The Imperative of Digital Transformation and SMEs’ Inbound Open Innovation Strategies: The Moderating Role of Partner Diversity and Technological Uncertainty
Abstract
1. Introduction
2. Theoretical Background and Hypothesis Development
2.1. Inbound Open Innovation in SMEs: The Salience of Search Breadth and Depth
2.2. Digital Transformation as a Strategic Motivation: Impact on Inbound Open Innovation
2.3. The Moderating Role of Partner Diversity
2.4. The Moderating Role of Technological Uncertainty
3. Methods
3.1. Data
3.2. Measurements
3.2.1. Dependent Variable
3.2.2. Independent Variables
3.2.3. Moderating Variables
3.2.4. Control Variables
3.3. Model Specification
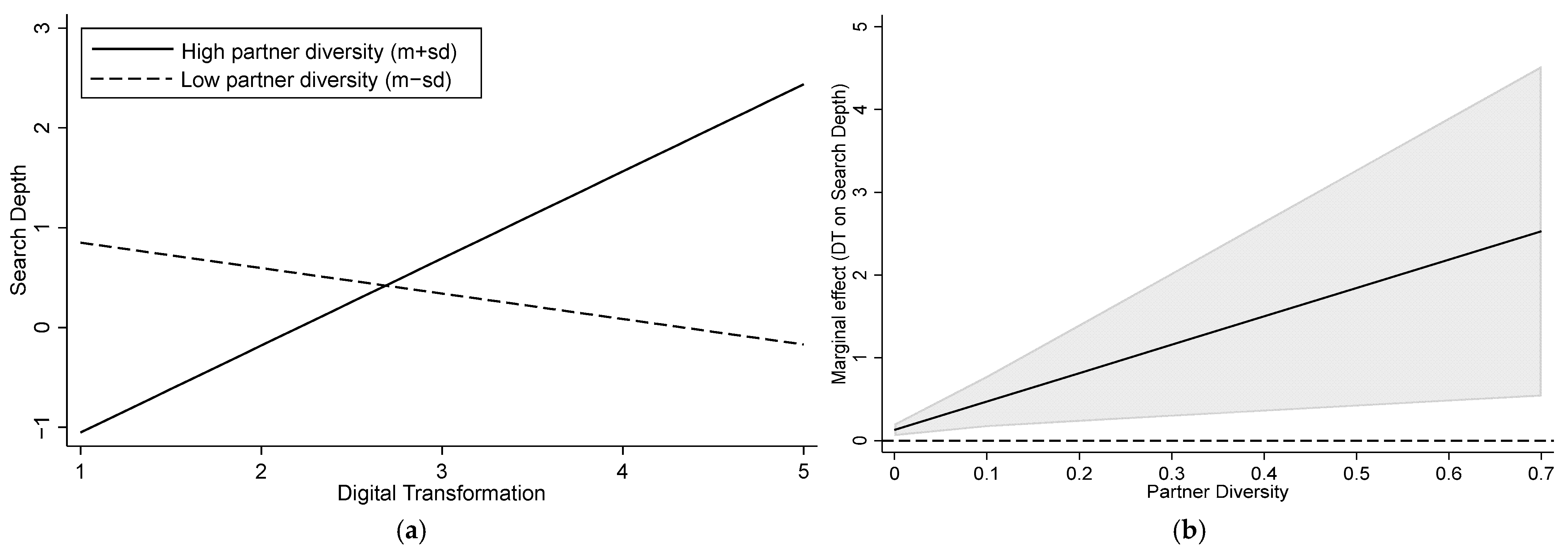
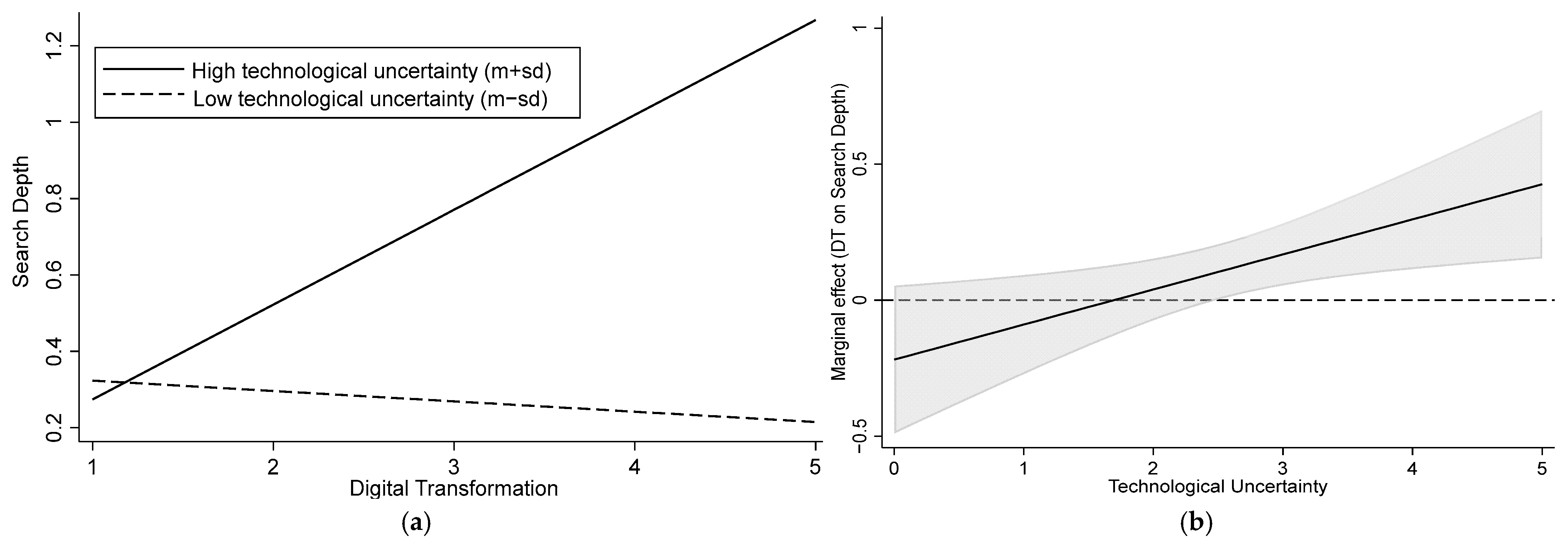
4. Results
5. Discussion
5.1. Theoretical Implications
5.2. Practical Implications
5.3. Limitations and Future Research
6. Conclusions
Author Contributions
Funding
Data Availability Statement
Conflicts of Interest
References
- Verhoef, P.C.; Broekhuizen, T.; Bart, Y.; Bhattacharya, A.; Qi Dong, J.; Fabian, N.; Haenlein, M. Digital Transformation: A Multidisciplinary Reflection and Research Agenda. J. Bus. Res. 2021, 122, 889–901. [Google Scholar] [CrossRef]
- Fernandez-Vidal, J.; Antonio Perotti, F.; Gonzalez, R.; Gasco, J. Managing Digital Transformation: The View from the Top. J. Bus. Res. 2022, 152, 29–41. [Google Scholar] [CrossRef]
- Romero, I.; Mammadov, H. Digital Transformation of Small and Medium-Sized Enterprises as an Innovation Process: A Holistic Study of Its Determinants. J. Knowl. Econ. 2025, 16, 8496–8523. [Google Scholar] [CrossRef]
- Yoo, Y.; Boland, R.J.; Lyytinen, K.; Majchrzak, A. Organizing for Innovation in the Digitized World. Organ. Sci. 2012, 23, 1398–1408. [Google Scholar] [CrossRef]
- Escoz Barragan, K.; Becker, F.S.R. Keeping Pace with the Digital Transformation—Exploring the Digital Orientation of SMEs. Small Bus. Econ. 2025, 64, 1361–1385. [Google Scholar] [CrossRef]
- Omrani, N.; Rejeb, N.; Maalaoui, A.; Dabić, M.; Kraus, S. Drivers of Digital Transformation in SMEs. IEEE Trans. Eng. Manag. 2024, 71, 5030–5043. [Google Scholar] [CrossRef]
- Chen, D.Q.; Preston, D.S.; Swink, M. How the Use of Big Data Analytics Affects Value Creation in Supply Chain Management. J. Manag. Inf. Syst. 2015, 32, 4–39. [Google Scholar] [CrossRef]
- Yang, M.; Fu, M.; Zhang, Z. The Adoption of Digital Technologies in Supply Chains: Drivers, Process and Impact. Technol. Forecast. Soc. Change 2021, 169, 120795. [Google Scholar] [CrossRef]
- Sherer, S.A.; Meyerhoefer, C.D.; Peng, L. Applying Institutional Theory to the Adoption of Electronic Health Records in the U.S. Inf. Manag. 2016, 53, 570–580. [Google Scholar] [CrossRef]
- Chesbrough, H.W. Open Innovation: The New Imperative for Creating and Profiting from Technology; Harvard Business Press: Boston, MA, USA, 2003; ISBN 978-1-57851-837-1. [Google Scholar]
- Dahlander, L.; Gann, D.M. How Open Is Innovation? Res. Policy 2010, 39, 699–709. [Google Scholar] [CrossRef]
- Gassmann, O.; Enkel, E. Towards a Theory of Open Innovation: Three Core Process Archetypes. In Proceedings of the R&D Management Conference (RADMA), Lissabon, Portugal, 7–9 July 2004. [Google Scholar]
- Laursen, K.; Salter, A. Open for Innovation: The Role of Openness in Explaining Innovation Performance among U.K. Manufacturing Firms. Strateg. Manag. J. 2006, 27, 131–150. [Google Scholar] [CrossRef]
- Chesbrough, H. Open Business Models: How to Thrive in the New Innovation Landscape; Harvard Business Press: Boston, MA, USA, 2006; ISBN 978-1-4221-4807-5. [Google Scholar]
- Carrasco-Carvajal, O.; Castillo-Vergara, M.; García-Pérez-de-Lema, D. Measuring Open Innovation in SMEs: An Overview of Current Research. Rev. Manag. Sci. 2023, 17, 397–442. [Google Scholar] [CrossRef]
- Parida, V.; Westerberg, M.; Frishammar, J. Inbound Open Innovation Activities in High-Tech SMEs: The Impact on Innovation Performance. J. Small Bus. Manag. 2012, 50, 283–309. [Google Scholar] [CrossRef]
- Granovetter, M.S. The Strength of Weak Ties. Am. J. Sociol. 1973, 78, 1360–1380. [Google Scholar] [CrossRef]
- Zhou, Y.M. Synergy, Coordination Costs, and Diversification Choices. Strateg. Manag. J. 2011, 32, 624–639. [Google Scholar] [CrossRef]
- Onal Vural, M.; Dahlander, L.; George, G. Collaborative Benefits and Coordination Costs: Learning and Capability Development in Science. Strateg. Entrep. J. 2013, 7, 122–137. [Google Scholar] [CrossRef]
- Vivona, R.; Demircioglu, M.A.; Audretsch, D.B. The Costs of Collaborative Innovation. J. Technol. Transf. 2023, 48, 873–899. [Google Scholar] [CrossRef]
- Bolli, T.; Seliger, F.; Woerter, M. Technological Diversity, Uncertainty and Innovation Performance. Appl. Econ. 2020, 52, 1831–1844. [Google Scholar] [CrossRef]
- Bstieler, L. The Moderating Effect of Environmental Uncertainty on New Product Development and Time Efficiency. J. Prod. Innov. Manag. 2005, 22, 267–284. [Google Scholar] [CrossRef]
- Bogers, M.; Chesbrough, H.; Moedas, C. Open Innovation: Research, Practices, and Policies. Calif. Manag. Rev. 2018, 60, 5–16. [Google Scholar] [CrossRef]
- Popa, S.; Soto-Acosta, P.; Martinez-Conesa, I. Antecedents, Moderators, and Outcomes of Innovation Climate and Open Innovation: An Empirical Study in SMEs. Technol. Forecast. Soc. Change 2017, 118, 134–142. [Google Scholar] [CrossRef]
- Hochleitner, F.P.; Arbussà, A.; Coenders, G. Inbound Open Innovation in SMEs: Indicators, Non-Financial Outcomes and Entry-Timing. Technol. Anal. Strateg. Manag. 2017, 29, 204–218. [Google Scholar] [CrossRef]
- Enkel, E.; Gassmann, O.; Chesbrough, H. Open R&D and Open Innovation: Exploring the Phenomenon. RD Manag. 2009, 39, 311–316. [Google Scholar] [CrossRef]
- Madrid-guijarro, A.; Garcia, D.; Van Auken, H. Barriers to Innovation among Spanish Manufacturing SMEs. J. Small Bus. Manag. 2009, 47, 465–488. [Google Scholar] [CrossRef]
- Chiang, Y.-H.; Hung, K.-P. Exploring Open Search Strategies and Perceived Innovation Performance from the Perspective of Inter-Organizational Knowledge Flows. RD Manag. 2010, 40, 292–299. [Google Scholar] [CrossRef]
- Katila, R.; Ahuja, G. Something Old, Something New: A Longitudinal Study of Search Behavior and New Product Introduction. Acad. Manag. J. 2022, 45, 1183–1194. [Google Scholar] [CrossRef]
- Hansen, M.T. The Search-Transfer Problem: The Role of Weak Ties in Sharing Knowledge across Organization Subunits. Adm. Sci. Q. 1999, 44, 82–111. [Google Scholar] [CrossRef]
- Yoon, J.; Oh, S.J. The Roles of Entrepreneurial Orientation and Government Support in the Open Innovation of Manufacturing Firms: Empirical Evidence from South Korea. Cross Cult. Strateg. Manag. 2025, 32, 109–136. [Google Scholar] [CrossRef]
- Demirkan, H.; Spohrer, J.C.; Welser, J.J. Digital Innovation and Strategic Transformation. IT Prof. 2016, 18, 14–18. [Google Scholar] [CrossRef]
- Hess, T.; Matt, C.; Benlian, A.; Wiesböck, F. Options for Formulating a Digital Transformation Strategy. In Strategic Information Management; Routledge: New York, NY, USA, 2020. [Google Scholar]
- Heilig, L.; Lalla-Ruiz, E.; Voß, S. Digital Transformation in Maritime Ports: Analysis and a Game Theoretic Framework. Netnomics 2017, 18, 227–254. [Google Scholar] [CrossRef]
- Schwertner, K. Digital Transformation of Business. Trakia J. Sci. 2017, 15, 388–393. [Google Scholar] [CrossRef]
- Vial, G. Understanding Digital Transformation: A Review and a Research Agenda. In Managing Digital Transformation; Routledge: New York, NY, USA, 2021. [Google Scholar]
- Bharadwaj, A.; El Sawy, O.A.; Pavlou, P.A.; Venkatraman, N. Digital Business Strategy: Toward a Next Generation of Insights. MIS Q. 2013, 37, 471–482. [Google Scholar] [CrossRef]
- Kavre, M.S.; Sunnapwar, V.K.; Gardas, B.B. Strategic Digitization for Sustainable Growth in Emerging Markets: Empowering Manufacturing MSMEs for a Greener Future. Int. J. Organ. Anal. 2025, 15, 57–69. [Google Scholar] [CrossRef]
- Appio, F.P.; Cacciatore, E.; Cesaroni, F.; Crupi, A.; Marozzo, V. Open Innovation at the Digital Frontier: Unraveling the Paradoxes and Roadmaps for SMEs’ Successful Digital Transformation. Eur. J. Innov. Manag. 2024, 27, 223–247. [Google Scholar] [CrossRef]
- Zhang, X.; Xu, Y.; Ma, L. Research on Successful Factors and Influencing Mechanism of the Digital Transformation in SMEs. Sustainability 2022, 14, 2549. [Google Scholar] [CrossRef]
- Cen, T.; Lin, S. Digital Transformation and Corporate Innovation in SMEs. Systems 2025, 13, 551. [Google Scholar] [CrossRef]
- Saratchandra, M.; Shrestha, A. The Role of Cloud Computing in Knowledge Management for Small and Medium Enterprises: A Systematic Literature Review. J. Knowl. Manag. 2022, 26, 2668–2698. [Google Scholar] [CrossRef]
- Khin, S.; Ho, T.C. Digital Technology, Digital Capability and Organizational Performance. Int. J. Innov. Sci. 2019, 11, 177–195. [Google Scholar] [CrossRef]
- Ocasio, W. Towards an Attention-Based View of the Firm. Strateg. Manag. J. 1997, 18, 187–206. [Google Scholar] [CrossRef]
- Dyer, J.H.; Nobeoka, K. Creating and Managing a High-Performance Knowledge-Sharing Network: The Toyota Case. Strateg. Manag. J. 2000, 21, 345–367. [Google Scholar] [CrossRef]
- Tao, F.; Qi, Q.; Liu, A.; Kusiak, A. Data-Driven Smart Manufacturing. J. Manuf. Syst. 2018, 48, 157–169. [Google Scholar] [CrossRef]
- Wang, Y.; He, P. Enterprise Digital Transformation, Financial Information Disclosure and Innovation Efficiency. Financ. Res. Lett. 2024, 59, 104707. [Google Scholar] [CrossRef]
- Chen, H.; Chiang, R.H.L.; Storey, V.C. Business Intelligence and Analytics: From Big Data to Big Impact. MIS Q. 2012, 36, 1165–1188. [Google Scholar] [CrossRef]
- Uzzi, B. Social Structure and Competition in Interfirm Networks: The Paradox of Embeddedness. In The Sociology of Economic Life; Routledge: New York, NY, USA, 2018; pp. 213–241. [Google Scholar]
- Leana, C.R.; van Buren, H.J. Organizational Social Capital and Employment Practices. Acad. Manag. Rev. 1999, 24, 538–555. [Google Scholar] [CrossRef]
- Du, J.; Leten, B.; Vanhaverbeke, W. Managing Open Innovation Projects with Science-Based and Market-Based Partners. Res. Policy 2014, 43, 828–840. [Google Scholar] [CrossRef]
- Phelps, C.C. A Longitudinal Study of the Influence of Alliance Network Structure and Composition on Firm Exploratory Innovation. Acad. Manag. J. 2010, 53, 890–913. [Google Scholar] [CrossRef]
- van Beers, C.; Zand, F. R&D Cooperation, Partner Diversity, and Innovation Performance: An Empirical Analysis. J. Prod. Innov. Manag. 2014, 31, 292–312. [Google Scholar] [CrossRef]
- Faems, D.; Janssens, M.; Madhok, A.; Looy, B.V. Toward An Integrative Perspective on Alliance Governance: Connecting Contract Design, Trust Dynamics, and Contract Application. Acad. Manag. J. 2008, 51, 1053–1078. [Google Scholar] [CrossRef]
- Park, S.H.; Ungson, G.R. Interfirm Rivalry and Managerial Complexity: A Conceptual Framework of Alliance Failure. Organ. Sci. 2001, 12, 37–53. [Google Scholar] [CrossRef]
- van de Vrande, V.; de Jong, J.P.J.; Vanhaverbeke, W.; de Rochemont, M. Open Innovation in SMEs: Trends, Motives and Management Challenges. Technovation 2009, 29, 423–437. [Google Scholar] [CrossRef]
- Santoro, G.; Bresciani, S.; Papa, A. Collaborative Modes with Cultural and Creative Industries and Innovation Performance: The Moderating Role of Heterogeneous Sources of Knowledge and Absorptive Capacity. Technovation 2020, 92–93, 102040. [Google Scholar] [CrossRef]
- Hottenrott, H.; Lopes-Bento, C. R&D Partnerships and Innovation Performance: Can There Be Too Much of a Good Thing? J. Prod. Innov. Manag. 2016, 33, 773–794. [Google Scholar] [CrossRef]
- Lee, S.; Park, G.; Yoon, B.; Park, J. Open Innovation in SMEs—An Intermediated Network Model. Res. Policy 2010, 39, 290–300. [Google Scholar] [CrossRef]
- Zeng, S.X.; Xie, X.M.; Tam, C.M. Relationship between Cooperation Networks and Innovation Performance of SMEs. Technovation 2010, 30, 181–194. [Google Scholar] [CrossRef]
- Tiwana, A. Do Bridging Ties Complement Strong Ties? An Empirical Examination of Alliance Ambidexterity. Strateg. Manag. J. 2008, 29, 251–272. [Google Scholar] [CrossRef]
- Jewapatarakul, D.; Ueasangkomsate, P. Digital Organizational Culture, Organizational Readiness, and Knowledge Acquisition Affecting Digital Transformation in SMEs from Food Manufacturing Sector. Sage Open 2024, 14, 21582440241297405. [Google Scholar] [CrossRef]
- Zhao, Y.; Cavusgil, E.; Cavusgil, S.T. An Investigation of the Black-Box Supplier Integration in New Product Development. J. Bus. Res. 2014, 67, 1058–1064. [Google Scholar] [CrossRef]
- Xu, W.; Liu, C. External Environment Uncertainty, Key Resources Acquisition, and Corporate Technological Innovation. Manag. Decis. Econ. 2024, 45, 4–18. [Google Scholar] [CrossRef]
- Ye, F.; Paulson, N.; Khanna, M. Are Renewable Energy Policies Effective to Promote Technological Change? The Role of Induced Technological Risk. J. Environ. Econ. Manag. 2022, 114, 102665. [Google Scholar] [CrossRef]
- Darvishmotevali, M.; Altinay, L.; Köseoglu, M.A. The Link between Environmental Uncertainty, Organizational Agility, and Organizational Creativity in the Hotel Industry. Int. J. Hosp. Manag. 2020, 87, 102499. [Google Scholar] [CrossRef]
- McCarthy, K.; Aalbers, R.; Kearney, C. Organising for Innovation: Alliance-to-Acquisition Transitions and Patent Production. J. Technol. Transf. 2025, 50, 2837–2866. [Google Scholar] [CrossRef]
- Martínez-Román, J.A.; Gamero, J.; Tamayo, J.A.; Delgado-González, M.d.L. Empirical Analysis of the Technological Exploration–Exploitation Balance and Its Impact on Organizational Performance under Uncertainty. Humanit. Soc. Sci. Commun. 2025, 12, 221. [Google Scholar] [CrossRef]
- Hafeez, S.; Shahzad, K.; Helo, P.; Mubarak, M.F. Knowledge Management and SMEs’ Digital Transformation: A Systematic Literature Review and Future Research Agenda. J. Innov. Knowl. 2025, 10, 100728. [Google Scholar] [CrossRef]
- Liu, X.; Jiang, L. How Do Digital Platform Capabilities Affect Service Innovation in Service Manufacturing Firms? The Role of Knowledge Creation and Environmental Uncertainty. PLoS ONE 2025, 20, e0333382. [Google Scholar] [CrossRef] [PubMed]
- Korea Innovation Survey. Available online: https://www.stepi.re.kr/site/stepiko/02/10203070100002025032416.jsp (accessed on 12 November 2025).
- Kang, S.; Shin, J.; Kim, Y.S.; Kim, C. Cost and Quality Priorities, Technological Uncertainty, and Green Innovation: An Empirical Study of Manufacturing Firms in South Korea. Asia Pac. Bus. Rev. 2025, 31, 1–23. [Google Scholar] [CrossRef]
- Kim, H.-M. Impact of Digital Transformation, Smart Factory, and Government Support on Business Performance in Manufacturing Companies: A Comparative Analysis of SMEs and Large Enterprises. Ind. Promot. Res. 2025, 10, 27–37. [Google Scholar] [CrossRef]
- Jin, W.; Lee, Y.; Shin, K. The Impact of Innovation Capabilities on Digital Transformation_ The Moderating Effect of Government Support. Asia-Pac. J. Bus. Ventur. Entrep. 2025, 20, 63–77. [Google Scholar]
- Cohen, J.; Cohen, P.; West, S.G.; Aiken, L.S. Applied Multiple Regression/Correlation Analysis for the Behavioral Sciences, 3rd ed.; Routledge: New York, NY, USA, 2013; ISBN 978-0-203-77444-1. [Google Scholar]
- Aiken, L.S.; West, S.G.; Reno, R.R. Multiple Regression: Testing and Interpreting Interactions; SAGE: Thousand Oaks, CA, USA, 1991; ISBN 978-0-7619-0712-1. [Google Scholar]
- Blau, P.M. Inequality and Heterogeneity: A Primitive Theory of Social Structure; Free Press: New York, NY, USA, 1977; p. XI-307. ISBN 978-0-02-903660-0. [Google Scholar]
- Rodríguez-Pose, A.; Crescenzi, R. Research and Development, Spillovers, Innovation Systems, and the Genesis of Regional Growth in Europe. Reg. Stud. 2008, 42, 51–67. [Google Scholar] [CrossRef]
- Kim, J.M.; Park, J.-H. When Is Digital Transformation Beneficial for Coupled Open Innovation? The Contingent Role of the Adoption of Industry 4.0 Technologies. Technovation 2024, 136, 103087. [Google Scholar] [CrossRef]
- Zhu, K.; Kraemer, K.L.; Xu, S. The Process of Innovation Assimilation by Firms in Different Countries: A Technology Diffusion Perspective on E-Business. Manag. Sci. 2006, 52, 1557–1576. [Google Scholar] [CrossRef]
- Xue, L.; Ray, G.; Sambamurthy, V. Efficiency or Innovation: How Do Industry Environments Moderate the Effects of Firms’ IT Asset Portfolios? MIS Q. 2012, 36, 509–528. [Google Scholar] [CrossRef]
- Ma, D.; Rhee, M.; Yang, D. Power Source Mismatch and the Effectiveness of Interorganizational Relations: The Case of Venture Capital Syndication. Acad. Manag. J. 2013, 56, 711–734. [Google Scholar] [CrossRef]
- Hagedoorn, J.; Lokshin, B.; Zobel, A.-K. Partner Type Diversity in Alliance Portfolios: Multiple Dimensions, Boundary Conditions and Firm Innovation Performance. J. Manag. Stud. 2018, 55, 809–836. [Google Scholar] [CrossRef]
- Beamish, P.W.; Kachra, A. Number of Partners and JV Performance. J. World Bus. 2004, 39, 107–120. [Google Scholar] [CrossRef]
- Burger-Helmchen, T. Crowdsourcing of Inventive Activities, AI, and the NIH Syndrome. Adm. Sci. 2024, 14, 300. [Google Scholar] [CrossRef]
- Lichtenthaler, U.; Ernst, H. Attitudes to Externally Organising Knowledge Management Tasks: A Review, Reconsideration and Extension of the NIH Syndrome. RD Manag. 2006, 36, 367–386. [Google Scholar] [CrossRef]





| Variables | Mean | S.D. | Min. | Max |
|---|---|---|---|---|
| Digital transformation | 2.35 | 1.11 | 1.00 | 5.00 |
| Search breadth | 1.25 | 2.12 | 0.00 | 8.00 |
| Search depth | 0.45 | 0.95 | 0.00 | 8.00 |
| Partner diversity | 0.05 | 0.16 | 0.00 | 0.75 |
| Technological uncertainty | 2.55 | 1.07 | 0.00 | 5.00 |
| Firm age (in year) | 21.24 | 13.05 | 3.00 | 81.00 |
| ln (number of employees) | 0.44 | 0.57 | 0.00 | 1.61 |
| ln (annual sales) | 1.16 | 0.44 | 0.00 | 1.79 |
| Metropolitan area (dummy) | 0.49 | 0.50 | 0.00 | 1.00 |
| PD missing values | 0.13 | 0.33 | 0.00 | 1.00 |
| Variables | 1 | 2 | 3 | 4 | 5 | 6 | 7 | 8 | 9 | 10 |
|---|---|---|---|---|---|---|---|---|---|---|
| Digital transformation | 1 | |||||||||
| Search breadth | 0.15 ** | 1 | ||||||||
| Search depth | 0.19 ** | 0.56 ** | 1 | |||||||
| Partner diversity | 0.22 ** | 0.32 ** | 0.39 ** | 1 | ||||||
| Technological uncertainty | 0.04 * | 0.18 ** | 0.19 ** | 0.05 * | 1 | |||||
| Firm age (in year) | 0.14 ** | 0.21 ** | 0.17 ** | 0.15 ** | 0.07 ** | 1 | ||||
| ln (number of employees) | 0.27 ** | 0.32 ** | 0.28 ** | 0.28 ** | 0.11 ** | 0.45 ** | 1 | |||
| ln (annual sales) | 0.26 ** | 0.30 ** | 0.28 ** | 0.26 ** | 0.10 ** | 0.44 ** | 0.77 ** | 1 | ||
| Metropolitan area (dummy) | 0.05 * | 0.02 | 0.03 | 0.01 | 0.01 | 0.04 * | −0.04 * | −0.04 * | 1 | |
| PD missing values | 0.22 ** | 0.31 ** | 0.36 ** | 0.83 ** | 0.05 * | 0.15 ** | 0.28 ** | 0.27 ** | −0.01 | 1 |
| Variables | Model 1 | Model 2 | Model 3 | Model 4 |
|---|---|---|---|---|
| Firm age (in year) | 0.01 *** | 0.01 *** | 0.01 *** | 0.01 *** |
| (0.00) | (0.00) | (0.00) | (0.00) | |
| ln (number of employees) | 0.55 *** | 0.62 *** | 0.76 *** | 0.64 *** |
| (0.09) | (0.09) | (0.14) | (0.10) | |
| ln (annual sales) | 0.52 *** | 0.63 *** | 0.61 *** | 0.69 *** |
| (0.10) | (0.11) | (0.12) | (0.12) | |
| Metropolitan area (dummy) | 0.04 | 0.05 | 0.07 | 0.04 |
| (0.06) | (0.06) | (0.08) | (0.07) | |
| PD missing values | 1.45 *** | 1.56 *** | 0.72 *** | 1.68 *** |
| (0.12) | (0.12) | (0.24) | (0.12) | |
| H1a: Digital transformation | −0.31 *** | −0.60 *** | −0.61 *** | |
| (0.09) | (0.17) | (0.10) | ||
| Partner diversity | 6.70 *** | |||
| (2.25) | ||||
| H2a: Digital transformation × Partner diversity | −6.22 ** | |||
| (2.65) | ||||
| Technological uncertainty | 0.25 *** | |||
| (0.04) | ||||
| H3a: Digital transformation × Technological uncertainty | −0.26 ** | |||
| (0.11) | ||||
| R-squared | 0.21 | 0.20 | 0.17 | 0.15 |
| Variables | Model 1 | Model 2 | Model 3 | Model 4 |
|---|---|---|---|---|
| Firm age (in year) | 0.00 * | 0.00 * | 0.00 | 0.00 |
| (0.00) | (0.00) | (0.00) | (0.00) | |
| ln (number of employees) | 0.19 *** | 0.16 *** | 0.04 | 0.15 *** |
| (0.04) | (0.04) | (0.07) | (0.04) | |
| ln (annual sales) | 0.20 *** | 0.15 *** | 0.17 *** | 0.17 *** |
| (0.04) | (0.05) | (0.05) | (0.05) | |
| Metropolitan area (dummy) | 0.06 ** | 0.06 * | 0.04 | 0.06 ** |
| (0.03) | (0.03) | (0.03) | (0.03) | |
| PD missing values | 0.90 *** | 0.85 *** | 0.30 ** | 0.84 *** |
| (0.07) | (0.07) | (0.12) | (0.07) | |
| H1b: Digital transformation | 0.16 *** | 0.31 *** | 0.11 ** | |
| (0.05) | (0.09) | (0.05) | ||
| Partner diversity | −1.15 | |||
| (1.22) | ||||
| H2b: Digital transformation × Partner diversity | 3.43 ** | |||
| (1.44) | ||||
| Technological uncertainty | 0.15 *** | |||
| (0.02) | ||||
| H3b: Digital transformation × Technological uncertainty | 0.13 ** | |||
| (0.05) | ||||
| R-squared | 0.19 | 0.20 | 0.22 | 0.23 |
Disclaimer/Publisher’s Note: The statements, opinions and data contained in all publications are solely those of the individual author(s) and contributor(s) and not of MDPI and/or the editor(s). MDPI and/or the editor(s) disclaim responsibility for any injury to people or property resulting from any ideas, methods, instructions or products referred to in the content. |
© 2025 by the authors. Licensee MDPI, Basel, Switzerland. This article is an open access article distributed under the terms and conditions of the Creative Commons Attribution (CC BY) license.
Share and Cite
Sun, W.; Jin, X.; Kim, S.H.; Yang, D. The Imperative of Digital Transformation and SMEs’ Inbound Open Innovation Strategies: The Moderating Role of Partner Diversity and Technological Uncertainty. Systems 2026, 14, 19. https://doi.org/10.3390/systems14010019
Sun W, Jin X, Kim SH, Yang D. The Imperative of Digital Transformation and SMEs’ Inbound Open Innovation Strategies: The Moderating Role of Partner Diversity and Technological Uncertainty. Systems. 2026; 14(1):19. https://doi.org/10.3390/systems14010019
Chicago/Turabian StyleSun, Wanlan, Xiaoyan Jin, Soo Hong Kim, and Daegyu Yang. 2026. "The Imperative of Digital Transformation and SMEs’ Inbound Open Innovation Strategies: The Moderating Role of Partner Diversity and Technological Uncertainty" Systems 14, no. 1: 19. https://doi.org/10.3390/systems14010019
APA StyleSun, W., Jin, X., Kim, S. H., & Yang, D. (2026). The Imperative of Digital Transformation and SMEs’ Inbound Open Innovation Strategies: The Moderating Role of Partner Diversity and Technological Uncertainty. Systems, 14(1), 19. https://doi.org/10.3390/systems14010019

