Next Article in Journal
Optimal Refund and Ordering Decisions for Fresh Produce E-Commerce Platform: A Comparative Analysis of Refund Policies
Previous Article in Journal
A Study on the Heterogeneity of China’s Provincial Economic Growth Contribution to Carbon Emissions
 
 
Font Type:
Arial Georgia Verdana
Font Size:
Aa Aa Aa
Line Spacing:
Column Width:
Background:
Article

Can Institutional Openness Boost China’s Urban Economic Resilience? Evidence from Pilot Free Trade Zones

School of Economics and Management, Beijing University of Technology, Beijing 100124, China
*
Author to whom correspondence should be addressed.
Systems 2024, 12(10), 392; https://doi.org/10.3390/systems12100392
Submission received: 23 August 2024 / Revised: 16 September 2024 / Accepted: 24 September 2024 / Published: 26 September 2024

Abstract

Economic resilience represents a nation’s capacity to withstand external shocks, quicken economic recovery, and attain sustainable development. Can Pilot Free Trade Zones (PFTZs), as testing fields for China’s institutional openness, boost the economic resilience of host cities? This study empirically investigates the impact and mechanisms of establishing PFTZs on urban economic resilience. It does so by building overlapping Difference-in-Differences (DID), Propensity Score Matching DID (PSM-DID), and spatial DID models using panel data across 284 cities in China from 2007 to 2021. It is found that establishing PFTZs significantly promotes urban economic resilience, and PFTZs largely achieve this by increasing population density, consumer demand, and economic growth in host cities. Spatial heterogeneity analysis reveals that PFTZs in North, East, Central, and South China notably enhance urban economic resilience, whereas those in Northeast, Southwest, and Northwest China do not. Regarding spatial spillover effects, the establishment of PFTZs has a beneficial impact on the economic resilience of nearby cities within a radius of 100 km to 400 km. The impacts become stronger as the distance grows, peaking at a radius of 400 km. This research offers important policy implications for promoting the establishment of PFTZs, unlocking the benefits of institutional openness, and strengthening urban economic resilience.

1. Introduction

Economic resilience represents a nation’s capacity to withstand external shocks, quicken economic recovery, and attain sustainable development [1]. Since the 1960s, only a minority of over 100 middle-income countries globally have successfully modernized into high-income economies [2]. Among those trapped in the “middle-income trap”, some fail to effectively withstand external shocks due to economic vulnerability, leading to sluggish economic growth in subsequent periods. Therefore, economic resilience stands as a pivotal indicator of a nation’s developmental prospects. Since the 1990s, China has weathered multiple external shocks, including the Asian financial crisis, the global financial crisis, natural disasters like earthquakes and floods, epidemics, and trade tensions with the United States [3]. Despite these challenges, China has effectively mitigated short-term pressures, maintained economic stability, and avoided severe economic fluctuations, thus achieving long-term economic stability. Currently, amidst profound global changes unseen in a century, lingering effects of the pandemic, sluggish global economic recovery, elevated global inflation, and frequent geopolitical conflicts, the world enters a turbulent era of transformation. Amidst such complex and challenging external environments, China’s economic recovery foundation remains unstable, facing pressures from demand contractions, supply shocks, and weakening expectations [4]. The nation continues to contend with potential systemic risks and institutional contradictions in its economic development. While the existing literature has explored factors influencing economic resilience from perspectives such as industrial development, digital economy, new infrastructure, and exogenous shocks [5,6,7,8], scant attention has been paid to the impact of institutional design and policy implementation on China’s economic resilience.
As a test field for institutional openness and a strategic initiative of reform and opening-up [9], the establishment of Pilot Free Trade Zones (PFTZs) may enhance the economic resilience of their host cities. China’s economic resilience is fundamentally derived from its unique institutional advantages, which play a central role in maintaining economic stability, thereby providing significant momentum and potential for accelerating economic recovery and achieving sustainable development. One of China’s institutional strengths lies in its institutional design and policy implementation, which are characterized by “flexibility” and “maneuverability”, enabling greater capacity to withstand and adapt to external shocks. As a result, China exhibits stronger economic resilience when facing such challenges. Institutional arrangements characterized by “flexibility” and “maneuverability” emphasize a gradual approach to policy advancement. The development of PFTZs not only serves as a key driver for China’s advancement in high-level opening-up [10] but also represents a quintessential policy tool in its gradual reform toolkit. Its objective is to pioneer alignment with international high-standard economic and trade rules [11], pilot new approaches in related fields and sectors, and subsequently replicate and expand successful experiences. According to the “Ten-Year Development Report on China’s Pilot Free Trade Zones (2013–2023)”, in terms of deepening reforms, the PFTZs took the lead in implementing reforms to the foreign investment access system, established the country’s first international trade “single window”, created the first batch of free trade accounts, pioneered “de-coupling of permits”, etc. A cumulative total of 302 institutional innovations have been replicated and promoted at the national level. In terms of opening-up, the negative list for foreign investment access in the PFTZs has been reduced seven times, the manufacturing sector has seen its directory streamlined to zero, the openness of the service industry continues to expand, and the scope of openness continues to widen. This clearly shows that the establishment of PFTZs is evidently a system arrangement with “flexibility” and “maneuverability.” The above analysis preliminarily indicates that the establishment of PFTZs might enhance the economic resilience of the cities in which they are located. Currently, most of the literature primarily focuses on the economic growth effects of PFTZs [12,13,14,15], with few studies addressing their impact on economic resilience.
Therefore, this study will explore the impact and mechanisms of establishing PFTZs on urban economic resilience from both theoretical and empirical perspectives. It begins by contextualizing the institutional background of establishing PFTZs and proposes theoretical hypotheses regarding the influence of PFTZs on urban economic resilience, considering perspectives such as population agglomeration, consumer demand, and economic growth. Subsequently, employing panel data from 2007 to 2021 across 284 prefecture-level-and-above cities, the study constructs overlapping Difference-in-Differences (DID), Propensity Score Matching DID (PSM-DID), and spatial DID models to empirically analyze the effects of establishing PFTZs on urban economic resilience.
The marginal contributions of this paper primarily lie in several aspects: (1) Innovation in research theme: Existing studies on the economic effects of PFTZs predominantly focus on perspectives such as the effects of foreign trade and investment creation, innovation and entrepreneurship promotion, and environmental welfare. There is scarce literature examining the economic effects of PFTZs from the perspective of urban economic resilience. This paper aims to fill this gap by focusing on the enhancement of economic resilience through establishing PFTZs under China’s new economic normal. (2) Innovation in research content: On the one hand, it enriches the mechanism study of PFTZs’ impact on urban economic resilience. The existing literature lacks theoretical and empirical analyses of mechanisms. This paper conducts corresponding mechanism analyses from perspectives including population density, consumer demand, and economic growth. On the other hand, it enriches the heterogeneity study of PFTZs’ impact on urban economic resilience. This paper divides samples into seven major regions, Northeast, East, North, Central, South, Southwest, and Northwest China, comprehensively examining the heterogeneous impacts of establishing PFTZs on urban economic resilience through sub-sample regressions. (3) Updating of data samples: The existing literature mainly studies the economic effects of the first five batches of PFTZs. This paper updates the data samples to include all six batches of PFTZs, providing a more comprehensive reflection of the current status and trends in the effectiveness of establishing PFTZs. (4) Expansion of method selection: The existing literature on the economic effects of PFTZs lacks robustness tests and in-depth empirical analyses. This paper employs models such as PSM-DID and spatial DID to thoroughly verify the promotion effect of PFTZs on urban economic resilience, further examining whether this promotion effect exhibits spatial spillover effects.
The structure of the remainder of this paper is as follows: Section 2 covers the institutional background and theoretical analysis. Section 3 details the empirical model, variables, and data. Section 4 presents empirical analyses. Section 5 conducts further analysis, examining whether the development of PFTZs significantly enhances the economic resilience of nearby cities, specifically assessing the presence of spatial spillover effects, which is vital for regional economic coordination. Section 6 concludes with research findings and policy recommendations.

2. Literature Review

The concept of resilience originated from engineering physics. Woods (2015) comprehensively summarized resilience from four aspects, defining it as the ability of a system to recover from damage or trauma, withstand external shocks, adapt to uncertainty, and adjust to external disturbances. Economic resilience represents an expansion of this concept into economics [16]. Martin and Sunley (2015), building on a review of relevant literature, defined economic resilience as the capacity of an economic system to maintain stability and return to its original state after experiencing external shocks [17]. Hynes et al. (2022) combined this concept with similar ideas from physics, proposing that economic resilience refers to the ability of an economic system to absorb, recover, and adapt to disturbances or shocks while maintaining its core functions and structure [18]. In addition to these definitions, recent research has revealed numerous complex factors influencing economic resilience. A substantial body of literature examines the impact of industrial development on urban economic resilience. Brown and Greenbaum (2017) utilized panel data from counties in Ohio, USA, and found that industrial concentration benefits urban economic resilience, while industrial diversification is detrimental [5]. In contrast, Tan et al. (2020) derived opposite conclusions from their study of resource-based cities in China [19], potentially due to differences between the two countries. Tang et al. (2023) suggested that both the rationalization and upgrading of industrial structures promote urban economic resilience, albeit with some lag [20]. Duan et al. (2022) and Xu et al. (2024) further proposed that industrial network characteristics and innovative industrial clusters can enhance regional economic resilience [21,22]. Many studies explore the effect of the digital economy on urban economic resilience. For instance, Du et al. (2023), Shi et al. (2023), and Papaioannou (2023) argue that digital inclusive finance, information and communication technology, and internet development significantly enhance urban economic resilience [6,23,24]. Some studies also investigate the influence of new infrastructure on urban economic resilience. Wen et al. (2024) discovered that new infrastructure can improve regional economic resilience, particularly by mitigating the negative economic impacts of the COVID-19 pandemic [7]. Li et al. (2023) found that the opening of high-speed rail, as a new form of infrastructure, boosts the economic resilience of cities along its route and surrounding areas [25], with similar findings reported by Wang et al. (2023) [26]. Additionally, some studies address the impact of exogenous shocks on urban economic resilience. Wang et al. (2022) observed that confirmed COVID-19 cases had a significant suppressive effect on China’s economic resilience, although the country maintained relatively high economic resilience [8]. Similar views were expressed by Hu et al. (2022) and Cheng et al. (2022) [27,28]. A few studies discuss the effects of exogenous policy implementations on urban economic resilience, such as smart city construction (Zhou et al., 2021) [29] and regional integration strategies (Feng et al., 2023) [30]. The existing literature predominantly focuses on industrial development, the digital economy, new infrastructure, and exogenous shocks as key factors influencing urban economic resilience. However, research on the impact of policy implementations, particularly the establishment of PFTZs, on urban economic resilience is scarce. This gap hampers the understanding of how institutional openness initiatives in China contribute to urban economic resilience.
While there is scarce research on the impact of the PFTZs on urban economic resilience, some studies have explored the economic effects of PFTZs, which provide valuable insights for this paper. Certain studies investigate the foreign trade and investment effects of PFTZs, which represent their fundamental functions. Fan et al. (2022) analyzed port throughput and import–export trade volumes in host cities and found that the impact of PFTZs on port trade scale exhibits regional heterogeneity [12]. Wan et al. (2024) further discovered that PFTZ policies drive the restructuring of value chains in port enterprises [31], benefiting value creation for foreign trade firms. Bao et al. (2023) used provincial panel data to confirm that PFTZs promote foreign direct investment and outward direct investment [13]. Several studies have also explored the innovation and entrepreneurship effects of PFTZs. Su and Wang (2024) and Lei and Xie (2023) matched PFTZ information with patent data from listed companies and confirmed that PFTZs significantly enhance corporate innovation performance within the region [14,32]. Xu et al. (2024) reached similar conclusions using provincial panel data [33]. Li et al. (2024) used urban panel data and found that PFTZs significantly promote urban entrepreneurship [15]. Some research has investigated the environmental improvement effects of PFTZs. Jiang et al. (2021) utilized panel data from listed companies and applied synthetic control methods to demonstrate that the Shanghai PFTZ improved Shanghai’s green total factor productivity [34]. Pan and Cao (2024) used panel data from A-share industrial listed companies and found that PFTZs promote low-carbon innovation among enterprises in host cities [35]. Liu et al. (2024) reached similar conclusions using urban panel data [36]. In contrast, Zhuo et al. (2021) used urban panel data to show that the Guangdong PFTZ significantly increased wastewater and exhaust emissions [37], indicating that the environmental improvement effects of PFTZs vary among different regions. From the above research, it is evident that existing studies primarily focus on the economic effects of PFTZs in fields such as foreign trade, foreign investment, innovation, entrepreneurship, and environment. There is a noticeable lack of research on the impact of PFTZs on urban economic resilience.
Through a review of the literature on factors influencing urban economic resilience and the economic effects of PFTZs, the following conclusions can be drawn: On the one hand, both engineering physics and economics recognize that the key aspects of resilience are stability and recovery [16,17,18]. Therefore, this paper defines urban economic resilience as the difference between a city’s actual economic performance after experiencing a shock and its expected performance had no shock occurred. A smaller difference indicates greater stability and recovery capacity, and hence stronger resilience, while a larger difference signifies weaker resilience. This definition will guide the measurement of urban economic resilience, with detailed measurement methods discussed in Section 4.2.1 and not elaborated on further here. On the other hand, investigating whether PFTZs enhances urban economic resilience is crucial for filling the gap in this research area. It helps in understanding how specific institutional open policies affect urban economic resilience and evaluates the effect of PFTZs on urban economy from the perspective of economic fluctuations. This has significant implications for supporting the government in further developing PFTZs to improve urban economic resilience and stabilize China’s economic fundamentals.

3. Institutional Background and Theoretical Analysis

3.1. Institutional Background

The establishment of PFTZs represents a crucial strategic initiative in China’s engagement with international high-standard economic and trade rules [11] in the new era, promoting high-level institutional opening-up [38]. Following the 2008 global financial crisis, a rise in anti-globalization sentiment saw the emergence of unilateralism and protectionism. On a global scale, multilateralism shifted towards regionalism, with regional bilateral and multilateral free trade agreements such as TPP, TTIP, and TISA emerging [39]. These regional trade agreements not only accelerated the adjustment and restructuring of global industrial chain layouts, but they also had a significant influence on global trade and investment rule standards. This directly or indirectly impacted China’s access to global markets and its international discourse power, presenting more formidable challenges during a phase of globalization adjustment [40]. Meanwhile, China also grapples with pressing domestic challenges such as diminishing traditional factor advantages, difficulties in optimizing industrial structure, and sluggish progress in systemic reforms. These realities hinder China’s adaptation to current international high-standard economic and trade rules.
Against this backdrop, the State Council of China approved the establishment of the first PFTZ in Shanghai in September 2013 [41], proactively aligning with high-standard international trade and investment rules, promoting reform of the socialist market economy system, and further expanding opening-up efforts. In October 2022, President Jin-ping Xi proposed the “Enhancing PFTZs Strategy” during the 20th National Congress of the Communist Party of China, outlining new significant deployments for PFTZ initiatives. This underscores that PFTZs are a crucial strategic measure for China to comprehensively deepen reforms and expand opening-up under new circumstances. To generate replicable and scalable experiences, and to leverage the demonstrative and national service role of PFTZs, the State Council successively approved the establishment of PFTZs in several provincial-level administrative regions from 2015 to 2023, continually refining institutional designs and policy frameworks. Currently, China boasts 22 PFTZs covering two-thirds of its provinces, establishing a pilot pattern that spans east, west, south, north, coastal, inland, and border areas [42]. This initiative has yielded numerous high-level institutional innovations, effectively leveraging the advantages of leading trials to stress-test relevant fields and processes, thereby exploring new pathways and accumulating new experiences for steady expansion of institutionalized openness in rules, regulations, management, and standards.

3.2. Theoretical Analysis

China’s reform and opening-up process is characterized by a gradual “policy pilot” approach. The establishment of PFTZs exemplifies this approach, where specific cities undertake “administrative experiments” ahead of formal legislation, and successful experiences are then scaled up from pilot zones to broader implementation. In such incremental reforms, institutional innovations are effectively integrated, notably enhancing urban economic resilience. Specifically, the PFTZs prioritize institutional innovation, aiming for replicability and scalability. Through policy pilots, new institutional arrangements such as negative list management, decoupling of permits, and free trade accounts [43] are explored and implemented. These measures streamline trade processes, reduce trade costs, improve customs efficiency, promote trade liberalization, and provide extensive international markets for urban economic development, thereby enhancing city potential and economic vitality. Secondly, the PFTZs facilitate investment facilitation [44], attracting high-quality foreign investment. This not only supports the financial needs of zone enterprises but also strengthens ties between cities and international markets, fostering international cooperation and exchange. By importing advanced international production technologies, management practices, and professional talents, cities enhance international competitiveness, integration into the global economy, and adaptability. Lastly, the PFTZs actively align with high-standard international trade and investment rules. Pilot cities are not only well informed about global economic and trade rule changes and global market trends but also pioneers in establishing regulatory frameworks and supervision models that align with international high standards [11], thus enhancing their resilience and recovery capabilities against external shocks. In summary, these institutional innovations optimize resource allocation, stimulate market dynamics, and bolster urban economic resilience. Based on these points, this paper proposes Hypothesis 1.
H1: 
The establishment of PFTZs enhances the economic resilience of host cities.
On the one hand, establishing PFTZs can promote population agglomeration through a “siphoning effect.” Specifically, these zones facilitate foreign investment openness, enhance efficiency in financial resource allocation, support enterprise investment and expansion, create more employment and entrepreneurial opportunities for cities, and offer development opportunities for highly skilled labor [15,45]. This mitigates capital and labor mismatches, improves investment returns, and attracts and retains professional talents [30]. In essence, by harnessing positive externalities, the PFTZs not only retain local capital and labor but also attract capital and labor from neighboring cities, fostering population agglomeration. On the other hand, population agglomeration fosters a conducive environment for innovation, facilitates industrial clustering, and contributes to the formation of a large consumer market, thereby enhancing urban economic resilience. Population agglomeration facilitates the exchange of knowledge and technology and the diffusion of innovative ideas, thereby effectively enhancing urban innovation capabilities [26]. Consequently, knowledge- and technology-intensive enterprises are predominantly located in densely populated cities. These enterprises drive urban adaptation to changes in the external environment and rapid recovery from external shocks through research and development investments and technological innovation for new products [46], thereby enhancing urban economic resilience. Population agglomeration also facilitates the free flow of population factors towards developed core cities or regional centers, enabling concentrated resource use and economies of scale, which promote industrial clustering, diversify industries, and expand consumer markets, thereby enhancing production efficiency, diversifying macroeconomic risks, and generating substantial consumer demand [30,47]. Based on these insights, this paper proposes Hypothesis 2.
H2: 
From the supply side, the establishment of PFTZs enhances urban economic resilience by promoting population agglomeration in host cities.
On the one hand, PFTZs promote trade facilitation and liberalization by simplifying trade procedures, reducing trade costs, and enhancing trade efficiency [15,48]. This, in turn, boosts consumer demand in the cities where these zones are located. Trade facilitation and liberalization not only help lower the costs of imported goods, allowing citizens to purchase foreign products at more reasonable prices, thereby improving consumer welfare and stimulating local demand, but also expand the variety of imported goods and increase the effective supply of domestic products. This meets the increasingly personalized, diverse, and quality-oriented consumption needs of residents. On the other hand, consumer demand, as a key driver of economic growth [49], provides foundational support to urban economies facing external shocks, thereby reducing economic volatility and enhancing economic resilience. Specifically, diverse consumer demand encourages producers to optimize product structures and improve quality, leading to better resource allocation, increased economic efficiency, and industrial restructuring. Industrial diversification helps balance losses when one industry is affected by developing other industries, thus strengthening the economy’s ability to withstand and recover from shocks. Additionally, the growth in consumer demand often accompanies a pursuit of new technologies, which enhances domestic entrepreneurial and innovative activities [23], thereby boosting urban economic vitality and adaptability. Lastly, increased consumer demand generally requires more labor input, creating additional job opportunities [50]. Higher employment rates help sustain residents’ income levels and consumption capacity, fostering a positive economic cycle and enhancing urban economic resilience. Based on this, Hypothesis 3 is proposed in this study.
H3: 
From the demand side, the establishment of PFTZs enhances urban economic resilience by stimulating urban consumption demand.
On the one hand, building PFTZs promotes urban economic growth by opening trade and investment, providing a favorable institutional environment, encouraging financial innovation, and promoting urban economic growth. Specifically, creating trade and investment is fundamental function of PFTZs. By adhering to high-standard investment and trade rules, expanding trade and investment openness, increasing foreign trade, and attracting foreign investment [51], economic growth is stimulated. Secondly, the PFTZs implement a series of institutional innovations, such as simplifying administrative approval processes, strengthening intellectual property protection, and providing tax incentives, providing a good business environment for market entities [32], improving enterprise productivity, and promoting economic growth. Finally, the PFTZs promote economic growth by encouraging financial innovation and providing flexible financial support. For example, measures such as the expansion of cross-border financial services, facilitation of foreign exchange management, and opening of capital accounts provide more financing channels for enterprises [15], reduce financing costs, promote real economic development, and drive economic growth. On the other hand, economic growth clearly enhances economic resilience. This is because economic growth represents an increase in GDP. With the increase in GDP, the economic scale and market size expand, providing greater buffer space and stronger resilience to external shocks for the economy, while also providing more market opportunities for enterprises, helping to diversify risks and promote economic recovery [1]. In addition, economic growth often accompanies improved resource allocation efficiency, which not only signifies an increase in economic productivity but also means that when facing external shocks and challenges, the economy can quickly adjust and reconfigure resources to adapt to changes and challenges, thereby enhancing economic resilience [52]. Based on these insights, this paper proposes Hypothesis 4.
H4: 
From a fundamental perspective, the establishment of PFTZs enhances urban economic resilience by promoting urban economic growth.

4. Description of Empirical Models, Variables, and Data

4.1. Empirical Modeling

Due to its nature as an initiative involving pilot trials, experience summarization, and gradual expansion, the construction of PFTZs can be viewed as a quasi-natural experiment in policy. Considering the varied establishment times of different batches of PFTZs, this study follows Li et al. (2024), Zhuo et al. (2021), and Xu et al. (2024) to employ an overlapping DID model to examine the impact of constructing PFTZs on urban economic resilience [15,33,37]. The specific model setup is as follows:
E R i t = α 0 + α 1 P F T Z i t + X i t β + μ i + λ t + ε i t
In the equation, i represents cities, t represents years, E R i t denotes the dependent variable—urban economic resilience— α 0 is the constant term, P F T Z i t is the key explanatory variable (the construction of PFTZs), indicating whether city i had a Pilot Free Trade Zone in year t (1 if yes, 0 if no), α 1 is the parameter to be estimated for PFTZ policy, X i t is a row vector of control variables, β is a column vector of parameters to be estimated for control variables, μ i represents city fixed effects, λ i represents year fixed effects, and ε i denotes the residual term.

4.2. Variable Measurements

4.2.1. Urban Economic Resilience

Three main methods are commonly used to measure urban economic resilience: indicator system evaluation, comparative analysis, and spatial econometric estimation. Indicator system evaluation involves selecting multiple dimensions and indicators related to urban economic resilience for comprehensive assessment [29,53,54]. However, the selection of dimensions and indicators exhibits significant subjectivity. Comparative analysis measures urban economic resilience by comparing observed values of a resilience-related indicator across cities with expected values derived from counterfactual analysis1 [23,25,55], such as employment status or GDP growth rates. Compared to indicator system evaluation, comparative analysis is more objective but may overlook interactions between economic fluctuations in response to external shocks among different entities. Spatial econometric estimation combines aspects of comparative analysis with spatial econometric models. This method addresses the subjectivity issues inherent in the indicator system evaluation and, building on comparative analysis, incorporates the spatial correlations of economic fluctuations in response to external shocks. As such, it provides a more objective and comprehensive measure of urban economic resilience and aligns well with the definition of economic resilience used in this study (see Section 2). Consequently, spatial econometric methods will be employed in this paper to measure urban economic resilience.
Specifically, following the approach of Doran & Fingleton (2018) and Fingleton & Palombi (2013), and utilizing the Dixon–Thirlwall causal loop model, this study constructs regression equations between total output and employment based on the static Verdoorn law [56,57]. It considers the impacts of spatial and temporal lags and employs GMM-SAR-RE estimation to quantify urban economic resilience. This methodology quantifies urban economic resilience by comparing actual employment levels with counterfactual levels unaffected by external shocks.
The static Verdoorn law posits that labor productivity is a positively linear function of output growth, assuming increasing returns to scale. Under these assumptions, the regression equation can be formulated as follows:
E m p i t = γ 0 + γ 1 W i E m p t 1 + γ 2 E m p i , t 1 + γ 3 Y i t + ε i t
In the equation, E m p i t represents the natural logarithm of the number of employed individuals in city i at the end of year t, serving as a measure of employment levels in the city. W denotes the spatial weight matrix, specifically utilizing a geographical distance spatial weight matrix in this section. The matrix elements, w i j , represent the inverse of the spherical distance between cities i and j. It is important to note that the diagonal elements of the spatial weight matrix are all zero, indicating that the spatial weight between city i and itself is zero. W i refers to the i-th row vector of the spatial weight matrix, where each element represents the inverse of the spherical distance between city i and other cities. E m p t 1 is a column vector of employment numbers at the end of year t − 1 for all cities, and E m p i , t 1 indicates the number of employed individuals in city i at the end of year t − 1. Y i t is the natural logarithm of the actual GDP of city i and year t, representing the total output of the city. Other variable definitions remain as previously stated. The regression results from Equation (2) provide estimates of the parameters, which are then substituted into Equation (2) to compute the counterfactual employment levels in the absence of external shocks.
Subsequently, urban economic resilience is calculated based on Equation (3):
E R i t = Δ E m p i t r Δ E m p i t e | Δ E m p i t e |
In the equation, Δ E m p i t r represents the actual change in employment levels, and Δ E m p i t e   denotes the counterfactual change in employment levels in the absence of external shocks. It is evident that when facing external shocks, if urban employment levels fall below potential levels, E R i t is negative, indicating poor urban economic resilience. Conversely, if urban employment levels exceed potential levels, E R i t is positive, indicating strong urban economic resilience.
Based on the methodology outlined, the city economic resilience index was calculated, and its spatiotemporal distribution was depicted (see Figure 1). Four key findings emerge. First, there has been an overall improvement in economic resilience: in 2021, a greater number of regions exhibited higher economic resilience, particularly in the eastern and central areas, where resilience has strengthened compared to 2007. Second, the regional disparities in economic resilience have narrowed: in 2007, cities with lower economic resilience were primarily concentrated in the Midwest and Northeast, whereas by 2021, many formerly low-resilience areas, especially in the central region, showed significant improvement. Third, there is persistent high resilience in the eastern region: coastal cities such as those in the Yangtze River Delta and Pearl River Delta exhibited high economic resilience in 2007 and either maintained or enhanced this advantage by 2021, reflecting their strong economic resilience and sustainability. Fourth, there is uneven development in the western region: while some western cities have seen improvements in economic resilience, the overall level remains lower than that of the eastern and central regions, with some areas still showing relatively low resilience. Overall, China’s urban economic resilience has notably increased over the past 15 years, though regional development remains uneven.

4.2.2. Construction of Pilot Free Trade Zones

Although the overall policy of PFTZs is issued at the provincial level, in practice, except for the four municipalities directly under central government administration—Shanghai, Tianjin, Chongqing, and Guangzhou—all other PFTZs are constructed and developed within subordinate prefecture-level cities. Therefore, in this study, the construction of PFTZs is defined as a virtual variable at the urban level, indicating whether a city has a Pilot Free Trade Zone in a given year. If so, it is coded as 1; otherwise, it is 0. Specifically, P F T Z i t = T r e a t i × P e r i o d i t , where T r e a t i represents a city-level dummy variable. It is coded as 1 if city i was approved for a Pilot Free Trade Zone during the sample period and 0 otherwise. P e r i o d i t represents a city-year-level dummy variable; it is coded as 1 if year t is on or after constructing PFTZs in city i and 0 otherwise.
As shown in Figure 2, the PFTZs within the sample period are categorized into six batches, established in 2013, 2015, 2017, 2018, 2019, and 2020, respectively. The spatial and temporal distribution characteristics of these zones are evident: firstly, there is a spatial concentration. Most PFTZs are located in economically developed eastern cities, particularly in the Yangtze River Delta, Pearl River Delta, and Bohai Rim regions. Additionally, a few are situated in western and central cities, such as the Sichuan and Chongqing areas. Secondly, there is a gradual pilot expansion. The first batch of PFTZs was established in 2013, and subsequent zones were introduced periodically with an increasing frequency, especially from 2017 to 2020, when new PFTZs were established annually. This trend indicates a rapid acceleration in policy promotion. Thirdly, there is a diversified layout. After 2018, an increasing number of inland cities began to establish PFTZs, reflecting China’s efforts to promote coordinated regional economic development.

4.2.3. Control Variables

The model must control for potential confounding factors that could impact urban economic resilience. Following established practices in the literature, this study includes control variables related to economic development [29], industrial structure [20], government macroeconomic regulation [30], financial development [53], and educational development [23]. Cities with higher economic development levels possess greater productivity, implying a larger stock of resources to withstand external shocks. The optimization of industrial structure can enhance the share of dominant industries, improve resource allocation efficiency, and boost urban economic vitality. Government macroeconomic regulation can balance economic fluctuations, stabilize market expectations, and enhance a city’s capacity to manage economic volatility. Cities with advanced financial development have more funding support and risk management tools, resulting in a stronger ability to handle uncertainty. Higher education levels contribute to improved workforce skills, thereby enhancing urban innovation capacity and economic resilience. Specifically, the economic development level (PGDP) is measured by per capita GDP [29]; the industrial structure (Indstr) is represented by the ratio of value added in the tertiary industry to that in the secondary industry [20]; government macroeconomic regulation (Gover) is measured by the ratio of local government general budgetary expenditure to GDP [30]; the financial development level (Finan) is quantified by the ratio of total loans and deposits of financial institutions at year-end to GDP [53]; and the education development level (Educa) is indicated by the per capita collection of books in public libraries.

4.3. Data Sources and Processing

The data sources include the “China Urban Statistical Yearbook”, various city statistical bureaus, the Guotaian database, the Development Research Centre of the State Council Information Website, the Zhongjing Website database, and the EPS database. Based on data availability, this paper compiled panel data from 284 prefecture-level-and-above cities in mainland China from 2007 to 2021. Data processing and regression analyses were conducted using Stata/MP 18.0 software. Due to very few missing values, linear interpolation [7] was employed to achieve balanced panel data. To mitigate the influence of price factors on regression results, all relevant variables were adjusted to 2007 base levels. Additionally, to reduce data volatility and alleviate heteroscedasticity issues, natural logarithms of the variables were used. Descriptive statistics for the main variables are presented in Table 1. Before conducting regression analysis, multicollinearity was examined, with the highest variance inflation factor (VIF) found to be 2.01, well below the critical threshold of 10, with an average VIF of 1.62. According to commonly used criteria in existing research [35], serious multicollinearity issues were deemed absent. Additionally, Table 1 provides descriptive statistics for the mechanism variables used in the subsequent analysis. The measurement methods for these variables will be detailed in Section 5.3 and are not reiterated here.

5. Empirical Analysis

5.1. Baseline Regression Analysis

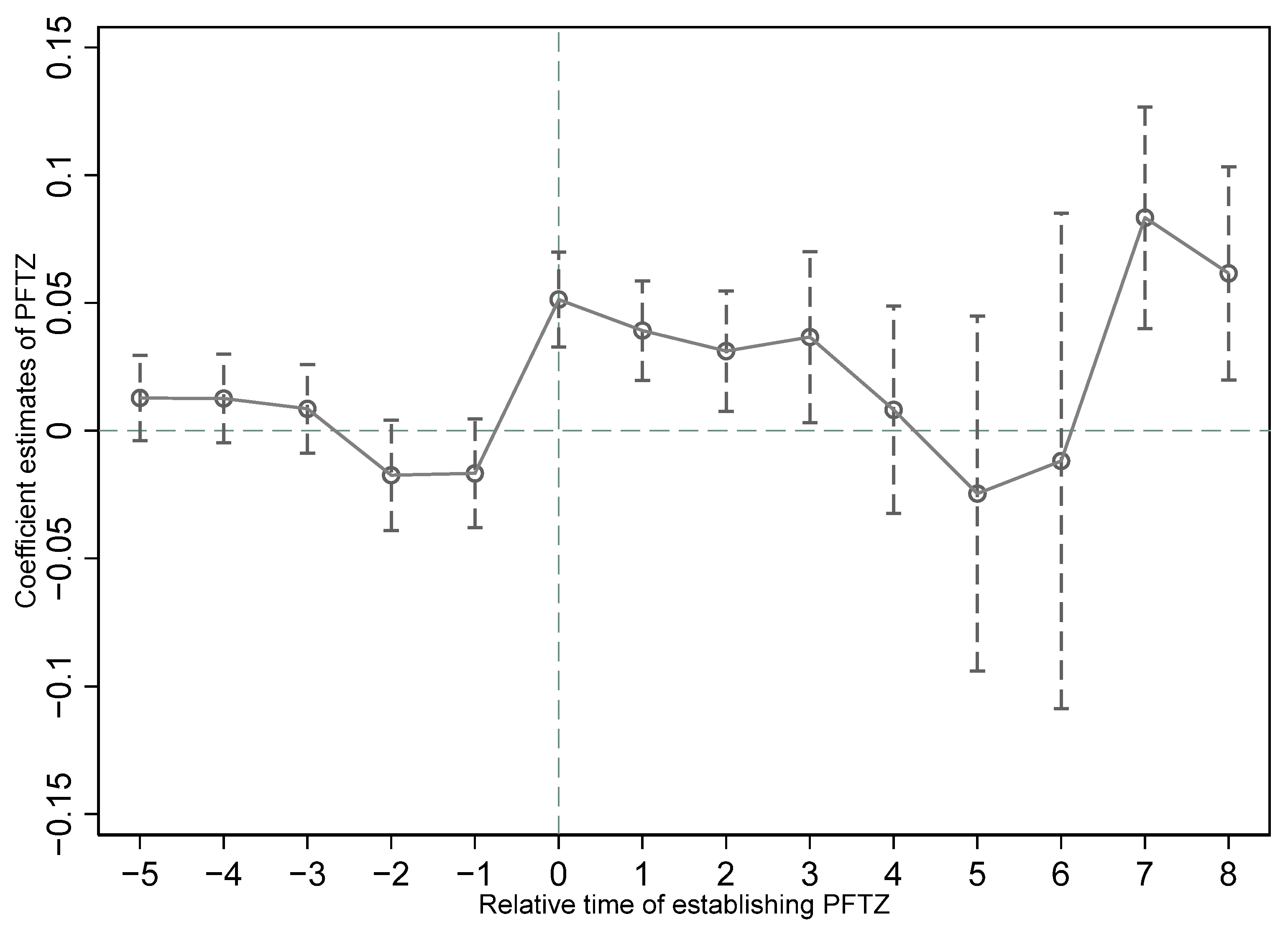
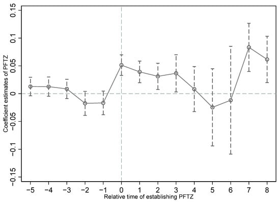
The identification of policy effects using the double-difference method requires a crucial precondition: that the pre-policy trends in economic resilience between the treatment and control cities are highly similar, exhibiting inherent rather than structural differences. This precondition, commonly known as the parallel trend assumption, ensures that the control group can adequately simulate the counterfactual time effects had they not been exposed to the policy, thereby enabling a relatively accurate estimation of the policy’s impact size. Hence, prior to conducting the baseline regression, this section performs a parallel trends test based on Li et al. (2024) and Xu (2024) [15,33]. The results indicate that prior to the construction of the PFTZs, the estimated coefficient for the policy effect is not significant (the confidence interval includes zero) and is very close to zero (see Figure 3). This suggests that the sample used in this study satisfies the parallel trend assumption, thus justifying the use of the double-difference method to estimate the policy effect. Building on this, the section employs the previously constructed overlapping Difference-in-Differences (DID) model for the baseline regression analysis, progressively adding control variables in a stepwise manner (see Table 2). Column (1) presents the regression results without control variables, where the impact of PFTZ policy on urban economic resilience is positive but not significant. Columns (2) to (5) successively introduce additional control variables, revealing that the impact of PFTZ policy on urban economic resilience is consistently positive and significant across these columns. Specifically, with the inclusion of all control variables, the impact coefficient for PFTZ policy on urban economic resilience is statistically significant at the 1% level, indicating a significant promotion effect of PFTZ policy on urban economic resilience. These results preliminarily confirm that Hypothesis 1 of this study holds.
Beyond statistical significance, it is essential to discuss the economic implications of the estimated coefficients to understand the magnitude of the impact. In Column (6), the estimated coefficient for the PFTZ dummy variable is 0.0207, suggesting that the PFTZ policy increases the economic resilience of pilot cities by an average of 3.9% per year2. Therefore, assuming that a future exogenous shock causes a 10% decline in economic resilience relative to the original trend, and disregarding other factors (such as natural growth over time, a third factor, and other random changes), the net effect of the PFTZs could enable pilot cities to return to their original state in approximately three years.

5.2. Robustness Checks

5.2.1. Placebo Test

The baseline regression results suggest that the coefficient indicating the impact of PFTZ policy on urban economic resilience is statistically significant, indicating a positive effect. However, this statistical significance may be incidental—possibly due to other omitted factors in the model—and does not necessarily imply a significant economic effect of the PFTZ policy. To mitigate this possibility, a placebo test is conducted to verify whether the benchmark regression result is valid [45]. This involves randomly assigning placebo treatment groups and periods, estimating the counterfactual policy effects, and comparing them with the baseline regression results. Specifically, the study repeats 1000 random draws of treatment groups and periods, re-estimates the regression equations accordingly, and plots the probability density of the placebo policy effects’ t-values against the t-value of the policy effect (3.11) from the baseline regression. The placebo test results indicate3 that the t-values of the placebo policy effects from the 1000 simulations follow a normal distribution, with the majority of t-values being lower than the t-value (3.11) observed in the baseline regression, and most t-values are not statistically significant. Thus, the probability of committing statistical analysis errors in this study is low. These results validate Hypothesis 1 of the study, affirming that the construction of PFTZs significantly enhances urban economic resilience.

5.2.2. Self-Selection Bias Correction

If individuals participating in the experiment are directly considered as the treatment group and those not participating as the control group in regression analysis, there may be a “self-selection” bias, potentially affecting the credibility of DID estimation results. Therefore, this study follows Li et al. (2024) and Zhuo et al. (2021) and adopts Propensity Score Matching (PSM) combined with the Difference-in-Differences (DID) method, forming the PSM-DID approach [15,37]. PSM is used to select control group individuals who are as similar as possible to the treatment group, thereby mitigating the “self-selection” bias, followed by DID to estimate policy effects. Given the specific nature of panel data in applying the PSM-DID method4, this study employs two main approaches: “pooled matching” and “period-by-period matching.” Additionally, it utilizes two matching techniques, “k-nearest neighbor caliper matching” and “kernel matching”, with parameters set at k = 4 and caliper = 0.05. The operational process is as follows: First, logit models are used to estimate propensity scores for each sample, matching individuals between the treatment and control groups with similar propensity scores. Second, balance tests are conducted to assess the effectiveness of matching. Results show that after Propensity Score Matching, the absolute standardized differences in most covariates between the treatment and control groups are less than 5% (see Figure 4), and t-tests fail to reject the null hypothesis of “no significant differences between treatment and control groups.” This indicates that before policy implementation, the treatment and control groups no longer exhibit significant differences, and covariate balance has significantly improved, effectively reducing the impact of “self-selection” bias. Finally, unmatched samples are removed, and overlapping DID regression is performed again. The results indicate that the construction of PFTZs significantly and positively impacts urban economic resilience at the 1% significance level (see Table 3), further validating Hypothesis 1 of this study.
Additionally, to verify that the estimated coefficient reflects the net effect without random change or a change caused by a third factor, parallel trend tests are performed on the matched sample following Xu (2024) [33]. The results show that the pre-policy trend changes in the treatment group and the newly matched control group are highly similar5. This implies that any random or third factors affecting urban economic resilience have similar impacts on both groups, and their effects are fully removed through two rounds of differencing, yielding a net effect that excludes the influence of other factors.

5.3. Analysis of Mechanisms

The baseline regression results indicate that the construction of PFTZs significantly enhances urban economic resilience, yet the mechanisms of this impact warrant further examination. Traditional analyses of these mechanisms typically employ mediation effect models, which struggle to overcome the “endogeneity” bias potentially present in mediating variables. Consequently, following the approach of Chen et al. (2020), this study regresses the explanatory variables on the mechanism variables alone to analyze the causal relationships between them [58]. For the causal relationships between the mechanism variables and the dependent variables, we rely on theoretical analysis for substantiation, thereby scientifically testing the impact mechanisms of PFTZ construction on urban economic resilience. According to the preceding theoretical analysis, it is first noted that population agglomeration facilitates the formation of a conducive innovation environment, promotes industrial clustering, and creates a vast consumer market to enhance economic resilience. Secondly, stable consumer demand provides fundamental support during economic shocks, thereby reducing economic fluctuations and enhancing resilience. Lastly, economic growth, indicating an expansion in economic scale and improved resource allocation efficiency, helps to diversify risks and foster economic adjustment and recovery, thereby strengthening economic resilience. In light of this, this article empirically analyzes whether PFTZ construction has a significant promotional effect on these three mechanism variables from the perspectives of population agglomeration, consumption expansion, and economic growth.
Specifically, following the existing literature, this study quantifies population agglomeration, consumption expansion, and economic growth using population density (Yan & Huang, 2022), total retail sales of consumer goods (Liu et al., 2021), and GDP growth rate (Lu et al., 2024), respectively [59,60,61]. Moreover, control variables from the baseline regression are also included in the empirical model, with the results displayed in Table 4. Column (1) shows that the impact of PFTZ construction on population density is significantly positive at the 1% level, suggesting that PFTZs enhance urban economic resilience by promoting population agglomeration in host cities, thereby validating Hypothesis 2. Column (2) reveals that the impact on total retail sales of consumer goods is also significantly positive at the 1% level, indicating that PFTZs enhance urban economic resilience by boosting consumer demand in host cities, thus validating Hypothesis 3. Column (3) shows that the impact on GDP growth rate is significantly positive at the 10% level, suggesting that PFTZs enhance urban economic resilience by driving economic growth in host cities, hereby validating Hypothesis 4. In summary, promoting population agglomeration, enhancing consumer demand, and driving economic growth are the pathways through which PFTZ construction fosters urban economic resilience, with Hypotheses 2 to 4 all being supported.

5.4. Heterogeneity Analysis

Given that the effectiveness of PFTZ construction in different regions may be influenced by factors such as geographic location, endowment of resources, economic development, industrial structure, and infrastructure, the impact of PFTZ development on urban economic resilience may vary across regions. Therefore, a regional heterogeneity analysis is necessary. Drawing on the study by Xu and Zhang (2023) [62], this section performs a subsample regression based on the division of the entire sample into seven regions: Northeast, East China, North China, Central China, South China, Southwest China, and Northwest China6. The regression results indicate that the impact coefficients of free trade zone development on urban economic resilience are significantly positive at the 5% or 1% level in North China, East China, Central China, and South China. However, in the Northeast region, the impact coefficient is not significantly different from zero. In the Southwest and Northwest regions, the coefficients are significantly negative at the 5% level (see Table 5). The reasons for these differential results may include the following: while the Northeast region has a certain industrial base, factors such as insufficient innovation capability, slow industrial transformation and upgrading, and systemic barriers may have prevented the full utilization of the policy advantages of PFTZs, thereby not significantly enhancing urban economic resilience. Meanwhile, the Southwest and Northwest regions, due to issues such as poor geographic location, weak infrastructure, and talent loss, may find it challenging for PFTZ construction to quickly boost local economic development and could even negatively impact urban economic resilience in the short term due to inadequate resource allocation.

6. Further Analysis

Previous research has confirmed the significant promotional effect of building PFTZs on the economic resilience of local urban areas. Whether the construction of PFTZs can similarly enhance the economic resilience of neighboring cities, thereby demonstrating significant spatial spillover effects, warrants further theoretical and empirical analysis. Theoretically, PFTZs can attract a large number of enterprises from neighboring cities to settle in, forming industrial agglomerations through institutional innovation and policy advantages. This leads to economies of scale and scope, as well as optimizing resource allocation and enhancing production efficiency through upstream and downstream linkages in the industrial chain. Consequently, it can enhance the economic resilience of neighboring cities. Moreover, building PFTZs often accompanies improvements in infrastructure such as transportation networks, logistics systems, and information platforms. These improvements not only boost the operational efficiency of PFTZs but also facilitate interconnectivity with neighboring cities, strengthening economic ties between them. Favorable infrastructure is helpful to reduce transaction costs, enhance overall regional economic efficiency, and reinforce the economic resilience of neighboring cities. Accordingly, this section will incorporate spatial lag terms of urban economic resilience and the construction of PFTZs. The baseline DID model will be extended to a spatial DID model for empirical analysis, as depicted in Equation (4).
E R i t = α 0 + α 1 P F T Z i t + α 2 W i E R t + α 3 W i P F T Z t + X i t β + μ i + λ t + ε i t
In the equation, W represents the spatial weight matrix, specifically utilizing a geographical distance threshold spatial weight matrix. The matrix elements, w i j , are equal to 1 if the spherical distance between cities is not more than the threshold; otherwise, it is 0. The threshold is set at values of 100 km, 200 km, 300 km, 400 km, and 500 km. W i denotes the i-th row vector of the spatial weight matrix, where each element indicates whether the spherical distance between city i and other cities is not more than the threshold. E R t is a column vector representing the economic resilience of all cities in year t, while P F T Z t is a column vector indicating whether cities had a Pilot Free Trade Zone in year t. α 2 represents the parameter to be estimated for the spatial lag of urban economic resilience, and α 3 represents the parameter to be estimated for the spatial lag of the PFTZ policy. Other variable definitions follow those previously stated.
Firstly, the presence of spatial dependence is a prerequisite for applying spatial econometric models, thus requiring a test for spatial autocorrelation. The global spatial autocorrelation test reveals that the Global Moran Index consistently exceeds 07, indicating a positive spatial autocorrelation pattern of “high–high” and “low–low” clusters in the spatial distribution of urban economic resilience. Local spatial autocorrelation tests demonstrate that the Local Moran Index for representative years significantly exceeds 0, with most cities located in the first and third quadrants of spatial positive correlation areas, further confirming significant spatial agglomeration effects of urban economic resilience (see Figure 5)8.
Secondly, to select the most appropriate spatial panel model for our sample, Lagrange multiplier (LM) tests, likelihood ratio (LR) tests, and Wald tests are employed to assess the suitability of spatial panel models. The LM test results reject the null hypothesis of “no spatial lag or error terms”, indicating the existence of both spatial lag and error terms, thereby suggesting the construction of a Spatial Durbin Model (SDM). The majority of LR test results reject the hypothesis that “the SDM model degenerates into SEM or SAR models”, and Wald test results reject the hypothesis that “the SDM model degenerates into SEM or SAR models”, confirming that the SDM is distinct from SEM and SAR models. Overall, these empirical test results indicate that the SDM is superior to SEM and SAR models, justifying the construction of a Spatial Durbin Difference-in-Differences Model (SDM-DID) in this study.
Finally, since the regression coefficients of the SDM do not directly reflect the impact of independent variables on the dependent variable, it is necessary to calculate direct effects, spatial spillover effects, and total effects. Thus, this section uses the coefficient estimation results (see Table 6) as a reference and relies on the spatial effect decomposition results (see Table 7) to further analyze the enhancement of urban economic resilience due to building PFTZs in both the local and neighboring cities. Based on coefficient estimation and spatial effect decomposition, the baseline regression conclusions remain robust, with the estimated coefficients of spatial lag terms for urban economic resilience being significantly positive at the 1% level, indicating clear spatial clustering effects. Furthermore, based on coefficient estimation results, within 100 km and 200 km radii, the spatial lag terms for PFTZ policy significantly enhance urban economic resilience at the 10% level. However, beyond a 300 km radius, these effects are no longer statistically significant. This suggests that the construction of PFTZs may exhibit spatial spillover effects within specific geographical distances. Moreover, according to spatial effect decomposition results, within the 100 km to 400 km range, PFTZ policy significantly enhances urban economic resilience at levels of 1%, 1%, 5%, and 10%, respectively, with these effects increasing with increasing spherical distance between cities, indicating pronounced positive spatial spillover effects of PFTZ policy within the 100 km to 400 km range. Conversely, beyond a 500 km radius, the spatial spillover effects of PFTZ policy on urban economic resilience cease to be significant, suggesting minimal impact on cities beyond this distance. These findings further validate Hypothesis 1 and enrich the study of the impact of PFTZ policy on urban economic resilience from a spatial perspective.

7. Conclusions

Based on theoretical analysis and research hypotheses, this study utilizes panel data from 284 prefecture-level-and-above cities in mainland China spanning from 2007 to 2021. After conducting parallel trends tests, an overlapping DID model is constructed to empirically analyze the impact and mechanisms of PFTZ policy on urban economic resilience. Robustness checks including placebo tests and PSM-DID methods are employed. Additionally, the study conducts regional heterogeneity analysis and further investigates using spatial DID models. The findings suggest that PFTZ policy significantly enhances urban economic resilience by stimulating population density, consumer demand, and economic growth in host cities. Spatially, PFTZs in North China, East China, Central China, and South China show significant positive impacts on urban economic resilience, whereas those in Northeast China, Southwest China, and Northwest China do not. Spatial spillover effects indicate a positive impact on economic resilience within a radius of 100 km to 400 km, with the effect diminishing beyond 500 km. Based on these findings, policy recommendations are proposed.
Firstly, accelerating the construction of PFTZs to enhance urban economic resilience involves several key strategies. We should foster industrial clusters within these zones to promote synergistic development among upstream and downstream enterprises in the supply chain. Efforts are aimed at building internationally competitive PFTZs that attract migrant labor, enhance factors of production circulation efficiency, facilitate intercity population mobility, and implement proactive talent attraction policies. This initiative aims to create a favorable environment for career development and urban living, thereby attracting high-caliber talent from both domestic and international sources. Secondly, advancing trade liberalization, facilitation, and cost reduction will expand imports, optimize import structures, and introduce more high-quality and competitively priced foreign products, particularly those scarce domestically. This strategy aims to increase domestic effective supply, notably high-quality offerings, diversify consumer goods options, stimulate effective demand, meet consumer upgrading needs, and integrate domestic and foreign trade within PFTZs. It supports direct sourcing by domestic and foreign trade enterprises, precise matchmaking between importers and domestic demand, and expansion of domestic sales markets. Thirdly, in response to the specific development characteristics and challenges of PFTZs, we should strengthen monitoring and early warning mechanisms for urban economic operations, establish internal and external risk assessments and response mechanisms, enhance resilience to market fluctuations and external shocks, and promote sustainable economic cycles and continuous growth of cities.
Secondly, differentiated exploration strategies should be formulated for the construction of PFTZs. For the North China, East China, Central China, and South China regions, efforts should continue to consolidate the demonstration and leading role of PFTZs, create new environments of openness, and demonstrate areas of national institutional openness. Experiences should be promptly summarized, replicated, and promoted, further advancing high-level opening-up, implementing upgrade strategies for PFTZs, intensifying stress testing, expanding institutional openness in terms of rules, regulations, management, or standards, and taking the lead in aligning with international high-standard investment and trade rules. This effort aims to proactively build an institutional system and regulatory model that aligns with high-standard economic and trade rules, thereby consolidating and enhancing urban economic resilience. For the Northeast region, comprehensive assessments should deepen the replication and promotion of effective results, devising more precise and effective policy measures. Considering the Northeast region as a traditional industrial base with a large number of state-owned enterprises, the construction of PFTZs can also promote mixed ownership reform of state-owned enterprises, enhancing competitiveness and innovation of enterprises. For the Southwest and Northwest regions, greater reform autonomy should be granted to PFTZs, and infrastructure such as transportation, communication, and logistics should be strengthened to fill gaps. We should explore construction paths combined with regional location characteristics, resource endowments, and comparative advantages, such as developing distinctive agriculture, tourism, cultural industries, and related trade, attracting investments in high-end manufacturing and modern service industries. Simultaneously, we ought to strengthen risk prevention and control throughout the entire process of pilot reform.
Lastly, the spatial spillover effects of PFTZ policy on neighboring cities should be fully utilized. On the one hand, we should optimize the spatial layout of PFTZs, with new zones located beyond a 400 km radius of existing pilot cities; maximize the local economic effects of PFTZ policy and its radiating driving effects on surrounding cities; provide replicable pilot experiences for deepening reform and expanding opening-up in non-pilot cities within the region; formulate a comprehensive PFTZ policy framework and system from aspects such as spatial distribution, policy trials, and replication; and spread the dividends of institutional openness nationwide. On the other hand, we should designate cities hosting PFTZs as central cities, formulate integrated development strategies for urban agglomerations and metropolitan areas within a 400 km radius, improve regional infrastructure construction, enhance the connectivity and accessibility of intercity infrastructure, improve levels of interconnection in transportation, communication, logistics, etc., establish comprehensive intercity transportation network layout, promote free and convenient flow of factors and the efficient and rational allocation of resources, and enhance regional economic capacity and population carrying capacity. Relying on urban agglomerations and metropolitan areas, we should build a coordinated development pattern centered on cities hosting PFTZs, create new growth poles driven by institutional openness, and promote the construction of a new high-level open economic system, fully leveraging the policy effects of building PFTZs to enhance regional urban economic resilience.

Author Contributions

Conceptualization, X.-Q.A. and H.Y.; methodology, X.-Q.A. and H.Y.; software, X.-Q.A. and H.Y.; validation, H.Y. and X.-Q.A.; formal analysis, H.-L.Z.; investigation, H.-L.Z. and H.Y.; resources, X.-Q.A. and H.-L.Z.; data curation, H.Y.; writing—original draft preparation, H.Y. and X.-Q.A.; writing—review and editing, X.-Q.A. and H.-L.Z.; visualization, H.Y.; supervision, X.-Q.A. and H.-L.Z.; project administration, H.-L.Z.; funding acquisition, H.-L.Z. and X.-Q.A. All authors have read and agreed to the published version of the manuscript.

Funding

This research is funded by the general project of the National Social Science Foundation of China (grant number: 22BTJ067) and the major project grant of the Beijing Social Science Foundation of China (grant number: 21LLYJA006).

Data Availability Statement

The data are openly accessible and can be found in the “China Urban Statistical Yearbook”, various city statistical bureaus, the Guotaian database, the Development Research Centre of the State Council Information Website, the Zhongjing Website database, and the EPS database.

Conflicts of Interest

The authors declare no conflicts of interest.

Notes

1
The conventional approach of comparative analysis involves comparing the performance of an indicator across different cities with national or historical benchmarks. This method treats the observed values of the indicator in each city as actual observations, while using national or historical values of the same indicator as counterfactual expectations for the analysis. The difference between the actual observed values and the counterfactual expected values, or the proportion by which the actual observed values deviate from the counterfactual expected values, constructs a measure of relative variation to assess urban economic resilience.
2
Here, 3.9% ≈ 0.0207/0.5365878, where 0.0207 is the estimated coefficient of the PFTZs dummy variable, and 0.5365878 is the mean urban economic resilience of the treatment group.
3
Due to space limitations, detailed results of the placebo test are not reported here but are available upon request.
4
PSM is suitable for cross-sectional data, while DID is applicable to panel data. The differences in their applicability to data types somewhat affect the effectiveness of the PSM-DID method. Therefore, special approaches are needed to apply PSM-DID to panel data. For panel data, the predominant methods for PSM-DID application are mixed matching and period-by-period matching.
5
Due to space constraints, detailed results of the four parallel trend tests are not reported here but are available upon request.
6
North China encompasses areas such as Beijing and Tianjin; Northeast China includes Liaoning and nearby areas; East China covers areas such as Shanghai and Jiangsu; Central China comprises Henan and nearby areas; South China includes Guangdong and nearby areas; Southwest China covers areas such as Chongqing, Sichuan; and Northwest China encompasses Shaanxi, Gansu and nearby areas.
7
All global autocorrelation tests in this paper employ the two-tailed test. Due to space constraints, results for the global spatial autocorrelation test are not reported in this paper but are available upon request.
8
Due to space constraints, the main text presents only the local spatial autocorrelation test results under the 100 km threshold weight matrix. The complete results of the local spatial autocorrelation tests are available upon request.

References

  1. Wang, Z.; Wei, W. Regional economic resilience in China: Measurement and determinants. Reg. Stud. 2021, 55, 1228–1239. [Google Scholar] [CrossRef]
  2. Doner, R.F.; Schneider, B.R. The Middle-Income Trap: More Politics than Economics. World Politics 2016, 68, 608–644. [Google Scholar] [CrossRef]
  3. Ahmad, E. Multilevel responses to risks, shocks and pandemics: Lessons from the evolving Chinese governance model. J. Chin. Gov. 2022, 7, 291–319. [Google Scholar] [CrossRef]
  4. Fan, J.; Wang, H.; Zhang, X. A General Equilibrium Analysis of Achieving the Goal of Stable Growth by China’s Market Expectations in the Context of the COVID-19 Pandemic. Sustainability 2022, 14, 15072. [Google Scholar] [CrossRef]
  5. Brown, L.; Greenbaum, R.T. The role of industrial diversity in economic resilience: An empirical examination across 35 years. Urban Stud. 2017, 54, 1347–1366. [Google Scholar] [CrossRef]
  6. Papaioannou, S.K. ICT and economic resilience: Evidence from the COVID-19 pandemic. Econ. Model. 2023, 128, 106500. [Google Scholar] [CrossRef]
  7. Wen, H.; Liu, Y.; Zhou, F. New-type infrastructure and urban economic resilience: Evidence from China. Int. Rev. Econ. Financ. 2024, 96, 103560. [Google Scholar] [CrossRef]
  8. Wang, X.; Wang, L.; Zhang, X.; Fan, F. The spatiotemporal evolution of COVID-19 in China and its impact on urban economic resilience. China Econ. Rev. 2022, 74, 101806. [Google Scholar] [CrossRef]
  9. Jing, W.; Zheng, Y.; Shen, X. Does the establishment of Pilot Free Trade Zones promote international expansion of enterprises? Quasi-natural experimental evidence from China. PLoS ONE 2024, 19, e0308477. [Google Scholar] [CrossRef]
  10. Wang, B.; Chen, H.; Chen, R.; Zeng, W.; Ye, L. Does the Green Development of Cities Need High-Level Opening Up? A Quasi-Natural Experiment Based on China’s Pilot Free Trade Zone. Sustainability 2023, 15, 5810. [Google Scholar] [CrossRef]
  11. Weng, Y.; Li, W. Navigating Global Economic Dynamics: Institutional Innovation and Rule of Law in China’s Pilot Free Trade Zones. J. Knowl. Econ. 2024. [Google Scholar] [CrossRef]
  12. Fan, G.; Xie, X.; Chen, J.; Wan, Z.; Yu, M.; Shi, J. Has China’s Free Trade Zone policy expedited port production and development? Mar. Policy 2022, 137, 104951. [Google Scholar] [CrossRef]
  13. Bao, T.; Dai, Y.; Feng, Y.; Liu, S.; Wang, R. Trade liberalisation and trade and capital flows: Evidence from China pilot free trade zones. World Econ. 2023, 46, 1408–1422. [Google Scholar] [CrossRef]
  14. Su, X.; Wang, S. Impact of China’s free trade zones on the innovation performance of firms: Evidence from a quasi-natural experiment. Humanit. Soc. Sci. Commun. 2024, 11, 17. [Google Scholar] [CrossRef]
  15. Li, Z.; Pang, S.; Zhu, Z. The impact of pilot free trade zones on entrepreneurship: Evidence from a quasi-natural experiment in China. Socio-Econ. Plan. Sci. 2024, 92, 101801. [Google Scholar] [CrossRef]
  16. Woods, D.D. Four concepts for resilience and the implications for the future of resilience engineering. Reliab. Eng. Syst. Saf. 2015, 141, 5–9. [Google Scholar] [CrossRef]
  17. Martin, R.; Sunley, P. On the notion of regional economic resilience: Conceptualization and explanation. J. Econ. Geogr. 2015, 15, 1–42. [Google Scholar] [CrossRef]
  18. Hynes, W.; Trump, B.D.; Kirman, A.; Haldane, A.; Linkov, I. Systemic resilience in economics. Nat. Phys. 2022, 18, 381–384. [Google Scholar] [CrossRef]
  19. Tan, J.; Hu, X.; Hassink, R.; Ni, J. Industrial structure or agency: What affects regional economic resilience? Evidence from resource-based cities in China. Cities 2020, 106, 102906. [Google Scholar] [CrossRef]
  20. Tang, D.; Li, J.; Zhao, Z.; Boamah, V.; Lansana, D.D. The influence of industrial structure transformation on urban resilience based on 110 prefecture-level cities in the Yangtze River. Sustain. Cities Soc. 2023, 96, 104621. [Google Scholar] [CrossRef]
  21. Duan, W.; Madasi, J.D.; Khurshid, A.; Ma, D. Industrial structure conditions economic resilience. Technol. Forecast. Soc. Change 2022, 183, 121944. [Google Scholar] [CrossRef]
  22. Xu, S.; Zhong, M.; Wang, Y. Can innovative industrial clusters enhance urban economic resilience? A quasi-natural experiment based on an innovative pilot policy. Energy Econ. 2024, 134, 107544. [Google Scholar] [CrossRef]
  23. Du, Y.; Wang, Q.; Zhou, J. How does digital inclusive finance affect economic resilience: Evidence from 285 cities in China. Int. Rev. Financ. Anal. 2023, 88, 102709. [Google Scholar] [CrossRef]
  24. Shi, F.; Zheng, Y.; Liu, X. Does internet development affect urban economic resilience? New evidence from China. Appl. Econ. 2023, 56, 3117–3132. [Google Scholar] [CrossRef]
  25. Li, R.; Xu, M.; Zhou, H. Impact of high-speed rail operation on urban economic resilience: Evidence from local and spillover perspectives in China. Cities 2023, 141, 104498. [Google Scholar] [CrossRef]
  26. Wang, K.-L.; Jiang, W.; Miao, Z. Impact of high-speed railway on urban resilience in China: Does urban innovation matter? Socio-Econ. Plan. Sci. 2023, 87, 101607. [Google Scholar] [CrossRef]
  27. Hu, X.; Li, L.; Dong, K. What matters for regional economic resilience amid COVID-19? Evidence from cities in Northeast China. Cities 2022, 120, 103440. [Google Scholar] [CrossRef]
  28. Cheng, T.; Zhao, Y.; Zhao, C. Exploring the spatio-temporal evolution of economic resilience in Chinese cities during the COVID-19 crisis. Sustain. Cities Soc. 2022, 84, 103997. [Google Scholar] [CrossRef]
  29. Zhou, Q.; Zhu, M.; Qiao, Y.; Zhang, X.; Chen, J. Achieving resilience through smart cities? Evidence from China. Habitat Int. 2021, 111, 102348. [Google Scholar] [CrossRef]
  30. Feng, Y.; Lee, C.-C.; Peng, D. Does regional integration improve economic resilience? Evidence from urban agglomerations in China. Sustain. Cities Soc. 2023, 88, 104273. [Google Scholar] [CrossRef]
  31. Wan, M.; Kuang, H.; Jia, P.; Zhao, S. Research on the Decision Making of Value Chain Reconstruction of Chinese Port Enterprises under the Background of Free Trade Zone Policy. Systems 2024, 12, 91. [Google Scholar] [CrossRef]
  32. Lei, T.; Xie, P. Fostering Enterprise Innovation: The Impact of China’s Pilot Free Trade Zones. J. Knowl. Econ. 2023. [Google Scholar] [CrossRef]
  33. Xu, S.; Shen, R.; Zhang, Y.; Cai, Y. Fostering regional innovation efficiency through pilot free trade zones: Evidence from China. Econ. Anal. Policy 2024, 81, 356–367. [Google Scholar] [CrossRef]
  34. Jiang, Y.; Wang, H.; Liu, Z. The impact of the free trade zone on green total factor productivity—Evidence from the shanghai pilot free trade zone. Energy Policy 2021, 148, 112000. [Google Scholar] [CrossRef]
  35. Pan, A.; Cao, X. Pilot free trade zones and low-carbon innovation: Evidence from listed companies in China. Energy Econ. 2024, 136, 107752. [Google Scholar] [CrossRef]
  36. Liu, L.; Fu, P.; He, K.; Meng, Q.; Liu, X. Impact assessment and mechanism analysis of the construction of pilot free trade zones on the efficiency of urban green technology innovation. Ecol. Indic. 2024, 163, 112137. [Google Scholar] [CrossRef]
  37. Zhuo, C.; Mao, Y.; Rong, J. Policy dividend or “policy trap”? Environmental welfare of establishing free trade zone in China. Sci. Total Environ. 2021, 756, 143856. [Google Scholar] [CrossRef]
  38. Ling, J.; Peng, J.; Peng, T. Can institutional opening-up promote green development in cities? Evidence from China’s Pilot Free Trade Zones. J. Clean. Prod. 2024, 473, 143573. [Google Scholar] [CrossRef]
  39. Hufbauer, G.C.; Cimino-Isaacs, C. How will TPP and TTIP Change the WTO System? J. Int. Econ. Law 2015, 18, 679–696. [Google Scholar] [CrossRef]
  40. Wang, Y. Power of discourse in free trade agreement negotiation. Leiden J. Int. Law 2019, 32, 437–455. [Google Scholar] [CrossRef]
  41. Yao, D.; Whalley, J. The China (Shanghai) Pilot Free Trade Zone: Background, Developments and Preliminary Assessment of Initial Impacts. World Econ. 2016, 39, 2–15. [Google Scholar] [CrossRef]
  42. Xia, S.; Han, J.; Li, A.; Ye, P.; Zhang, H. Impact of Free Trade (Pilot) Zone Establishment on Urban Land Use Efficiency—Empirical Evidence from Cities in China. Land 2024, 13, 969. [Google Scholar] [CrossRef]
  43. Pei, C.-H. The tenth anniversary of free trade pilot zones in China: Fundamental experiences and enhancement strategies. China Econ. 2024, 19, 2–20. [Google Scholar]
  44. Chen, W.; Hu, Y.; Liu, B.; Wang, H.; Zheng, M. Does the establishment of Pilot Free Trade Test Zones promote the transformation and upgradation of trade patterns? Econ. Anal. Policy 2022, 76, 114–128. [Google Scholar] [CrossRef]
  45. Guan, C.; Huang, J.; Jiang, R.; Xu, W. The impact of pilot free trade zone on service industry structure upgrading. Econ. Anal. Policy 2023, 78, 472–491. [Google Scholar] [CrossRef]
  46. Okada, E. Management of Science-Intensive Organizations: Catalyzing Urban Resilience; Springer International Publishing: Berlin/Heidelberg, Germany, 2021. [Google Scholar]
  47. Tong, Y.; Liu, W.; Li, C.; Rong, Y.; Zhang, J.; Yang, Y.; Yan, Q.; Gao, S.; Liu, Y. County town shrinkage in China: Identification, spatiotemporal variations and the heterogeneity of influencing factors. J. Rural Stud. 2022, 95, 350–361. [Google Scholar] [CrossRef]
  48. Ge, Q.-Q.; Liu, X.-H.; Zhang, Y.-C.; Liu, S.-Q. Has China’s Free Trade Zone policy promoted the upgrading of service industry structure? Econ. Anal. Policy 2023, 80, 1171–1186. [Google Scholar] [CrossRef]
  49. Keynes, J.M. The General Theory of Employment, Interest and Money. J. Am. Stat. Assoc. 1936, 31, 791. [Google Scholar]
  50. O’Leary, J.J. Consumption as a Factor in Postwar Employment. Am. Econ. Rev. 1945, 35, 37–55. [Google Scholar]
  51. Liu, J.; Wang, X.; Guo, J. Port efficiency and its influencing factors in the context of Pilot Free Trade Zones. Transp. Policy 2021, 105, 67–79. [Google Scholar] [CrossRef]
  52. Zhou, Q.; Qi, Z. Urban economic resilience and human capital: An exploration of heterogeneity and mechanism in the context of spatial population mobility. Sustain. Cities Soc. 2023, 99, 104983. [Google Scholar] [CrossRef]
  53. Jiang, N.; Jiang, W. How does regional integration policy affect urban resilience? Evidence from urban agglomeration in China. Environ. Impact Assess. Rev. 2024, 104, 107298. [Google Scholar] [CrossRef]
  54. Chen, Y.; Li, K.; Zhou, Q. Spatial differentiation of urban economic resilience and its influencing factors: Evidence from Baidu migration big data. Technol. Econ. Dev. Econ. 2023, 29, 353–381. [Google Scholar] [CrossRef]
  55. Mai, X.; Zhan, C.; Chan, R.C.K. The nexus between (re)production of space and economic resilience: An analysis of Chinese cities. Habitat Int. 2021, 109, 102326. [Google Scholar] [CrossRef]
  56. Doran, J.; Fingleton, B. US Metropolitan Area Resilience: Insights from dynamic spatial panel estimation. Environ. Plan. A Econ. Space 2018, 50, 111–132. [Google Scholar] [CrossRef]
  57. Fingleton, B.; Palombi, S. Spatial panel data estimation, counterfactual predictions, and local economic resilience among British towns in the Victorian era. Reg. Sci. Urban Econ. 2013, 43, 649–660. [Google Scholar] [CrossRef]
  58. Chen, Y.; Fan, Z.; Gu, X.; Zhou, L.-A. Arrival of Young Talent: The Send-Down Movement and Rural Education in China. Am. Econ. Rev. 2020, 110, 3393–3430. [Google Scholar] [CrossRef]
  59. Yan, Y.; Huang, J. The role of population agglomeration played in China’s carbon intensity: A city-level analysis. Energy Econ. 2022, 114, 106276. [Google Scholar] [CrossRef]
  60. Liu, C.; Xie, W.; Wu, W.-Z.; Zhu, H. Predicting Chinese total retail sales of consumer goods by employing an extended discrete grey polynomial model. Eng. Appl. Artif. Intell. 2021, 102, 104261. [Google Scholar] [CrossRef]
  61. Lu, F.; Zeng, Q.; Bouri, E.; Tao, Y. Forecasting US GDP growth rates in a rich environment of macroeconomic data. Int. Rev. Econ. Financ. 2024, 95, 103476. [Google Scholar] [CrossRef]
  62. Xu, X.; Zhang, Y. Regional steel price index forecasts with neural networks: Evidence from east, south, north, central south, northeast, southwest, and northwest China. J. Supercomput. 2023, 79, 13601–13619. [Google Scholar] [CrossRef]
Figure 1. Spatial distribution of economic resilience in China’s 284 cities in 2007 and 2021. Note: The map was created using data from the National Geographic Information Public Service Platform of China, with no modifications made to the base map. The same applies to all other maps.
Figure 1. Spatial distribution of economic resilience in China’s 284 cities in 2007 and 2021. Note: The map was created using data from the National Geographic Information Public Service Platform of China, with no modifications made to the base map. The same applies to all other maps.
Systems 12 00392 g001
Figure 2. The years of construction for the six phases of PFTZs. Note: Information on the establishment of PFTZs was compiled from relevant policy documents from the website of the Chinese Government. This study covers a total of 51 PFTZs, excluding Sansha City (officially established in 2012) and other special administrative regions not within prefecture-level city boundaries, such as Xiong’an New Area (a national-level new district under Hebei Province), Honghe, and Dehong (autonomous prefectures under Yunnan Province).
Figure 2. The years of construction for the six phases of PFTZs. Note: Information on the establishment of PFTZs was compiled from relevant policy documents from the website of the Chinese Government. This study covers a total of 51 PFTZs, excluding Sansha City (officially established in 2012) and other special administrative regions not within prefecture-level city boundaries, such as Xiong’an New Area (a national-level new district under Hebei Province), Honghe, and Dehong (autonomous prefectures under Yunnan Province).
Systems 12 00392 g002
Figure 3. Parallel trend test results.
Figure 3. Parallel trend test results.
Systems 12 00392 g003
Figure 4. Balance test.
Figure 4. Balance test.
Systems 12 00392 g004
Figure 5. Local spatial autocorrelation test. Note: The horizontal axis represents the standardized city economic toughness, and the vertical axis is the spatially lagged value of city economic toughness, below. Limited to space, this paper only reports the Localized Moran Index for four years (2007, 2012, 2016, 2021) under the 100 km threshold weight matrix, and the rest of the results are kept for reference.
Figure 5. Local spatial autocorrelation test. Note: The horizontal axis represents the standardized city economic toughness, and the vertical axis is the spatially lagged value of city economic toughness, below. Limited to space, this paper only reports the Localized Moran Index for four years (2007, 2012, 2016, 2021) under the 100 km threshold weight matrix, and the rest of the results are kept for reference.
Systems 12 00392 g005
Table 1. Descriptive statistics.
Table 1. Descriptive statistics.
VariablesNMeanSDMin.Max.
ER42600.19390.4048−0.99071.8821
PFTZ42600.04840.214501
PGDP426010.37360.64844.539612.9486
Indstr42601.00130.56990.09435.3482
Gover42600.19150.10480.04261.4852
Finan42602.38621.24110.5621.3015
Educa42603.49263.59140.057762.3634
Popu42600.04330.03440.00050.3144
Consum426015.2091.11415.234218.7819
Growth42609.64654.7993−20.63109
Table 2. Benchmark regression results.
Table 2. Benchmark regression results.
Variables(1)(2)(3)(4)(5)(6)
PTTZ0.0081
(0.0071)
0.0174 ***
(0.0066)
0.0125 *
(0.0066)
0.0148 **
(0.0067)
0.0203 ***
(0.0067)
0.0207 ***
(0.0067)
PGDP 0.1523 ***
(0.0308)
0.1677 ***
(0.0344)
0.1802 ***
(0.0393)
0.1952 ***
(0.0369)
0.1944 ***
(0.0372)
Indstr 0.0442 ***
(0.0074)
0.0379 ***
(0.0070)
0.0338 ***
(0.0071)
0.0339 ***
(0.0071)
Finan 0.0139 ***
(0.0036)
0.0042
(0.0047)
0.0043
(0.0047)
Gover 0.3323 ***
(0.0914)
0.3308 ***
(0.0912)
Educa −0.0005
(0.0005)
City fixed effectsYesYesYesYesYesYes
Year fixed effectsYesYesYesYesYesYes
Constant term0.1935 ***
(0.0012)
−1.3872 ***
(0.3193)
−1.5912 ***
(0.3610)
−1.7477 ***
(0.4184)
−1.9400 ***
(0.3942)
−1.9299 ***
(0.3976)
N426042604260426042604260
adj. R-sq0.96550.96920.96980.97010.97110.9711
Note: Values in parentheses are robust standard errors, and *, **, and *** denote the corresponding p-value ≤ 10%, p-value ≤ 5%, and p-value ≤ 1%, respectively, below.
Table 3. PSM-DID model regression results.
Table 3. PSM-DID model regression results.
VariablesPooled MatchingPeriod-by-Period Matching
K-Nearest Neighbor Caliper MatchingKernel MatchingK-Nearest Neighbor Caliper MatchingKernel Matching
(1)(2)(3)(4)
PFTZ0.0423 ***
(0.0070)
0.0272 ***
(0.0063)
0.0423 ***
(0.0073)
0.0273 ***
(0.0065)
Control variablesYesYesYesYes
City fixed effectsYesYesYesYes
Year fixed effectsYesYesYesYes
Constant term−2.2268 ***
(0.1742)
−2.5803 ***
(0.9721)
−2.3738 ***
(0.1876)
−2.5505 ***
(0.1206)
N4260426042604260
adj. R-sq0.97590.97210.97790.9711
Note: Values in parentheses are robust standard errors, and *** denote the corresponding p-value ≤ 1%.
Table 4. Results of the analysis of mechanisms.
Table 4. Results of the analysis of mechanisms.
Variables(1)(2)(3)
PopuConsumGrowth
PFTZ0.0061 ***
(0.0010)
0.0586 ***
(0.0182)
0.4286 *
(0.2202)
Control variablesYesYesYes
City fixed effectsYesYesYes
Year fixed effectsYesYesYes
Constant term0.0916 ***
(0.0122)
12.2905 ***
(0.8474)
−6.8469
(5.6804)
N426042604260
adj. R-sq0.97810.95990.5937
Note: Values in parentheses are robust standard errors, and *, and *** denote the corresponding p-value ≤ 10%, and p-value ≤ 1%, respectively.
Table 5. Results of location heterogeneity analysis.
Table 5. Results of location heterogeneity analysis.
VariablesNorth ChinaNortheast ChinaEast ChinaCentral ChinaSouth ChinaSouthwest ChinaNorthwest China
(1)(2)(3)(4)(5)(6)(7)
PFTZ0.0496 **
(0.0227)
0.0188
(0.0189)
0.0410 ***
(0.0104)
0.0588 ***
(0.0131)
0.0528 ***
(0.0135)
−0.0635 **
(0.0251)
−0.0451 **
(0.0183)
Control variablesYesYesYesYesYesYesYes
City fixed effectsYesYesYesYesYesYesYes
Year fixed effectsYesYesYesYesYesYesYes
Constant term −3.8648 ***
(0.4044)
−3.4493 ***
(0.2071)
−2.4644 ***
(0.1779)
−2.8019 ***
(0.3815)
−1.5039 ***
(0.3147)
−0.2851
(0.3724)
−2.6672 ***
(0.3249)
N4655101155630570480450
adj. R-sq0.97890.97090.97740.97180.98150.97140.9430
Note: Values in parentheses are robust standard errors, and **, and *** denote the corresponding p-value ≤ 5%, and p-value ≤ 1%, respectively.
Table 6. Spatial DID model regression results.
Table 6. Spatial DID model regression results.
Variables100 km200 km300 km400 km500 km
(1)(2)(3)(4)(5)
W × ER0.1730 ***
(0.0287)
0.4976 ***
(0.0462)
0.6155 ***
(0.0481)
0.6519 ***
(0.0466)
0.6649 ***
(0.0483)
PFTZ0.0586 ***
(0.0080)
0.0367 ***
(0.0076)
0.0287 ***
(0.0090)
0.0244 **
(0.0103)
0.0251 ***
(0.0097)
W × PFTZ0.0144 *
(0.0083)
0.0304 *
(0.0176)
0.0410
(0.0263)
0.0502
(0.0401)
0.0352
(0.0437)
Residual term0.0072 ***
(0.0012)
0.0051 ***
(0.0008)
0.0045 ***
(0.0007)
0.0043 ***
(0.0006)
0.0043 ***
(0.0006)
Control variablesYesYesYesYesYes
City fixed effectsYesYesYesYesYes
Year fixed effectsYesYesYesYesYes
LM TestSpatial Lag Test13.71
[0.000]
32.81
[0.000]
21.88
[0.000]
11.65
[0.001]
2.98
[0.084]
Spatial Error Test641.94
[0.000]
2779.13
[0.000]
4500.11
[0.000]
5253.38
[0.000]
5355.82
[0.000]
LR TestSAR nested in SDM1.42
[0.2342]
5.10
[0.0240]
6.36
[0.0117]
6.52
[0.0107]
2.49
[0.1145]
SEM nested in SDM250.20
[0.0000]
1063.93
[0.0000]
621.38
[0.0000]
593.15
[0.0000]
314.34
[0.0000]
Wald TestSAR nested in SDM24.64
[0.0004]
60.02
[0.0000]
75.47
[0.0000]
61.01
[0.0000]
37.71
[0.0000]
SEM nested in SDM266.96
[0.0000]
730.70
[0.0000]
450.31
[0.0000]
312.09
[0.0000]
218.54
[0.0000]
N42604260426042604260
Note: Values in parentheses are robust standard errors, and *, **, and *** denote the corresponding p-value ≤ 10%, p-value ≤ 5%, and p-value ≤ 1%, respectively.
Table 7. Decomposition of spatial effects of PFTZs.
Table 7. Decomposition of spatial effects of PFTZs.
Type of Effects100 km200 km300 km400 km500 km
(1)(2)(3)(4)(5)
Aggregate effects0.0773 ***
(0.0125)
0.1295 ***
(0.0326)
0.1762 ***
(0.0613)
0.2083 **
(0.1062)
0.1683
(0.1220)
Direct effects0.0603 ***
(0.0085)
0.0424 ***
(0.0079)
0.0340 ***
(0.0090)
0.0289 ***
(0.0100)
0.0278 ***
(0.0099)
Spatial spillover effects0.0170 ***
(0.0063)
0.0871 ***
(0.0301)
0.1422 **
(0.0604)
0.1794 *
(0.1071)
0.1405
(0.1212)
Percentage of spatial spillover effects22.0%67.3%80.7%86.1%insignificant
Note: Total effect = Direct effect + space spillover effect. Spatial spillover effect share = spatial spillover effect/total effect. Values in parentheses are robust standard errors, and *, **, and *** denote the corresponding p-value ≤ 10%, p-value ≤ 5%, and p-value ≤ 1%, respectively.
Disclaimer/Publisher’s Note: The statements, opinions and data contained in all publications are solely those of the individual author(s) and contributor(s) and not of MDPI and/or the editor(s). MDPI and/or the editor(s) disclaim responsibility for any injury to people or property resulting from any ideas, methods, instructions or products referred to in the content.

Share and Cite

MDPI and ACS Style

Ai, X.-Q.; Yang, H.; Zhu, H.-L. Can Institutional Openness Boost China’s Urban Economic Resilience? Evidence from Pilot Free Trade Zones. Systems 2024, 12, 392. https://doi.org/10.3390/systems12100392

AMA Style

Ai X-Q, Yang H, Zhu H-L. Can Institutional Openness Boost China’s Urban Economic Resilience? Evidence from Pilot Free Trade Zones. Systems. 2024; 12(10):392. https://doi.org/10.3390/systems12100392

Chicago/Turabian Style

Ai, Xiao-Qing, Hang Yang, and He-Liang Zhu. 2024. "Can Institutional Openness Boost China’s Urban Economic Resilience? Evidence from Pilot Free Trade Zones" Systems 12, no. 10: 392. https://doi.org/10.3390/systems12100392

APA Style

Ai, X.-Q., Yang, H., & Zhu, H.-L. (2024). Can Institutional Openness Boost China’s Urban Economic Resilience? Evidence from Pilot Free Trade Zones. Systems, 12(10), 392. https://doi.org/10.3390/systems12100392

Note that from the first issue of 2016, this journal uses article numbers instead of page numbers. See further details here.

Article Metrics

Back to TopTop