441 | 0.633 | 0.351 | 0.802 | 0.315 | 0.977 | 0.486 | 0.515 | |
| F test | 3.43 | 0.98 | 0.81 | 0.72 | 1.10 | 0.53 | 1.1 | 0.2 | 1.0 | 0.6 | |
| CV% | 19.13 | 18.97 | 23.07 | 17.63 | 19.03 | 17.22 | 14.7 | 19.7 | 24.2 | 26.9 | |
| 2009 | 0 | 3.43bc | 0.80a | 2.32a | 1.62ab | 1.04ab | 0.36bc | 2.0c | 32.5ab | 15.4ab | 70.7a |
| 33.6 | 3.48bc | 0.77a | 2.34a | 1.92a | 1.19a | 0.41ab | 2.4bc | 32.0ab | 15.3ab | 66.5ab | |
| 67.2 | 3.57bc | 0.64ab | 2.37a | 1.60ab | 1.05ab | 0.37abc | 2.5b | 45.6a | 12.9ab | 64.5ab | |
| 100.8 | 3.38c | 0.76a | 2.42a | 1.67ab | 1.09ab | 0.39abc | 2.8b | 34.0ab | 15.9ab | 52.7ab | |
| 134.4 | 3.66bc | 0.66ab | 2.41a | 1.57ab | 1.13a | 0.38abc | 2.7b | 33.4ab | 14.4ab | 58.2ab | |
| 168.0 | 4.15ab | 0.53bc | 2.01ab | 1.48ab | 1.08ab | 0.39abc | 2.9b | 33.4ab | 12.0ab | 53.6ab | |
| 201.6 | 4.57a | 0.68ab | 2.14ab | 1.65ab | 1.16a | 0.44a | 3.6a | 37.5ab | 16.4a | 46.3ab | |
| 235.2 | 3.86bc | 0.41c | 1.70b | 1.24b | 0.93b | 0.33c | 2.5b | 20.6b | 11.3b | 39.7b | |
| Avg. | 3.76 | 0.66 | 2.21 | 1.59 | 1.08 | 0.38 | 2.7 | 33.6 | 14.2 | 56.5 | |
| Std. dev. | 0.55 | 0.16 | 0.39 | 0.32 | 0.13 | 0.05 | 0.5 | 15.6 | 3.2 | 19.5 | |
| P | 0.012 | 0.0003 | 0.102 | 0.216 | 0.126 | 0.091 | <0.0001 | 0.527 | 0.145 | 0.292 | |
| F test | 3.49 | 6.83 | 2.01 | 1.52 | 1.87 | 2.09 | 8.9 | 0.9 | 1.8 | 1.3 | |
| CV% | 14.74 | 23.99 | 17.51 | 20.01 | 12.39 | 13.23 | 19.0 | 46.3 | 22.6 | 34.6 | |
| 2010 | 0 | 3.59 | 0.73a | 1.84 | 2.80 | 1.46 | 0.50a | 2.4 | 44.5 | 25.2a | 85.1 |
| 33.6 | 3.34 | 0.56b | 2.06 | 2.41 | 1.23 | 0.41ab | 1.9 | 43.8 | 17.8b | 77.6 | |
| 67.2 | 3.41 | 0.56b | 2.05 | 2.19 | 1.34 | 0.38ab | 2.4 | 43.7 | 16.0b | 78.0 | |
| 100.8 | 3.40 | 0.58b | 2.22 | 1.99 | 1.24 | 0.35b | 2.7 | 39.4 | 15.1b | 67.8 | |
| 134.4 | 4.00 | 0.57b | 1.68 | 2.09 | 1.43 | 0.37b | 1.8 | 40.0 | 15.0b | 71.3 | |
| 168.0 | 3.60 | 0.55b | 1.82 | 2.10 | 1.41 | 0.38ab | 2.2 | 40.5 | 14.4b | 64.6 | |
| 201.6 | 4.98 | 0.62ab | 1.66 | 2.36 | 1.62 | 0.46ab | 3.0 | 41.3 | 17.4b | 62.3 | |
| 235.2 | 4.46 | 0.54b | 1.52 | 2.56 | 1.54 | 0.42ab | 2.3 | 41.3 | 15.0b | 70.2 | |
| Avg. | 3.85 | 0.59 | 1.86 | 2.31 | 1.41 | 0.41 | 2.3 | 41.9 | 17.0 | 72.1 | |
| Std. dev. | 1.14 | 0.11 | 0.45 | 0.50 | 0.24 | 0.08 | 0.8 | 7.4 | 4.5 | 18.1 | |
| P | 0.450 | 0.205 | 0.368 | 0.323 | 0.305 | 0.136 | 0.416 | 0.985 | 0.005 | 0.678 | |
| F test | 1.01 | 1.55 | 1.16 | 1.25 | 1.29 | 1.82 | 1.1 | 0.2 | 4.3 | 0.7 | |
| CV% | 29.58 | 18.60 | 24.46 | 21.77 | 17.25 | 19.33 | 32.2 | 20.0 | 26.4 | 25.1 | |
| Year | AGDD | N | P | K | Ca | Mg | S | Cu | Fe | Zn | Mn |
|---|---|---|---|---|---|---|---|---|---|---|---|
| g kg−1 | mg kg−1 | ||||||||||
| 2008 | 754.7 | 7.10a | 1.78a | 15.13a | 2.30a | 1.80a | 0.83a | 25.7b | 106.8ab | 26.2a | 77.7a |
| 1452 | 4.51b | 1.15b | 7.93b | 2.03ab | 1.50ab | 0.60b | 23.3b | 88.7ab | 22.7ab | 82.0a | |
| 2175 | 3.44bc | 1.10b | 6.38c | 1.68b | 1.38bc | 0.50bc | 5.9b | 54.8ab | 19.3bc | 54.8b | |
| 2611 | 3.26bc | 0.78c | 3.58d | 1.68b | 1.43b | 0.40cd | 12.2b | 145.6a | 15.5c | 47.0b | |
| 2672 | 2.95c | 0.75c | 2.93d | 1.45b | 1.08cd | 0.35d | 6.2b | 134.2a | 15.2c | 41.4b | |
| 2748 | 3.04c | 0.50d | 1.50e | 1.48b | 1.01d | 0.07e | 220.5a | 16.0b | 8.5d | 43.6b | |
| Avg. | 4.05 | 1.01 | 6.44 | 1.77 | 1.36 | 0.47 | 50.6 | 94.4 | 17.9 | 57.7 | |
| Std. dev. | 1.63 | 0.44 | 4.64 | 0.49 | 0.34 | 0.24 | 89.1 | 64.6 | 6.5 | 19.7 | |
| P | <0.0001 | <0.0001 | <0.0001 | 0.0272 | 0.0013 | <0.0001 | <0.0001 | 0.0440 | <0.0001 | 0.0010 | |
| F Test | 15.59 | 31.17 | 204.59 | 3.49 | 7.23 | 49.7 | 14.3 | 2.8 | 15.3 | 7.6 | |
| CV% | 40.29 | 43.96 | 10.47 | 27.50 | 24.60 | 14.31 | 87.9 | 56.4 | 36.4 | 34.2 | |
| 2009 | 1180 | 10.34a | 1.64a | 10.1a | 2.17ab | 1.95a | 0.77a | 9.4a | 60.2 | 25.9a | 77.6a |
| 1822 | 9.42a | 1.55a | 7.87b | 2.69a | 2.07a | 0.81a | 9.8a | 75.1 | 29.4a | 68.7ab | |
| 2426 | 4.99b | 1.08b | 4.22c | 1.24c | 1.05b | 0.39b | 5.2b | 81.2 | 16.2b | 50.6bc | |
| 2627 | 4.68b | 0.76c | 2.29d | 1.29c | 1.05b | 0.36b | 1.5c | 43.0 | 14.1b | 42.1c | |
| 2642 | 4.00b | 1.00b | 1.75d | 2.00b | --- | --- | --- | --- | --- | --- | |
| 2642 | 4.00b | 1.00b | 1.00e | 2.00b | --- | --- | --- | --- | --- | --- | |
| Avg. | 6.24 | 1.17 | 4.13 | 1.90 | 1.53 | 0.58 | 6.5 | 64.9 | 21.4 | 59.7 | |
| Std. dev. | 2.80 | 0.35 | 3.28 | 0.63 | 0.55 | 0.22 | 3.7 | 27.7 | 7.2 | 21.3 | |
| P | <0.0001 | <0.0001 | <0.0001 | 0.0007 | <0.0001 | <0.0001 | <0.0001 | 0.2616 | 0.0006 | 0.0148 | |
| F Test | 41.97 | 33.45 | 327.32 | 8.63 | 26.21 | 52.04 | 40.0 | 1.6 | 16.3 | 6.1 | |
| CV% | 44.85 | 29.58 | 8.955 | 33.22 | 36.22 | 38.57 | 19.1 | 42.8 | 33.8 | 35.7 | |
| 2010 | 1323 | 6.76a | 1.00 | 7.75a | 2.25 | 1.75a | 1.00 | 5.5a | 70.1 | 23.1a | --- |
| 2240 | 6.84a | 1.00 | 6.25b | 2.25 | 1.75a | 1.00 | 4.6b | 92.1 | 20.4ab | --- | |
| 2803 | 4.04b | 1.00 | 3.00c | 1.75 | 1.50ab | 1.00 | 4.2b | 110.5 | 19.3ab | --- | |
| 2888 | 3.24bc | 1.00 | 1.75d | 1.75 | 1.00b | --- | 3.0c | 55.7 | 18.2bc | --- | |
| 3031 | 3.08c | 1.00 | 1.25d | 1.50 | 1.00b | --- | 3.1c | 97.8 | 14.5c | --- | |
| Avg. | 4.79 | 1.00 | 4.00 | 1.90 | 1.40 | 1.00 | 4.1 | 85.2 | 19.1 | --- | |
| Std. dev. | 1.88 | 0.00 | 2.70 | 0.55 | 0.50 | 0.00 | 1.3 | 42.1 | 4.6 | --- | |
| P | <0.0001 | --- | <0.0001 | 0.2859 | 0.0489 | --- | <0.0001 | 0.2569 | 0.0056 | --- | |
| F Test | 39.65 | --- | 70.18 | 1.42 | 3.29 | --- | 16.6 | 1.5 | 6.3 | --- | |
| CV% | 39.32 | 0.00 | 17.08 | 29.08 | 35.90 | 0.00 | 32.8 | 49.4 | 24.0 | --- | |
© 2020 by the authors. Licensee MDPI, Basel, Switzerland. This article is an open access article distributed under the terms and conditions of the Creative Commons Attribution (CC BY) license (http://creativecommons.org/licenses/by/4.0/).
Share and Cite
Massey, J.; Antonangelo, J.; Zhang, H. Nitrogen Fertilization and Harvest Timing Affect Switchgrass Quality. Resources 2020, 9, 61. https://doi.org/10.3390/resources9060061
Massey J, Antonangelo J, Zhang H. Nitrogen Fertilization and Harvest Timing Affect Switchgrass Quality. Resources. 2020; 9(6):61. https://doi.org/10.3390/resources9060061
Chicago/Turabian StyleMassey, Joshua, João Antonangelo, and Hailin Zhang. 2020. "Nitrogen Fertilization and Harvest Timing Affect Switchgrass Quality" Resources 9, no. 6: 61. https://doi.org/10.3390/resources9060061
APA StyleMassey, J., Antonangelo, J., & Zhang, H. (2020). Nitrogen Fertilization and Harvest Timing Affect Switchgrass Quality. Resources, 9(6), 61. https://doi.org/10.3390/resources9060061

