Next Article in Journal
LLM-Driven Sentiment Analysis in MD&A: A Multi-Agent Framework for Corporate Misconduct Prediction
Previous Article in Journal
Persistence and Resilience in Smart/Hybrid Working Practice: A Gender Evaluation in Public Sector
 
 
Font Type:
Arial Georgia Verdana
Font Size:
Aa Aa Aa
Line Spacing:
Column Width:
Background:
Article

Research on Dynamic Collaborative Strategies of Online Retail Channels Under Differentiated Logistics Services

by
Meirong Tan
1,2,
Hao Li
1,*,
Hongwei Wang
3 and
Pei Yin
4
1
School of Economics, Chongqing Finance and Economics College, Chongqing 401320, China
2
School of Economics and Management, Chongqing Jiaotong University, Chongqing 400074, China
3
School of Economics and Management, Tongji University, Shanghai 200070, China
4
Business School, University of Shanghai for Science and Technology, Shanghai 200093, China
*
Author to whom correspondence should be addressed.
Systems 2025, 13(10), 838; https://doi.org/10.3390/systems13100838
Submission received: 8 August 2025 / Revised: 4 September 2025 / Accepted: 14 September 2025 / Published: 24 September 2025
(This article belongs to the Section Supply Chain Management)

Abstract

This study develops a multi-agent evolutionary game model that incorporates both retailers and heterogeneous logistics providers, extending beyond prior dyadic models that typically isolate either channel choice or logistics competition. By comparing scenarios with and without the BOPS channel, the framework captures the dynamic interactions between retailers and logistics providers. The results show that introducing In-Store Pickup significantly increases market demand and retailer revenue by reducing consumer waiting time, but it also produces a revenue crowding effect for slow logistics providers. For fast providers, the impact depends on their ability to adjust service quality: lowering service levels helps retain market share, while efficiency improvement enhances profitability. Furthermore, consumer product valuation plays a critical role in driving retailers toward dual-provider or hybrid strategies. The methodological innovation lies in integrating heterogeneous logistics service differentiation with channel strategy selection into a unified evolutionary game framework. The study contributes by proposing a dynamic “efficiency threshold–channel selection” mechanism, offering both theoretical advancement in omnichannel retailing research and managerial insights for retailers and logistics providers seeking to optimize logistics capabilities and channel collaboration.

1. Introduction

The rapid integration of the digital economy and physical commerce has fueled the expansion of China’s online retail market, which reached CNY 15.42 trillion in 2023, up 11% year-on-year. However, logistics costs remain high at 14.6% of total social logistics expenses, well above the global average. This imbalance underscores a fundamental tension between consumers’ rising expectations for delivery speed and the persistent efficiency bottlenecks in last-mile logistics. A recent survey indicates that 68% of Gen Z consumers rank delivery speed as the top factor influencing purchase decisions, highlighting the urgency of improving fulfillment efficiency. Prior studies similarly emphasize that fulfillment lead time plays a critical role in shaping consumer demand allocation in omnichannel retailing [1,2].
To improve delivery performance, global retailers are increasingly integrating offline resources into their logistics networks. Amazon, JD.com, and Uniqlo, for example, have partnered with local stores to shorten fulfillment times and reduce costs. These practices reflect the value of the online–merge–offline (OMO) model in balancing speed, cost, and service coverage. Previous research has shown that OMO strategies such as Buy-Online-and-Pick-up-in-Store (BOPS) can effectively reallocate demand across channels and enhance consumer utility [3,4]. In particular, Gallino and Moreno [5] found that BOPS adoption reduces stockouts and improves customer satisfaction, while Gao and Su [2] demonstrated its profitability implications in online–offline channel integration.
Online–offline collaboration also generates several systemic effects. First, the spatiotemporal compression effect reduces the delivery radius and per-order costs, thereby improving operational efficiency. Second, the traffic multiplier effect increases offline store visits, with a significant portion of consumers making additional purchases. Third, the sustainability effect reduces repeated deliveries and per-order carbon emissions. However, challenges remain: the density of pickup points in China is far below international benchmarks, leading to secondary deliveries, while data silos across firms reduce inventory turnover efficiency [6]. More importantly, differences in logistics services create systemic risks. Studies on heterogeneous logistics providers highlight that competition between fast and slow carriers can distort demand allocation and create profit misalignments [7,8]. For example, SF Holding’s financial report shows declining revenue from pickup services, reflecting potential “cannibalization effects”.
These challenges raise several critical questions for both retailers and third-party logistics service providers (3PLs): How should 3PLs respond to retailers opening In-Store Pickup channels? Can they sustain profitability through differentiated delivery efficiency? And how might their strategies influence retailers’ adoption or expansion of BOPS? While prior research has examined BOPS adoption [2,3,4] and logistics competition [7,8], few studies have jointly considered how differentiated logistics services—defined as variations in delivery speed, cost, and reliability among 3PLs—affect retailers’ channel strategies. Moreover, existing models often analyze retailer or logistics decisions in isolation, overlooking their dynamic interdependence.
To address this gap, this study develops a game-theoretic model that incorporates both retailers and heterogeneous 3PLs under the option of In-Store Pickup. Four baseline scenarios are compared—single fast 3PL (M), single slow 3PL (N), fast 3PL with BOPS (MB), and slow 3PL with BOPS (NB)—as well as dual-provider extensions. The analysis derives efficiency threshold conditions for channel adoption, identifies when retailers favor hybrid or dual-provider models, and evaluates the profit and welfare implications of differentiated logistics services.
This study makes three main contributions to the literature: (i) it integrates BOPS adoption with differentiated logistics service competition in a unified analytical framework; (ii) it introduces an efficiency threshold perspective that explains when fast or slow 3PLs prevail under BOPS; and (iii) it provides managerial insights for retailers and logistics providers on how to coordinate pricing, service levels, and channel collaboration.
The remainder of this paper is organized as follows: Section 2 reviews the related literature, Section 3 introduces the model framework, Section 4 derives optimal pricing, Section 5 analyzes equilibrium outcomes, Section 6 presents extensions, and Section 7 concludes the study.

2. Literature Review

The literature related to omnichannel retailing and logistics can be broadly divided into two interrelated streams: research on Buy-Online-and-Pick-up-in-Store (BOPS) services and research on logistics delivery efficiency. The first stream explores how BOPS adoption reshapes inventory management, pricing, and channel competition, while the second focuses on how differentiated delivery times influence consumer behavior and supply chain performance. Recent studies have begun to integrate these two perspectives, yet important gaps remain regarding the joint role of heterogeneous logistics providers and retailer strategies. This section reviews existing work in four parts: (i) BOPS mechanisms and operational effects, (ii) channel strategy and competition, (iii) logistics delivery efficiency, and (iv) the integration of BOPS with logistics efficiency.

2.1. In-Store Pickup Services (BOPS)

Research on BOPS emphasizes both operational benefits and potential risks. Gao and Su [2] analyze how online–offline information sharing mitigates channel conflicts in omnichannel systems, while Jiang and Wu [3] highlight the role of power structures in shaping pricing and service outcomes. Lu et al. [4] propose coordinated inventory policies to balance online and offline demand, and Niu et al. [6] show that O2O penetration expands total market size but reduces online demand share.
Internationally, Gallino and Moreno [5] provide empirical evidence that BOPS improves satisfaction yet cannibalizes offline sales, and Bell et al. [9] outline managerial strategies to succeed in omnichannel competition. These studies confirm the value creation potential of BOPS, but they typically examine isolated mechanisms such as inventory optimization or channel conflict. The interaction between these mechanisms, particularly under differentiated logistics services, remains underexplored.

2.2. Channel Strategy and Competition

The strategic implications of channel adoption have attracted significant attention. Ge and Zhu [10] demonstrate that competition intensity and cost structures shape equilibrium outcomes in BOPS adoption. Niu et al. [6] show that O2O expansion reflects a “market creation–channel encroachment” paradox, consistent with Gao and Su’s [2] findings.
In the international context, Chiang et al. [11] analyze dual-channel supply chains, showing how direct and indirect channels interact strategically. Huang and Swaminathan [12] further reveal that introducing a second channel reshapes pricing and profitability. Together, these studies illustrate the dual role of BOPS in creating demand and intensifying competition. However, both Chinese and international research largely overlook cooperation conditions between retailers and offline stores when logistics resources are asymmetrically distributed.

2.3. Logistics Delivery Efficiency

Another stream focuses on logistics delivery efficiency. Zhao et al. [13] demonstrate that shorter delivery times increase willingness to pay, while Lim et al. [1] show that consumers’ sensitivity to lead time varies by channel. Cao et al. [14] emphasize that delivery speed differences affect consumer loyalty. On the supply side, Lu et al. [7] model competition among carriers serving heterogeneous customers, and Niu et al. [6] analyze logistics alliances, revealing trade-offs between efficiency and competition.
International contributions extend this understanding. Agatz et al. [15] review e-fulfillment and multi-channel distribution globally, highlighting cost–service trade-offs. Boyer and Hult [16] empirically link fulfillment methods to repeat purchase intentions, while Xu et al. [17] develop algorithmic approaches to demand fulfillment in online retailing. Despite these advances, most studies assume homogeneous logistics services, neglecting the coexistence of fast and slow providers.

2.4. Integrating BOPS and Logistics Efficiency

Some recent work seeks to integrate BOPS with logistics performance. Qiu et al. [8] examine store pickup cooperation considering endogenous delivery efficiency, while Lu et al. [4] analyze joint inventory policies across channels. Cao et al. [18] show that online-to-store channels alter demand allocation and profitability, and Gao and Su [19] highlight the strategic value of online–offline information integration.
From the international perspective, Allon and Bassamboo [20] show how availability and service information affect consumer purchase behavior, and Cachon and Terwiesch [21] emphasize the importance of aligning supply and demand in service systems. These studies move toward a unified view of channel and logistics strategies, yet they still assume uniform service standards and often restrict analysis to dyadic settings, leaving multi-agent dynamics unexplored. As shown in Table 1, few studies simultaneously examine BOPS adoption, heterogeneous logistics providers, dynamic adaptation, and consumer heterogeneity, which underscores the research gap addressed in this paper.
In summary, existing studies have enriched our understanding of (i) BOPS mechanisms and operational effects, (ii) the competitive dynamics of channel adoption, and (iii) the influence of delivery efficiency on consumer behavior and firm performance. However, two critical gaps persist. First, most research treats channel strategy and logistics efficiency separately, failing to analyze their interactive mechanisms in omnichannel ecosystems. Second, existing models are often dyadic (e.g., retailer vs. consumer), overlooking the strategic interplay among retailers, heterogeneous logistics providers, offline stores, and consumers. As shown in Table 1, very few studies jointly examine BOPS adoption and heterogeneous logistics services, and even fewer incorporate dynamic adaptation and consumer heterogeneity simultaneously. To address these gaps, this study develops a multi-agent game-theoretic framework that integrates BOPS adoption with differentiated logistics service providers. By deriving efficiency threshold conditions for channel adoption and analyzing fast–slow logistics competition, the study offers new theoretical insights and practical implications for pricing, service design, and omnichannel collaboration.

3. Model Description and Parameter Assumptions

Consider a pure e-commerce retailer collaborating with third-party logistics (3PL) providers to fulfill online orders. We assume that there are two 3PL providers, 3PLm and 3PLn, offering different service levels. The transportation times with these providers are t m and t n , respectively, where t m < t n , indicating that 3PLm has shorter transportation times and provides higher logistics service levels. Since shorter transportation times lead to higher product quality in the market, quality is modeled as a decreasing function of transportation time, denoted by parameter q t . For analytical simplicity, the quality function is assumed to be linear, q t = a t , where a represents the maximum product quality delivered to the market under the benchmark of instantaneous delivery ( t = 0 ). This does not imply that zero transportation time occurs in practice; rather, it serves as a normalization baseline to anchor the quality decay function. This modeling approach is consistent with previous studies [4,8,18], where similar assumptions are widely adopted in the channel and logistics literature to represent the upper bound of service efficiency. In this context, shorter delivery times are naturally associated with higher perceived product quality. The analysis primarily considers four scenarios of retailer–logistics collaboration: (i) the online retailer does not operate an In-Store Pickup channel; (ii) all online orders are fulfilled exclusively by 3PLm; (iii) all online orders are fulfilled exclusively by 3PLn; and (iv) the retailer collaborates with physical stores to provide In-Store Pickup services for online orders. These four scenarios form the basis for comparing logistics strategies under heterogeneous service levels, as illustrated in Figure 1.
Although the In-Store Pickup channel eliminates the cost of waiting for logistics delivery, it incurs additional inconvenience costs including travel and order verification. Using subscript b denotes the In-Store Pickup channel, and t b represents the time consumers spend picking up their orders at the store, without loss of generality t m < t b < t n . Furthermore, when the online retailer collaborates with physical stores, assuming compensation κ given to the physical store per order. This can be understood as the unit cost borne by the retailer for providing In-Store Pickup services. The consumer valuation of the product, denoted as θ , which assumed to follow a uniform distribution on 0 , θ ^ . The utility u j = θ j a t j p j obtained by consumers from purchasing the product. Let r i i = m , n denotes the service price charged by third-party logistics providers for online orders, i.e., unit shipping cost. We assume that the unit transportation cost for third-party logistics providers is c i , where c m > c n . The parameters involved in this model and their explanations are shown in Table 2.
The sequence of events in this study is as follows. First, third-party logistics providers set the service price for the online retailer. Second, the online retailer selects a logistics provider, decides whether to collaborate with physical stores for In-Store Pickup, and sets the retail price. Third, consumers choose their purchasing channel based on utility. Finally, the equilibrium for both the online retailer and logistics provider is determined through backward induction, comparing equilibrium profits under different In-Store Pickup scenarios.
To make the modeling structure more intuitive, Figure 2 illustrates the decision sequence of the model, showing the order of moves by logistics providers, the online retailer, and consumers.

4. Model and Solution

This section establishes the game models under different scenarios to explore the optimal pricing and revenue of an online retailer. The superscripts M, MB, N, and NB represents the cases where the online retailer adopts fast logistics, fast logistics with In-Store Pickup services, slow logistics, and slow logistics with In-Store Pickup services, respectively. The detailed derivation process is provided in the Appendix A.

4.1. Scenario M

When the retailer only entrusts 3PLm to fulfill online orders, and consumers place orders online, they must wait for logistics delivery. In this case, consumers will only choose to purchase when their valuation θ m M p m M a t m . Based on the retailer’s revenue function π s M = p m M r m M θ ^ θ m M and the 3PLm’s revenue function π 3 p l m M = r m M r m 0 θ ^ 2 r m M 2 a t m , the first-order derivatives lead to p m M = θ ^ a t m + r m M 2 and, and the function r m M = θ ^ a t m + r m 0 2 . By substituting r m 0 < θ ^ a t m into the revenue functions of the retailer and third-party logistics service provider, the results can be simplified to
π s M = θ ^ a t m r m 0 4 θ ^ 4 r m 0 4 a t m
π 3 p l m M = θ ^ a t m r m 0 2 θ ^ 4 r m 0 4 a t m

4.2. Scenario MB

The retailer chooses 3PLm to fulfill online orders and also collaborates with offline physical stores to offer online ordering and In-Store Pickup services. In this scenario, consumers have two ways to obtain the product: they can either place an online order and wait for delivery by 3PLm or place an online order and pick up the product at the store. Based on the retailer’s revenue function π s M B = p m M B r m M B θ ^ θ m M B + p b M B κ θ m M B θ b M B and the 3PLm’s revenue function π 3 p l m M B = r m M B r m 0 , the pricing for the retailer through different channels is denoted as p m M B = θ ^ a t m + r m M B 2 , and the 3PLm’s pricing is r m M B = θ ^ Δ t ¯ + r m 0 + κ 2 , where 2 η 1 κ θ ^ Δ t ¯ < r m 0 < min θ ^ Δ t ¯ + θ ^ Δ t ¯ η , κ + θ ^ Δ t ¯ . The physical store earns a revenue of π T M B = κ ϖ θ m M B θ b M B from the collaboration, and as long as κ > ϖ (i.e., the subsidy to the physical store exceeds its cost), the store has an incentive to cooperate. By substituting r m M B into the revenue functions of both the retailer and 3PLm, the following results can be obtained:
π s M B = θ ^ 2 a 2 t m Δ t ¯ r m 0 κ 4 θ ^ 4 r m 0 κ 4 Δ t ¯ + θ ^ a t b κ 2 θ ^ 4 + r m 0 κ 4 Δ t ¯ κ 2 a t b
π 3 p l m M B = θ ^ Δ t ¯ r m 0 + κ 2 θ ^ 4 r m 0 κ 4 Δ t ¯

4.3. N Scenario

Similar to the M model, if the retailer only chooses 3PLn to fulfill online orders, the pricing for the retailer and 3PLn is denoted as p n N = θ ^ a t n + r n N 2 and r n N = θ ^ a t n + r n 0 2 , respectively, where r n 0 < θ ^ a t n . The revenue functions for the retailer and 3PLn are as follows:
π s N = θ ^ a t n r n 0 4 θ ^ 4 r n 0 4 a t n
π 3 p l n N = θ ^ a t n r n 0 2 θ ^ 4 r n 0 4 a t n

4.4. NB Scenario

In this scenario, the retailer chooses 3PLn to fulfill online orders and provides In-Store Pickup services. The pricing for the retailer through different channels is p n N B = r n N B + θ ^ a t n 2 and p b N B = θ ^ a t b + κ 2 . According to the 3PLn’s revenue function, we have r n N B = τ κ + r n 0 2 , where κ 2 τ 2 Δ t ˜ θ ^ < r n 0 < min κ τ , τ Δ t ˜ θ ^ 1 τ . The revenue functions for the retailer and 3PLn are as follows:
π s N B = θ ^ a t b κ 2 θ ^ 2 κ 2 a t b + θ ^ a t n 2 τ κ + r n 0 4 κ r n 0 4 Δ t ˜ r n 0 4 a t n
π 3 p l n N B = κ τ r n 0 2 κ r n 0 4 Δ t ˜ r n 0 4 a t n

5. Channel Strategies and Impact Analysis

Comparing the prices and profits of the retailer under the M model and MB model, we obtain Proposition 1. Specifically, D m M represents the demand for the retailer’s online channel under the M model, D m M B represents the demand for the retailer’s online channel under the MB model, and D M B represents the total market demand under the MN model.
Proposition 1:
(a)
r m M > r m M B , p m M > p m M B ; D m M > D m M B , D M < D M B .
(b)
π s M B > π s M , if and only if  κ r m 0 θ ^ Δ t ¯ , r m 0 + θ ^ Δ t ¯ 2 η + 1 .
Proposition 1 yields r m M > r m M B , indicating that when the online retailer provides In-Store Pickup, it causes 3PLm to reduce shipping costs, thereby lowering prices in the online channel. The reason is that the introduction of In-Store Pickup services reduces demand for 3PLm, forcing it to lower shipping costs. The differences in demand between channels M and MB are illustrated in Figure 3a, where a = 10 , t b = 4 , r m 0 = 9 , r n 0 = 4 , θ ^ = 10 , κ = 6 . As shown in Figure 3a, compared with the M scenario, adopting In-Store Pickup (MB scenario) expands overall market demand. However, it also generates a cannibalization effect on the existing fast logistics channel, as D m M B < D m M . The demand shift can be expressed as D m M D m M B = r m 0 κ 4 t b t m r m 0 4 a t m .
The comparison of the retailer’s profit differences between the M and MB models is shown in Figure 3b. From Figure 3b, it can be observed that the retailer’s profit is higher when offering In-Store Pickup services in addition to fast logistics, compared to not offering In-Store Pickup services. In other words, in this case, opening In-Store Pickup services is always beneficial.
Comparing the prices and profits of the retailer under the N model and NB model, we obtain Proposition 2. Specifically, D n N represents the demand for the retailer’s online channel under the N model, D n N B represents the demand for the retailer’s online channel under the NB model, and D N B represents the total market demand under the NB model.
Proposition 2:
(a)
r n N > r n N B , p n N > p n N B ; D n N > D n N B , D n N < D N B .
(b)
π s N B > π s N , if and only if  Δ t ˜ < a t n 4 , κ r n 0 τ , r n 0 + 2 Δ t ˜ θ ^ 2 τ .
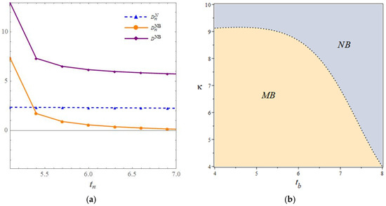
Proposition 2 (a): After the retailer opens In-Store Pickup services, it will force 3PLn to reduce delivery fees. The demand differences across channels in the N and NB models are compared in Figure 4a. From Figure 4a, it can be seen that when the threshold is not extreme, opening In-Store Pickup services cannibalizes the original online channel demand, with some of the online channel demand shifting to the In-Store Pickup channel, represented by D n N D n N B = θ ^ 4 κ r n 0 4 t n t b . However, the total market demand increases. According to Proposition 2 (b), within the threshold, it is more advantageous for the retailer to open In-Store Pickup services based on slow logistics.
Next, the difference in retailer profits between the MB and NB models is compared, as shown in Figure 4b. From Figure 4b, it can be seen that when the unit operating cost of In-Store Pickup services is low, the MB model is more advantageous. Specifically, when κ is small and the difference between the third-party logistics provider’s delivery time t m and the consumer’s In-Store Pickup time t b is small, the advantage of 3PLm’s delivery is not obvious. In this case, the retailer can save logistics costs by offering In-Store Pickup services, thus adopting the MB model for higher profits. However, as the consumer’s In-Store Pickup time t b increases and closer to 3PLn’s delivery time t n , the NB model becomes more advantageous for the retailer. On the other hand, when the unit operating cost of In-Store Pickup services κ is high, the NB model is superior to the MB model. This is because, for the retailer, 3PLn’s service prices are lower, and to avoid high operating costs, adopting the NB model is more beneficial.
Comparing the total market demand for retailers in the NB and MB models drives D N B D M B = κ r n 0 4 t n t b r n 0 4 a t n . From Equation (8), we get κ > r n 0 τ . Therefore, D N B > D M B , it can be concluded that opening the In-Store Pickup services on the basis of slow logistics increases the demand for online retailers more.
The following conclusions can be drawn from Proposition 1 and Proposition 2:
Theorem 1:
(a)
Regardless of whether the retailer chooses fast or slow logistics transportation, introducing the In-Store Pickup channel will increase the total market demand and total revenue.
(b)
Opening the In-Store Pickup channel will cannibalize the demand from the original online channel, i.e., there will be a phenomenon of channel demand transfer. Specifically, when the online retailer adopts the fast logistics model, the amount of demand transfer caused by opening the In-Store Pickup channel is greater than the amount of demand transfer when the slow logistics model is used.
(c)
Under the slow logistics transportation model, the new market demand generated by opening the In-Store Pickup channel is greater than the new market demand generated by opening the In-Store Pickup channel under the fast logistics transportation model.
Next, we will explore the impact of key parameters in different models on the retailer’s revenue, leading to the following corollary.
Corollary 1:
(a)
In the MB scenario, we have   π s M B t m < 0 .
(b)
If   Δ t ¯ > 2 3 + 1 3 η r m 0 > r A 1 m 0 π s M B κ < 0 ; if  Δ t ¯ > 2 3 + 1 3 η r m 0 < min r A 1 m 0 , r A 2 m 0 κ ϖ , κ ¯ π s M B κ < 0 κ κ ¯ , r m 0 + θ ^ Δ t ¯ 2 η + 1 π s M B κ > 0 ; if  Δ t ¯ > 1 3 η , r m 0 > r A 2 m 0 , π s M B κ > 0 .
Figure 5a visually demonstrates the conclusion of Corollary 1 (a).
Figure 5a shows that in the MB model, the retailer’s revenue π s M B decreases as the 3PLm transportation time t m increases. When the transportation time t m of 3PLm is similar to the consumer’s In-Store Pickup time t b , the retailer’s revenue π s M B is relatively small. Corollary 1 (b) indicates that in the MB model, the retailer’s revenue does not necessarily increase with a lower operational cost for the In-Store Pickup service. It also depends on the service price and service level of 3PLm.
Corollary 2:
(a)
In the NB scenario, we have  π s N B t n < 0 .
(b)
If  Δ t ˜ > a t n 4 π s N B κ < 0 ; if  Δ t ˜ < a t n 4 , π s N B κ > 0 .
Figure 5b visually demonstrates the conclusion of Corollary 2 (a). As shown in Figure 5b, in the NB model, the retailer’s revenue π s N B decreases as the 3PLn transportation time t n increases. When the transportation time t n of 3PLn is similar to the consumer’s In-Store Pickup time t b , the retailer’s revenue π s N B is relatively high. Conversely, when the difference between t n and t b is large, the retailer’s revenue NBS is relatively low.
Corollary 2 (b) indicates that when Δ t ˜ is large, meaning the difference between the 3PLn transportation time t n and the consumer’s In-Store Pickup time t b is significant, the retailer’s revenue π s N B in the NB model decreases as κ (the operational cost) increases. This is likely because when Δ t ˜ is large, the 3PLn’s delivery advantage is not significant, and more consumers choose In-Store Pickup, increasing the demand and operational costs κ of the In-Store Pickup channel. However, the increase in the demand for In-Store Pickup service is smaller than the increase in operational costs κ , leading to a decrease in total revenue. Conversely, when Δ t ˜ is small and channel competition increases, the retailer’s revenue π s N B increases with the increase of κ .
By comparing the differences in 3PLn’s revenue in the NB model and N model, and 3PLm’s revenue in the MB model and M model, Proposition 3 can be derived.
Proposition 3:
(a)
r n N B < r n N ,   π 3 p l n N B < π 3 p l n N .
(b)
r m M B < r m M ; if  r m 0 < r m 0 π 3 p l m M B > π 3 p l m M ; if  r m 0 > r m 0 , π 3 p l m M B < π 3 p l m M .
According to Proposition 3, the price and profit of the third-party logistics service provider 3PLn are negatively impacted by the network retailer’s introduction of the In-Store Pickup service. Conversely, although 3PLm’s price is also negatively affected by the retailer’s introduction of the In-Store Pickup service, its revenue does not always suffer a loss. The reason is that when the retailer introduces the In-Store Pickup channel, the third-party logistics provider 3PLm lowers its price and reduces costs by lowering the logistics service level, so its revenue is not necessarily harmed.
In summary, the optimal strategy choice for the retailer and the response of the third-party logistics providers are presented in Table 3.
Table 3 illustrates the dynamic influence of consumer pick-up time ( t n ) and retailer compensation costs ( κ ) on logistics strategy selection in omnichannel retailing, yielding the following managerial insights:
(i)
Critical efficiency–cost threshold of pick-up time: There exists a threshold where pick-up time determines both efficiency and costs. When pick-up time is short, retailers should adopt a dual logistics coordination model, leveraging the price advantage of fast logistics providers (3PLm) while integrating In-Store Pickup to expand traffic. Once pick-up time exceeds the coordination threshold, switching to a single-provider defense model helps avoid excessive logistics costs.
(ii)
Contract design with logistics providers: For short pick-up times, long-term contracts can lock in low-cost services from 3PLm and suppress the expansion of 3PLn. When pick-up time enters a monopolistic range, retailers should employ flexible pricing frameworks (e.g., tiered pricing based on timeliness) with 3PLn to hedge risks from its increasing channel power.
(iii)
Optimization of pick-up networks: Establishing dense pick-up points (e.g., community warehouses, convenience store partnerships) shortens pick-up time, thereby reducing compensation costs through the principle of “time compression–cost optimization.” When time reduction is infeasible, dynamic compensation schemes (e.g., differentiated rewards) should replace fixed rates to enhance the cost elasticity of the In-Store Pickup channel.
(iv)
Balancing supply chain power: When pick-up time exceeds efficiency thresholds, 3PLn may erode retailer profits via monopolistic pricing. In such cases, retailers should implement redundancy strategies—such as backup logistics providers or self-built logistics feasibility studies—to rebalance channel power and mitigate systemic vulnerabilities.
The analysis in Section 5 highlights the distinct impacts of introducing In-Store Pickup channels under different logistics models. Across both fast (M) and slow (N) logistics settings, BOPS adoption consistently expands total market demand and retailer revenue, while simultaneously causing demand cannibalization from existing online channels. The relative advantage between MB and NB scenarios is contingent on consumer pick-up time and operational costs: shorter pick-up times and lower costs favor MB, whereas longer pick-up times or higher costs shift the advantage to NB. In addition, the profits of slow logistics providers are significantly eroded by BOPS adoption, while fast providers can partly offset revenue losses through adjustments in service quality and pricing. These findings underscore that retailers’ optimal strategies and 3PL responses are shaped by efficiency thresholds, cost structures, and demand allocation dynamics. Collectively, the results provide not only theoretical insights but also actionable implications for retailers and logistics providers, forming a practical foundation for the extended scenario analysis in Chapter 6.

6. Model Extension

Building on the baseline results in Chapter 5, which highlighted the efficiency thresholds and demand allocation dynamics under M, MB, N, and NB models, this section extends the analysis to dual-provider settings. Specifically, we examine scenarios where the retailer collaborates with both fast and slow logistics providers, with and without In-Store Pickup (MN and MNB), to explore whether expanding channel options further enhances profitability and service resilience.

6.1. Scenario MN

At this point, the retailer offers two transportation modes simultaneously. After placing an online order, the consumer chooses either 3PLm or 3PLn for logistics delivery based on their preferences. According to the profit functions of the retailer and the third-party logistics service providers, it can be derived that p m M N = θ ^ a t m + r m M N 2 , p n M N = r n M N + θ ^ a t n 2 , r m M N = r n M N + r m 0 + θ ^ Δ t 2 and r n M N = r m M N a t n 2 a t m + r n 0 2 , where r m M N < r n M N + θ ^ Δ t , r n M N < r m 0 + θ ^ Δ t Δ t ˜ + 2 κ Δ t 2 Δ t + 1 . Substituting r m M N and r n M N into the profit functions of the retailer and the third-party logistics service providers, we get
π s M N = 1 4 θ ^ θ ^ a t m r m M N θ ^ Δ t r m M N + r n M N + θ ^ θ ^ a t n r n M N r m M N r n M N Δ t θ ^ a t n r n M N r n M N a t n
π 3 p l m M N = r n M N r m 0 + θ ^ Δ t 2 θ ^ 2 r n M N + r m 0 + θ ^ Δ t 4 Δ t + r m M N a t n 4 Δ t a t m + r n 0 4 Δ t
π 3 p l n M N = ( r m M N a t n 2 a t m r n 0 2 ) r n M N + r m 0 r n 0 + θ ^ Δ t 4 Δ t r m M N a t n 4 Δ t a t m r m M N 4 a t m r n 0 4 a t n

6.2. MNB Scenario

In this scenario, after placing an online order, consumers can choose either 3PLm or 3PLn for logistics delivery or opt to pick up the product at a physical store. The optimal prices for each channel of the retailer are p m M N B = θ ^ a t m + r m M N B 2 , p b M N B = θ ^ a t b + κ 2 , and p n M N B = r n M N B + θ ^ a t n 2 . The shipping fees for the third-party logistics service providers are r m M N B = θ ^ Δ t ¯ + κ + r m 0 2 and r n M N B = τ κ + r n 0 2 . The profits for the retailer, 3PLm, and 3PLn are as follows:
π s M N B = θ ^ 2 a 2 t m Δ t ¯ r m 0 κ 4 θ ^ 4 r m 0 κ 4 Δ t ¯ + θ ^ a t b κ 2 θ ^ 4 + r m 0 κ 4 Δ t ¯ κ 2 a t b + θ ^ a t n 2 τ κ + r n 0 4 κ r n 0 4 Δ t ˜ r n 0 4 a t n
π 3 p l m M N B = θ ^ Δ t ¯ + κ r m 0 2 θ ^ 4 r m 0 κ 4 Δ t ¯
π 3 p l n M N B = κ τ r n 0 2 κ r n 0 4 Δ t ˜ r n 0 4 a t n

6.3. Retailer Channel Strategy

Lu et al. [7] analyzed that the revenue of online retailer adopting the MN is always higher than that of using a single logistics provider. Therefore, this paper focuses on comparing the revenue differences of the online retailer under MN, MB, and NB scenarios, as shown in Figure 6.
Figure 6a shows that the retailer’s profit in both the MN and MB models decreases as the 3PLm transportation time t m increases. Moreover, as t m increases, the decline in π s M N is faster. This indicates that when t m is relatively small, the MN model is more advantageous for the retailer. On the other hand, when t m is large, i.e., when the difference between t m and t b is small, the advantage of 3PLm’s delivery service becomes less significant, and the retailer benefits more from the MB model because providing In-Store Pickup service helps save some transportation costs compared to the MN model.
We compared the profits of the retailer in the MN and NB models, with t m = 3 and other parameters unchanged, and the results are shown in Figure 6b. As Figure 6b illustrates, the retailer’s profit in the MN model increases as the 3PLn transportation time t n increases. This is because as t n increases, operational efficiency decreases, but cost advantages increase, with the reduction in transportation costs outweighing the loss in operational efficiency, leading to an increase in total profit. This is consistent with the conclusion of Lu et al. [4]. Specifically, when t n is not too large, the NB model is more advantageous for the retailer. However, when TN is large, i.e., when the difference between t n and t b is small, the MN model is more advantageous. The reason for this may be that the cost advantages brought by the competition between third-party logistics providers in the MN model outweigh the losses from reduced operational efficiency.
Figure 7a,b visually present the retailer’s profits under the MB/NB, MN, and MNB models.
From Figure 7a, it can be seen that under the scenario of three shopping channels coexisting, when t m is small, the retailer should adopt the MN model, as 3PLm’s logistics service level is high and both carriers can cover the market well, making In-Store Pickup unnecessary. When t n is at a medium level, the MNB model is more advantageous, as the retailer provides consumers with multiple channel options, potentially increasing total profit. When t m is large, the delivery advantage of third-party logistics providers is not obvious, so abandoning slow logistics services and opting for In-Store Pickup will save more on transportation costs, making the MB model more optimal.
From Figure 7b, it can be seen that when t n is not extreme, the retailer’s profit in the MNB model is higher than in the MN and NB models. This is because that when the transportation time of slow logistics (3PLn) is short will more consumers choose 3PLn, making the MNB model more profitable for the retailer. However, when t n is large, 3PLn’s delivery advantage is not obvious. In this case, compared to the MNB model, the retailer should not provide In-Store Pickup services and should opt for the MN model because the MN model does not require additional operational costs for the In-Store Pickup channel.
In conclusion, the optimal strategies for retailers under different models are shown in Table 4.
Table 4 highlights the differentiated impact of logistics delivery time on retailers’ omnichannel strategies and provides the following managerial insights:
(i)
Timeliness-driven strategy prioritization: When the delivery efficiency of fast logistics providers (3PLm) significantly exceeds industry benchmarks, retailers should prioritize MN/MB models. Leveraging the timeliness advantage of 3PLm or the cost advantage of slow providers (3PLn) enables a Pareto balance between service coverage and efficiency. If the timeliness of 3PLn approaches or exceeds consumer tolerance thresholds, retailers should introduce an In-Store Pickup channel to prevent service deterioration.
(ii)
Elastic switching in logistics combinations: Retailers should establish an efficiency–cost elasticity matrix to dynamically evaluate provider performance. Within the fluctuation range of 3PLm’s timeliness, switching between MB and MN allows demand diversion via In-Store Pickup to balance logistics loads. If 3PLn’s timeliness continues to decline, the NB→MNB defensive strategy should be activated to hedge risks from over-reliance on a single provider.
(iii)
Proactive supply chain coordination: As 3PLm’s timeliness advantage diminishes (e.g., due to technological lag or network bottlenecks), retailers should proactively build a pool of alternative providers and reduce switching costs through multi-source pre-screening. For 3PLn’s critical timeliness zone, introducing service level agreements (SLAs) with penalty clauses can tie performance to freight discounts, incentivizing service upgrades.
(iv)
Dynamic calibration of service commitments: Channel commitments should align with logistics performance. Under MN/MB, retailers can emphasize “timeliness-first” (e.g., same-day delivery) to enhance 3PLm’s competitiveness, while in NB they can adopt a “cost-first” positioning (e.g., three-day low-cost delivery), transforming 3PLn’s timeliness disadvantage into an appeal for price-sensitive consumers.
This research provides a practical framework for retailers to design channel strategies under differentiated logistics timeliness. By identifying the critical thresholds where timeliness advantages diminish, retailers can dynamically switch among logistics combinations (e.g., MN, MB, or MNB) to balance cost efficiency and service quality. In practice, this implies that firms should establish monitoring systems with key performance indicators (KPIs) such as average delivery time, pick-up density, and logistics cost per order. They can also leverage digital tools like real-time tracking and predictive analytics to support timely adjustments in strategy. Furthermore, negotiation mechanisms with third-party logistics providers (e.g., service-level agreements with penalty clauses or incentive-based contracts) can help retailers align service performance with strategic goals. Such flexibility not only optimizes omnichannel fulfillment structures but also reduces systemic risks caused by over-reliance on a single logistics provider.

7. Conclusions

This study investigates the decision-making and value creation process of online retailers opening offline channels in a competitive logistics market. By constructing both a benchmark model and extended scenarios, it demonstrates the benefits of collaborating with physical stores through the “Online Order/In-Store Pickup” (BOPS) service. The findings show that introducing offline channels significantly increases overall market demand and retailer revenue, confirming the structural value of O2O integration in overcoming last-mile delivery challenges.
The analysis further highlights asymmetric responses from logistics providers. Slow service providers (3PLn) experience revenue erosion under BOPS adoption, while fast providers (3PLm) can partially offset this impact by adjusting service quality—either lowering service levels to retain market share when pickup costs are high or improving efficiency to enhance profitability. These dynamics illustrate the evolving competition–cooperation relationship between fast and slow logistics providers, extending traditional logistics competition theory.
In terms of operational mode selection, threshold-driven patterns emerge. A dual-provider model (MN) maximizes profits when 3PLm’s service level is below a critical threshold, while a single fast-provider model (MB) becomes optimal as 3PLm’s service improves. If 3PLn’s service quality surpasses benchmarks, the slow-provider model (NB) is preferred. Consumer product valuation also plays a decisive role: higher valuations justify dual-provider strategies (MNB) when 3PLm’s efficiency is weak, whereas fast logistics with MN dominates when 3PLm performs strongly. These findings suggest that consumption upgrading amplifies logistics differentiation, requiring retailers to adapt strategies dynamically.
From a managerial perspective, this study provides actionable guidelines for building a dynamic competition–cooperation framework. Retailers should establish real-time logistics monitoring systems to support data-driven channel adjustments; fast logistics providers should balance service excellence with anti-erosion pricing; and slow logistics providers must redesign cost-adaptive service models to mitigate channel migration risks.
This study has several limitations that open avenues for further research. First, while the multi-agent evolutionary game model provides valuable insights into the dynamic interactions between retailers and heterogeneous logistics providers, its scalability to other markets such as Europe and the United States remains to be tested. Cross-market validation would not only enhance the external validity of the model but also uncover regional variations in logistics–channel integration.
Second, the rapid adoption of artificial intelligence (AI) and the Internet of Things (IoT) in logistics introduces new mechanisms such as smart routing, predictive demand analytics, and real-time IoT monitoring. Future research could integrate these technologies into the modeling framework to examine their influence on channel strategy, service thresholds, and coordination efficiency.
Third, consumer diversity is not explicitly incorporated into the current analysis. Generational differences (e.g., Gen Z versus Millennials) or sustainability-oriented preferences may significantly shape channel choice and service valuation. Extending the model to reflect heterogeneous consumer segments would enrich demand-side insights and enhance managerial decision-making.
Fourth, sustainability and digitalization are increasingly central to retail logistics collaboration. Future studies should explore how low-carbon logistics practices, blockchain-based transparency mechanisms, and digital twins support greener and more resilient omnichannel strategies, especially under policy-driven sustainability requirements.
By addressing these areas, future research can deepen the theoretical integration of supply chain digitalization and provide concrete, actionable guidance for retailers and logistics providers navigating the complexity of modern omnichannel ecosystems.

Author Contributions

Conceptualization, M.T. and H.L.; methodology, M.T.; formal analysis, M.T. and H.W.; investigation, M.T.; data curation, M.T.; writing—original draft preparation, M.T.; writing—review and editing, H.L., H.W. and P.Y.; visualization, M.T.; supervision, H.L.; project administration, H.L.; funding acquisition, M.T. All authors have read and agreed to the published version of the manuscript.

Funding

This research was funded by the Chongqing University of Finance and Economics Scientific Research Project (grant number 20257004) and the Chongqing Graduate Research and Innovation Project (grant number CYB25290).

Data Availability Statement

Data are contained within the article.

Conflicts of Interest

The authors declare no conflicts of interest.

Appendix A

  • Scenario M
From π s M p m M = θ ^ p m M a t m > 0 and 2 π s M p m M 2 = 1 a t m < 0 , according to π s M p m M = 0 , we drive p m M = θ ^ a t m + r m M 2 , where θ m M = θ ^ 2 + r m M 2 a t m . From π 3 p l m M r m M = 1 2 θ 2 r m M r m 0 a t m > 0 and 2 π 3 p l m M r m M 2 = 1 a t < 0 , according to π 3 p l m M r m M = 0 , we drive r m M = θ ^ a t m + r m 0 2 , where r m 0 < θ ^ a t m . □
  • Scenario MB
From u m = u b θ m M B a t m p m M B = θ m M B a t b p b M B θ m M B = p m M B p b M B t b t m , the retailer’s profit function in this model is π s M B = p m M B r m M B θ ^ p m M B p b M B t b t m + p b M B κ p m M B p b M B t b t m θ b M B , form π s M B p m M B = θ ^ + 2 p b M B 2 p m M B + r m M B k t b t m > 0 , 2 π s M B p m M B 2 = 2 p m M B t b t m < 0 , π s M B p b M B = k 2 p b M B a t b + 2 p m M B 2 p b M B r m M B + k t b t m > 0 , 2 π s M B p b M B 2 = 2 a t b 2 t b t m < 0 , according to π s M B p m M B = 0 and π s M B p b M B = 0 . We drive p m M B = θ ^ a t m + r m M B 2 and p b M B = θ ^ a t b + κ 2 , then θ b M B = θ ^ 2 + κ 2 a t b and θ m M B = θ ^ 2 + r m M B κ 2 t b t m , setting Δ t ¯ = t b t m and Δ t ¯ = t b t m < a t m , we get θ m M B = θ ^ 2 + r m M B κ 2 Δ t ¯ . At this point, the profit function of 3PLm is π 3 p l m M B = r m M B r m 0 θ ^ 2 r m M B κ 2 Δ t ¯ , from π 3 p l m M B r m M B = 1 2 k 2 r m M B + r m 0 t b t m + θ ^ > 0 and 2 π 3 p l m M B r m M B 2 = 1 t b t m < 0 , according to π 3 p l m M B r m M B = 0 , we obtain r m M B = θ ^ Δ t ¯ + r m 0 + κ 2 .
To ensure that the retailer is motivated to sell products through each channel and that third-party logistics providers are incentivized to offer delivery services, the following condition must be satisfied: θ m M B < θ ^ and θ b M B < θ m M B , setting η = a t m a t b > 1 , rearranging yields θ m M B < θ ^ θ b M B < θ m M B r m M B < κ + θ ^ Δ t ¯ r m M B > η κ r m 0 θ ^ Δ t ¯ < κ < r m 0 + θ ^ Δ t ¯ 2 η + 1 . Avoiding an empty set, r m 0 θ ^ Δ t ¯ < r m 0 + θ ^ Δ t ¯ 2 η + 1 gives r m 0 < θ ^ Δ t ¯ + θ ^ Δ t ¯ η . Rearranging yields 2 η 1 κ θ ^ Δ t ¯ < r m 0 < min θ ^ Δ t ¯ + θ ^ Δ t ¯ η , κ + θ ^ Δ t ¯ . Substituting r m M B into the profit functions of the retailer and 3PLm simplifies to Expressions (3) and (4). □
  • Scenario NB
Let u n = u b θ b N B = p b p n t n t b ; the retailer’s profit function is π s N B = p b N B κ θ ^ p b N B p n N B t n t b + p n N B r n N B p b N B p n N B t n t b p n N B a t n . From π s N B p n N B = 2 p n N B + r a t n + 2 p b N B 2 p n N B + r k t n t b > 0 , 2 π s N B p n N B 2 = 2 a t n 2 t n t b < 0 , π s N B p b N B = θ ^ + 2 p b N B p n N B + r k t n t b > 0 , 2 π s N B p b N B 2 = 2 t n t b < 0 , based on π s N B p n N B = 0 and π s N B p b N B = 0 , we get p n N B = r n N B + θ ^ a t n 2 and p b N B = θ ^ a t b + κ 2 . For ease of analysis, let Δ t ˜ = t n t b and Δ t ˜ = t n t b < a t b . Then, we have θ b N B = θ ^ 2 + κ r n N B 2 Δ t ˜ and θ n N B = θ ^ 2 + r n N B 2 a t n . From π 3 p l n N B = r n N B r n 0 κ r n N B 2 Δ t ˜ r n N B 2 a t n , according to π 3 p l n N B r n N B = 0 , let τ = a t n a t b < 1 , we get r n N B = τ κ + r n 0 2 . The conditions for the existence of the NB model is θ b N B < θ ^ θ n N B < θ b N B κ < r n 0 + 2 Δ t ˜ θ ^ 2 τ κ > r n 0 τ . Similar to the above, κ 2 τ 2 Δ t ˜ θ ^ < r n 0 < κ τ to avoid an empty set, we have r n 0 τ < r n 0 + 2 Δ t ˜ θ ^ 2 τ , i.e., r n 0 < τ Δ t ˜ θ ^ 1 τ , κ 2 τ 2 Δ t ˜ θ ^ < r n 0 < min κ τ , τ Δ t ˜ θ ^ 1 τ , where τ Δ t ˜ θ ^ 1 τ = θ ^ a t n . By proof by contradiction, we can deduce τ Δ t ˜ θ ^ 1 τ = θ ^ a t n . τ Δ t ˜ θ ^ 1 τ = θ ^ a t n τ Δ t ˜ = a t n 1 τ τ Δ t ˜ + a t n = a t n τ t n t b + a t n = a t n τ a t b = a t n , based on the assumption, we get τ = a t n a t b , then a t n a t b a t b = a t n which simplifies to a t n = a t n . □
Proof of Proposition 1.
  • r m M r m M B = θ ^ a t m + r m 0 2 θ ^ Δ t ¯ + r m 0 + κ 2 = θ ^ a t b κ , p m M p m M B = θ ^ a t b κ , when θ ^ a t b > κ , we drive r m M > r m M B and p m M > p m M B . Recalling, under the MB scenario r m 0 θ ^ Δ t ¯ < κ < r m 0 + θ ^ Δ t ¯ 2 η + 1 , when θ ^ a t b > r m 0 + θ ^ Δ t ¯ 2 η + 1 , we get θ ^ a t b > κ . Let Δ Ξ = θ ^ a t b r m 0 + θ ^ t b t m 2 a t m + a t b a t b . Simplification by the method of partial fractions yields Δ Ξ = 2 a t m + a t b θ ^ a t b 2 a t m + a t b a t b r m 0 + θ ^ t b t m 2 a t m + a t b .
  • Let the numerator Δ Ξ = 2 a t m + a t b θ ^ r m 0 + θ ^ t b t m = 2 θ ^ a t b + θ ^ a t m r m 0 . Furthermore, θ ^ a t m > r m 0 , hence Δ Ξ > 0 . Therefore, θ ^ a t b > κ holds true universally. □
Proof of Proposition 2.
(1)
r n N r n N B = θ ^ a t n + r n 0 2 τ κ + r n 0 2 = θ ^ κ a t b > 0 , p n N p n N B > 0
(2)
π s N B π s N = θ ^ a t b κ 2 θ ^ 2 κ 2 a t b + θ ^ a t n 2 τ κ + r n 0 4 κ r n 0 4 Δ t ˜ r n 0 4 a t n θ ^ a t n r n 0 4 θ ^ 4 r n 0 4 a t n
= 2 θ ^ a t n κ τ r n 0 κ τ r n 0 16 τ Δ t ˜ + θ ^ a t b κ 2 4 a t b θ ^ a t n r n 0 2 16 a t n
  • For τ = a t n a t b , the expression can be transformed into
    π s N B π s N = 2 θ ^ a t n κ τ r n 0 κ τ r n 0 16 τ Δ t ˜ + 4 τ θ ^ a t b κ 2 θ ^ a t n r n 0 2 16 τ a t b = 2 θ ^ a t n κ τ r n 0 κ τ r n 0 a t b + 4 τ Δ t ˜ θ ^ a t b κ 2 Δ t ˜ θ ^ a t n r n 0 2 16 Δ t ˜ a t n
  • Setting the numerator equal to Δ π A 2 κ , we obtain
    Δ π A 2 κ = 2 θ ^ a t n κ τ r n 0 κ τ r n 0 a t b + 4 τ Δ t ˜ θ ^ a t b κ 2 Δ t ˜ θ ^ a t n r n 0 2 = a t b 2 θ ^ a t n r n 0 κ τ κ τ r n 0 + 4 τ Δ t ˜ θ ^ a t b 2 8 θ ^ a t b τ Δ t ˜ κ + 4 τ Δ t ˜ κ 2 Δ t ˜ θ ^ a t n r n 0 2 = 2 θ ^ a t n a t b κ τ κ τ 2 a t b r n 0 2 θ ^ a t n r n 0 a t b + 4 τ Δ t ˜ θ ^ a t b 2 8 θ ^ a t b τ Δ t ˜ κ + 4 τ Δ t ˜ κ 2 Δ t ˜ θ ^ a t n r n 0 2 = 4 τ Δ t ˜ a t b τ 2 κ 2 + 2 θ ^ a t b a t n 4 Δ t ˜ τ κ r n 0 2 θ ^ a t n r n 0 a t b + 4 τ Δ t ˜ θ ^ a t b 2 Δ t ˜ θ ^ a t n r n 0 2 = 4 τ Δ t ˜ a t b τ 2 κ 2 + 2 θ ^ a t b a t n 4 Δ t ˜ τ κ + 4 τ Δ t ˜ θ ^ a t b 2 r n 0 2 θ ^ a t n r n 0 a t b Δ t ˜ θ ^ a t n r n 0 2
  • If 4 τ Δ t ˜ a t b τ 2 < 0 , we get Δ t ˜ < a t n 4 .
    Δ π A 1 κ κ = 2 4 τ Δ t ˜ a t b τ 2 κ + 2 θ ^ a t b a t n 4 Δ t ˜ τ
When κ < θ ^ a t b , Δ π A 1 κ > 0 ; that is, Δ π A 1 κ increases with an increase in κ .
As analyzed earlier θ ^ a t n < r n 0 , τ = a t n a t b < 1 , r n 0 τ < κ < r n 0 + 2 Δ t ˜ θ ^ 2 τ . Therefore, θ ^ a t b > r n 0 τ , θ ^ a t b > r n 0 + 2 Δ t ˜ θ ^ 2 τ . We discuss the case where κ < θ ^ a t b .
Substituting min κ = r n 0 τ into Equation (A1):
π s N B π s N | κ = r n 0 τ = θ ^ a t b r n 0 τ 2 θ ^ 2 r n 0 τ 2 a t b + θ ^ a t n 2 τ r n 0 τ + r n 0 4 r n 0 τ r n 0 4 Δ t ˜ r n 0 4 a t n θ ^ a t n r n 0 4 θ ^ 4 r n 0 4 a t n = θ ^ a t b r n 0 τ θ ^ τ a t b r n 0 4 τ a t b + θ ^ a t n r n 0 2 r n 0 1 τ 4 τ Δ t ˜ r n 0 4 a t n θ ^ a t n r n 0 4 θ ^ 4 r n 0 4 a t n = θ ^ a t n r n 0 2 4 τ a t n + θ ^ a t n r n 0 2 r n 0 1 τ 4 τ Δ t ˜ r n 0 4 a t n θ ^ a t n r n 0 4 θ ^ 4 r n 0 4 a t n = θ ^ a t n r n 0 2 4 τ a t n θ ^ a t n r n 0 2 16 a t n κ ¯ 1 + θ ^ a t n r n 0 2 r n 0 1 τ a t n r n 0 τ Δ t ˜ 4 τ Δ t ˜ a t n κ ¯ 2
From τ = a t n a t b < 1 and θ ^ a t n < r n 0 , thus κ ¯ 1 > 0 .
For κ ¯ 2 = θ ^ a t n r n 0 2 r n 0 1 τ a t n r n 0 τ Δ t ˜ 4 τ Δ t ˜ a t n , if r n 0 1 τ a t n τ Δ t ˜ 0 , κ ¯ 2 0 .
1 τ a t n τ t n t b = a t n a t n a t b a t b = 0 , hence π s N B π s N | κ = r n 0 τ > 0 . Within the specified limits, we obtain κ r n 0 τ , r n 0 + 2 Δ t ˜ θ ^ 2 τ and π s N B > π s N . □
Proof of Corollary 1.
(1)
π s M B t m = t b t m 2 θ ^ 2 4 r m 0 κ a t b θ ^ + 3 κ 2 2 κ r m 0 r m 0 2 16 t b t m 2 < 0
(2)
π s M B κ = a t b 4 t m θ ^ r m 0 2 θ ^ a + t b + κ 3 a t m + t b t m 8 t b t m a t b
  • Let the numerator π s M B κ ^ = a t b 4 t m θ ^ r m 0 2 θ ^ a + t b κ ^ 1 + κ 3 a t m + t b t m κ ^ 2 .
  • From κ ^ 1 = a t b 4 t m θ ^ r m 0 2 θ ^ a + t b = a t b 2 θ ^ a t m + t b t m r m 0 < 0 , κ ^ 2 > 0 . We obtain κ > κ ¯ = a t b 2 θ ^ a t m + t b t m + r m 0 3 a t m + t b t m , π s M B κ ^ > 0 , κ < κ ¯ , π s M B κ ^ < 0 .
Recall the conditions required for the MB model κ r m 0 θ ^ Δ t ¯ , r m 0 + θ ^ Δ t ¯ 2 η + 1 ; we discuss this in three cases.
  • κ ¯ > r m 0 + θ ^ Δ t ¯ 2 η + 1 , let κ 1 = r m 0 + θ ^ Δ t ¯ 2 η + 1 a t b 2 θ ^ a t m + t b t m + r m 0 3 a t m + t b t m .
  • If Δ t ¯ > 2 3 + 1 3 η , r m 0 > r A 1 m 0 = θ ^ 3 a t m t b t m + 2 a t b 2 + 4 a t m 2 + 4 t b t m a t m 3 a t m t b t m a t b 2 a t m κ 1 > 0 . Then κ r m 0 θ ^ Δ t ¯ , r m 0 + θ ^ Δ t ¯ 2 η + 1 , π s M B κ < 0 .
  • r m 0 θ ^ Δ t ¯ < κ ¯ < r m 0 + θ ^ Δ t ¯ 2 η + 1 , if Δ t ¯ > 2 3 + 1 3 η , r m 0 < min r A 1 m 0 , r A 2 m 0 , κ 0 , κ ¯ , π s M B κ < 0 , κ κ ¯ , r m 0 + θ ^ Δ t ¯ 2 η + 1 , π s M B κ > 0 .
    r A 2 m 0 = θ ^ 3 a t m t b t m 2 + 2 a t b a t m + 2 t b t m a t m 3 a t m t b t m a t b
    r A 1 m 0 = θ ^ 3 a t m t b t m + 2 a t b 2 + 4 a t m 2 + 4 t b t m a t m 3 a t m t b t m a t b 2 a t m ,
  • κ ¯ < r m 0 θ ^ Δ t ¯ , if Δ t ¯ > 1 3 η , r m 0 > r A 2 m 0 , κ r m 0 θ ^ Δ t ¯ , r m 0 + θ ^ Δ t ¯ 2 η + 1 , π s M B κ > 0 .
  • From the above, we obtain Corollary 1. □
Proof of Corollary 2.
π s N B κ = [ ( a t n ) 4 ( t n t b ) ] θ ^ a t b κ 8 a t b t n t b = a t n 4 Δ t ˜ θ ^ a t b κ 8 a t b Δ t ˜
  • Let the numerator π s N B κ = a t n 4 Δ t ˜ κ 1 θ ^ a t b κ κ 2 .
  • From equation (8) mentioned earlier, under the NB, r n 0 τ < κ < r n 0 + 2 Δ t ˜ θ ^ 2 τ , r n 0 < τ Δ t ˜ θ ^ 1 τ .
  • Substituting max κ = r n 0 + 2 Δ t ˜ θ ^ 2 τ into κ 2 , we get κ 2 | κ = r n 0 + 2 Δ t ˜ θ ^ 2 τ = θ ^ a t b κ > 0 .
  • Using the method of proof by contradiction, to satisfy θ ^ a t b > κ , then θ ^ a t b > max κ θ ^ a t b > r n 0 + 2 Δ t ˜ θ ^ 2 τ 2 θ ^ a t b τ θ ^ a t b > r n 0 + 2 Δ t ˜ θ ^ 2 θ ^ a t b 2 Δ t ˜ θ ^ θ ^ a t n > r n 0 2 θ ^ a t b Δ t ˜ θ ^ a t n > r n 0 2 θ ^ a t b t n t b θ ^ a t n > r n 0 θ ^ a t n > r n 0 . From (A1), we know that θ ^ a t n = τ Δ t ˜ θ ^ 1 τ , therefore under the constraint r n 0 < τ Δ t ˜ θ ^ 1 τ , which is to say, r n 0 < θ ^ a t n , θ ^ a t b > max κ , κ 2 | κ = r n 0 + 2 Δ t ˜ θ ^ 2 τ = θ ^ a t b κ > 0 .
  • From the above, we derive Corollary 2 (2). □
Proof of Proposition 3.
(1)
π n N B π n N = κ τ r n 0 2 κ r n 0 4 Δ t ˜ r n 0 4 a t n θ ^ a t n r n 0 2 θ ^ 4 r n 0 4 a t n
= r n 0 2 a t b + 2 θ ^ Δ t ˜ κ a t b κ a t b r n 0 + a t n κ 2 θ ^ 2 Δ t ˜ a t b 8 Δ t ˜ a t b
  • Let the numerator
    Δ π n = r n 0 2 a t b + 2 θ ^ Δ t ˜ κ a t b κ a t b r n 0 + a t n κ 2 θ ^ 2 Δ t ˜ a t b
    .
  • If θ ^ 2 Δ t ˜ a t b κ 2 + r n 0 κ > 0 , t n < t ^ n = r n 0 Δ t ˜ κ 2 Δ t ˜ θ ^ a t b a t b r n 0 + a t b κ κ 2 θ ^ 2 Δ t ˜ a t b r n 0 κ , Δ π n > 0 . From the conditions, we get t n > 0 . While κ 2 θ ^ 2 Δ t ˜ a t b r n 0 κ < 0 , Thus, for r n 0 Δ t ˜ κ 2 Δ t ˜ θ ^ a t b a t b r n 0 + a t b κ < 0 to hold, it follows that κ < a t b 2 Δ t ˜ θ ^ + r n 0 Δ t ˜ + a t b , this contradicts the scope of Equation (8); therefore, the condition for Δ π n > 0 does not hold. Thus, under the constraints, Δ π n < 0 , π n N B < π n N .
(2)
π m M B π m M = θ ^ Δ t ¯ r m 0 + κ 2 θ ^ 4 r m 0 κ 4 Δ t ¯ θ ^ a t m r m 0 2 θ ^ 4 r m 0 4 a t m
= a t m 2 θ ^ 2 Δ t ¯ + a t m Δ t ¯ 2 θ ^ 2 + 2 θ ^ Δ t ¯ κ + κ r m 0 2 Δ t ¯ r m 0 2 8 Δ t ¯ a t m
  • The numerator Δ π m = a t m 2 θ ^ 2 Δ t ¯ + a t m Δ t ¯ 2 θ ^ 2 + 2 θ ^ Δ t ¯ κ + κ r m 0 2 Δ t ¯ r m 0 2 .
  • If r m 0 < r m 0 = κ a t m + κ a t b θ ^ t b t m a t m a t b , π m M B > π m M . Conversely, if r m 0 > r m 0 , π m M B < π m M . □
  • Scenario MN
π s M N = p m M N r m M N θ ^ θ m M N + p n M N r n M N θ m M N θ n M N , where θ m M N = p m M N p n M N t n t m and θ n M N = p n M N a t n . From π s M N p m M N = θ ^ + 2 p m M N 2 p n M N r m M N + r n M N t m t n > 0 , 2 π s M N p m M N 2 = 2 t n t m < 0 , π s M N p n M N = 2 p n M N + r n M N a t n + 2 p m M N + 2 p n M N + r m M N r n M N t m t n > 0 , 2 π s M N p n M N 2 = 2 a t n 2 t n t m < 0 , we obtain the Hessian matrix, which can be expressed as H = 2 t n t m 2 t n t m 2 t n t m 2 a t n 2 t n t m . The Hessian matrix is negative definite, and the function attains a local maximum at p m M N and p n M N . From π s M N p m M N = 0 and π s M N p n M N = 0 , we derive p m M N = θ ^ a t m + r m M N 2 and p n M N = r n M N + θ ^ a t n 2 . Let t n t m = Δ t , then θ m M N = θ ^ 2 + r m M N r n M N 2 Δ t and θ n M N = θ ^ 2 + r n M N 2 a t n .
From π 3 p l m M N = r m M N r m 0 θ ^ θ m M N and π 3 p l n M N = r n M N r n 0 θ m M N θ n M N , we derive r m M N = r n M N + r m 0 + θ ^ Δ t 2 and r n M N = r m M N a t n 2 a t m + r n 0 2 . The proof of this part is consistent with Proposition B.1 in Lu et al. [7], so it will not be repeated. To ensure that both third-party logistics providers are incentivized to offer delivery services, the condition θ m M N < θ ^ , θ n M N < θ m M N , θ b M N > θ n M N must be satisfied. Rearranging, we get r m M N < r n M N + θ ^ Δ t r n M N < r m 0 + θ ^ Δ t Δ t ˜ + 2 κ Δ t 2 Δ t + 1 . □
  • Scenario MNB
π s M N B = p m M N B r m M N B θ ^ θ m M N B + p b M N B κ θ m M N B θ b M N B + p n M N B r n M N B θ b M N B θ n M N B .
To calculate the first- and second-order partial derivatives of π s M N B with respect to p m M N B , p b M N B , and p n M N B , the Hessian matrix is obtained as
H = 2 t b t m 2 t b t m 0 2 t b t m 2 t n t b 2 t b t m 2 t n t b 0 2 t n t b 2 t n t b 2 a t n
The Hessian matrix is negative definite, and the function is concave, attaining a local maximum at p m M N B , p n M N B , and p b M N B . From π s M N B p m M N B = 0 , π s M N B p b M N B = 0 and π s M N B p n M N B = 0 , we drive p m M N B = θ ^ a t m + r m M N B 2 , p b M N B = θ ^ a t b + κ 2 and p n M N B = r n M N B + θ ^ a t n 2 . Further, it can be obtained that θ m M N B = θ ^ 2 + r m M N B κ 2 Δ t ¯ , θ b M N B = θ ^ 2 + κ r n M N B 2 Δ t ˜ , θ n M N B = θ ^ 2 + r n M N B 2 a t n . Substituting θ m M N B , θ b M N B , and θ n M N B into the third-party logistics provider’s profit function, we get r m M N B = θ ^ Δ t ¯ + κ + r m 0 2 and r n M N B = τ κ + r n 0 2 . The conditions for the existence of the MNB model are θ m M N B < θ ^ θ b M N B < θ m M N B θ n M N B < θ b M N B κ > max r m 0 θ ^ Δ t ¯ , r n 0 a t b 2 τ a t n τ Δ t ˜ κ < θ ^ Δ t ¯ Δ t ˜ + r m 0 Δ t ˜ + r n 0 Δ t ¯ 2 τ Δ t ¯ + Δ t ˜ . □

References

  1. Lim, S.F.W.T.; Gao, F.; Tan, T.F. Channel changes choice: An empirical study about omnichannel demand sensitivity to fulfillment lead time. Manag. Sci. 2024, 70, 2954–2975. [Google Scholar] [CrossRef]
  2. Gao, F.; Su, X. Omnichannel retail operations with buy-online-and-pick-up-in-store. Manag. Sci. 2017, 63, 2397–2771. [Google Scholar] [CrossRef]
  3. Jiang, Y.; Wu, M. Power structure and pricing in an omnichannel with buy-online-and-pick-up-in-store. Electron. Commer. Res. 2024, 24, 1821–1845. [Google Scholar] [CrossRef]
  4. Lu, J.C.; Yang, Y.; Han, S.Y.; Tsao, Y.C.; Xin, Y. Coordinated inventory policies for meeting demands from both store and online BOPS channels. Comput. Ind. Eng. 2020, 145, 106542. [Google Scholar] [CrossRef]
  5. Gallino, S.; Moreno, A. Integration of online and offline channels in retail: The impact of buy-online-and-pick-up-in-store. Manag. Sci. 2014, 60, 571–589. [Google Scholar]
  6. Niu, B.; Mu, Z.; Li, B. O2O results in traffic congestion reduction and sustainability improvement: Analysis of “Online-to-Store” channel and uniform pricing strategy. Transp. Res. E Logist. Transp. Rev. 2019, 122, 481–505. [Google Scholar] [CrossRef]
  7. Lu, T.; Chen, Y.J.; Feansoo, J.C.; Lee, C.Y. Shipping to heterogeneous customers with competing carriers. Manuf. Serv. Oper. Manag. 2020, 22, 850–867. [Google Scholar] [CrossRef]
  8. Qiu, J.; Zhao, J.; Hu, X.J.; Min, J. Research on store pickup cooperation of competing retailers considering endogenous delivery efficiency. Syst. Sci. Math. 2023, 43, 2195–2210. [Google Scholar]
  9. Bell, D.R.; Gallino, S.; Moreno, A. How to win in an omnichannel world. MIT Sloan Manag. Rev. 2014, 56, 45–53. [Google Scholar]
  10. Ge, C.; Zhu, J. Effects of BOPS implementation under market competition and decision timing in omnichannel retailing. Comput. Ind. Eng. 2023, 179, 109227. [Google Scholar] [CrossRef]
  11. Chiang, W.K.; Chhajed, D.; Hess, J.D. Direct marketing, indirect profits: A strategic analysis of dual-channel supply chains. Manag. Sci. 2003, 49, 1–20. [Google Scholar] [CrossRef]
  12. Huang, W.; Swaminathan, J.M. Introduction of a second channel: Implications for pricing and profits. Eur. J. Oper. Res. 2009, 194, 258–279. [Google Scholar] [CrossRef]
  13. Zhao, Y.; Zhao, X.; Liu, Y. How brick-and-mortar retailers and grocery delivery platforms influence purchase intention? Int. J. Retail Distrib. Manag. 2023, 51, 1677–1697. [Google Scholar] [CrossRef]
  14. Cao, K.; Xu, Y.; Wu, Q.; Wang, J.; Liu, C. Optimal channel and logistics service selection strategies in the e-commerce context. Electron. Commer. Res. Appl. 2021, 48, 101070. [Google Scholar] [CrossRef]
  15. Agatz, N.A.H.; Fleischmann, M.; van Nunen, J.A.E.E. E-fulfillment and multi-channel distribution—A review. Eur. J. Oper. Res. 2008, 187, 339–356. [Google Scholar] [CrossRef]
  16. Boyer, K.K.; Hult, G.T.M. Customer behavioral intentions for online purchases: An examination of fulfillment method and customer experience. J. Oper. Manag. 2005, 23, 249–265. [Google Scholar] [CrossRef]
  17. Xu, Z.; Zhang, H.; Zhang, J.H.; Zhang, R. Online Demand Fulfillment Under Limited Flexibility. Manag. Sci. 2020, 66, 4359–4919. [Google Scholar] [CrossRef]
  18. Cao, J.; So, K.C.; Yin, S. Impact of an online-to-store channel on demand allocation, pricing and profitability. Eur. J. Oper. Res. 2016, 248, 234–245. [Google Scholar] [CrossRef]
  19. Gao, F.; Su, X. Online and offline information for omnichannel retailing. Manuf. Serv. Oper. Manag. 2017, 19, 84–98. [Google Scholar] [CrossRef]
  20. Allon, G.; Bassamboo, A. Buying from the babbling retailer? The impact of availability information on customer behavior. Manag. Sci. 2011, 57, 713–726. [Google Scholar] [CrossRef]
  21. Cachon, G.P.; Terwiesch, C. Matching Supply with Demand: An Introduction to Operations Management; McGraw-Hill: New York, NY, USA, 2009. [Google Scholar]
Figure 1. E-commerce platform supply chain system.
Figure 1. E-commerce platform supply chain system.
Systems 13 00838 g001
Figure 2. Decision sequence of the model.
Figure 2. Decision sequence of the model.
Systems 13 00838 g002
Figure 3. (a) Channel demand under M and MB scenarios. (b) Profits under M and MB scenarios.
Figure 3. (a) Channel demand under M and MB scenarios. (b) Profits under M and MB scenarios.
Systems 13 00838 g003
Figure 4. (a) Channel demand under N and NB scenarios. (b) Profits under MB and NB scenarios.
Figure 4. (a) Channel demand under N and NB scenarios. (b) Profits under MB and NB scenarios.
Systems 13 00838 g004
Figure 5. (a) MB scenario. (b) NB scenario.
Figure 5. (a) MB scenario. (b) NB scenario.
Systems 13 00838 g005
Figure 6. (a) Profits under MN and MB. (b) Profits under MN and NB.
Figure 6. (a) Profits under MN and MB. (b) Profits under MN and NB.
Systems 13 00838 g006
Figure 7. (a) Profits under the MB, MN, and MNB. (b) Profits under the NB, MN, and MNB.
Figure 7. (a) Profits under the MB, MN, and MNB. (b) Profits under the NB, MN, and MNB.
Systems 13 00838 g007
Table 1. Comparison of representative studies on BOPS and logistics efficiency.
Table 1. Comparison of representative studies on BOPS and logistics efficiency.
Relevant WorkBOPS AdoptionLogistics Service HeterogeneityDynamic AdaptationConsumer Heterogeneity
Gao and Su [2]
Gallino and Moreno [5]
Lim et al. [1]
Jiang and Wu [3] Partial
This study
Notes: √ indicates that the study explicitly addresses the dimension.
Table 2. Explanation of basic symbols and model parameters.
Table 2. Explanation of basic symbols and model parameters.
Parameter SymbolsExplanation
θ j   j = m , b , n The consumer’s valuation of products in channel j
t i   i = 3 p l m , 3 p l n The logistics transportation efficiency of third-party logistics provider i
a Market size
q Product quality
p j The price of products in channel j
r i The unit service pricing of third-party logistics provider i
r i 0 The minimum unit service pricing of third-party logistics provider i
c i The unit transportation cost of the third-party logistics provider
ϖ The unit cost incurred by physical stores for handling In-Store Pickup orders
κ The unit compensation provided by the retailer to the physical store
D j The market demand of channel j
π s ,   π 3 p l m ,   π 3 p l n ,   π T The revenue of the online retailer, 3PLm, 3PLn, and physical store
Note: General symbols (e.g., p j ) denote channel-specific variables, while scenario-specific notations (e.g., p m M ) represent particular instances of the general form under scenario M.
Table 3. Equilibrium outcomes: retailer’s optimal channel choice and logistics providers’ responses.
Table 3. Equilibrium outcomes: retailer’s optimal channel choice and logistics providers’ responses.
t b κ Optimal Choice for the Online Retailer3PLm3PLn
3MBLow shipping cost
46MBLow shipping cost
10MHigh shipping cost
66MBLow shipping cost
10NBLow shipping cost
76MBLow shipping cost
10NBLow shipping cost
7.96NBLow shipping cost
10NHigh shipping cost
Table 4. The optimal strategy selection for the online retailer.
Table 4. The optimal strategy selection for the online retailer.
The Delivery Efficiency of LogisticsMN, MB, NBMN, MNB, MB, NB
The Optimal StrategyThe Optimal Strategy
t m 1MNMN
2MBMNB
3MBMB
t n 4NBMNB
5NBMNB
6MNMNB
7MNMN
Disclaimer/Publisher’s Note: The statements, opinions and data contained in all publications are solely those of the individual author(s) and contributor(s) and not of MDPI and/or the editor(s). MDPI and/or the editor(s) disclaim responsibility for any injury to people or property resulting from any ideas, methods, instructions or products referred to in the content.

Share and Cite

MDPI and ACS Style

Tan, M.; Li, H.; Wang, H.; Yin, P. Research on Dynamic Collaborative Strategies of Online Retail Channels Under Differentiated Logistics Services. Systems 2025, 13, 838. https://doi.org/10.3390/systems13100838

AMA Style

Tan M, Li H, Wang H, Yin P. Research on Dynamic Collaborative Strategies of Online Retail Channels Under Differentiated Logistics Services. Systems. 2025; 13(10):838. https://doi.org/10.3390/systems13100838

Chicago/Turabian Style

Tan, Meirong, Hao Li, Hongwei Wang, and Pei Yin. 2025. "Research on Dynamic Collaborative Strategies of Online Retail Channels Under Differentiated Logistics Services" Systems 13, no. 10: 838. https://doi.org/10.3390/systems13100838

APA Style

Tan, M., Li, H., Wang, H., & Yin, P. (2025). Research on Dynamic Collaborative Strategies of Online Retail Channels Under Differentiated Logistics Services. Systems, 13(10), 838. https://doi.org/10.3390/systems13100838

Note that from the first issue of 2016, this journal uses article numbers instead of page numbers. See further details here.

Article Metrics

Back to TopTop