Decision Algorithm of Teaching Quality Evaluation for Higher Education System Based on Intuitionistic Fuzzy Geometric Yager Heronian Mean Operators
Abstract
1. Introduction
2. Preliminaries
- (1)
- The score function S of α is defined aswhich quantifies the net tendency of membership relative to non-membership.
- (2)
- The accuracy function H of α is given byrepresenting the overall determinacy associated with α.
- (1)
- If , then is considered superior to , denoted as .
- (2)
- If , then is superior to , denoted as .
- (3)
- If , the ranking is further determined by the accuracy function H:
- (a)
- When , the two numbers are deemed equal, denoted by .
- (b)
- When , it follows that .
- (c)
- When , it follows that .
- (1)
- The minimum t-norm, ,
- (2)
- The product t-norm, ,
- (3)
- The drastic product t-norm, defined as
- (1)
- The maximum t-conorm, ,
- (2)
- The probabilistic sum t-conorm, ,
- (3)
- The drastic sum t-conorm, defined as
- (1)
- The complement of α is defined as:
- (2)
- The addition of and is given by
- (3)
- The multiplication of and is defined as
- (4)
- The scalar multiplication is given by
- (5)
- The power operation is expressed as
3. Intuitionistic Fuzzy Geometric Heronian Mean Operators Based on Yager t-Norms
- (1)
- When , the IFYGHM operator reduces into the form ofIt can be called as a generalized intuitionistic fuzzy geometric heavy Yager Heronian mean operator.
- (2)
- When , the IFYGHM operator reduces into the form ofwhich can be called as an intuitionistic fuzzy geometric heavy Yager Heronian mean operator.
- (3)
- When , the IFYGHM operator reduces into the form ofwhich can be called as an intuitionistic fuzzy geometric linear Yager Heronian mean operator.
- (4)
- When , the IFYGHM operator reduces into the form ofwhich can be called as an intuitionistic fuzzy geometric Yager Heronian mean operator.
- (1)
- (Idempotency) If all intuitionistic fuzzy numbers are identical and equal to the intuitionistic fuzzy number , then
- (2)
- (Monotonicity) Suppose is another collection of intuitionistic fuzzy numbers, if for all i, then
- (3)
- (Boundedness) Define two extreme intuitionistic fuzzy numbers and asThen we have
4. A MADM Framework for Classroom Teaching Quality Evaluation Based on the IFYWGHM Operator
4.1. Representation of Evaluation Information
4.2. Calculate the Overall Weight of the Evaluation Criteria
- : subject-level weights (given by experts).
- : attribute weights under subject k (derived by GRA).
4.3. Obtain Alternative Ranks with the IFYWGHM Operator
5. The Application of IFYWGHM Operators
5.1. Illustrative Example
- Student evaluation:
- Peer teacher evaluation:
- Teaching supervisor evaluation:
5.2. Consistency Analysis
- (1)
- The results show that the IFYWGHM operator(with parameters , , ) performs quite similarly to the other operators, namely the IFAAWG, IFHWAGA, and EIFWG operators. All of these operators yield very similar ranking outcomes for the alternatives to , with consistently ranked the highest and ranked the lowest across all methods.
- (2)
- The preference order across all methods——is identical for all operators. This indicates that, in terms of the final decision ranking, all aggregation methods agree on the relative importance of the alternatives, despite differences in their internal structures and parameterizations.
- (3)
- Given the similar performance of the IFYWGHM operator compared to other established methods, it suggests that the operator is flexible and effective in capturing a wide range of aggregation behaviors. This positions the IFYWGHM operator as a promising candidate for educational quality evaluations, where the data can be inherently uncertain and ambiguous.
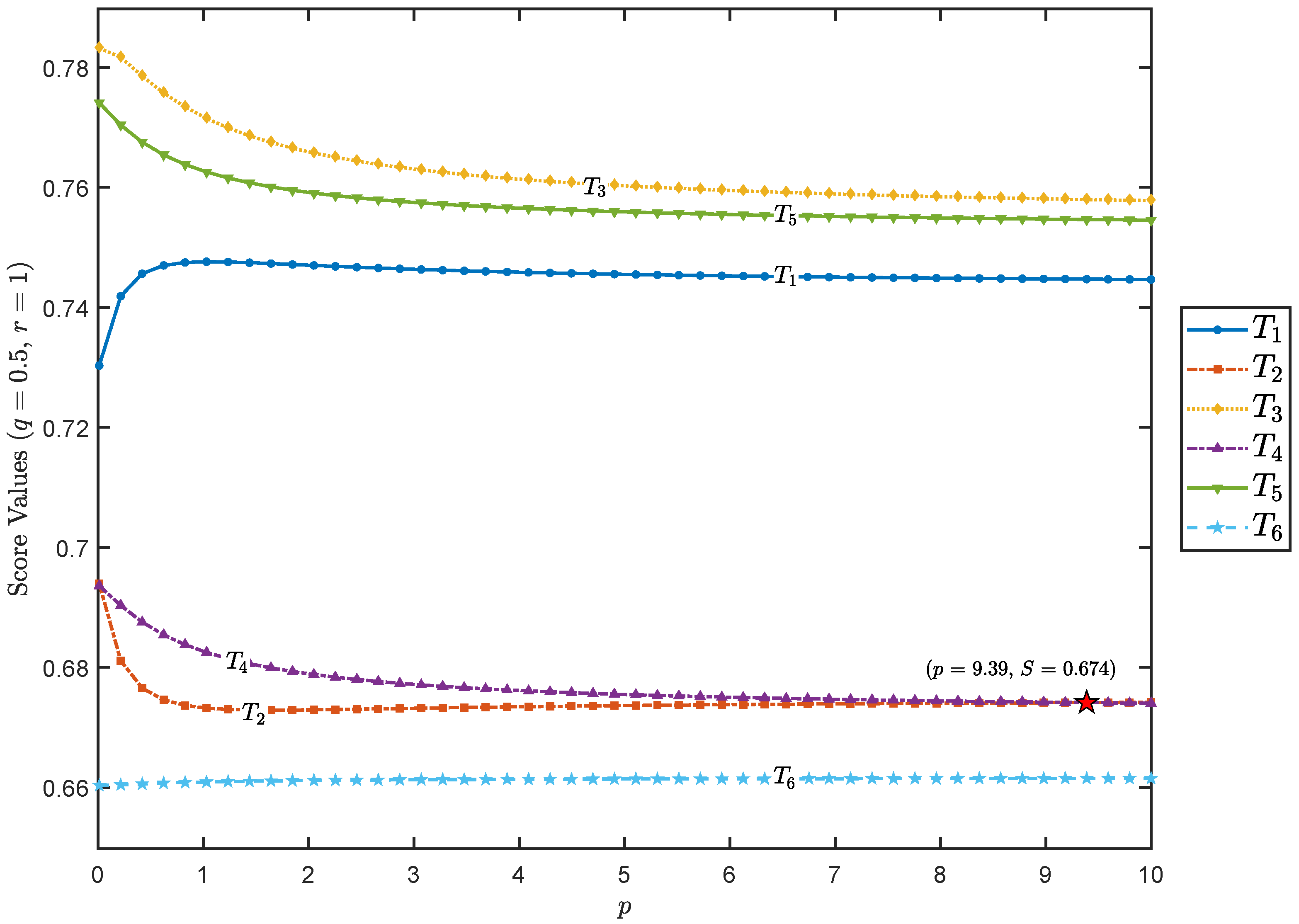
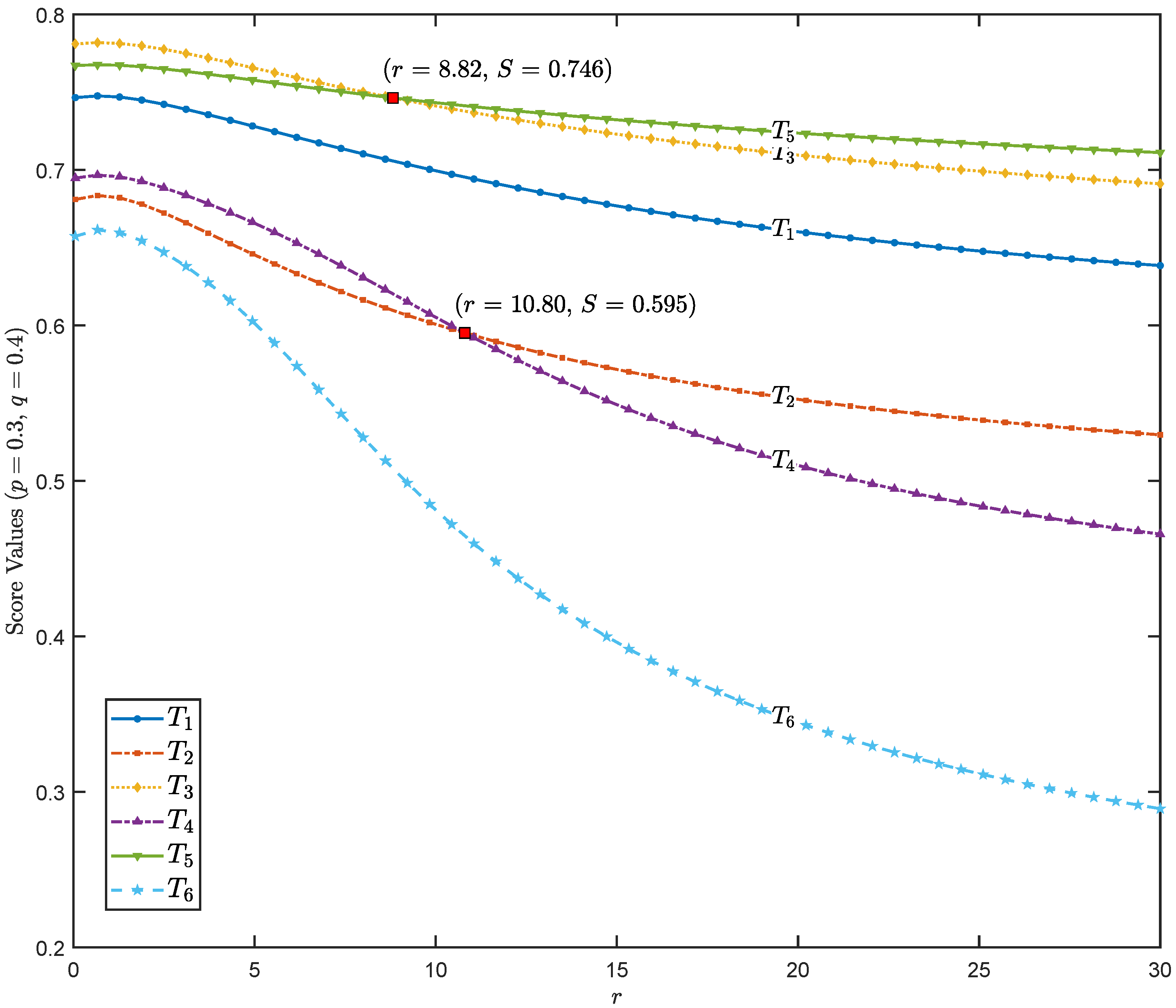
5.3. Sensitivity Analysis of the Parameters p, q, and r
- At , alternatives and both achieve a score of , resulting in a tie.
- At , alternatives and share the same score of , providing another instance of tied outcomes.
- For , the ranking isIn this range, consistently occupies the top position, highlighting its relative strength.
- For , the ranking changes toHere, surpasses , which previously held the leading position.
- For , the ranking becomesAlthough and remain the two leading alternatives, the order of and is reversed compared with the previous interval.
- For , the ranking is
- For , the ranking changes to
- The aggregated scores of all six alternatives exhibit non-linear responses to changes in p and q. No consistent monotonic pattern emerges, as the score may increase with p for some values of q, yet decrease for others. This non-monotonicity highlights that the Heronian mean aggregation is strongly interactive: the influence of p and q is not additive but contingent on their joint configuration.
- For most alternatives, higher scores are concentrated in specific regions of the space (e.g., , ). This suggests that intermediate parameter values generally yield more favorable evaluations, as they balance the weighting effects in the aggregation. By contrast, extreme values at the boundaries of may distort the balance, overemphasizing or underemphasizing certain attributes.
- Very small (<0.5) or very large (>5) values of p or q often result in unstable or skewed scores. Excessive emphasis on either parameter may disproportionately weight specific components of the aggregation, thereby destabilizing the overall evaluation.
5.4. Comparative Analysis
| Algorithm 1 MADM algorithm based on IFYWGH operator |
Require: alternatives , attributes , weight vectors ;
|
- (1)
- Compared with the IFAAWG operator, IFHWAGA operator, and EIFWG operator, we find that the developed IFYWGHM operator offers stronger capability. One of its key advantages lies in the incorporation of three adjustable parameters within its Heronian mean structure. The three parameters serve distinct yet complementary roles: p and q regulate the relative contribution of positive and negative information, while r adjusts the sensitivity of the aggregation to pairwise attribute differences. This parametric structure provides decision-makers with an explicit interpretive control over how conservatively or optimistically the aggregation behaves. For example, higher values of r yield a smoother aggregation surface, reducing the influence of attribute disparity; smaller r values enhance sensitivity to local variations. Earlier operators, which rely on fixed or implicit parameterizations, are notably devoid of such fine-grained tunability. In contrast, the IFYWGHM operator, with its three adjustable parameters in the Heronian mean structure, empowers decision-makers to customize the aggregation process precisely in line with their specific preferences. On the other hand, methods like the IFYWGA operator (with a fixed ) and the IFAAWG operator (with a fixed ) simply do not possess this kind of adaptability.
- (2)
- Compared with the IFHWAGA operator, the IFYWGHM operator is better suited for cases where the attributes exhibit nonlinear dependence. The Heronian mean framework in IFYWGHM allows nonlinear weighting of attribute pairs with the term , enabling it to handle scenarios where the impact of one attribute depends on another. This is absent in simpler methods like IFHWAGA, which assume attribute independence. In contrast, EIFWG uses linear weighting, which fails to capture such complexities.
- (3)
- When comparing our proposed approach with the IFAAWG operator, IFHWAGA operator, and EIFWG operator, several distinct advantages of the IFYWGHM operator become evident. Firstly, in terms of numerical stability, the structure of the IFYWGHM operator sets it apart. Unlike the IFAAWG and EIFWG operators, which incorporate logarithmic and exponential transformations respectively, the Heronian mean employed in the IFYWGHM operator reduces the impact of extreme values through pairwise weight interactions, where . This avoidance is crucial as it prevents numerical instability when handling near-zero or near-one membership values. As a result, the IFYWGHM operator is particularly well-suited for high-dimensional, data-intensive applications. For instance, in large-scale educational assessments where a vast amount of student performance data needs to be processed, or in multi-criteria decision systems involving numerous experts providing their evaluations, the IFYWGHM operator can maintain stable performance. Secondly, our technique demonstrates greater robustness in dealing with outliers. The IFYWGHM operator is grounded in Yager t-norms and Heronian mean theory, providing a solid mathematical framework for aggregating intuitionistic fuzzy numbers. In contrast, the IFAAWG operator relies on logarithmic transformations, while the IFHWAGA and EIFWG operators utilize multiplicative products. These alternative approaches have a drawback in that they may over-penalize low values.
- (4)
- Furthermore, the IFYWGHM operator exhibits a higher degree of information preservation compared to other aggregation mechanisms. Traditional operators such as IFHWAGA and EIFWG typically emphasize either the membership or non-membership component, leading to potential loss of decision information when the hesitation degree is large. In contrast, the IFYWGHM operator integrates the Yager t-norm structure with the Heronian mean formulation, which simultaneously considers both the direct influence (through ) and the compensatory influence (through ). This dual-layered mechanism ensures that uncertainty and hesitation information are effectively captured during aggregation, resulting in a more comprehensive representation of intuitionistic fuzzy environments. Such balanced treatment is especially relevant in complex decision scenarios—such as teaching quality evaluation—where subjective judgments inherently contain hesitancy and partial reliability.
6. Conclusions
Author Contributions
Funding
Informed Consent Statement
Data Availability Statement
Conflicts of Interest
Appendix A
| Part I Basic information | ||
|---|---|---|
| S1 | Your role is | □ Supervisor □ Fellow teacher □ Lecturer to be evaluated □ Student |
| S2 | Your work seniority is | □ Less than 5 years □ 5 to 10 years □ More than 15 years □ Not Applicable |
| S3 | Your professional title is | □ Primary □ Middle □ Advanced □ Not Applicable |
| S4 | Your educational level is | □ Bachelor □ Master □ Doctor |
| Q1 | Are teachers well - prepared, careful in teaching, punctual in class and strict with students? | □ strongly agree □ agree □ neutral □ disagree □ strongly disagree |
| Q2 | Is the teaching content rich, with prominent key points, clearly explained difficult points and close links with practice? | □ strongly agree □ agree □ neutral □ disagree □ strongly disagree |
| Q3 | Are the teaching methods flexible, good at inspiring students’ thinking and paying attention to cultivating students’ ability? | □ strongly agree □ agree □ neutral □ disagree □ strongly disagree |
| Q4 | Regarding students’ understanding and mastery of knowledge, improvement of learning interest and enthusiasm, etc., are you satisfied? | □ strongly agree □ agree □ neutral □ disagree □ strongly disagree |
| Q5 | Do teachers give timely feedback on homework and tests and communicate well with students? | □ strongly agree □ agree □ neutral □ disagree □ strongly disagree |
| Q6 | Do teachers have broad vision and solid professional knowledge, and can they integrate the latest scientific research achievements into the teaching content? | □ strongly agree □ agree □ neutral □ disagree □ strongly disagree |
| Q7 | Can teachers design teaching syllabus around training objectives and graduation requirements, with clear teaching objectives, reasonable teaching plan and appropriate teaching links? | □ strongly agree □ agree □ neutral □ disagree □ strongly disagree |
| Q8 | Do teachers have proper teaching methods, orderly teaching organization and strong classroom control ability? | □ strongly agree □ agree □ neutral □ disagree □ strongly disagree |
| Q9 | Are teachers brave enough to try new teaching methods and means and actively carry out teaching reform? | □ strongly agree □ agree □ neutral □ disagree □ strongly disagree |
| Q10 | Do teachers actively participate in teaching team activities and teaching competitions, guide students’ competitions and guide the growth of young teachers? | □ strongly agree □ agree □ neutral □ disagree □ strongly disagree |
| Q11 | Do teachers abide by teaching rules and regulations, and are the teaching documents complete and standardized? | □ strongly agree □ agree □ neutral □ disagree □ strongly disagree |
| Q12 | Do teachers obey teaching arrangements and cooperate with teaching management? | □ strongly agree □ agree □ neutral □ disagree □ strongly disagree |
| Q13 | Does the teacher actively participate in various teaching activities and teaching research and reform? | □ strongly agree □ agree □ neutral □ disagree □ strongly disagree |
| Q14 | Do teachers make contributions in discipline construction, specialty construction and curriculum construction? | □ strongly agree □ agree □ neutral □ disagree □ strongly disagree |
References
- Li, C.; Luqman, A. Determinants of online teaching and learning effectiveness for statistical concepts and calculations subjects during the COVID-19 movement control order (MCO). Sage Open 2024, 14, 21582440241239115. [Google Scholar] [CrossRef]
- Jerrim, J.; Prieto-Latorre, C.; Marcenaro-Gutierrez, O.D.; Shure, N. Teacher self-efficacy, instructional practice, and student outcomes: Evidence from the TALIS video study. Am. Educ. Res. J. 2025, 62, 378–413. [Google Scholar] [CrossRef]
- Yang, D. Instructional strategies and course design for teaching statistics online: Perspectives from online students. Int. J. STEM Educ. 2017, 4, 34. [Google Scholar] [CrossRef]
- Şenel, A.A.; Göksu, B.; Şenel, E.; Solmaz, F.I. Predicting academic performance with fuzzy logic in prospective physical education and sports teachers. Sci. Rep. 2025, 15, 28241. [Google Scholar] [CrossRef]
- Li, S.; Wang, C.; Wang, Y. Fuzzy evaluation model for physical education teaching methods in colleges and universities using artificial intelligence. Sci. Rep. 2024, 14, 4788. [Google Scholar] [CrossRef]
- Topping, K.J.; Gehringer, E.; Khosravi, H.; Gudipati, S.; Jadhav, K.; Susarla, S. Enhancing peer assessment with artificial intelligence. Int. J. Educ. Technol. High. Educ. 2025, 22, 3. [Google Scholar] [CrossRef]
- Li, M.; Lv, Y.; Pu, Y.; Wu, M. Design and evaluation of children’s education interactive learning system based on human-computer interaction technology. Sci. Rep. 2025, 15, 6135. [Google Scholar] [CrossRef]
- Alshamsi, A.M.; El-Kassabi, H.; Serhani, M.A.; Bouhaddioui, C. A multi-criteria decision-making (MCDM) approach for data-driven distance learning recommendations. Educ. Inf. Technol. 2023, 28, 10421–10458. [Google Scholar] [CrossRef]
- Yang, J. Fuzzy comprehensive evaluation system and decision support system for learning management of higher education online courses. Sci. Rep. 2025, 15, 18113. [Google Scholar] [CrossRef]
- Bekesiene, S.; Vasiliauskas, A.V.; Hošková-Mayerová, Š.; Vasiliene-Vasiliauskiene, V. Comprehensive assessment of distance learning modules by fuzzy AHP-TOPSIS method. Mathematics 2021, 9, 409. [Google Scholar] [CrossRef]
- Sekeroglu, B.; Dimililer, K.; Tuncal, K. Student performance prediction and classification using machine learning algorithms. In Proceedings of the 8th International Conference on Educational and Information Technology, Cambridge, UK, 2–4 March 2019; pp. 7–11. [Google Scholar]
- Ersozlu, Z.; Taheri, S.; Koch, I. A review of machine learning methods used for educational data. Educ. Inf. Technol. 2024, 29, 22125–22145. [Google Scholar] [CrossRef]
- Chen, J.; Hsieh, H.; Do, Q.H. Evaluating teaching performance based on fuzzy AHP and comprehensive evaluation approach. Appl. Soft Comput. 2015, 28, 100–108. [Google Scholar] [CrossRef]
- Do, Q.H.; Tran, V.T.; Tran, T.T. Evaluating lecturer performance in Vietnam: An application of fuzzy AHP and fuzzy TOPSIS methods. Heliyon 2024, 10, e30772. [Google Scholar] [CrossRef]
- Cader, A. The potential for the use of deep neural networks in e-learning student evaluation with new data augmentation method. Lect. Notes Artif. Intell. 2020, 12164, 37–42. [Google Scholar]
- Nishad, A.K.; Aggarwal, G.; Abhishekh. Hesitant fuzzy time series forecasting model of higher order based on one and two-factor aggregate logical relationship. Eng. Appl. Artif. Intell. 2023, 126, 106897. [Google Scholar] [CrossRef]
- Garg, H. Intuitionistic fuzzy Hamacher aggregation operators with entropy weight and their applications to multi-criteria decision-making problems. Iran. J. Sci. Technol. Trans. Electr. Eng. 2019, 43, 597–613. [Google Scholar]
- Sun, R. Fusion quality of intuitionistic fuzzy information aggregation operators with application to software development risk assessment. J. Ind. Manag. Optim. 2025, 21, 5348–5367. [Google Scholar] [CrossRef]
- Li, H.; Liang, M.; Zhang, C.; Cao, Y. Risk evaluation of water environmental treatment PPP projects based on the intuitionistic fuzzy MULTIMOORA improved FMEA method. Systems 2022, 10, 163. [Google Scholar] [CrossRef]
- Ullah, I.; Khan, M.S.A.; Kamran, F.; Hussain, F.; Khan, M.; Popa, I.L.; Elmannai, H. Aczel-Alsina Shapley Choquet integral operators for multi-criteria decision making in complex intuitionistic fuzzy environments. Symmetry 2025, 17, 868. [Google Scholar] [CrossRef]
- Mahmood, T.; Ahmmad, J.; Ali, Z.; Yang, M. Confidence level aggregation operators based on intuitionistic fuzzy rough sets with application in medical diagnosis. IEEE Access 2023, 11, 8674–8688. [Google Scholar] [CrossRef]
- Ali, W.; Shaheen, T.; Haq, I.U.; Toor, H.G.; Alballa, T.; Khalifa, H.A.W.A. A novel interval-valued decision theoretic rough set model with intuitionistic fuzzy numbers based on power aggregation operators and their application in medical diagnosis. Mathematics 2023, 11, 4153. [Google Scholar] [CrossRef]
- Dounis, A.; Palaiothodoros, I.; Panagiotou, A. Medical diagnosis based on multi-attribute group decision-making using extension fuzzy sets, aggregation operators and basic uncertainty information granule. Comput. Model. Eng. Sci. 2025, 142, 759–811. [Google Scholar] [CrossRef]
- Ilbaş, A.; Gürdere, A.; Boran, F.E. An integrated intuitionistic fuzzy set and stochastic multi-criteria acceptability analysis approach for supplier selection. Neural Comput. Appl. 2022, 35, 3937–3953. [Google Scholar] [CrossRef]
- Jiang, Q.; Wang, H. A hybrid intuitionistic fuzzy entropy-BWM-WASPAS approach for supplier selection in shipbuilding enterprises. Sustainability 2025, 17, 1701. [Google Scholar] [CrossRef]
- Ali, J.; Bashir, Z.; Rashid, T. Weighted interval-valued dual-hesitant fuzzy sets and its application in teaching quality assessment. Soft Comput. 2021, 25, 3503–3530. [Google Scholar] [CrossRef]
- Chen, Z.; Liang, W.; Luo, S. A novel integrated picture fuzzy MACONT method and its application in teaching quality evaluation in higher education. IEEE Access 2024, 12, 88345–88356. [Google Scholar] [CrossRef]
- Senapati, T.; Chen, G.; Mesiar, R.; Yager, R.R. Intuitionistic fuzzy geometric aggregation operators in the framework of Aczel-Alsina triangular norms and their application to multiple attribute decision making. Expert Syst. Appl. 2023, 212, 118832. [Google Scholar] [CrossRef]
- Ye, J. Intuitionistic fuzzy hybrid arithmetic and geometric aggregation operators for the decision-making of mechanical design schemes. Appl. Intell. 2017, 47, 743–751. [Google Scholar] [CrossRef]
- Wang, W.; Liu, X. Intuitionistic fuzzy geometric aggregation operators based on Einstein operations. Int. J. Intell. Syst. 2011, 26, 1049–1075. [Google Scholar] [CrossRef]
- Xu, Z.; Yager, R.R. Some geometric aggregation operators based on intuitionistic fuzzy sets. Int. J. Gen. Syst. 2006, 35, 417–433. [Google Scholar] [CrossRef]
- Yu, D. Intuitionistic fuzzy geometric heronian mean aggregation operators. Appl. Soft Comput. 2013, 13, 1235–1246. [Google Scholar] [CrossRef]
- Zadeh, L.A. Fuzzy sets. Inf. Control 1965, 8, 338–353. [Google Scholar]
- Atanassov, K.T. Intuitionistic fuzzy sets. Fuzzy Sets Syst. 1986, 20, 87–96. [Google Scholar] [CrossRef]
- Chen, S.; Tan, J. Handling multicriteria fuzzy decision-making problems based on vague set theory. Fuzzy Sets Syst. 1994, 67, 163–172. [Google Scholar] [CrossRef]
- Hong, D.H.; Choi, C.H. Multicriteria fuzzy decisionmaking problems based on vague set theory. Fuzzy Sets Syst. 2000, 114, 103–113. [Google Scholar] [CrossRef]
- Menger, K. Statistical metrics. Proc. Nat. Acad. Sci. USA 1942, 8, 535–537. [Google Scholar] [CrossRef]
- Deb, N.; Sarkar, A.; Biswas, A. Linguistic q-rung orthopair fuzzy prioritized aggregation operators based on Hamacher t-norm and t-conorm and their applications to multicriteria group decision making. Arch. Control Sci. 2022, 451–484. [Google Scholar]
- Seikh, M.R.; Mandal, U. Some picture fuzzy aggregation operators based on Frank t-norm and t-conorm: Application to MADM process. Informatica 2021, 45, 447–461. [Google Scholar]
- Sarkar, A.; Biswas, A. Dual hesitant q-rung orthopair fuzzy Dombi t-conorm and t-norm based Bonferroni mean operators for solving multicriteria group decision making problems. Int. J. Intell. Syst. 2021, 36, 3293–3338. [Google Scholar]
- Klement, E.P.; Mesiar, R.; Pap, E. Triangular Norms; Springer: Dordrecht, The Netherlands, 2000. [Google Scholar]
- Yager, R.R. On a general class of fuzzy connectives. Fuzzy Sets Syst. 1980, 4, 235–242. [Google Scholar] [CrossRef]
- Bonferroni, C. Sulle medie multiple di potenze. Bollettino dell’Unione Matematica Italiana 1950, 5, 267–270. [Google Scholar]
- Liu, H.; Pei, D. HOWA operator and its application to multiattribute decision making. J. Zhejiang Sci. Tech. Univ. 2012, 25, 138–142. [Google Scholar]
- Beliakov, G.; Pradera, A.; Calvo, T. Aggregation Functions: A Guide for Practitioners; Springer: Berlin/Heidelberg, Germany, 2007. [Google Scholar]
- Yu, D. Multi-criteria decision making based on generalized geometric aggregation operators under intuitionistic fuzzy environment. Information 2013, 16, 29–38. [Google Scholar]
- Xia, M.; Xu, Z.; Zhu, B. Geometric Bonferroni means with their applications in multi-criteria decision making. Knowl. Based Syst. 2013, 40, 88–100. [Google Scholar] [CrossRef]
- Constantinou, C.; Wijnen-Meijer, M. Student evaluations of teaching and the development of a comprehensive measure of teaching effectiveness for medical schools. BMC Med. Educ. 2022, 113, 22. [Google Scholar] [CrossRef]
- Li, Y.; Sun, C.; Wang, Y.; Chi, H.; Tang, H.; Ma, M.; Wei, L.; Zhong, L.; Li, J.; Wei, K.; et al. Bias in student evaluations of teaching in undergraduate medical education: A qualitative study from a medical school in Northern China. BMC Med. Educ. 2025, 25, 784. [Google Scholar] [CrossRef]
- Bower, M.; Torrington, J.; Lai, J.W.M.; Petocz, P.; Alfano, M. How should we change teaching and assessment in response to increasingly powerful generative Artificial Intelligence? Outcomes of the ChatGPT teacher survey. Educ. Inf. Technol. 2024, 29, 15403–15439. [Google Scholar] [CrossRef]
- Wei, G.; Wang, H.; Lin, R.; Zhao, X. Grey relational analysis method for intuitionistic fuzzy multiple attribute decision making with preference information on alternatives. Int. J. Comput. Intell. Syst. 2011, 4, 164–173. [Google Scholar]
- Kreitzer, R.J.; Sweet-Cushman, J. Evaluating student evaluations of teaching: A review of measurement and equity bias in SETs and recommendations for ethical reform. J. Acad. Ethics 2022, 20, 73–84. [Google Scholar] [CrossRef]
- Ye, J. Similarity measures of intuitionistic fuzzy sets based on cosine function for the decision making of mechanical design schemes. J. Intell. Fuzzy Syst. 2016, 30, 151–158. [Google Scholar] [CrossRef]






| Expert ID | Student Evaluation | Peer Evaluation | Supervisory Evaluation |
|---|---|---|---|
| E1 | 5 | 4 | 4 |
| E2 | 5 | 3 | 3 |
| E3 | 4 | 2 | 4 |
| E4 | 4 | 4 | 3 |
| E5 | 4 | 3 | 3 |
| E6 | 3 | 4 | 3 |
| E7 | 3 | 3 | 2 |
| E8 | 4 | 2 | 3 |
| E9 | 5 | 3 | 2 |
| E10 | 3 | 2 | 3 |
| Evaluation Subjects | Evaluation Attributes and Symbols | Points of Evaluation Observation |
|---|---|---|
| Students | : teaching attitude | Teachers are well prepared, careful in teaching, punctual in class and strict with students. |
| : teaching content | The teaching content is rich, the key points are prominent, the difficult points are clearly explained, and it is closely linked with practice. | |
| : teaching method | The methods are flexible, good at inspiring students’ thinking and paying attention to cultivating students’ ability. | |
| : teaching effectiveness | The students’ understanding and mastery of knowledge, the improvement of learning interest and enthusiasm, etc. | |
| : teacher-student relationship | Teachers can give timely feedback on homework and tests, and communicate well with students. | |
| Peer teachers | : professional competence | Teachers have broad vision and solid professional knowledge, and can integrate the latest scientific research achievements into the teaching content. |
| : instructional design | Teachers can design teaching syllabus around training objectives and graduation requirements, with clear teaching objectives, reasonable teaching plan and appropriate teaching links. | |
| : teaching implementation | Teachers have proper teaching methods, orderly teaching organization and strong classroom control ability. | |
| : educational innovation | Teachers are brave enough to try new teaching methods and means and actively carry out teaching reform. | |
| : construction of teaching team | Teachers actively participate in teaching team activities and teaching competitions, guide students’ competitions and guide the growth of young teachers. | |
| Teaching supervisors | : teaching norm | Teachers abide by teaching rules and regulations, and the teaching documents are complete and standardized. |
| : teaching management | Teachers obey teaching arrangements and cooperate with teaching management. | |
| : teaching and research | Teacher actively participates in various teaching activities and teaching research and reform. | |
| : teaching contribution | Teachers make contributions in discipline construction, specialty construction and curriculum construction. |
| Aggregation Operators | Score Values | Preference Order | |||||
|---|---|---|---|---|---|---|---|
| IFYWGHM () | 0.7483 | 0.6823 | 0.7801 | 0.6951 | 0.7665 | 0.6620 | |
| IFAAWG (, Senapati et al. [28]) | 0.7463 | 0.6781 | 0.7793 | 0.6917 | 0.7657 | 0.6524 | |
| IFHWAGA (, Ye [29]) | 0.7557 | 0.7001 | 0.7877 | 0.7052 | 0.7706 | 0.6754 | |
| EIFWG (Wang and Liu [30]) | 0.7481 | 0.6822 | 0.7807 | 0.6948 | 0.7666 | 0.6590 | |
| Aggregation Operators | Score Values | Preference Order | ||||
|---|---|---|---|---|---|---|
| IFYWGHM () | 0.5774 | 0.6244 | −0.0832 | 0.4828 | 0.2171 | |
| IFAAWG (, Senapati et al. [28]) | 0.5391 | 0.5475 | −0.9995 | 0.4559 | −0.9994 | |
| IFHWAGA (, Ye [29]) | 0.6175 | 0.7592 | −1.0000 | 0.4981 | −1.0000 | |
| EIFWG (Wang and Liu [30]) | 0.5637 | 0.5961 | −1.0000 | 0.4690 | −1.0000 | |
Disclaimer/Publisher’s Note: The statements, opinions and data contained in all publications are solely those of the individual author(s) and contributor(s) and not of MDPI and/or the editor(s). MDPI and/or the editor(s) disclaim responsibility for any injury to people or property resulting from any ideas, methods, instructions or products referred to in the content. |
© 2025 by the authors. Licensee MDPI, Basel, Switzerland. This article is an open access article distributed under the terms and conditions of the Creative Commons Attribution (CC BY) license.
Share and Cite
Zou, C.; Yang, Y.; Zhou, C.; Zhang, H. Decision Algorithm of Teaching Quality Evaluation for Higher Education System Based on Intuitionistic Fuzzy Geometric Yager Heronian Mean Operators. Systems 2026, 14, 20. https://doi.org/10.3390/systems14010020
Zou C, Yang Y, Zhou C, Zhang H. Decision Algorithm of Teaching Quality Evaluation for Higher Education System Based on Intuitionistic Fuzzy Geometric Yager Heronian Mean Operators. Systems. 2026; 14(1):20. https://doi.org/10.3390/systems14010020
Chicago/Turabian StyleZou, Chengye, Yongwei Yang, Changjun Zhou, and Hao Zhang. 2026. "Decision Algorithm of Teaching Quality Evaluation for Higher Education System Based on Intuitionistic Fuzzy Geometric Yager Heronian Mean Operators" Systems 14, no. 1: 20. https://doi.org/10.3390/systems14010020
APA StyleZou, C., Yang, Y., Zhou, C., & Zhang, H. (2026). Decision Algorithm of Teaching Quality Evaluation for Higher Education System Based on Intuitionistic Fuzzy Geometric Yager Heronian Mean Operators. Systems, 14(1), 20. https://doi.org/10.3390/systems14010020

