Hepatoprotective Effects and Antioxidant Properties of a Herbal Detoxifying Formula Against Chlorpyrifos-Induced Toxicity in Sprague-Dawley Rats
Simple Summary
Abstract
1. Introduction
2. Materials and Methods
2.1. Preparation of the Plant Extract and Formula Quality Control
2.1.1. Plant Collection
2.1.2. Preparation and Extraction
2.1.3. Quality Control of Formula 04
Determination of Loss on Drying
Determination of Foreign Matter
Determination of Total Ash
Determination of Acid-Insoluble Ash
Determination of Ethanol-Soluble Extractive Value
Determination of Water-Soluble Extractive Value
2.2. Compact Mass Spectrometry (CMS) of Formula 04
2.3. Antioxidant Activity Study
2.3.1. DPPH Radical Scavenging Activity Assay
2.3.2. Superoxide Radical Scavenging Activity Assay
2.4. Study of the Effect of Test Substances on Cultured Liver Cells
2.4.1. Cell Line and Cell Culture
2.4.2. Cell Viability Assay
2.4.3. Apoptosis Assay
2.5. Anti-Pesticide Potential of Detoxifying Formulas in Experimental Animals
2.5.1. Experimental Animals
- Group 1 Normal control: received distilled water only
- Group 2 CPF control: received CPF (16 mg/kg BW)
- Group 3 F04 low dose: received Formula 04 in a cyclic dosing regimen of 200, 100, and 30 mg/kg BW on alternating days
- Group 4 F04 medium dose: received Formula 04 in a cyclic dosing regimen of 400, 200, and 60 mg/kg BW on alternating days
- Group 5 F04 high dose: received Formula 04 in a cyclic dosing regimen of 800, 400, and 120 mg/kg BW on alternating days
2.5.2. Acetylcholinesterase (AChE) Activity Assay
- A = absorbance
- 200 = equivalent activity (units/L) of the calibrator when assayed is read at 2 and 10 min
- n = dilution factor
2.5.3. Oxidative Stress Biomarkers Determination
2.5.4. Hematology and Blood Chemistry Analysis
2.5.5. Histological and Pathological Examination
2.6. Statistical Analysis
3. Results
3.1. Preparation of Plant Extracts and Quality Control of Formula 04
3.2. Chemical Composition by Compact Mass Spectrometry (CMS) of Formula 04
3.3. Screening of Antioxidant Activity
3.4. Cytotoxic and Apoptotic Effects of Test Substances in Cultured Liver Cells
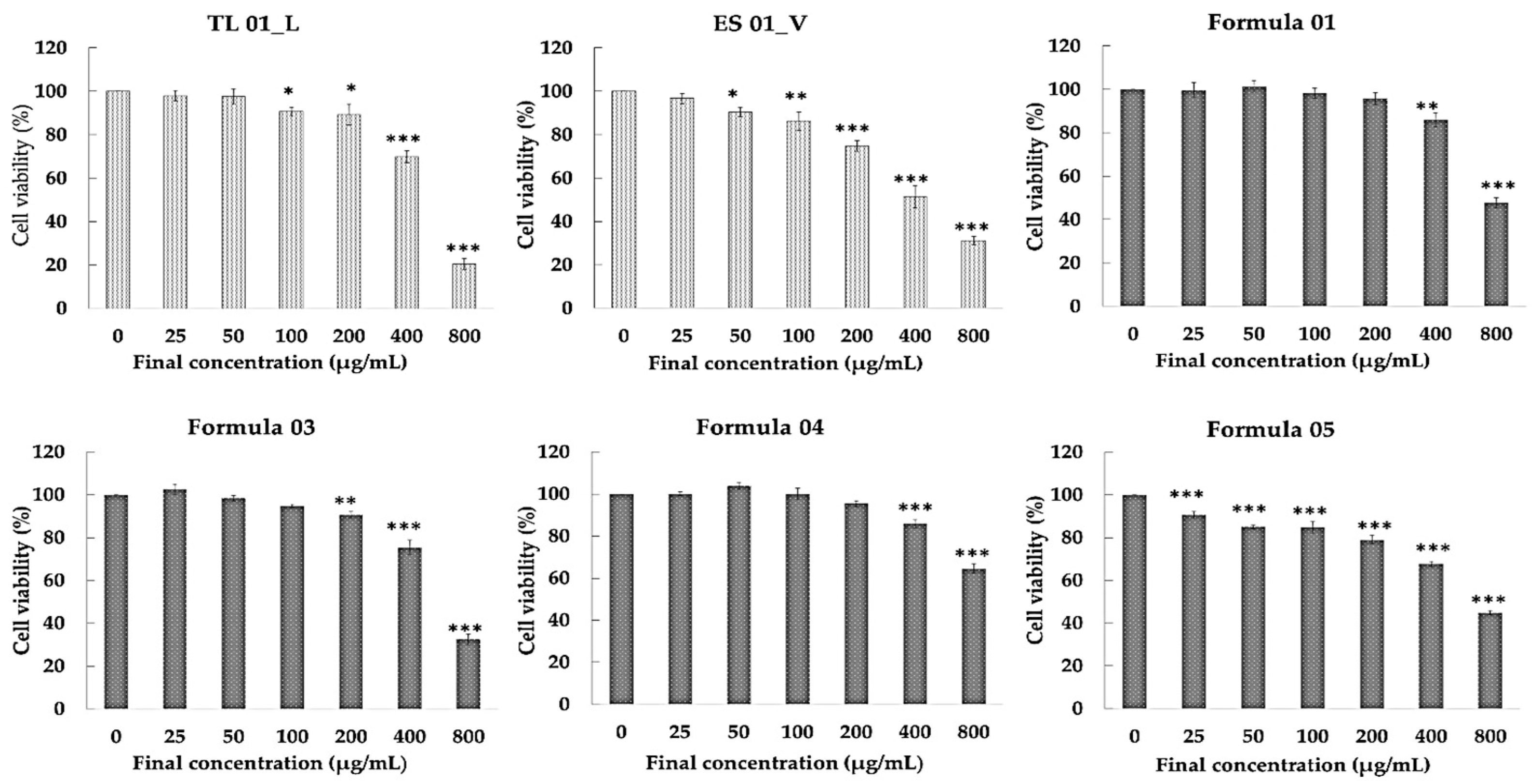
3.4.1. Effects of Test Substances on Cell Viability
3.4.2. Apoptotic Effects of Formula 04
3.5. Effects of Formula 04 on Pesticide-Induced Toxicity in Experimental Animals
3.5.1. Rat Body Weight and Rat Organ Weight Changes
3.5.2. Effect of Formula 04 Extract on Acetylcholinesterase Enzyme and Antioxidant Biomarkers
3.5.3. Impact of Formula 04 Extract on Hematological Parameters
3.5.4. Impact of Formula 04 Extract on Blood Chemistry Profile
3.5.5. Effects of Formula 04 on Chlorpyrifos-Induced Liver Histopathology
4. Discussion
5. Conclusions
Author Contributions
Funding
Institutional Review Board Statement
Informed Consent Statement
Data Availability Statement
Acknowledgments
Conflicts of Interest
References
- Hodges, R.E.; Minich, D.M. Modulation of metabolic detoxification pathways using foods and food-derived components: A scientific review with clinical application. J. Nutr. Metab. 2015, 2015, 760689. [Google Scholar] [CrossRef] [PubMed]
- Alnouti, Y. Bile acid sulfation: A pathway of bile acid elimination and detoxification. Toxicol. Sci. 2009, 108, 225–246. [Google Scholar] [CrossRef]
- Santacroce, G.; Gentile, A.; Soriano, S.; Novelli, A.; Lenti, M.V.; Di Sabatino, A. Glutathione: Pharmacological aspects and implications for clinical use in non-alcoholic fatty liver disease. Front. Med. 2023, 10, 1124275. [Google Scholar] [CrossRef] [PubMed]
- Traber, M.G.; Stevens, J.F. Vitamins C and E: Beneficial effects from a mechanistic perspective. Free Radic. Biol. Med. 2011, 51, 1000–1013. [Google Scholar] [CrossRef]
- Andrés, C.M.C.; Pérez de la Lastra, J.M.; Juan, C.A.; Plou, F.J.; Pérez-Lebeña, E. Chemistry of hydrogen peroxide formation and elimination in mammalian cells, and its role in various pathologies. Stresses 2022, 2, 256–274. [Google Scholar] [CrossRef]
- Surai, P.F. Silymarin as a natural antioxidant: An overview of the current evidence and perspectives. Antioxidants 2015, 4, 204–247. [Google Scholar] [CrossRef]
- Pfingstgraf, I.O.; Taulescu, M.; Pop, R.M.; Orăsan, R.; Vlase, L.; Uifalean, A.; Todea, D.; Alexescu, T.; Toma, C.; Pârvu, A.E. Protective effects of Taraxacum officinale L. (dandelion) root extract in experimental acute on chronic liver failure. Antioxidants 2021, 10, 504. [Google Scholar] [CrossRef]
- Sharifi-Rad, J.; Quispe, C.; Iriti, M.; Pezzani, R.; Vacca, R.A.; Akram, M.; Patel, S.; Salehi, B.; Sharifi-Rad, M. Turmeric and its major compound curcumin on health: Bioactive effects and safety profiles for food, pharmaceutical, biotechnological and medicinal applications. Front. Pharmacol. 2020, 11, 1021. [Google Scholar] [CrossRef]
- Farzaei, M.H.; Zobeiri, M.; Parvizi, F.; El-Senduny, F.F.; Marmouzi, I.; Coy-Barrera, E.; Naseri, R.; Nabavi, S.M.; Rahimi, R.; Abdollahi, M. Curcumin in liver diseases: A systematic review of the cellular mechanisms of oxidative stress and clinical perspective. Nutrients 2018, 10, 855. [Google Scholar] [CrossRef] [PubMed]
- Abdel-Azeem, A.S.; Hegazy, A.M.; Ibrahim, K.S.; Farrag, A.R.H.; El-Sayed, E.M. Hepatoprotective, antioxidant, and ameliorative effects of ginger (Zingiber officinale Roscoe) and vitamin E in acetaminophen-treated rats. J. Diet Suppl. 2013, 10, 195–209. [Google Scholar] [CrossRef]
- Cichoz-Lach, H.; Michalak, A. Oxidative stress as a crucial factor in liver diseases. World J. Gastroenterol. 2014, 20, 8082–8091. [Google Scholar] [CrossRef]
- Di Napoli, A.; Zucchetti, P. A comprehensive review of the benefits of Taraxacum officinale on human health. Bull. Natl. Res. Cent. 2021, 45, 110. [Google Scholar] [CrossRef]
- Darbar, S.; Agarwal, S.; Saha, S.; Banerjee Mukherjee, M. Ameliorative effect of polyherbal formulation for restoring liver health: A sysmtematic review. J. Ayurveda Integr. Med. 2024, 4, 71–83. [Google Scholar] [CrossRef]
- Tatiya, A.U.; Surana, S.J.; Sutar, M.P.; Gamit, N.H. Hepatoprotective effect of polyherbal formulation against various hepatotoxic agents in rats. Pharmacogn. Res. 2012, 4, 50–56. [Google Scholar] [CrossRef]
- Aladejana, E.B.; Aladejana, A.E. Hepatoprotective activities of polyherbal formulations: A systematic review. J. Med. Plants Econ. Dev. 2023, 7, 206. [Google Scholar] [CrossRef]
- Kunnaja, P.; Chansakaow, S.; Wittayapraparat, A.; Yusuk, P.; Sireeratawong, S. In vitro antioxidant activity of Litsea martabanica root extract and its hepatoprotective effect on chlorpyrifos-induced toxicity in rats. Molecules 2021, 26, 1906. [Google Scholar] [CrossRef]
- Taychaworaditsakul, W.; Sawong, S.; Intatham, S.; Chansakaow, S.; Kunnaja, P.; Chewonarin, T.; Jaijoy, K.; Wittayapraparat, A.; Yusuk, P.; Sireeratawong, S. The ameliorative effect of Litsea martabanica (Kurz) Hook. f. leaf water extract on chlorpyrifos-induced toxicity in rats and its antioxidant potentials. Foods 2024, 13, 1695. [Google Scholar] [CrossRef]
- Taychaworaditsakul, W.; Suriyong, W.; Pongpirul, K.; Kunnaja, P.; Intatham, S.; Oonsivilai, A.; Oonsivilai, R. The safety assessment of mutagenicity, acute and chronic toxicity of the Litsea martabanica (Kurz) Hook.f. water leaf extract. Toxics 2024, 12, 470. [Google Scholar] [CrossRef]
- Chuthaputti, A. Laurel clock vine (Thunbergia laurifolia Lindl.): A detoxifying herb. J. Thai Tradit. Altern. Med. 2010, 8, 211–219. [Google Scholar]
- Intatham, S.; Taychaworaditsakul, W.; Kunnaja, P.; Sriwanthana, B.; Thammason, N.; Oonsivilai, A.; Oonsivilai, R. Anti-hangover and hepatoprotective effects of the leaf extract of Thunbergia laurifolia in Sprague-Dawley rats. Pharmaceuticals 2025, 18, 685. [Google Scholar] [CrossRef]
- Pramyothin, P.; Chirdchupunsare, H.; Rungsipipat, A.; Chaichantipyuth, C. Hepatoprotective activity of Thunbergia laurifolia Linn extract in rats treated with ethanol: In vitro and in vivo studies. J. Ethnopharmacol. 2005, 102, 408–411. [Google Scholar] [CrossRef] [PubMed]
- Wonkchalee, O.; Boonmars, T.; Aromdee, C.; Puapairoj, P.; Srisawangwong, T.; Laummaunwai, P.; Aukkanimart, R.; Kaewkes, S.; Pinlaor, S. Anti-inflammatory, antioxidant and hepatoprotective effects of Thunbergia laurifolia Linn. on experimental opisthorchiasis. Parasitol. Res. 2012, 111, 353–359. [Google Scholar] [CrossRef] [PubMed]
- Sirisangtragul, W.; Kaewboonraung, P.; Dulyasittiporn, W. Effect of Thunbergia laurifolia Lindl. on cytochrome P450 and P-glycoprotein activity and the efflux of malathion in everted intestine. Thai J. Toxicol. 2017, 32, 9–25. [Google Scholar]
- Chan, E.W.C.; Eng, S.Y.; Tan, Y.P.; Wong, Z.C. Phytochemistry and pharmacological properties of Thunbergia laurifolia: A review. Pharmacogn. J. 2011, 3, 1–6. [Google Scholar] [CrossRef]
- Gayathri, P.; Prabha, D.C. In vitro anticholinesterase and antioxidant activity of Thunbergia coccinea leaves extract. Int. J. Health Sci. 2022, 6, 11649–11663. [Google Scholar] [CrossRef]
- Chen, R.R.; Li, D.P.; Fu, Z.W.; Yang, Z.W.; Li, Q.; Li, W.K. Anthraquinones extract from Morinda angustifolia Roxb. root alleviates hepatic injury induced by carbon tetrachloride through inhibition of hepatic oxidative stress. Evid. Based Complement. Alternat. Med. 2020, 2020, 9861571. [Google Scholar] [CrossRef]
- Hasan, M.; Zilani, M.N.; Akter, S.; Hasan, M.M.; Mostofa, F.; Hasan, R.; Alam, F.; Khatun, M.A.; Shahriar, M.; Al-Mansur, M.A.; et al. UHPLC-Q/Orbitrap/MS based chemical fingerprinting and hepatoprotective potential of medicinal plant Morinda angustifolia Roxb. S. Afr. J. Bot. 2022, 148, 561–572. [Google Scholar] [CrossRef]
- Sharma, V.; Gautam, D.N.S.; Radu, A.-F.; Behl, T.; Bungau, S.G.; Vesa, C.M. Reviewing the traditional/modern uses, phytochemistry, essential oils/extracts and pharmacology of Embelia ribes Burm. Antioxidants 2022, 11, 1359. [Google Scholar] [CrossRef]
- Phomkaivon, N.; Areekul, V. Screening for antioxidant activity in selected Thai wild plants. Asian J. Food Agro-Ind. 2009, 2, 433–440. [Google Scholar]
- Jomova, K.; Valko, M.; Baros, S.; Drahokoupil, M.; Stasik, I.; Kysel, O.; Baciak, L.; Liptakova, E. Flavonoids and their role in oxidative stress, inflammation, and human diseases. Chem. Biol. Interact. 2025, 413, 111489. [Google Scholar] [CrossRef]
- Machado, I.F.; Machado, L.; Vitorino, R.; Neuparth, M.J.; Rolo, A.P.; Palmeira, C.M.; Ramalho, R. Targeting oxidative stress with polyphenols to fight liver diseases. Antioxidants 2023, 12, 1212. [Google Scholar] [CrossRef]
- Lu, Y.H.; Hong, Y.; Zhang, T.Y.; Chen, Y.X.; Wei, Z.J.; Gao, C.Y. Rosmarinic acid exerts anti-inflammatory effect and relieves oxidative stress via Nrf2 activation in carbon tetrachloride-induced liver damage. Food Nutr. Res. 2022, 66, 8359. [Google Scholar] [CrossRef] [PubMed]
- Montanarí, C.; Cattaneo, C.; Ghia, F.; Ranzato, E.; Martinotti, S. Chlorpyrifos induces cytotoxicity via oxidative stress and mitochondrial dysfunction in HepG2 cells. Food Chem. Toxicol. 2024, 192, 114933. [Google Scholar] [CrossRef] [PubMed]
- Ma, P.; Wu, Y.; Zeng, Q.; Gan, Y.; Chen, J.; Ye, X.; Yang, X. Oxidative damage induced by chlorpyrifos in the hepatic and renal tissue of Kunming mice and the antioxidant role of vitamin E. Food Chem. Toxicol. 2013, 58, 177–183. [Google Scholar] [CrossRef]
- Department of Medical Sciences, Ministry of Public Health, Thailand. THP; Office of Notional Buddishm Press: Bangkok, Thailand, 2018. [Google Scholar]
- Lee, K.J.; Park, M.; Choi, H.; Lee, H.; Park, H.M.; Kim, K.H.; Kim, H. Antioxidant and anti-inflammatory activity determination of one hundred kinds of pure chemical compounds using offline and online screening HPLC assay. Evid. Based Complement. Alternat. Med. 2015, 2015, 165457. [Google Scholar] [CrossRef]
- Phull, A.R.; Abbas, Q.; Ali, A.; Raza, H.; Zia, M.; Haq, I.U. Antioxidant, cytotoxic and antimicrobial activities of green synthesized silver nanoparticles from crude extract of Bergenia ciliata. Future J. Pharm. Sci. 2016, 2, 31–36. [Google Scholar] [CrossRef]
- Jing, L.; Ma, H.; Fan, P.; Gao, R.; Jia, Z. Antioxidant potential, total phenolic and total flavonoid contents of Rhododendron anthopogonoides and its protective effect on hypoxia-induced injury in PC12 cells. BMC Complement. Altern. Med. 2015, 15, 287. [Google Scholar] [CrossRef]
- Bajpai, V.K.; Agrawal, P.; Bang, B.H.; Park, Y.H. Phytochemical analysis, antioxidant and antilipid peroxidation effects of a medicinal plant, Adhatoda vasica. Front. Life Sci. 2015, 8, 305–312. [Google Scholar] [CrossRef]
- Vichai, V.; Kirtikara, K. Sulforhodamine B colorimetric assay for cytotoxicity screening. Nat. Protoc. 2006, 1, 1112–1116. [Google Scholar] [CrossRef]
- Skehan, P.; Storeng, R.; Scudiero, D.; Monks, A.; McMahon, J.; Vistica, D.; Warren, J.T.; Bokesch, H.; Kenney, S.; Boyd, M.R. New colorimetric cytotoxicity assay for anticancer-drug screening. J. Natl. Cancer Inst. 1990, 82, 1107–1112. [Google Scholar] [CrossRef]
- Wlodkowic, D.; Skommer, J.; Darzynkiewicz, Z. Flow cytometry-based apoptosis detection. Methods Mol. Biol. 2009, 559, 19–32. [Google Scholar] [CrossRef] [PubMed]
- Abd-El-hameed, S.Y.; Mohamed, A.A.; Thabet, H.Z. Potential ameliorative role of silymarin against methyl parathion-induced oxidative stress and hepato-renal toxicity in albino rats. Mansoura J. Forensic Med. Clin. Toxicol. 2009, 17, 15–40. [Google Scholar]
- Sireeratawong, S.; Tipduangta, P.; Chansakaow, S.; Jaijoy, K. The Study of Pharmacology and Toxicology of Medicinal Plants/Traditional Medicine in the Tonic Herb (Research Report No. 2559); Department of Pharmacology, Faculty of Medicine, Chiang Mai University: Chiang Mai, Thailand, 2017. [Google Scholar]
- Mansour, S.A.; Mossa, A.-T.H. Oxidative damage, biochemical and histopathological alterations in rats exposed to chlorpyrifos and the antioxidant role of zinc. Pestic. Biochem. Physiol. 2010, 96, 14–23. [Google Scholar] [CrossRef]
- Tanvir, E.M.; Afroz, R.; Chowdhury, M.A.Z.; Gan, S.H.; Karim, N.; Islam, M.N. A model of chlorpyrifos distribution and its biochemical effects on the liver and kidneys of rats. Hum. Exp. Toxicol. 2016, 35, 991–1004. [Google Scholar] [CrossRef]
- EFSA Panel on Plant Protection Products and their Residues (PPR). Conclusion on the peer review of the pesticide human health risk assessment of the active substance chlorpyrifos. EFSA J. 2014, 12, 3640. [Google Scholar] [CrossRef]
- Ellman, G.L.; Courtney, K.D.; Andres, V., Jr.; Feather-Stone, R.M. A new and rapid colorimetric determination of acetylcholinesterase activity. Biochem. Pharmacol. 1961, 7, 88–95. [Google Scholar] [CrossRef]
- Seki, E.; Schwabe, R.F. Hepatic inflammation and fibrosis: Functional links and key pathways. Hepatology 2015, 61, 1066–1079. [Google Scholar] [CrossRef]
- Schueller, F.; Roy, S.; Vucur, M.; Gautheron, J.; Luedde, T. The role of miRNAs in the pathophysiology of liver diseases and toxicity. Int. J. Mol. Sci. 2018, 19, 261. [Google Scholar] [CrossRef]
- Roehlen, N.; Crouchet, E.; Baumert, T.F. Liver fibrosis: Mechanistic concepts and therapeutic perspectives. Cells 2020, 9, 875. [Google Scholar] [CrossRef]
- Allameh, A.; Niayesh-Mehr, R.; Aliarab, A.; Sebastiani, G.; Pantopoulos, K. Oxidative stress in liver pathophysiology and disease. Antioxidants 2023, 12, 1653. [Google Scholar] [CrossRef]
- Zhang, B.; Lv, F.; Yang, J. Pesticides toxicity, removal and detoxification in plants: A review. Agronomy 2024, 14, 1260. [Google Scholar] [CrossRef]
- Han, B.; Li, S.; Zheng, X.; Chen, T.; Zhang, Y.; Jiang, X. Deltamethrin induces liver fibrosis in quails via activation of the TGF-β1/Smad signaling pathway. Environ. Pollut. 2020, 259, 113870. [Google Scholar] [CrossRef] [PubMed]
- Pei, Q.; Yi, Q.; Tang, L. Liver fibrosis resolution: From molecular mechanisms to therapeutic opportunities. Int. J. Mol. Sci. 2023, 24, 9671. [Google Scholar] [CrossRef] [PubMed]
- Lushchak, V.I.; Matviishyn, T.M.; Husak, V.V.; Storey, J.M.; Storey, K.B. Pesticide toxicity: A mechanistic approach. EXCLI J. 2018, 17, 1101–1136. [Google Scholar] [CrossRef]
- Sajad, M.; Shabir, S.; Singh, S.K.; Bhardwaj, R.; Alsanie, W.F.; Alamri, A.S.; Alhomrani, M.; Alsharif, A.; Vamanu, E.; Singh, M.P. Role of nutraceutical against exposure to pesticide residues: Power of bioactive compounds. Front. Nutr. 2024, 11, 1342881. [Google Scholar] [CrossRef]
- Vongthip, W.; Sillapachaiyaporn, C.; Kim, K.W.; Sukprasansap, M.; Tencomnao, T. Thunbergia laurifolia leaf extract inhibits glutamate-induced neurotoxicity and cell death through mitophagy signaling. Antioxidants 2021, 10, 1678. [Google Scholar] [CrossRef]
- Rocejanasaroj, A.; Tencomnao, T.; Sangkitikomol, W. Thunbergia laurifolia extract minimizes the adverse effects of toxicants by regulating P-glycoprotein activity, CYP450, and lipid metabolism gene expression in HepG2 cells. Genet. Mol. Res. 2014, 13, 205–219. [Google Scholar] [CrossRef] [PubMed]
- Elias, T.; Shanmugam, R.; Rajendran, R.; Almarzooqi, S.; Khadraoui, O.; Alqaydi, A.; Gevariya, N.; Khan, F. In vitro analysis of the antioxidant and antiviral activity of embelin against herpes simplex virus-1. Microorganisms 2021, 9, 434. [Google Scholar] [CrossRef]
- Mhaskar, M.; Joshi, S.; Chavan, B.; Joglekar, A.; Barve, N.; Patwardhan, A. Status of Embelia ribes Burm f. (Vidanga), an important medicinal species of commerce from northern Western Ghats of India. Curr. Sci. 2011, 100, 547–552. [Google Scholar]
- Qin, Y.; Chen, J.P.; Li, C.Y.; Zhu, Y.P.; Li, B.L.; Luo, M.; Lin, Q.; Xie, J.Y. Flavonoid glycosides from the fruits of Embelia ribes and their anti-oxidant and α-glucosidase inhibitory activities. J. Asian Nat. Prod. Res. 2021, 23, 724–730. [Google Scholar] [CrossRef]
- Prommajak, T.; Kim, S.M.; Pan, C.-H.; Kim, S.M.; Surawang, S.; Rattanapanone, N. Identification of Antioxidants in Lamiaceae Vegetables by HPLC-ABTS and HPLC-MS. CMU J. Nat. Sci. 2016, 15, 21–38. [Google Scholar] [CrossRef]
- Khojasteh, A.; Mirjalili, M.H.; Alcalde, M.A.; Cusido, R.M.; Eibl, R.; Palazon, J. Powerful Plant Antioxidants: A New Biosustainable Approach to the Production of Rosmarinic Acid. Antioxidants 2020, 9, 1273. [Google Scholar] [CrossRef] [PubMed]
- Duval, F.; Moreno-Cuevas, J.E.; González-Garza, M.T.; González-Espinoza, C.D.; Villarreal-Treviño, M.G.; Rodríguez-Rocha, H.; Escandón-Valle, H. Liver fibrosis and mechanisms of the protective action of medicinal plants targeting inflammation and the immune response. Int. J. Inflamm. 2015, 2015, 943497. [Google Scholar] [CrossRef]
- Xu, L.; Hui, A.Y.; Albanis, E.; Li, J.; Woolford, J.; Heathcote, J.; Gros, P. Human hepatic stellate cell lines, LX-1 and LX-2: New tools for analysis of hepatic fibrosis. Gut 2005, 54, 142–151. [Google Scholar] [CrossRef]
- Costigan, A.; Hollville, E.; Martin, S.J. Discriminating between apoptosis, necrosis, necroptosis, and ferroptosis by microscopy and flow cytometry. Curr. Protoc. 2023, 3, e951. [Google Scholar] [CrossRef]
- Srimawong, C.; Torkaew, P.; Putalun, W. Polyphenol-enriched extraction from Thunbergia laurifolia using natural deep eutectic solvents for enhanced antioxidant and anti-inflammatory activities. RSC Adv. 2025, 15, 22086–22096. [Google Scholar] [CrossRef] [PubMed]
- Chen, C.; Liu, Y.; Shen, Y.; Sun, X.; Ma, M.; Chen, Y.; Li, C.; Wang, Y.; Chen, B. Rosmarinic acid, the active component of Rubi Fructus, induces apoptosis of SGC-7901 and HepG2 cells through mitochondrial pathway and exerts anti-tumor effect. Naunyn Schmiedebergs Arch. Pharmacol. 2023, 396, 3743–3755. [Google Scholar] [CrossRef] [PubMed]
- Kamath, A.J.; Chandy, A.S.; Joseph, A.A.; Gorantla, J.N.; Donadkar, A.D.; Nath, L.R.; Sharifi-Rad, J.; Calina, D. Embelin: A multifaceted anticancer agent with translational potential in targeting tumor progression and metastasis. EXCLI J. 2023, 22, 1311–1329. [Google Scholar] [CrossRef]
- Ko, J.-H.; Lee, S.-G.; Yang, W.-M.; Kim, S.-M.; Kim, J.-B.; Kim, Y.-H.; Ko, S.-G. The application of embelin for cancer prevention and therapy. Molecules 2018, 23, 621. [Google Scholar] [CrossRef]
- Li, S.; Zhang, Y.; Zhang, Y.; Wang, Y.; Li, C. The potential and action mechanism of polyphenols in the treatment of liver diseases. Oxidative Med. Cell. Longev. 2018, 2018, 8394818. [Google Scholar] [CrossRef]
- El-Lakkany, N.M.; El-Maadawy, W.H.; El-Din, S.H.S.; Hammam, O.A.; Mohamed, S.H.; Ezzat, S.M.; Safar, M.M.; Saleh, S. Rosmarinic acid attenuates hepatic fibrogenesis via suppression of hepatic stellate cell activation/proliferation and induction of apoptosis. Asian Pac. J. Trop. Med. 2017, 10, 444–453. [Google Scholar] [CrossRef]
- Autade, K.A.; Pandhare, R.B. Toxicity Profiling of a Polyherbal formulation for hepatic health: Acute and subacute evaluation. Toxicol. Res. 2025, 14, tfaf040. [Google Scholar]
- OECD. Test No. 423: Acute Oral Toxicity—Acute Toxic Class Method; OECD Guidelines for the Testing of Chemicals, Section 4; OECD Publishing: Paris, France, 2018. [Google Scholar] [CrossRef]
- International Council for Harmonisation (ICH). ICH Guideline S7A: Safety Pharmacology Studies for Human Pharmaceuticals; European Medicines Agency: Amsterdam, The Netherlands, 2009; Available online: https://database.ich.org/sites/default/files/S7A_Guideline.pdf (accessed on 17 December 2025).
- World Health Organization. Assessment of the Safety of Chemicals in Food: Principles and Methods (WHO Technical Report Series, No. 970); WHO: Geneva, Switzerland, 2012. [Google Scholar]
- Alipanah, H.; Kabi Doraghi, H.; Sayadi, M.; Nematollahi, A.; Soltani Hekmat, A.; Nejati, R. Subacute toxicity of chlorpyrifos on histopathological damages, antioxidant activity, and pro-inflammatory cytokines in the rat model. Environ. Toxicol. 2022, 37, 880–888. [Google Scholar] [CrossRef]
- Akhtar, N.; Srivastava, M.K.; Raizada, R.B. Assessment of Chlorpyrifos Toxicity on Certain Organs in Rat, Rattus norvegicus. J. Environ. Biol. 2009, 30, 1047–1053. [Google Scholar]
- Abduh, M.S.; Alruhaimi, R.S.; Alqhtani, H.A.; Hussein, O.E.; Abukhalil, M.H.; Kamel, E.M.; Mahmoud, A.M. Rosmarinic Acid Mitigates Chlorpyrifos-Induced Oxidative Stress, Inflammation, and Kidney Injury in Rats by Modulating SIRT1 and Nrf2/HO-1 Signaling. Life Sci. 2023, 313, 121281. [Google Scholar] [CrossRef]
- Lin, S.Y.; Wang, Y.Y.; Chen, W.Y.; Liao, S.L.; Chou, S.T.; Yang, C.P.; Chen, C.J. Hepatoprotective activities of rosmarinic acid against extrahepatic cholestasis in rats. Food Chem. Toxicol. 2017, 108, 214–223. [Google Scholar] [CrossRef] [PubMed]
- Yang, S.Y.; Hong, C.O.; Lee, G.P.; Kim, C.T.; Lee, K.W. The hepatoprotection of caffeic acid and rosmarinic acid, major compounds of Perilla frutescens, against t-BHP-induced oxidative liver damage. Food Chem. Toxicol. 2013, 55, 92–99. [Google Scholar] [CrossRef] [PubMed]
- Hasanein, P.; Seifi, R. Beneficial effects of rosmarinic acid against alcohol-induced hepatotoxicity in rats. Can. J. Physiol. Pharmacol. 2018, 96, 32–37. [Google Scholar] [CrossRef]
- Agency for Toxic Substances and Disease Registry (ATSDR). Toxicological Profile for Chlorpyrifos; U.S. Department of Health and Human Services, Public Health Service: Atlanta, GA, USA, 1997.
- Kamarauskaite, J.; Raudenskaite, A.; Lesauskaite, V.; Skemiene, K. Caffeic Acid Phenethyl Ester Protects Kidney Mitochondria against Ischemia/Reperfusion Induced Injury in an In Vivo Rat Model. Antioxidants 2021, 10, 747. [Google Scholar] [CrossRef]
- Tienda-Vázquez, M.A.; Sánchez-González, D.J.; Martínez-Martínez, C.M.; Domínguez-Ortiz, M.A.; González-Pacheco, H.; Hernández-Pando, R.; Pedraza-Chaverri, J. Nephroprotective Plants: A Review on the Use in Pre-Renal and Post-Renal Diseases. Plants 2022, 11, 6. [Google Scholar] [CrossRef]
- Palipoch, S.; Thiravetyan, P.; Meesuk, L.; Chompoosor, A.; Punsawad, C. Thunbergia laurifolia aqueous leaf extract ameliorates paraquat-induced kidney injury by regulating NADPH oxidase in rats. Heliyon 2022, 8, e09234. [Google Scholar] [CrossRef] [PubMed]
- Tang, Q.; Yang, J.; Zhang, Y.; Li, X.; Wang, Y.; Wang, J.; Zhao, W. Embelin attenuates lipopolysaccharide-induced acute kidney injury through the inhibition of M1 macrophage activation and NF-κB signaling in mice. Heliyon 2023, 9, e14006. [Google Scholar] [CrossRef] [PubMed]
- Boo, Y.C. Therapeutic potential and mechanisms of rosmarinic acid and the extracts of Lamiaceae plants for the treatment of fibrosis of various organs. Antioxidants 2024, 13, 146. [Google Scholar] [CrossRef]
- Halliwell, B.; Gutteridge, J.M. The antioxidants of human extracellular fluids. Arch. Biochem. Biophys. 1990, 280, 1–8. [Google Scholar] [CrossRef] [PubMed]









| No. | Name | Herbs Used (%) | |||
|---|---|---|---|---|---|
| T. coccinea Vines + Leaves | M. angustifolia Roots | T. laurifolia Leaves | E. sessiliflora Vines | ||
| 1 | TC_01 | 100 | - | - | - |
| 2 | MA_01 | - | 100 | - | - |
| 3 | TL 01_L | - | - | 100 | - |
| 4 | ES 01_V | - | - | - | 100 |
| 5 | Formula 01 | 26 | 54 | - | 20 |
| 6 | Formula 02 | 30 | 54 | 16 | - |
| 7 | Formula 03 | 50 | 50 | - | - |
| 8 | Formula 04 | - | - | 50 | 50 |
| 9 | Formula 05 | - | 25 | 50 | 25 |
| 10 | Formula 06 | - | 25 | 25 | 50 |
| 11 | Formula 07 | 10 | 30 | 30 | 30 |
| Specification | Content (% by Dried Weight) |
|---|---|
| Loss on drying | 7.8602 ± 0.04 |
| Total ash | 13.3330 ± 0.01 |
| Acid-insoluble ash | 4.3062 ± 0.00 |
| Ethanol-soluble extractive value | 8.4461 ± 0.04 |
| Water–soluble extractive value | 9.6565 ± 0.02 |
| Experiment Groups | Body Weight (D1) | Body Weight (D9) | Body Weight (D18) |
|---|---|---|---|
| Normal control | 255.83 ± 3.75 | 280.00 ± 8.66 | 300.83 + 9.26 |
| CPF control | 254.17 ± 3.00 | 264.17 ± 11.29 | 264.17 ± 5.54 a |
| Formula 04 low doses | 254.17 ± 3.75 | 273.33 ± 9.46 | 289.17 ± 12.81 |
| Formula 04 medium doses | 256.67 ± 1.67 | 277.50 + 7.61 | 278.33 ± 10.14 |
| Formula 04 high doses | 256.67 ± 2.47 | 278.33 ± 5.27 | 286.67 ± 8.82 |
| Experimental Groups | Liver Weight (g) | Kidney Weight (g) |
|---|---|---|
| Normal control | 10.82 ± 0.51 | 1.49 ± 0.07 |
| CPF control | 12.34 ± 0.88 | 1.57 ± 0.08 |
| Formula 04 low doses | 11.37 ± 0.73 | 1.38 ± 0.05 |
| Formula 04 medium doses | 11.92 ± 0.64 | 1.48 ± 0.06 |
| Formula 04 high doses | 11.36 ± 0.37 | 1.37 ± 0.07 |
| Parameters | Normal Control | CPF Control | Detoxifying Formula 04 | ||
|---|---|---|---|---|---|
| Low Doses | Medium Doses | High Doses | |||
| RBC (×106/µL) | 7.88 ± 0.18 | 8.67 ± 0.14 a | 8.43 ± 0.20 | 8.45 ± 0.15 | 8.31 ± 0.10 |
| HGB (g/dL) | 15.08 ± 0.38 | 16.00 ± 0.26 a | 15.72 ± 0.38 | 16.08 ± 0.21 | 15.77 ± 0.23 |
| HCT (%) | 45.77 ± 1.16 | 48.13 ± 0.93 | 47.82 ± 1.11 | 48.77 ± 0.69 | 47.85 ± 0.88 |
| MCV (fL) | 58.08 ± 0.80 | 55.53 ± 0.69 a | 56.73 ± 0.64 | 57.78 ± 0.74 * | 57.58 ± 0.91 |
| MCH (pg) | 19.15 ± 0.22 | 18.45 ± 0.25 a | 18.63 ± 0.21 | 19.05 ± 0.23 | 18.98 ± 0.19 |
| MCHC (g/dL) | 32.95 ± 0.12 | 33.23 ± 0.19 | 32.87 ± 0.21 | 32.98 ± 0.17 | 32.95 ± 0.28 |
| PLT (×105/µL) | 8.55 ± 0.24 | 8.70 ± 0.32 | 9.08 ± 0.30 | 8.96 ± 0.16 | 8.54 ± 0.23 |
| WBC (×103 cells/µL) | 5.19 ± 0.49 | 8.89 ± 1.67 a | 5.63 ± 0.52 * | 6.20 ± 0.32 * | 6.61 ± 0.56 |
| Nu (cells/µL) | 0.63 ± 0.06 | 1.98 ± 0.33 a | 0.91 ± 0.15 * | 0.83 ± 0.12 * | 1.02 ± 0.14 * |
| Lymph (cells/µL) | 4.24 ± 0.41 | 6.37 ± 1.35 a | 4.19 ± 0.51 * | 5.03 ± 0.27 | 4.98 ± 0.38 |
| Mono (cells/µL) | 0.27 ± 0.06 | 0.46 ± 0.09 | 0.47 ± 0.09 | 0.29 ± 0.03 | 0.53 ± 0.19 |
| E (cells/µL) | 0.06 ± 0.01 | 0.07 ± 0.02 | 0.05 ± 0.01 | 0.06 ± 0.01 | 0.09 ± 0.03 |
| Ba (cells/µL) | 0.00 ± 0.00 | 0.01 ± 0.01 a | 0.00 ± 0.00 * | 0.00 ± 0.00 * | 0.00 ± 0.00 * |
| Parameters | Normal Control | CPF Control | Detoxifying Formula 04 | ||
|---|---|---|---|---|---|
| Low Doses | Medium Doses | High Doses | |||
| BUN (mg/dL) | 15.18 ± 1.33 | 18.25 ± 2.05 | 17.08 ± 2.71 | 12.68 ± 0.59 * | 13.38 ± 0.52 * |
| Creatinine (mg/dL) | 0.59 ± 0.02 | 0.62 ± 0.02 | 0.60 ± 0.02 | 0.58 ± 0.01 | 0.60 ± 0.02 |
| Total protein (g/dL) | 5.12 ± 0.11 | 5.37 ± 0.18 | 5.25 ± 0.10 | 5.37 ± 0.09 | 5.38 ± 0.06 * |
| Albumin (g/dL) | 2.90 ± 0.05 | 2.95 ± 0.09 | 2.97 ± 0.08 | 3.30 ± 0.36 | 3.00 ± 0.03 |
| Total bilirubin (mg/dL) | 0.12 ± 0.01 | 0.13 ± 0.01 | 0.15 ± 0.02 | 0.12 ± 0.01 | 0.15 ± 0.01 |
| Direct bilirubin (mg/dL) | 0.07 ± 0.00 | 0.07 ± 0.00 | 0.08 ± 0.02 | 0.08 ± 0.01 | 0.09 ± 0.00 |
| AST (U/L) | 95.67 ± 8.91 | 206.67 ± 31.02 a | 132.00 ± 9.56 * | 99.00 ± 9.71 * | 132.50 ± 19.08 * |
| ALT (U/L) | 22.17 ± 1.99 | 33.33 ± 3.95 | 33.00 ± 5.36 | 29.00 ± 5.88 | 48.83 ± 13.88 |
| ALP (U/L) | 121.17 ± 9.01 | 91.67 ± 9.91 | 112.00 ± 8.85 | 109.00 ± 14.92 | 120.50 ± 12.60 |
Disclaimer/Publisher’s Note: The statements, opinions and data contained in all publications are solely those of the individual author(s) and contributor(s) and not of MDPI and/or the editor(s). MDPI and/or the editor(s) disclaim responsibility for any injury to people or property resulting from any ideas, methods, instructions or products referred to in the content. |
© 2025 by the authors. Licensee MDPI, Basel, Switzerland. This article is an open access article distributed under the terms and conditions of the Creative Commons Attribution (CC BY) license.
Share and Cite
Kunnaja, P.; Chansakaow, S.; Taychaworaditsakul, W.; Intatham, S.; Jaijoy, K.; Wittayapraparat, A.; Yusuk, P.; Suksathan, R.; Sireeratawong, S. Hepatoprotective Effects and Antioxidant Properties of a Herbal Detoxifying Formula Against Chlorpyrifos-Induced Toxicity in Sprague-Dawley Rats. Biology 2026, 15, 17. https://doi.org/10.3390/biology15010017
Kunnaja P, Chansakaow S, Taychaworaditsakul W, Intatham S, Jaijoy K, Wittayapraparat A, Yusuk P, Suksathan R, Sireeratawong S. Hepatoprotective Effects and Antioxidant Properties of a Herbal Detoxifying Formula Against Chlorpyrifos-Induced Toxicity in Sprague-Dawley Rats. Biology. 2026; 15(1):17. https://doi.org/10.3390/biology15010017
Chicago/Turabian StyleKunnaja, Phraepakaporn, Sunee Chansakaow, Weerakit Taychaworaditsakul, Supaporn Intatham, Kanjana Jaijoy, Absorn Wittayapraparat, Pedcharada Yusuk, Ratchuporn Suksathan, and Seewaboon Sireeratawong. 2026. "Hepatoprotective Effects and Antioxidant Properties of a Herbal Detoxifying Formula Against Chlorpyrifos-Induced Toxicity in Sprague-Dawley Rats" Biology 15, no. 1: 17. https://doi.org/10.3390/biology15010017
APA StyleKunnaja, P., Chansakaow, S., Taychaworaditsakul, W., Intatham, S., Jaijoy, K., Wittayapraparat, A., Yusuk, P., Suksathan, R., & Sireeratawong, S. (2026). Hepatoprotective Effects and Antioxidant Properties of a Herbal Detoxifying Formula Against Chlorpyrifos-Induced Toxicity in Sprague-Dawley Rats. Biology, 15(1), 17. https://doi.org/10.3390/biology15010017

