Abstract
Oyster farming plays a crucial role in sustainable food production due to its high nutritional value and relatively low environmental impact. However, in a scenario of increasing production, it is necessary to consider the issue of plastic use as a limitation to be addressed. A life cycle assessment (LCA) was conducted on oyster farming in La Spezia (Italy) as a case study, utilizing 1 kg of packaged oysters as the functional unit. Fossil-based plastics and wooden packaging were identified as the primary environmental concerns. To analyze potential strategies for reducing the environmental impact of oyster farming, alternative scenarios were considered wherein fossil-based materials were replaced with bio-based materials. Specifically, this study examined the substitution of the current packaging, consisting of a wooden box and a polypropylene (PP) film, with a fully recyclable PP net. Additionally, polylactic acid (PLA), polyhydroxyalkanoates (PHAs), and bio-based polyethylene terephthalate (Bio-PET) were proposed as alternatives to virgin high-density polyethylene (HDPE) and PP for buoys, oyster bags, and boxes. Among the scenarios analyzed, the sole effective strategy to reduce the impact of plastics on the process is to replace them with PHA. In the other cases, the high energy consumption of their non-optimized production renders them disadvantageous options. However, the assessment must include the effects of degradation that traditional plastics can have in the marine environment, an aspect that potentially renders natural fibers more advantageous. The use of PP net packaging has demonstrated high efficacy in reducing impacts and provides a foundation for considering the need to combine sustainability and marketing with current legislation regarding food packaging.
1. Introduction
According to the Food and Agriculture Organization, the development of shellfish aquaculture has an important role in sustainable food supply and food security [1,2]. Oyster farming is among the earliest forms of aquaculture, and oysters can be found in almost all coastal areas worldwide [3,4]. Currently, more than 100 species have been found, and some of them, e.g., the Pacific oyster (Crassostrea gigas), are farmed by most oyster farmers worldwide [5]. Worldwide oyster production is dominated by China, which accounted for three-quarters of the overall production by weight in 2020 [6], followed by France and the United States [7]. Oysters, as well as other bivalves, have long been appreciated not only for their nutritional value in human diets but also for their significant role in ecosystem services, particularly in the mitigation of anthropogenic nutrient loads and carbon dioxide emissions to atmosphere [8,9]. However, the effective sustainability of aquaculture is often controversial because of the great amount of plastic waste load every year into marine waters. Oysters do not avoid this issue since their farming is highly dependent on the use of fossil plastics, i.e., for foam floats, buoys, ropes, and nets. During farming operations, plastics weaken, crack, and break, disseminating microplastics, nanoplastics (particles smaller than 5 mm and 0.1 µm, respectively), and chemicals in the marine environment and triggering the well-known adverse effects on marine flora and fauna [10]. At present, the amount of plastic in the ocean has risen above 150 Mt and, without active measures and actions, is destined to increment more than 2.5 times by 2040 [11]. Faced with this, biopolymers and natural materials have been already proposed in some fishing and aquaculture applications as possible solutions but are still lacking in the market [12]. As a matter of fact, the use of plastic of biological origin can avoid environmental impact due to mechanical fragmentation because of its biodegradable nature and significantly improve the management of their end of life [13,14]. There are several bio-based and biodegradable polymers nowadays available, such as starch-based bioplastics, polylactic acid (PLA), polyhydroxybutyrate (PHB) and polyhydroxyalkanoates (PHAs), and biocomposites, i.e., the poly(3-hydroxybutyrate-co-3-hydroxyvalerate) (PHBV)/natural fibers or mater-Bi/biochar-based [15]. Recognized as a sustainable material due to its biological origin, some bioplastics are also biodegradable [16,17]. Natural fibers (e.g., cotton, flax, hemp, and jute) once predominated in the nautical cordage market, but the advent of nylon, which is lighter and cheaper, led to their gradual disuse [18,19].
Planning for sustainable alternatives to fossil plastic in oyster aquaculture requires an understanding of their potential environmental impacts [20]. Life cycle assessment (LCA) thus emerges as a valuable tool for evaluating the environmental impacts of oyster farming [21]. Despite its increasing popularity in assessing the environmental impacts of bivalve farming, oyster farming is by now relatively understudied, particularly in the European context [22,23,24,25,26,27]. The existing literature on LCA predominantly highlights diesel consumption as a primary climate-altering emissions cause, but two other critical aspects of oyster farming, i.e., the use of plastics and commercial packaging, remain almost unexplored. In fact, the use of unsustainable materials during farming and in packaging, or their inappropriate waste management, leads to the release of pollutants into the environment or supplementary greenhouse gases’ emissions, which poses significant challenges [28].
Utilizing a life cycle assessment (LCA) approach, this study aimed to quantify the environmental impact of fossil-based plastics currently employed in oyster farming and compare it with scenarios incorporating bio-based or natural materials. Specifically, the research examined the environmental implications of substituting virgin high-density polyethylene (HDPE) and polypropylene (PP) used in buoys, pouches, and boxes with polylactic acid (PLA), polyhydroxyalkanoates (PHAs), and bio-based polyethylene terephthalate (Bio-PET). Additionally, natural fibers such as hemp and cotton were evaluated as alternatives to synthetic nylon in ropes. In the final scenario, the current packaging comprising a wooden box and a polypropylene (PP) film was replaced with a fully recyclable PP net. Oyster farming in the Gulf of La Spezia (Northwest Italy) was selected as a case study as it represents one of the most promising oyster-productive sites in Italy.
2. Materials and Methods
2.1. Case Study
The farming area is located on the gulf of La Spezia in the Liguria region in Northwest Italy (44°04′37.5″ N 9°52′10.7″ E) (Figure 1). It is 3–4.5 km wide and 10–15 m deep, with a salinity of 37%, and is delimited by Punta Bianca on the east side and by Tino and Palmaria islands on the west side. A dam of 2.2. km long delimits the mouth of the gulf [29,30].
Figure 1.
Oyster farming area in (scale 143 m/cm). (a) Northwest Italy and (b) the gulf of La Spezia, (scale 1:600) [modified from Google Earth, 2024].
Aquaculture production in the area is dominated by mussel (Mytilus galloprovincialis) farming, which is conducted in a polyculture system with oysters (Crassostrea gigas) [31]. Mussel farming is managed by a local cooperative of 69 farmers, thirty of whom are also involved in oyster farming. Each of them has access to licensed areas of 500 m2 each, under the control of regional and local authorities. Currently, about 2% of the total area (160.000 m2) is dedicated to oysters, with a very small production (<100 tons/year). The oyster farming cycle lasts about 12 months and includes seed collection, growth, harvesting, depuration, and packaging. Oyster loss from sowing to harvesting is about 40%. Oyster production starts with seed purchasing from a nursery located in Terrain Neuf (L’Épine, France). The seed, numbering 160,000 pieces every year with a diameter of 6 mm, is entirely sown. Oysters grow as suspended culture in longline plants located 1.5 km away from the coastline [32,33]. Longline plants are made up of a series of 20 m long ropes, maintained suspended by buoys, which support the suspended farming boxes. Each buoys and corner buoys are anchored on the sea bottom by concrete blocks [34]. The 20 m longlines are arranged into groups of 7, suspended at sea level by 5 buoys at each long side. Each 500 m2 licensed area is composed of 5 groups of longlines and delimitated in the corners by two concrete moorings per buoy (Figure 2).
Figure 2.
Scheme (plan view) of a single module in the longline plant.
Oyster bags and lanterns are connected through nylon ropes at a 2 m depth. A 7 m long boat (with a load capacity of 2 tons) is used by each farmer to reach the licensed areas, with a global annual fuel consumption of 25,000 L. Plastic waste is considered a special waste. It is consequently only disposed of in a landfill or via incineration. The need for depuration depends on the classification of Spezia Gulf water as Type B by EU Reg. 854/2004 [35]. The depuration plant, located in S. Teresa (Lerici), is shared by all cooperatives, and it is used for the depuration of oysters and mussels. The depuration system consists of piled HDPE bins filled with 60 kg of oysters and 100 L of marine water. The sea water collection system uses a PVC pipeline system and two electric pumps with a 30 m3 capacity. The amount of seawater used for depuration and discharge into the sea without prior treatment is considered, while the amount of tap water is reserved for marginal activities. The selection and packaging take place in a refrigerated camera. Energy consumption and building construction and maintenance have been considered negligible for oyster production. Commercial-sized oysters are harvested and transported to the depuration plant using HDPE transport cassettes. After 24 h, 1 kg of commercial-sized oysters is selected and packaged at a controlled temperature in wooden boxes covered with a polypropylene (PP) film.
2.2. Goal and Scope, Functional Unit, and System Boundaries
Based on ISO 14040 and 14044 standards [36], the four stages that are mandatory in LCA are (1) the definition of goal and scope, (2) Life Cycle Inventory (LCI), (3) impact assessment, and (4) interpretation of results [37]. This study aimed to analyze potential strategies for enhancing the sustainability of oyster farming by substituting fossil-based plastics with bio-based materials, using the productive site of La Spezia in Northern Italy as a case study.
Different scenarios were evaluated:
- -
- Current farming practices as a baseline (S0);
- -
- The replacement of virgin HDPE for pouches and lanterns with PLA (polylactic acid) (S1), PHA (polyhydroxyalkanoates) (S2), Bio-PET (bio-based polyethylene terephthalate) (S3), and recycled HDPE (S4);
- -
- The replacement of nylon rope with hemp fiber (S5) and cotton fiber (S6);
- -
- The replacement of wooden boxes for packaging with PP (polypropylene) nets (S7).
The functional unit for all scenarios was 1 kg of packaged oysters, corresponding to about 10 pieces. System boundaries included all stages of oyster farming: seed collection from France, growing, harvesting, depuration, and packaging (Table 1). Seed production was out of the boundary system. Materials, energy and fuel, land use, and water consumption, as well as the transport of goods, were considered. In all scenarios, the life span and the end-of-life management of waste materials were included in the analysis. The distribution, final use, and shell waste end-life were excluded from the analysis. The effect of carbon sequestration during calcification was also excluded because it is strictly connected to the fate of the shell waste. All items and gears used for farming were considered for only one growing cycle. Being the farming plant shared between oysters and mussels, all input and impacts were partitioned in relation to the respective quantity of production, namely, 10 tons for oysters and 2500 tons for mussels.
Table 1.
Phases of oyster farming in La Spezia, Italy.
2.3. Life Cycle Inventory (LCI)
2.3.1. Original Scenario (S0) Inventory
The primary data for LCI of S0 were collected using direct interviews. A dedicated questionnaire was submitted to all thirty local farmers and depuration plant operators in order to collect information on all farming inputs, such as materials, energy, water, and waste, related to the 2021/2022 campaign. Information collected includes technical equipment involved in plant construction, waste treatment processes, energy and fuel consumption, and supplier, lifetime, and maintenance frequency for each equipment involved in functional unit production (Table 2). To calculate the impact of all equipment used in farming, depuration, and packaging phases, the type of primary material, weight, and dimensions are collected from the supplier’s technical data sheet, while their production process are secondary data obtained from the Ecoinvent 3.7 database. The production of polystyrene boxes and tap water ice involved in seed collection was calculated based on experimental data, while their transport from the supplier to the seed production company was excluded from the analysis as the company is external to the case study. The end-of-life management of the truck for seed transport and of the barge is excluded from the analysis, while their production process is extrapolated from the database as secondary data.
Table 2.
Materials used for longline plant construction and oyster farming. (L.S.: local supplier; N.A. not applicable).
2.3.2. Alternative Scenarios (S1–S7) Inventory
Table 3 reports the materials used as possible substitutes, compared with S0, specifying the primary material of origin and end-of-life management for each alternative scenario.
Table 3.
Primary materials, end-of-life management, and technical characteristics of the materials considered in the alternative scenarios (S1–S7) compared with the reference material in the S0 scenario (in bold) (N.C. = not considered).
The life span was evaluated based on literature evidence [41,42,43,44,45], indicating that bio-based materials have an unaltered duration compared with the fossil HDPE when the temperature is below 60 °C. The lifespan of hemp and cotton ropes was assessed at a 50% reduction with respect to nylon ropes based on farmers’ personal experiences and literature data [19,46,47]. The production process of these alternative materials and their precursors was collected as secondary data, and local suppliers were assumed. EcoinventTM v.3.7 and IdematTM 2023 were used as databases. The replacement of traditional materials with alternative ones was calculated while considering their specific weight or density. Being biodegradable, the PLA and PHA end-of-life scenario is the composting process, whereas bio-PET and recycled HDPE, being non-biodegradable, have to be incinerated as fossil-based plastics.
2.4. Life Cycle Impact Assessment (LCIA) and Uncertainty Analysis
OpenLCA® 1.10.3, an open-source software developed by GreenDelta (Berlin, Germany), was used for the analysis development. Inputs and outputs included in the LCI (i.e., carbon dioxide from diesel combustion) were converted into measurable and medium-term impact values using impact factors established by ReCiPe Midpoint (H) v. 1.1 method. Impact values were grouped into impact categories: the global warming potential (GWP) and ozone depletion potential (ODP) as global impact categories; the eutrophication potential (EP), particulate matter formation potential (PMFP), and photochemical oxidant formation potential (POFP) as indicators of potential ecosystem degradation; and the marine water aquatic ecotoxicity potential (MAETP) and human toxicity potential (HTP), which describe the effects on human health and environment, together with land use, resource-depletion potential (RDP), and water-depletion potential (WDP) as indicators of reversible or irreversible land and resource depletion.
For the impact categories, a cut-off of 10−5 was applied because they were not considered representative of the process. To assess the degree of result uncertainty, flow values from 1 (best value) to 5 (worst value) in reliability, completeness, temporal, and geographical and technological correlation were assigned, following a semi-quantitative pedigree matrix provided by EcoinventTM. Considering a lognormal distribution of the data, pedigree-matrix values were processed to establish the flow uncertainty, expressed as the geometrical standard deviation (SD). These factors were used to carry out a Monte Carlo (with 1000 interactions) analysis on the uncertainty of the results (with an uncertainty degree of 95%). Furthermore, based on the SD and impact value mean, the coefficient of variation, as a percentage, was calculated for each category.
3. Results
3.1. Baseline Scenario (S0)
The impact categories are considered representative of the current farming scenario (S0) in La Spezia (Liguria), and the relative impact values are reported in Table 4.
Table 4.
Results of LCA impact categories with reference to 1 kg of packaged oysters based on the current scenario (S0).
In Figure 3, the contributions of the different phases and materials to each impact category are reported. The seed collection impact, exclusively due to transportation from France, is negligible. The growth phase is influenced more by 2 tonne transport boats’ fuel consumption than by their construction and maintenance, which have a negligible environmental impact. The categories more affected by fuel consumption are PMFP, POFP, and AP (38.6%, 45.0%, and 30.0%, respectively), with a smaller effect on GWP and FMEP (17.9% ± 0.1%) and no effects on other categories. The construction and use of farming plants, including 500 m2 nurseries, also contribute significantly. Each nursery is made of HDPE buoys, concrete sinkers, and nylon ropes (moorings and float connection). Concrete sinkers are minor contributors as their construction has an average impact of 0.9% ± 0.3% in all categories. Considering plastic materials used in 207 nurseries, buoy and rope production involves 1.9 tons of HDPE and 77.9 tons of nylon, respectively, which must be disposed of after their deterioration. The average impact of HDPE attributable to farming plants is 0.7% ± 0.4%, mainly due to its disposal. However, HDPE’s contribution is negligible in relation to that of nylon use. Indeed, this polymer is responsible for 18.7% ± 7.0% of total emissions. Farming plant impact is divided between mussel and oyster production, while the use of culture box and relative beam connection ropes is specific for oyster farming. Ropes used for float-culture box connections consist of 120 kg of nylon with an impact value of 3.6% ± 1.5%. Culture boxes, namely, oyster bags and lanterns, are made almost completely of HDPE (1.7 tons), and their contribution to total emissions (21.6% ± 12.3%) is negligible for the land-use category. During depuration, electricity is used to pump seawater into tanks, where oysters remain for 24 h. Energy consumption for depuration is minimal, with two pumps operating alternately for approximately 7 h in a breeding cycle, supplemented by hydraulic equipment. This translates to a relatively low contribution (1.7% ± 0.7%). Packaging is the final phase within system boundaries, where oysters are placed in wooden boxes covered by PP film. This stage significantly contributes to total emissions, particularly influencing categories such as HTP and WDP (50.9% ± 5.0%), with an overall impact of 29.7% ± 1.72% across other categories due to the high energy consumption in plywood production. An exception is the category of land use, which is influenced by this phase at a rate of 94.3% due to the farming of trees for wood production.

Figure 3.
Contribution (%) of farming phases (a) and processes (b) involved in S0, considering 1 kg of oysters as the functional unit.
3.2. Alternative Scenarios (S1–S7)
The impact values of scenarios S1 to S7 are shown in Table 5.
Table 5.
Impact values of scenarios S1–S7.
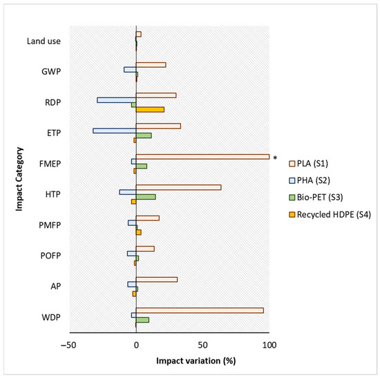
Figure 4 illustrates the percentage variations of the impact categories with respect to S0 when S1–S4 scenarios are considered.
Figure 4.
Impact variation (%) in scenarios S1, S2, S3, and S4 in relation to scenario S0 (the asterisk indicates a value more than 100%).
Replacing HDPE with PLA (S1) generates an overall worsening of impacts for all categories, especially HTP and WDP, of more than 50%, and FMEP, with a more than doubled impact with respect to S0. The main factors responsible for these results are the energy used during production (natural gas and electricity), nitrogen fertilizers, and pesticides used for maize cultivation. In addition, for RDP, the largest contribution comes from chemical plants and electronic equipment for PLA production.
On the contrary, the potential use of PHA results in an overall average reduction in impacts in all categories. Notably, a significant reduction was observed for GWP (−9.1%), RDP (−29.2%), ETP (−32.3%), and HTP (−12.5%). In all other categories, the use of PHA in place of virgin HDPE leads to reductions ranging from 2% to 7%, with no significant effect observed in land use. The reduction could be primarily due to a change in end life from municipal incineration to composting. This change in the disposal method contributes significantly to mitigating the environmental burdens associated with plastic waste. While S1 and S2 were characterized by a diverse end of life with respect to S0, due to the biodegradability of both PLA and PHA versus the non-biodegradability of HDPE, S3 and S4 were chosen for the opposite upstream, based on renewable or recycled materials, compared with S0. In fact, Bio-PET is partially bio-based, synthesized with 70% PTA (Purified Terephthalic Acid), fossil-based, and 30% sugar-cane-based MEG (Monoethylene Glycol). S3 leads to a 3.4% reduction in the RDP category. Considering all other categories, an increase in emissions is shown, reaching the highest scores in ETP, HTP, and WDP (11.2%, 14.5%, and 9.57%, respectively), principally due to the high energy consumption required for ethanol production as a precursor of MEG. A different outcome is observed in S4. Except for the GWP, RDP, and PMFP categories, where impact values are higher than S0 values, a marginal improvement in environmental burdens is evident across all other categories. The key disparity between S4 and S0 lies in the energetic demands of the two processes, as evidenced by a 20.9% increase in RDP. Plastics are involved not only in the production of boxes and buoys but also as constituents of ropes composed of nylon and viscose. Ropes are used for both farming plant structure and oyster farming and, as a whole, contribute to more than 20% of the overall environmental impacts (please see Figure 3b). In light of this contribution, its substitution with natural cotton and hemp was hypothesized even though their average duration was estimated to be 50% that of nylon ropes. The impact variations in percentage terms for S5 and S6 scenarios are reported in Figure 5.
Figure 5.
Impact variation (%) in scenarios S5 and S6 in relation to scenario S0 (the asterisks indicate a value more than 100%).
The results show a significant increase in emissions in all impact categories except land use and WDP for S5. The environmental impacts are caused by both the agricultural phase and the yarn production. Cotton cultivation accounts for an increase of 8.3–19.2% in impacts across all categories, reaching more than 60% for FMEP due to fertilization. Similar results are obtained for S5, where the contribution of the agricultural phase of fiber production is responsible for greater impacts in almost all categories even though less markedly than that for cotton. Indeed, hemp is known for its high productivity per hectare and low water requirements compared to other fiber crops [48,49,50]. Secondary processes, which consider rope production using natural fiber, also contribute to the overall environmental burdening of cotton and hemp as substitutes for nylon. Cotton yarn production accounts for 13.1–40.4%, while the retting and scotching of hemp ropes account for 28.9–53.6%. Although the use of cotton and hemp ropes increases the environmental impact by 50% or more compared to the S0 scenario, one undoubted advantage is the biodegradable and non-toxic nature of hemp and cotton, which avoids the release of microplastics in marine environments. Moreover, natural fibers can be considered organic waste that can be sent to composting plants, saving 100% of end-of-life emissions compared to incineration. Finally, wooden boxes, which significantly impact categories associated with land use, can be replaced with a PP net (S7), with a reduction in land use of 94.3% and overall consistent lower impacts in all other categories, which can be attributed to the lower energy consumption in PP production compared to plywood (Figure 6).
Figure 6.
Impact variation (%) in scenario S7 in relation to scenario S0.
Uncertainty Analysis
The results may be sensitive to various sources of uncertainty, such as inventory data and assumptions. To investigate the uncertainty, values were attributed to each process while following the pedigree matrix. In scenario S0, the primary data, i.e., the experimental data provided by fishermen, were assigned 1 (reliability), 2 (completeness), 1 (temporal correlation), 2 (geographical correlation), and 1 (technological correlation). Only the data for boat were assigned a value of 3 for “completeness” and “technological correlation” due to the large variability of this parameter in the study area. For the secondary data, the uncertainty data provided by the Ecoinvent v.3.7. database were applied. Monte Carlo simulation was carried out, and the results of the uncertainty analysis and the coefficient of variation are shown in Table 6. GWP, one of the most relevant impact categories in bivalve aquaculture, has the lowest uncertainty value and CV. The same results were obtained for the categories land use, RDP, PMFP, POFP, AP, and WDP, whose coefficient of variation is in the range of 7–26%. Uncertainty is mainly due to two factors: uncertainty in the inventory data and the environmental compartment in which the pollutants are released. In particular, the ETP and HTP categories have significantly elevated CV values due to the inherent uncertainty in the inventory data for plastic production. This factor particularly affects these categories.
Table 6.
Monte Carlo analysis results of S0 (SD: standard deviation; CV: coefficient of variation).
The uncertainty analysis conducted for the alternative scenarios deviates from the original scenario primarily in the uncertainty values assigned to the alternative material outputs. The Ecoinvent v.3.7. and Idemat 2023 databases served as references for secondary data. The primary data for the S0–S6 scenarios were assigned the same uncertainty values as for the baseline scenario as they were calculated while considering the difference in specific density. In the case of S7, values of 1 (reliability), 2 (completeness), 1 (temporal correlation), 3 (geographical correlation), and 2 (technological correlation) were provided. These values were derived from experimental data collected in other breeding systems. The Monte Carlo results and CV are shown in Table 7. The analysis confirmed that HTP and ETP categories are the main hotspots as they have uncertainty values greater than 50% for almost all scenarios. This is due to the high variability of nature and the effects that pollutants can have on humans and the environment. Furthermore, the MC simulations show a notable improvement in the reliability of the results in the S5 scenario in almost all categories, except for land use, HTP, and WDP. This improvement is attributed to the high accuracy of the cotton production inventory. In contrast, scenario S1 has a high uncertainty of the dataset in all categories, which is attributed to the high variability of raw material production. For all other scenarios, the SD and CV values are comparable to those of the baseline scenario.
Table 7.
Monte Carlo analysis results of alternative scenarios (SD: standard deviation; CV: coefficient of variation).
4. Discussion
Oyster farming has undergone significant development, driven by the need to meet consumer demand while avoiding the overexploitation of marine resources [51]. However, like any other sector, it faces challenges that require urgent solutions to ensure its continued contribution to sustainable food production [52,53]. Fuel consumption and plastic use are recognized as two principal hotspots in many studies [23,54,55,56,57], which was also confirmed by our results.
Indeed, oyster farming, as well as all aquaculture productions, is known as a source of marine plastic waste, suffering at the same time from the adverse effects of marine plastic pollution, which has a strong and direct impact on aquacultured organisms. How to assess and consequently handle fossil plastic loads from aquaculture is a pending and pressing issue for the whole sector sustainability, and rethinking new approaches based on innovative resources is an urgent need. As it is well recognized, bioplastics, deriving from renewable resources and designed to naturally biodegrade, could become a promising alternative to fossil-based materials [58,59]. On the other hand, while their potential to reduce plastic waste is apparent, the opportunity for them to be employed as an effective sustainable substitute for traditional plastics in aquaculture deserves further investigation. It is also necessary to study the feasibility of using natural fibers in specific contexts, such as marine environments. The study of the S0 scenario permitted us to understand that the overall sustainability depends not only on the types and quantity of plastics used for farming equipment but also on their relative duration. For example, HDPE items for oyster growth are made with less plastic than buoys in mass, but their impact is greater because they are subjected to higher mechanical degradation that necessitates more frequent replacement, eventually resulting in greater environmental pressure. Similarly, nylon ropes used for mooring are more exposed to mechanical effects than suspended ropes, resulting in a higher rate of deterioration. By discussing the results of the LCA of possible alternative scenarios in oyster farming, a full understanding of the environmental impacts and the potential advantages and disadvantages associated with each material emerges [60,61]. Thus, the analysis revealed that replacing PLA (S1), bio-PET (S3), and recycled HDPE (S4) does not lead to a reduction in the overall process impact compared to the S0 baseline scenario. In particular, the reduced depletion of non-renewable resources in the case of S1, S3, and S4, coupled with more sustainable end-of-life management, such as composting, is completely overwhelmed by the effects due to higher energy consumption for alternative material production and fertilization impacts of the agricultural phase, where present. Moreover, the use of agricultural resources to produce plastic enters the up-to-date controversial concern about the “food/energy dilemma”, as evidenced by the high impact in the land use category. The majority of PLA globally marketed is produced from starchy or sugar plants (e.g., corn, sugar cane, and potato) [62]. Replacing agriculture-dedicated crops with agri-food waste or by-products as raw materials for the production of PLA could offer advantages in terms of overall environmental sustainability and circular economy. However, the current costs and logistic difficulties make this option still far from being widely applied. On the contrary, PHA (S2) emerged as the only material capable of effectively reducing the environmental impact compared to HDPE because its production does not directly depend on agricultural crops. However, in terms of GWP, savings are negligible due to a still high-energy-demanding biosynthesis and the high energy requirements for the treatment of sewage sludge. It is worthwhile noting that PHA production is a relatively new technology that has significant room for improvement in the next few years to considerably enhance its overall economic and environmental sustainability [63].
If cotton is already widely used in mollusk farming worldwide [64,65,66], hemp is more unusual for aquaculture activities, even though, until the diffusion of synthetic fibers, it was the nautical material par excellence [67]. The overall sustainability of hemp and cotton ropes is hampered by their shorter life span compared with nylon ropes [68,69,70]. On the other hand, at the local level, replacing nylon with hemp can offer opportunities to enhance local production, reduce dependence on non-renewable resources, and concurrently lower the costs and environmental impacts of transportation [71].
The choice of a material that can ensure an overall improved environmental sustainability of oyster farming must be based on a comprehensive assessment of the environmental impact issues. It is important to draw attention to the fact that, currently, no guidelines on how to include the quantity, quality, and effects of micro- and nanoplastics in LCA have been definitely developed [72]. As a consequence, although the use of fossil-based plastics could result in lower LCA impact category values compared to bio-based materials, their contribution to marine microplastic pollution is excluded from the analysis. Nevertheless, oyster bags, lanterns, buoys, and mooring ropes used in oyster farming are always totally or partially submerged and continuously subjected to the mechanical action of waves and the effect of sun and wind, which contribute to weakening, cracking, and breaking, resulting in fragmentation and dissemination in the marine environment as microplastics [73].
A growing body of evidence shows that microplastic pollution is ubiquitous and has become an emerging environmental global issue [74]. Microplastic pollution and aquaculture are closely related concerns, with aquaculture one of the main sources of microplastic pollution and, at the same time, one of the main targets of their negative effects. Microplastics cause toxicological effects on the behavior, growth, and reproduction of marine species, in turn diminishing the economic benefits of aquaculture itself. Moreover, they can be ingested by aquatic organisms, especially filter-feeding organisms such as oysters, arrive in humans as consumers of aquaculture products, and pose potential health risks at multiple levels [75]. Microplastics have already been found in cultured oysters from different coastal areas of China [76], Korea [77], the USA [78], and Greece [79]. Research conducted in the Gulf of La Spezia between 2012 and 2016 revealed a significant concentration of microplastics in both locally farmed oysters and mussels (Mytilus galloprovincialis) [29]. Although this aspect may seem unrelated to the issue of sustainability, maintaining a healthy and productive marine environment means ensuring constant or, at best, increasing productivity. In this way, the sustainability of the industry, which is proportional to the quantity of product, is guaranteed over the years.
The best way to avoid the generation of microplastics is to reduce the amount of plastic waste. This can be achieved by improving recycling routes or using alternative materials [80]. Biodegradable plastics can be part of the solution, and their application in aquaculture should not be underestimated [81] even though aspects related to the chemical safety of bio-based compounds for marine applications are still being studied [82].
Bioplastics are, by now, scarcely used in aquaculture, as they are expensive and scarcely available in the market [83]. Traditionally, cotton socks are used in mussel farming to allow a better attachment of seeds. However, generally, there is limited published data in the literature about the functioning or durability of bioplastic materials in marine environments. Early stage applications of starch-based biopolymers for the production of tools for aquaculture have been recently attempted by Pavia et al. [15].
Eventually, nowadays, PHA (S3) may represent an option to reduce the environmental impact of oyster farming as an alternative to HDPE (S0) in terms of LCA. Hemp may be an option to reduce microplastic pollution and promote the local market even if its production has high environmental costs. There is a clear need to promote the use of waste materials as raw materials for bioplastics, and the creation of an optimized production chain for these materials is a key point to ensure their overall environmental sustainability.
However, one cannot help but emphasize that durability and performance in the marine environment are two aspects of primary importance when considering replacing traditional materials with bio-based ones. Jacquin et al. [84] observed that PP and PLA showed no evidence of surface degradation after 100 days in seawater, whereas PHA exhibited evidence of faster weakening. Moreover, PLA has been found to degrade very slowly in seawater, remaining stable for a long time under natural conditions and having the same time efficiency comparable to that of conventional materials, and not compromise the profitability of aquaculture operations [85,86,87]. A study of Volova et al. [88] on the biodegradation pattern of PHAs in tropical marine environment has shown that it is rather influenced by the shape of the polymer item and the preparation technique than by the chemical composition of the polymer. In fact, the literature reports a wide range of data, from complete degradation in 6 weeks in a marine environment of PHBV films (0.115 mm thickness) [89] to no degradation at all in one year (0.32 mm thickness) [90]. It is, therefore, difficult to give unambiguous indications on the efficiency and durability performance of bio-based materials compared to traditional materials. The effective degradability of plastics in seawater is complex and requires an in-depth investigation and evaluation to provide an accurate basis for the practical application of materials.
Another important aspect that has been acknowledged as the third environmental hotspot in current scenario is the unsustainability of wooden packaging, which is widely used in Italy due to its marketing appeal. Oysters can be packaged in various ways, including cardboard boxes, plastic bags or nets, and wooden boxes. In the case study, and in general, in Italy, the Netherlands, the UK, and France, wooden boxes are the most common packaging for marketable oysters. Although offering advantages in terms of the commercial value of oysters, traditionally perceived as a luxury food, LCA has shown that wooden boxes are unsustainable and contribute significantly to all environmental impact categories, in particular, the human (HTP) and ecosystem (ETP) toxicity potential. Plywood is only apparently a sustainable material because its manufacturing includes highly energy-consuming operations, i.e., debarking, peeling, drying, sorting, gluing, laying up (compositing), and hot pressing. In particular, debarking and drying stages have been reported to be the most burdening in all LCA categories, as confirmed by Jia et al. [91]. Substituting plywood boxes with PP nets is an apparent contradiction as it can reduce the dependence on fossil resources but, strictly in terms of environmental sustainability, provides a significant reduction in impacts. Moreover, plastic materials from household use are very easily recyclable, different from plastic items used in aquaculture, and also different from wooden materials. In the case of packaging, which is directly seen by consumers, the use of biodegradable materials could be an opportunity to improve the perception of oysters as sustainable products [92]. However, it was excluded from the possible scenarios because only a few attempts to use biopackaging for oysters have been carried out, namely, composite films made of PLA–polyhydroxybutirate (PHB) [93] or PLA-PP [94], and none of them have, by now, been applied at the commercial level. The use of biodegradable or compostable polymers alone for food packaging films or nets still has some limitations, especially because of the high cost when compared with fossil fuel-based packaging [95].
5. Conclusions
Fossil plastics have been utilized for decades across all sectors, and their applications in aquaculture are well established. These materials can engender numerous environmental issues, stemming from their non-degradable nature and the requirement for crude oil as a primary resource. Due to their degradability in natural environments, bioplastics present potential alternatives as tools for aquaculture. Oyster farming in La Spezia has been employed as a model for investigating the impact of biomaterial application as a substitute for fossil-based plastic. The results corroborated the significant role of plastics as an impact factor. One approach to enhance sustainability is through the utilization of bioplastics, recycled plastics, and natural fibers as alternatives to traditional materials used in oyster farming equipment. While an initial analysis of all scenarios considered indicates that all alternative plastics, except for the use of PHA, are less favorable than the original scenario, it is imperative to critically evaluate the conclusions drawn. Although the production and, in some instances, the cost of biomaterials present limitations to their use, necessitating further efforts to optimize the supply chain, it is also essential to consider the effect of plastic biodegradation in marine environments. From this perspective, biomaterials may prove to be a promising technology whose use should not be precluded but rather further investigated. The unsustainability of wooden boxes as packaging is another aspect elucidated by the LCA analysis of the case study. Indeed, wood is a material with high environmental costs in its production but with an extended lifespan. In the oyster market, its life is limited to the product sold; therefore, its substitution with less durable but recyclable packaging can be an effective strategy to increase the sustainability of the oyster market and simultaneously provide consumers with a different perception of this food as accessible. In conclusion, while oyster farming is generally recognized as a sustainable food production activity, there is an urgent need to continually assess and improve its sustainability. This can be achieved by adopting a comprehensive approach that integrates scientific research, technological innovation, and ethical considerations.
Author Contributions
Conceptualization, G.C. and E.T. (Elena Tamburini); methodology, D.S. and M.L.; validation, D.S., and E.T. (Elena Tamisari); formal analysis, D.S.; data curation, D.S. and E.T. (Elena Tamisari); writing—original draft preparation, D.S.; writing—review and editing, E.T. (Elena Tamburini); supervision, E.T. (Elena Tamburini); funding acquisition, G.C. All authors have read and agreed to the published version of the manuscript.
Funding
This research was funded by the Italian Ministry of Agriculture of food sovereignty and forests (MIPAAF) PO FEAMP 2014–2020 project No. 6/INA/19, CUP J79J19000250007 and and by the EcosistER Project, under the National Recovery and Resilience Plan (NRRP), within WP3—Biotic and abiotic marine resources of the Spoke 5—Circular economy and blue economy.
Data Availability Statement
Data is available on request from the authors.
Acknowledgments
The authors would like to thank the farmer Paolo Varrella for his kind and helpful support in all phases of data collection and analysis.
Conflicts of Interest
The authors declare no conflicts of interest.
References
- Security: Assessing Its Characteristics From a Future Food Perspective. Front. Mar. Sci. 2021, 8, 654897.
- McClements, D.J. Future Foods: Is It Possible to Design a Healthier and More Sustainable Food Supply? Nutr. Bull. 2020, 45, 341–354. [Google Scholar] [CrossRef]
- Wijsman, J.; Troost, K.; Fang, J.; Roncarati, A. Global Production of Marine Bivalves. Trends and Challenges. In Goods and Services of Marine Bivalves; Springer: Cham, Switzerland, 2019; pp. 7–26. [Google Scholar]
- Garlock, T.; Asche, F.; Anderson, J.; Bjørndal, T.; Kumar, G.; Lorenzen, K.; Ropicki, A.; Smith, M.D.; Tveterås, R. A Global Blue Revolution: Aquaculture Growth Across Regions, Species, and Countries. Rev. Fish. Sci. Aquac. 2020, 28, 107–116. [Google Scholar] [CrossRef]
- Ramos, C.d.O.; da Silva, F.C.; Gomes, C.H.A.d.M.; Langdon, C.; Takano, P.; Gray, M.W.; de Melo, C.M.R. Effect of Larval Density on Growth and Survival of the Pacific Oyster Crassostrea Gigas in a Recirculation Aquaculture System. Aquaculture 2021, 540, 736667. [Google Scholar] [CrossRef]
- Peng, D.; Zhang, S.; Zhang, H.; Pang, D.; Yang, Q.; Jiang, R.; Lin, Y.; Mu, Y.; Zhu, Y. The Oyster Fishery in China: Trend, Concerns and Solutions. Mar. Policy 2021, 129, 104524. [Google Scholar] [CrossRef]
- Botta, R.; Asche, F.; Borsum, J.S.; Camp, E.V. A Review of Global Oyster Aquaculture Production and Consumption. Mar. Policy 2020, 117, 103952. [Google Scholar] [CrossRef]
- Ahmed, N.; Thompson, S.; Glaser, M. Global Aquaculture Productivity, Environmental Sustainability, and Climate Change Adaptability. Environ. Manag. 2019, 63, 159–172. [Google Scholar] [CrossRef]
- Filgueira, R.; Strohmeier, T.; Strand, Ø. Regulating Services of Bivalve Molluscs in the Context of the Carbon Cycle and Implications for Ecosystem Valuation. In Goods and Services of Marine Bivalves; Smaal, A.C., Ferreira, J.G., Grant, J., Petersen, J.K., Strand, Ø., Eds.; Springer International Publishing: Cham, Switzerland, 2019; pp. 231–251. ISBN 978-3-319-96775-2. [Google Scholar]
- Sorensen, R.M.; Jovanović, B. From Nanoplastic to Microplastic: A Bibliometric Analysis on the Presence of Plastic Particles in the Environment. Mar. Pollut. Bull. 2021, 163, 111926. [Google Scholar] [CrossRef] [PubMed]
- Tian, Y.; Yang, Z.; Yu, X.; Jia, Z.; Rosso, M.; Dedman, S.; Zhu, J.; Xia, Y.; Zhang, G.; Yang, J.; et al. Can We Quantify the Aquatic Environmental Plastic Load from Aquaculture? Water Res. 2022, 219, 118551. [Google Scholar] [CrossRef]
- Pacheco, D.; Cotas, J.; Marques, J.C.; Pereira, L.; Gonçalves, A.M.M. Seaweed-Based Polymers from Sustainable Aquaculture to “Greener” Plastic Products. In Sustainable Global Resources of Seaweeds Volume 1: Bioresources, Cultivation, Trade and Multifarious Applications; Ranga Rao, A., Ravishankar, G.A., Eds.; Springer International Publishing: Cham, Switzerland, 2022; pp. 591–602. ISBN 978-3-030-91955-9. [Google Scholar]
- Cucina, M.; de Nisi, P.; Tambone, F.; Adani, F. The Role of Waste Management in Reducing Bioplastics’ Leakage into the Environment: A Review. Bioresour. Technol. 2021, 337, 125459. [Google Scholar] [CrossRef]
- Piemonte, V. Bioplastic Wastes: The Best Final Disposition for Energy Saving. J. Polym. Environ. 2011, 19, 988–994. [Google Scholar] [CrossRef]
- Pavia, F.C.; Brucato, V.; Mistretta, M.C.; Botta, L.; La Mantia, F.P. A Biodegradable, Bio-Based Polymer for the Production of Tools for Aquaculture: Processing, Properties and Biodegradation in Sea Water. Polymers 2023, 15, 927. [Google Scholar] [CrossRef]
- Filiciotto, L.; Rothenberg, G. Biodegradable Plastics: Standards, Policies, and Impacts. ChemSusChem 2021, 14, 56–72. [Google Scholar] [CrossRef] [PubMed]
- Taneepanichskul, N.; Purkiss, D.; Miodownik, M. A Review of Sorting and Separating Technologies Suitable for Compostable and Biodegradable Plastic Packaging. Front. Sustain. 2022, 3, 901885. [Google Scholar] [CrossRef]
- Ramesh, M. Hemp, Jute, Banana, Kenaf, Ramie, Sisal Fibers. In Handbook of Properties of Textile and Technical Fibres; Elsevier: Amsterdam, The Netherlands, 2018; pp. 301–325. ISBN 978-0-08-101272-7. [Google Scholar]
- Sen, T.; Reddy, H.N.J. Various Industrial Applications of Hemp, Kinaf, Flax and Ramie Natural Fibres. Int. J. Innov. 2011, 2, 192. [Google Scholar]
- Watson, R.A.; Nichols, R.; Lam, V.W.Y.; Sumaila, U.R. Global Seafood Trade Flows and Developing Economies: Insights from Linking Trade and Production. Mar. Policy 2017, 82, 41–49. [Google Scholar] [CrossRef]
- Zoli, M.; Rossi, L.; Costantini, M.; Bibbiani, C.; Fronte, B.; Brambilla, F.; Bacenetti, J. Quantification and Characterization of the Environmental Impact of Sea Bream and Sea Bass Production in Italy. Clean. Environ. Syst. 2023, 9, 100118. [Google Scholar] [CrossRef]
- Tamburini, E.; Fano, E.A.; Castaldelli, G.; Turolla, E. Life Cycle Assessment of Oyster Farming in the Po Delta, Northern Italy. Resources 2019, 8, 170. [Google Scholar] [CrossRef]
- Summa, D.; Turolla, E.; Lanzoni, M.; Tamisari, E.; Castaldelli, G.; Tamburini, E. Life Cycle Assessment (LCA) of Two Different Oyster (Crassostrea gigas) Farming Strategies in the Sacca Di Goro, Northern Adriatic Sea, Italy. Resources 2023, 12, 62. [Google Scholar] [CrossRef]
- Lourguioui, H.; Brigolin, D.; Boulahdid, M.; Pastres, R. A Perspective for Reducing Environmental Impacts of Mussel Culture in Algeria. Int. J. Life Cycle Assess. 2017, 22, 1266–1277. [Google Scholar] [CrossRef]
- Martini, A.; Calì, M.; Capoccioni, F.; Martinoli, M.; Pulcini, D.; Buttazzoni, L.; Moranduzzo, T.; Pirlo, G. Environmental Performance and Shell Formation-Related Carbon Flows for Mussel Farming Systems. Sci. Total Environ. 2022, 831, 154891. [Google Scholar] [CrossRef]
- Aubin, J.; Fontaine, C. Environmental Impacts of Producing Bouchot Mussels in Mont-Saint-Michel Bay (France) Using LCA with Emphasis on Potential Climate Change and Eutrophication; American Center for Life Cycle Assessment: Bethesda, MD, USA, 2014; pp. 64–69. [Google Scholar]
- Sun, L.; Feng, J.-C.; Zhang, S. The Carbon Footprint of Pacific Oyster Farming in China. Energy Proceedings 2021, 19, 1–4. [Google Scholar]
- Zhou, A.; Zhang, Y.; Xie, S.; Chen, Y.; Li, X.; Wang, J.; Zou, J. Microplastics and Their Potential Effects on the Aquaculture Systems: A Critical Review. Rev. Aquac. 2021, 13, 719–733. [Google Scholar] [CrossRef]
- Bonello, G.; Varrella, P.; Pane, L. First Evaluation of Microplastic Content in Benthic Filter-Feeders of the Gulf of La Spezia (Ligurian Sea). J. Aquat. Food Prod. Technol. 2018, 27, 284–291. [Google Scholar] [CrossRef]
- Rossi, V.; Amorosi, A.; Marchesini, M.; Marvelli, S.; Cocchianella, A.; Lorenzini, L.; Trigona, S.L.; Valle, G.; Bini, M. Late Quaternary Landscape Dynamics at the La Spezia Gulf (NW Italy): A Multi-Proxy Approach Reveals Environmental Variability within a Rocky Embayment. Water 2021, 13, 427. [Google Scholar] [CrossRef]
- Collinson, R.; Rees, C. Mussel Mortality in the Gulf of La Spezia, Italy. Mar. Pollut. Bull. 1978, 9, 99–101. [Google Scholar] [CrossRef]
- Robert, R.; Sánchez, J.L.; Pérez-Parallé, L.; Ponis, E.; Kamermans, P.; O’Mahoney, M. A Glimpse on the Mollusc Industry in Europe. Aquac. Eur. 2013, 38, 5–11. [Google Scholar]
- Tamburini, E.; Turolla, E.; Fano, E.A.; Castaldelli, G. Sustainability of Mussel (Mytilus Galloprovincialis) Farming in the Po River Delta, Northern Italy, Based on a Life Cycle Assessment Approach. Sustainability 2020, 12, 3814. [Google Scholar] [CrossRef]
- Danioux, C.; Bompais, X.; Paquotte, P.; Loste, C. Offshore Mollusc Production in the Mediterranean Basin. 2000. Available online: https://om.ciheam.org/om/pdf/b30/00600655.pdf (accessed on 17 July 2024).
- Balbi, T.; Fabbri, R.; Montagna, M.; Camisassi, G.; Canesi, L. Seasonal Variability of Different Biomarkers in Mussels (Mytilus galloprovincialis) Farmed at Different Sites of the Gulf of La Spezia, Ligurian Sea, Italy. Mar. Pollut. Bull. 2017, 116, 348–356. [Google Scholar] [CrossRef]
- Klöpffer, W. The critical review of life cycle assessment studies according to ISO 14040 and 14044: Origin, purpose and practical performance. Int J Life Cycle Ass 2012, 17, 1087–1093. [Google Scholar] [CrossRef]
- Gerbinet, S.; Belboom, S.; Léonard, A. Life Cycle Analysis (LCA) of Photovoltaic Panels: A Review. Renew. Sustain. Energy Rev. 2014, 38, 747–753. [Google Scholar] [CrossRef]
- Vogli, L.; Macrelli, S.; Marazza, D.; Galletti, P.; Torri, C.; Samorì, C.; Righi, S. Life Cycle Assessment and Energy Balance of a Novel Polyhydroxyalkanoates Production Process with Mixed Microbial Cultures Fed on Pyrolytic Products of Wastewater Treatment Sludge. Energies 2020, 13, 2706. [Google Scholar] [CrossRef]
- Suwanmanee, U.; Charoennet, N.; Leejarkpai, T.; Mungcharoen, T. Comparative Life Cycle Assessment of Bio-Based Garbage Bags: A Case Study on Bio-PE and PBAT/Starch. In Materials and Technologies for Energy Efficiency; Universal-Publishers: Boca Raton, FL, USA, 2015; pp. 193–197. [Google Scholar]
- Horne, M.R.L. 5B-Bast Fibres: Hemp Cultivation and Production. In Handbook of Natural Fibres, 2nd ed.; Kozłowski, R.M., Mackiewicz-Talarczyk, M., Eds.; Woodhead Publishing: Boston, UK, 2020; pp. 163–196. ISBN 978-0-12-818398-4. [Google Scholar]
- Ainali, N.M.; Kalaronis, D.; Evgenidou, E.; Kyzas, G.Z.; Bobori, D.C.; Kaloyianni, M.; Yang, X.; Bikiaris, D.N.; Lambropoulou, D.A. Do Poly (Lactic Acid) Microplastics Instigate a Threat? A Perception for Their Dynamic towards Environmental Pollution and Toxicity. Sci. Total Environ. 2022, 832, 155014. [Google Scholar] [CrossRef] [PubMed]
- Anderson, G.; Shenkar, N. Potential Effects of Biodegradable Single-Use Items in the Sea: Polylactic Acid (PLA) and Solitary Ascidians. Environ. Pollut. 2021, 268, 115364. [Google Scholar] [CrossRef]
- Castro-Aguirre, E.; Iniguez-Franco, F.; Samsudin, H.; Fang, X.; Auras, R. Poly (Lactic Acid)—Mass Production, Processing, Industrial Applications, and End of Life. Adv. Drug Deliv. Rev. 2016, 107, 333–366. [Google Scholar] [CrossRef] [PubMed]
- Chamas, A.; Moon, H.; Zheng, J.; Qiu, Y.; Tabassum, T.; Jang, J.H.; Abu-Omar, M.; Scott, S.L.; Suh, S. Degradation Rates of Plastics in the Environment. ACS Sustain. Chem. Eng. 2020, 8, 3494–3511. [Google Scholar] [CrossRef]
- Dilkes-Hoffman, L.S.; Lant, P.A.; Laycock, B.; Pratt, S. The Rate of Biodegradation of PHA Bioplastics in the Marine Environment: A Meta-Study. Mar. Pollut. Bull. 2019, 142, 15–24. [Google Scholar] [CrossRef] [PubMed]
- Perrier, A.; Touchard, F.; Chocinski-Arnault, L.; Mellier, D. Influence of Water on Damage and Mechanical Behaviour of Single Hemp Yarn Composites. Polym. Test. 2017, 57, 17–25. [Google Scholar] [CrossRef]
- Zhang, H.; Zhong, Z.; Feng, L. Advances in the Performance and Application of Hemp Fiber. Int. J. Simul. Syst. Sci. Technol. 2016, 17, 1–18. [Google Scholar] [CrossRef]
- Duque Schumacher, A.G.; Pequito, S.; Pazour, J. Industrial Hemp Fiber: A Sustainable and Economical Alternative to Cotton. J. Clean. Prod. 2020, 268, 122180. [Google Scholar] [CrossRef]
- Wise, K.; Baziotopoulos, E.; Zhang, C.; Leaming, M.; Shen, L.-H.; Selby-Pham, J. Comparative Study of Water Requirements and Water Footprints of Fibre Crops Hemp (Cannabis sativa) and Cotton (Gossypium hirsutum L.). J. Agrometeorol. 2023, 25, 392–396. [Google Scholar] [CrossRef]
- Mekonnen, M.M.; Hoekstra, A.Y. The Green, Blue and Grey Water Footprint of Crops and Derived Crop Products. Hydrol. Earth Syst. Sci. 2011, 15, 1577–1600. [Google Scholar] [CrossRef]
- Troell, M.; Naylor, R.L.; Metian, M.; Beveridge, M.; Tyedmers, P.H.; Folke, C.; Arrow, K.J.; Barrett, S.; Crépin, A.-S.; Ehrlich, P.R. Does Aquaculture Add Resilience to the Global Food System? Proc. Natl. Acad. Sci. USA 2014, 111, 13257–13263. [Google Scholar] [CrossRef] [PubMed]
- Boyd, C.E.; D’Abramo, L.R.; Glencross, B.D.; Huyben, D.C.; Juarez, L.M.; Lockwood, G.S.; McNevin, A.A.; Tacon, A.G.; Teletchea, F.; Tomasso, J.R., Jr. Achieving Sustainable Aquaculture: Historical and Current Perspectives and Future Needs and Challenges. J. World Aquac. Soc. 2020, 51, 578–633. [Google Scholar] [CrossRef]
- Yu, S.; Mu, Y. Evaluation of Green Development in Mariculture: The Case of Chinese Oyster Aquaculture. Aquaculture 2023, 576, 739838. [Google Scholar] [CrossRef]
- Crusot, M.; Gaertner, J.-C.; Rodriguez, T.; Lo, C.; Gaertner-Mazouni, N. Assessment of Plastic Waste Generated by the Aquaculture Industry: The Case Study of Pearl Farming in French Polynesia. J. Clean. Prod. 2023, 425, 138902. [Google Scholar] [CrossRef]
- Skirtun, M.; Sandra, M.; Strietman, W.J.; van den Burg, S.W.K.; De Raedemaecker, F.; Devriese, L.I. Plastic Pollution Pathways from Marine Aquaculture Practices and Potential Solutions for the North-East Atlantic Region. Mar. Pollut. Bull. 2022, 174, 113178. [Google Scholar] [CrossRef]
- Jiang, B.; Boss, E.; Kiffney, T.; Hesketh, G.; Bourdin, G.; Fan, D.; Brady, D.C. Oyster aquaculture site selection using high-resolution remote sensing: A case study in the Gulf of Maine, United States. Front. Mar. Sci. 2022, 9, 802438. [Google Scholar] [CrossRef]
- Kale, G.; Kijchavengkul, T.; Auras, R.; Rubino, M.; Selke, S.E.; Singh, S.P. Compostability of Bioplastic Packaging Materials: An Overview. Macromol. Biosci. 2007, 7, 255–277. [Google Scholar] [CrossRef]
- Nitsch, C.K.; Walters, L.J.; Sacks, J.S.; Sacks, P.E.; Chambers, L.G. Biodegradable Material for Oyster Reef Restoration: First-Year Performance and Biogeochemical Considerations in a Coastal Lagoon. Sustainability 2021, 13, 7415. [Google Scholar] [CrossRef]
- Degli Innocenti, F.; Breton, T. Intrinsic Biodegradability of Plastics and Ecological Risk in the Case of Leakage. ACS Sustain. Chem. Eng. 2020, 8, 9239–9249. [Google Scholar] [CrossRef]
- Afshar, S.V.; Boldrin, A.; Astrup, T.F.; Daugaard, A.E.; Hartmann, N.B. Degradation of Biodegradable Plastics in Waste Management Systems and the Open Environment: A Critical Review. J. Clean. Prod. 2024, 434, 140000. [Google Scholar] [CrossRef]
- Koller, M. Advances in Polyhydroxyalkanoate (PHA) Production. Bioengineering 2017, 4, 88. [Google Scholar] [CrossRef]
- Arantzamendi, L.; Andrés, M.; Basurko, O.C.; Suárez, M.J. Circular and Lower Impact Mussel and Seaweed Aquaculture by a Shift towards Bio-based Ropes. Rev. Aquac. 2023, 15, 1010–1019. [Google Scholar] [CrossRef]
- Theodorou, J.A.; Tzovenis, I. A framework for risk analysis of the shellfish aquaculture: The case of the Mediterranean mussel farming in Greece. Aquac. Fish. 2023, 8, 375–384. [Google Scholar] [CrossRef]
- Kripa, V.; Mohamed, K.S.; Velayudhan, T.S.; Laxmilatha, P.; Radhakrishnan, P.; Joseph, M.; Alloycious, P.S.; Jenni, B.; Appukuttan, K.K. Recent developments in edible bivalve farming in India. Aquac. Asia 2001, 6, 40–43. [Google Scholar]
- Cacchioni, D. Hemp and Industry in Italy: Between Pasts and Present. Ager Rev. De Estud. Sobre Despoblación Y Desarro. Rural = J. Depopulation Rural Dev. Stud. 2021, 32, 93–115. [Google Scholar]
- Karche, T. The Application of Hemp (Cannabis sativa L.) for a Green Economy: A Review. Turk. J. Bot. 2019, 43, 710–723. [Google Scholar] [CrossRef]
- Haramina, T.; Hadžić, N.; Keran, Z. Epoxy Resin Biocomposites Reinforced with Flax and Hemp Fibers for Marine Applications. J. Mar. Sci. Eng. 2023, 11, 382. [Google Scholar] [CrossRef]
- Chethan, K.; Hegde, S.; Kumar, R.; Padmaraj, N. An Experimental Investigation of the Effect of Natural Fiber Treatment and Marine Environment on Cannabis Sativa/Epoxy Laminates. J. Appl. Eng. Sci. 2021, 19, 840–846. [Google Scholar] [CrossRef]
- Giupponi, L.; Leoni, V.; Carrer, M.; Ceciliani, G.; Sala, S.; Panseri, S.; Pavlovic, R.; Giorgi, A. Overview on Italian Hemp Production Chain, Related Productive and Commercial Activities and Legislative Framework. Ital. J. Agron. 2020, 15, 194–205. [Google Scholar] [CrossRef]
- Croxatto Vega, G.; Gross, A.; Birkved, M. The Impacts of Plastic Products on Air Pollution-A Simulation Study for Advanced Life Cycle Inventories of Plastics Covering Secondary Microplastic Production. Sustain. Prod. Consum. 2021, 28, 848–865. [Google Scholar] [CrossRef]
- Hingant, M.; Mallarino, S.; Conforto, E.; Dubillot, E.; Barbier, P.; Bringer, A.; Thomas, H. Artificial Weathering of Plastics Used in Oyster Farming. Sci. Total Environ. 2023, 868, 161638. [Google Scholar] [CrossRef] [PubMed]
- Wu, H.; Hou, J.; Wang, X. A Review of Microplastic Pollution in Aquaculture: Sources, Effects, Removal Strategies and Prospects. Ecotoxicol. Environ. Saf. 2023, 252, 114567. [Google Scholar] [CrossRef] [PubMed]
- Qin, Y.; Zhang, Y.; Ma, H.; Wu, X.; Xiao, S.; Li, J.; Mo, R.; Yu, Z. Comparison of the Biochemical Composition and Nutritional Quality Between Diploid and Triploid Hong Kong Oysters, Crassostrea Hongkongensis. Front. Physiol. 2018, 9, 1674. [Google Scholar] [CrossRef] [PubMed]
- Arini, A.; Gigault, J.; Venel, Z.; Bertucci, A.; Baudrimont, M. The Underestimated Toxic Effects of Nanoplastics Coming from Marine Sources: A Demonstration on Oysters (Isognomon alatus). Chemosphere 2022, 295, 133824. [Google Scholar] [CrossRef] [PubMed]
- Lusher, A.; Hollman, P.; Mendoza-Hill, J. Microplastics in Fisheries and Aquaculture: Status of Knowledge on Their Occurrence and Implications for Aquatic Organisms and Food Safety; FAO: Rome, Italy, 2017; ISBN 92-5-109882-4. [Google Scholar]
- Teng, J.; Wang, Q.; Ran, W.; Wu, D.; Liu, Y.; Sun, S.; Liu, H.; Cao, R.; Zhao, J. Microplastic in Cultured Oysters from Different Coastal Areas of China. Sci. Total Environ. 2019, 653, 1282–1292. [Google Scholar] [CrossRef] [PubMed]
- Cho, Y.; Shim, W.J.; Jang, M.; Han, G.M.; Hong, S.H. Nationwide Monitoring of Microplastics in Bivalves from the Coastal Environment of Korea. Environ. Pollut. 2021, 270, 116175. [Google Scholar] [CrossRef] [PubMed]
- Baechler, B.R.; Granek, E.F.; Hunter, M.V.; Conn, K.E. Microplastic Concentrations in Two Oregon Bivalve Species: Spatial, Temporal, and Species Variability. Limnol. Oceanogr. Lett. 2020, 5, 54–65. [Google Scholar] [CrossRef]
- Manolaki, S.M.; Chatzivasileiou, D.; Lampa, M.; Dimitriou, P.D.; Philippidis, A.; Karakassis, I.; Papageorgiou, N. Microplastic Contamination in Cultured Mussels and Pearl Oysters in Greece. Microplastics 2023, 2, 168–181. [Google Scholar] [CrossRef]
- Calero, M.; Godoy, V.; Quesada, L.; Martín-Lara, M.Á. Green Strategies for Microplastics Reduction. Curr. Opin. Green Sustain. Chem. 2021, 28, 100442. [Google Scholar] [CrossRef]
- Acharjee, S.A.; Bharali, P.; Gogoi, B.; Sorhie, V.; Walling, B. Alemtoshi PHA-Based Bioplastic: A Potential Alternative to Address Microplastic Pollution. Water Air Soil Pollut. 2022, 234, 21. [Google Scholar] [CrossRef] [PubMed]
- Zimmermann, L.; Dombrowski, A.; Völker, C.; Wagner, M. Are Bioplastics and Plant-Based Materials Safer than Conventional Plastics? In Vitro Toxicity and Chemical Composition. Environ. Int. 2020, 145, 106066. [Google Scholar] [CrossRef] [PubMed]
- Arantzamendi, L.; Andrés, M.; Suárez, M.J.; van Der Schueren, L.; Aguinaga, M. Assessing the Mechanical Properties of Biobased versus Fossil-Based Ropes and Their Impact on the Productivity and Quality of Mussel (Mytilus Galloprovincialis) in Longline Aquaculture: Toward Decarbonization. Aquaculture 2024, 588, 740919. [Google Scholar] [CrossRef]
- Jacquin, J.; Callac, N.; Cheng, J.; Giraud, C.; Gorand, Y.; Denoual, C.; Pujo-Pay, M.; Conan, P.; Meistertzheim, A.-L.; Barbe, V.; et al. Microbial Diversity and Activity During the Biodegradation in Seawater of Various Substitutes to Conventional Plastic Cotton Swab Sticks. Front. Microbiol. 2021, 12, 604395. [Google Scholar] [CrossRef] [PubMed]
- Deroiné, M.; Le Duigou, A.; Corre, Y.-M.; Le Gac, P.-Y.; Davies, P.; César, G.; Bruzaud, S. Accelerated Ageing of Polylactide in Aqueous Environments: Comparative Study between Distilled Water and Seawater. Polym. Degrad. Stab. 2014, 108, 319–329. [Google Scholar] [CrossRef]
- Grimaldo, E.; Herrmann, B.; Jacques, N.; Kubowicz, S.; Cerbule, K.; Su, B.; Larsen, R.; Vollstad, J. The Effect of Long-Term Use on the Catch Efficiency of Biodegradable Gillnets. Mar. Pollut. Bull. 2020, 161, 111823. [Google Scholar] [CrossRef] [PubMed]
- Cerbule, K.; Grimaldo, E.; Herrmann, B.; Larsen, R.B.; Brčić, J.; Vollstad, J. Can Biodegradable Materials Reduce Plastic Pollution without Decreasing Catch Efficiency in Longline Fishery? Mar. Pollut. Bull. 2022, 178, 113577. [Google Scholar] [CrossRef]
- Volova, T.G.; Boyandin, A.N.; Vasiliev, A.D.; Karpov, V.A.; Prudnikova, S.V.; Mishukova, O.V.; Boyarskikh, U.A.; Filipenko, M.L.; Rudnev, V.P.; Bá Xuân, B.; et al. Biodegradation of Polyhydroxyalkanoates (PHAs) in Tropical Coastal Waters and Identification of PHA-Degrading Bacteria. Polym. Degrad. Stab. 2010, 95, 2350–2359. [Google Scholar] [CrossRef]
- Rutkowska, M.; Krasowska, K.; Heimowska, A.; Adamus, G.; Sobota, M.; Musioł, M.; Janeczek, H.; Sikorska, W.; Krzan, A.; Žagar, E. Environmental Degradation of Blends of Atactic Poly[(R, S)-3-Hydroxybutyrate] with Natural PHBV in Baltic Sea Water and Compost with Activated Sludge. J. Polym. Environ. 2008, 16, 183–191. [Google Scholar] [CrossRef]
- Bagheri, A.R.; Laforsch, C.; Greiner, A.; Agarwal, S. Fate of So-Called Biodegradable Polymers in Seawater and Freshwater. Glob. Chall. 2017, 1, 1700048. [Google Scholar] [CrossRef] [PubMed]
- Jia, L.; Chu, J.; Ma, L.; Qi, X.; Kumar, A. Life Cycle Assessment of Plywood Manufacturing Process in China. Int. J. Environ. Res. Public Health 2019, 16, 2037. [Google Scholar] [CrossRef] [PubMed]
- Nilsen-Nygaard, J.; Fernández, E.N.; Radusin, T.; Rotabakk, B.T.; Sarfraz, J.; Sharmin, N.; Sivertsvik, M.; Sone, I.; Pettersen, M.K. Current Status of Biobased and Biodegradable Food Packaging Materials: Impact on Food Quality and Effect of Innovative Processing Technologies. Compr. Rev. Food Sci. Food Saf. 2021, 20, 1333–1380. [Google Scholar] [CrossRef]
- Miao, L.; Walton, W.C.; Wang, L.; Li, L.; Wang, Y. Characterization of Polylactic Acids-Polyhydroxybutyrate Based Packaging Film with Fennel Oil, and Its Application on Oysters. Food Packag. Shelf Life 2019, 22, 100388. [Google Scholar] [CrossRef]
- Akoueson, F.; Paul-Pont, I.; Tallec, K.; Huvet, A.; Doyen, P.; Dehaut, A.; Duflos, G. Additives in Polypropylene and Polylactic Acid Food Packaging: Chemical Analysis and Bioassays Provide Complementary Tools for Risk Assessment. Sci. Total Environ. 2023, 857, 159318. [Google Scholar] [CrossRef]
- Mtibe, A.; Motloung, M.P.; Bandyopadhyay, J.; Ray, S.S. Synthetic Biopolymers and Their Composites: Advantages and Limitations—An Overview. Macromol. Rapid Commun. 2021, 42, 2100130. [Google Scholar] [CrossRef] [PubMed]
Disclaimer/Publisher’s Note: The statements, opinions and data contained in all publications are solely those of the individual author(s) and contributor(s) and not of MDPI and/or the editor(s). MDPI and/or the editor(s) disclaim responsibility for any injury to people or property resulting from any ideas, methods, instructions or products referred to in the content. |
© 2025 by the authors. Licensee MDPI, Basel, Switzerland. This article is an open access article distributed under the terms and conditions of the Creative Commons Attribution (CC BY) license (https://creativecommons.org/licenses/by/4.0/).






