Integration of Impacts on Water, Air, Land, and Cost towards Sustainable Petroleum Oil Production in Alberta, Canada
Abstract
1. Introduction
- Develop sustainability indicators for petroleum oil production in Alberta to facilitate comparative assessment between the different pathways.
- Identify the pathways for the most cost-effective scenario as a benchmark for comparison with the business-as-usual and other sustainable scenarios.
- Determine the most sustainable scenarios under different conditions of petroleum oil production in Alberta and to satisfy the lowest impacts on natural resources, GHG emissions, and cost of supply, and;
- Investigate the effects of changing feedstock pathways to upgraders and refineries in Alberta on the sustainability of these unit operations.
2. Methods
3. Input Data and Assumptions
3.1. Sustainability Indicators
3.2. Oil Production in Alberta
3.3. Description of the Scenarios
4. Results and Discussion
4.1. Development of the Sustainability Indicators
4.2. Cost-Effective Scenario
4.3. Sustainable Scenarios
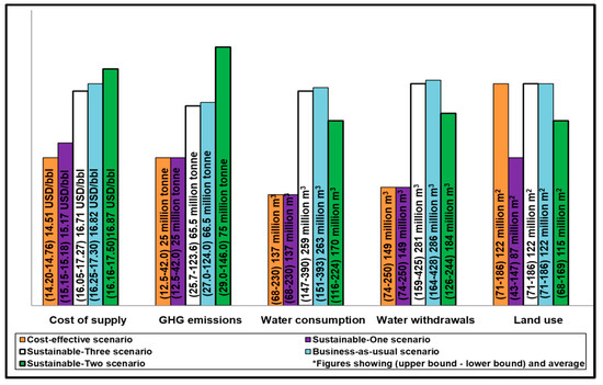
4.4. Comparative Assessment of the Scenarios
5. Sensitivity analysis
5.1. Effects of In-situ SAGD Pathway on Upgrading
5.2. Effects of In-Situ SAGD Pathway on Refining
6. Conclusions
Funding
Conflicts of Interest
Nomenclature
| bbl | barrel equal to 42 U.S liquid gallon |
| bbl/bbl | barrel of water per barrel of oil |
| bbl/day | barrel per day |
| CAD | Canadian Dollar |
| CLEW | climate, land, energy, and water |
| CO2 | carbon dioxide |
| COS | cost of supply for oil at the production facility gate |
| COSAV | average cost of supply for oil at the production facility gate based on the period 2009–2030 |
| CSS | cyclic steam stimulation |
| GHG | greenhouse gas |
| kg of CO2 eq./bbl | kilogram of carbon dioxide equivalent per barrel |
| LCA | life cycle assessment |
| Mt of CO2 eq./year | megatonne of carbon dioxide equivalent per year |
| m2/bbl | square metre of land area per barrel of oil |
| SAGD | steam-assisted gravity drainage |
| SCO | synthetic crude oil |
| USD | the United States Dollar |
References
- Canadian Association of Petroleum Producers (CAPP). 2019 Crude Oil Forecast, Markets and Transportation. Available online: https://www.capp.ca/wp-content/uploads/2019/11/338843.pdf (accessed on 25 May 2020).
- Alberta Energy. Energy: Annual Report 2018–2019. Available online: https://open.alberta.ca/dataset/cbd7147b-d304-4e3e-af28-78970c71232c/resource/29d5328f-c689-472a-b69e-9ffe0a3b77ba/download/energy-annual-report-2018-2019-web.pdf (accessed on 25 May 2020).
- Middleton, R.S.; Brandt, A.R. Using infrastructure optimization to reduce greenhouse gas emissions from oil sands extraction and processing. Environ. Sci. Technol. 2013, 47, 1735–1744. [Google Scholar] [CrossRef] [PubMed]
- Charpentier, A.D.; Bergerson, J.B.; MacLean, H.L. Understanding the Canadian oil sands industry’s greenhouse gas emissions. Environ. Res. Lett. 2009, 4, 014005. [Google Scholar] [CrossRef]
- Nimana, B.; Canter, C.; Kumar, A. Life cycle assessment of greenhouse gas emissions from Canada’s oil sands-derived transportation fuels. Energy 2015, 88, 544–554. [Google Scholar] [CrossRef]
- Bergerson, J.A.; Kofoworola, O.; Charpentier, A.D.; Sleep, S.; MacLean, H.L. Life cycle greenhouse gas emissions of current Oil Sands Technologies: Surface mining and in situ applications. Environ. Sci. Technol. 2012, 46, 7865–7874. [Google Scholar] [CrossRef] [PubMed]
- Nimana, B.; Canter, C.; Kumar, A. Energy consumption and greenhouse gas emissions in the recovery and extraction of crude bitumen from Canada’s oil sands. Appl. Energy 2015, 143, 189–199. [Google Scholar]
- Lunn, S. Water use in Canada’s oil-sands industry: The facts. SPE Econ. Manag. 2013, 5, 17–27. [Google Scholar] [CrossRef]
- Zubot, W.; MacKinnon, M.D.; Chelme-Ayala, P.; Smith, D.W.; Gamal El-Din, M. Petroleum coke adsorption as a water management option for oil sands process-affected water. Sci. Total Environ. 2012, 427, 364–372. [Google Scholar]
- Kim, Y.J.; Hipel, K.W.; Bowman, C.W. Water security problems in Canada’s oil sands. Can. Water Resour. J. 2013, 38, 61–72. [Google Scholar] [CrossRef][Green Version]
- Small, C.C.; Cho, S.; Hashisho, Z.; Ulrich, A.C. Emissions from oil sands tailings ponds: Review of tailings pond parameters and emission estimates. J. Pet. Sci. Eng. 2015, 127, 490–501. [Google Scholar]
- Jordaan, S.M.; Keith, D.W.; Stelfox, B. Quantifying land use of oil sands production: A life cycle perspective. Environ. Res. Lett. 2009, 4, 024004. [Google Scholar]
- Welsch, M.; Hermann, S.; Howells, M.; Rogner, H.H.; Young, C.; Ramma, I.; Bazilian, M.; Fischer, G.; Alfstad, T.; Gielen, D.; et al. Adding value with CLEWS—Modelling the energy system and its interdependencies for Mauritius. Appl. Energy 2014, 113, 1434–1445. [Google Scholar] [CrossRef]
- Hermann, S.; Welsch, M.; Segerstrom, R.E.; Howells, M.I.; Young, C.; Alfstad, T.; Rogner, H.H.; Steduto, P. Climate, land, energy and water (CLEW) interlinkages in Burkina Faso: An analysis of agricultural intensification and bioenergy production. Nat. Resour. Forum 2012, 36, 245–262. [Google Scholar] [CrossRef]
- Pembina Institute. Mining vs in Situ. Fact Sheet. Available online: http://pubs.pembina.org/reports/mining-vs-in-situ.pdf (accessed on 25 May 2020).
- Jordaan, S.M. Land and water impacts of oil sands production in Alberta. Environ. Sci. Technol. 2012, 46, 3611–3617. [Google Scholar] [CrossRef] [PubMed]
- Ali, B.; Kumar, A. Development of life cycle water footprints for oil sands-based transportation fuel production. Energy 2017, 131, 41–49. [Google Scholar] [CrossRef]
- Ali, B.; Kumar, A. Life cycle water demand coefficients for crude oil production from five North American locations. Water Res. 2017, 123, 290–300. [Google Scholar]
- Ali, B. A methodology for the sustainability of power generation through integration of impacts on water, air, land, and cost. Resour. Conserv. Recycl. 2020, 158, 104830. [Google Scholar] [CrossRef]
- Burkhard, J.; Forrest, J.; Gross, S. Oil Sands, Greenhouse Gases, and European Oil Supply: Getting the Numbers Right. Available online: http://a1024.g.akamai.net/f/1024/13859/1d/ihsgroup.download.akamai.com/13859/ihs/cera/Oil-Sands-Greenhouse-Gases-and-European-Oil-Supply.pdf (accessed on 25 May 2020).
- Cai, H.; Brandt, A.R.; Yeh, S.; Englander, J.G.; Han, J.; Elgowainy, A.; Wang, M.Q. Well-to-wheels greenhouse gas emissions of Canadian oil sands products: Implications for U.S. petroleum fuels. Environ. Sci. Technol. 2015, 49, 8219–8227. [Google Scholar]
- Brandt, A.R. Variability and uncertainty in life cycle assessment models for greenhouse gas emissions from Canadian oil sands production. Environ. Sci. Technol. 2012, 46, 1253–1261. [Google Scholar] [CrossRef]
- Rahman, M.M.; Canter, C.; Kumar, A. Greenhouse gas emissions from recovery of various North American conventional crudes. Energy 2014, 74, 607–617. [Google Scholar]
- Yeh, S.; Jordaan, S.M.; Brandt, A.R.; Turetsky, M.R.; Spatari, S.; Keith, D.W. Land use greenhouse gas emissions from conventional oil production and oil sands. Environ. Sci. Technol. 2010, 44, 8766–8772. [Google Scholar] [CrossRef]
- National Energy Board (NEB). Canada’s Oil Sands: Opportunities and Challenges to 2015: An Update. Available online: https://pdf4pro.com/view/canada-s-oil-sands-neb-one-gc-ca-3afda4.html (accessed on 25 May 2020).
- Alberta Energy Regulator (AER). Alberta’s Energy Reserves 2014 and Supply/Demand Outlook 2015-2024. ST98-2015. Available online: http://www.aer.ca/documents/sts/ST98/ST98-2015.pdf (accessed on 25 May 2020).
- Cenovus Energy. Delivering Value in a Volatile Market. Available online: http://www.cenovus.com/invest/docs/corporate-update.pdf (accessed on 13 May 2016).
- Sturgeon Refinery. Available online: https://nwrsturgeonrefinery.com/news/north-west-sturgeon-refinery-costs-leveling-at-8-5-billion/ (accessed on 25 May 2020).
- Leach, A. Why Building a Massive Oil Sands Refinery would be a Bad Idea; Macleans: Toronto, ON, Canada, 8 October 2014; Available online: http://www.macleans.ca/economy/economicanalysis/why-building-a-massive-oil-sands-refinery-would-be-a-bad-idea/ (accessed on 25 May 2020).
- Ali, B. Forecasting model for water-energy nexus in Alberta, Canada. Water-Energy Nexus 2018, 1, 104–115. [Google Scholar]
- Alberta Energy Regulator (AER). Alberta Energy Outlook. Available online: http://www1.aer.ca/st98/2019/data/executive-summary/ST98-2019-Executive-Summary-May-2019.pdf (accessed on 25 May 2020).
















| Technology | Extraction | Upgrading | Refining | ||||||
|---|---|---|---|---|---|---|---|---|---|
| GHG Emissions (kg of CO2 eq./bbl) | Land Use (m2/bbl) | Cost of Supply (USD/bbl) | GHG Emissions (kg of CO2 eq./bbl) 2 | Land Use (m2/bbl) | Cost of Supply (USD/bbl) 3 | GHG Emissions (kg of CO2 eq./bbl) 4 | Land Use (m2/bbl)5 | Cost of Supply (USD/bbl) 6 | |
| Oil sands-Surface mining | 33 | 0.087 8 | 17.2 11 | 56.1 | 0.002 | 17.21 | 87.1 | 0.002 | 16.39 |
| Oil sands-In-situ-SAGD | 69 | 0.060 9 | 18.12 12 | 56.1 | 0.002 | 17.21 | 87.1 | 0.002 | 16.39 |
| Oil sands-In-situ-CSS | 83 | 0.060 9 | 19.93 13 | 56.1 | 0.002 | 17.21 | 87.1 | 0.002 | 16.39 |
| Oil sands-In-situ-Primary | 17.5 7 | 0.060 9 | 15.18 14 | 56.1 | 0.002 | 17.21 | 53.1 7 | 0.002 | 16.39 |
| Conventional oil | 17.5 7 | 0.176 10 | 12.28 15 | 0.0 | 0.000 | 0.00 | 53.1 7 | 0.002 | 16.39 |
| No. | Pathway | Water Consumption (bbl/bbl) | Water Withdrawals (bbl/bbl) | COS (USD/bbl) | GHG Emissions (kg of CO2 eq./bbl) | Land Use (m2/bbl) |
|---|---|---|---|---|---|---|
| 1 | In-situ-SAGD-Non-upgraded | 0.30 | 0.33 | 18.12 | 69.0 | 0.060 |
| 2 | Conventional crude oil-Unrefined | 0.60 | 0.65 | 12.28 | 17.5 | 0.176 |
| 3 | In-situ-Primary-Non-upgraded | 0.60 | 0.65 | 15.18 | 17.5 | 0.060 |
| 4 | In-situ-CSS-Non-upgraded | 0.68 | 0.74 | 19.93 | 83.0 | 0.060 |
| 5 | In-situ-SAGD-Upgraded | 0.97 | 1.12 | 35.33 | 125.1 | 0.062 |
| 6 | In-situ-Primary-Upgraded | 1.27 | 1.44 | 32.39 | 73.6 | 0.062 |
| 7 | In-situ-CSS-Upgraded | 1.35 | 1.53 | 37.15 | 139.1 | 0.062 |
| 8 | In-situ-SAGD-Non-upgraded-Feedstock to refinery | 1.41 | 2.07 | 34.51 | 156.1 | 0.062 |
| 9 | Conventional crude oil-Refined | 1.70 | 2.40 | 28.67 | 70.6 | 0.178 |
| 10 | In-situ-Primary-Non-upgraded-Feedstock to refinery | 1.70 | 2.40 | 31.56 | 70.6 | 0.062 |
| 11 | In-situ-CSS-Non-upgraded-Feedstock to refinery | 1.79 | 2.49 | 36.32 | 170.1 | 0.062 |
| 12 | In-situ-SAGD-Upgraded-Refined | 2.08 | 2.87 | 51.72 | 212.2 | 0.064 |
| 13 | In-situ-Primary-Upgraded-Refined | 2.37 | 3.19 | 48.78 | 126.7 | 0.064 |
| 14 | Surface mining-Non-upgraded | 2.41 | 2.62 | 17.21 | 33 | 0.087 |
| 15 | In-situ-CSS-Upgraded-Refined | 2.45 | 3.28 | 53.53 | 226.2 | 0.064 |
| 16 | Surface mining-Upgraded | 3.08 | 3.41 | 34.43 | 89.1 | 0.089 |
| 17 | Surface mining-Non-upgraded-Feedstock to refinery | 3.51 | 4.36 | 33.60 | 120.1 | 0.089 |
| 18 | Surface mining-Upgraded-Refined | 4.18 | 5.15 | 50.82 | 176.2 | 0.091 |
© 2020 by the author. Licensee MDPI, Basel, Switzerland. This article is an open access article distributed under the terms and conditions of the Creative Commons Attribution (CC BY) license (http://creativecommons.org/licenses/by/4.0/).
Share and Cite
Ali, B. Integration of Impacts on Water, Air, Land, and Cost towards Sustainable Petroleum Oil Production in Alberta, Canada. Resources 2020, 9, 62. https://doi.org/10.3390/resources9060062
Ali B. Integration of Impacts on Water, Air, Land, and Cost towards Sustainable Petroleum Oil Production in Alberta, Canada. Resources. 2020; 9(6):62. https://doi.org/10.3390/resources9060062
Chicago/Turabian StyleAli, Babkir. 2020. "Integration of Impacts on Water, Air, Land, and Cost towards Sustainable Petroleum Oil Production in Alberta, Canada" Resources 9, no. 6: 62. https://doi.org/10.3390/resources9060062
APA StyleAli, B. (2020). Integration of Impacts on Water, Air, Land, and Cost towards Sustainable Petroleum Oil Production in Alberta, Canada. Resources, 9(6), 62. https://doi.org/10.3390/resources9060062
