Setting Up an NGS Sequencing Platform and Monitoring Molecular Markers of Anti-Malarial Drug Resistance in Djibouti
Simple Summary
Abstract
1. Introduction
2. Materials and Methods
2.1. Study Sites and Sample Collection

2.1.1. DNA Extraction
2.1.2. DNA Amplification
2.1.3. Sequencing Library Preparation
2.1.4. Data Analysis
3. Results
3.1. Mutant Alleles Associated with Drug Resistance
3.2. Haplotypes Associated with Drug Resistance
3.3. PfK13 R622I Allele and Pfhrp2 Deletion
3.4. Study Sites and the Presence of Mutant Alleles
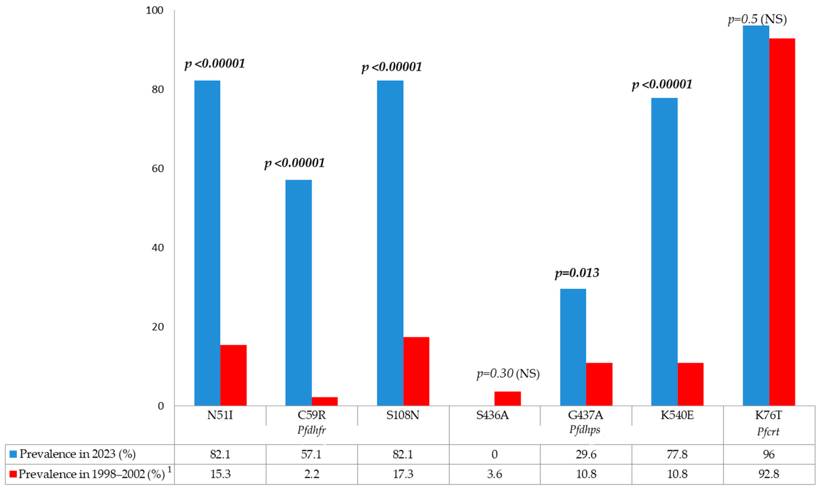
3.5. Evolution of the Prevalence Rates of Mutant Alleles in Djibouti City
4. Discussion
5. Conclusions
Author Contributions
Funding
Institutional Review Board Statement
Informed Consent Statement
Data Availability Statement
Acknowledgments
Conflicts of Interest
Abbreviations
References
- World Health Organization. World Malaria Report 2023; World Health Organization: Geneva, Switzerland, 2023; Available online: https://www.who.int/teams/global-malaria-programme/reports/world-malaria-report-2023 (accessed on 10 March 2024).
- Snow, R.W.; Amratia, P.; Kabaria, C.W.; Noor, A.M.; Marsh, K. The changing limits and incidence of malaria in Africa: 1939–2009. Adv. Parasitol. 2012, 78, 169–262. [Google Scholar] [CrossRef] [PubMed]
- Rogier, C.; Pradines, B.; Bogreau, H.; Koeck, J.L.; Kamil, M.A.; Mercereau-Puijalon, O. Malaria epidemic and drug resistance, Djibouti. Emerg. Infect. Dis. 2005, 11, 317–321. [Google Scholar] [CrossRef] [PubMed]
- Khaireh, B.A.; Assefa, A.; Guessod, H.H.; Basco, L.K.; Khaireh, M.A.; Pascual, A.; Briolant, S.; Bouh, S.M.; Farah, I.H.; Ali, H.M.; et al. Population genetics analysis during the elimination process of Plasmodium falciparum in Djibouti. Malar. J. 2013, 12, 201. [Google Scholar] [CrossRef] [PubMed]
- World Health Organization. World Malaria Report 2016; World Health Organization: Geneva, Switzerland, 2016; Available online: https://www.who.int/publications/i/item/9789241511711 (accessed on 3 March 2024).
- Schapira, A.; Ahoranayezu, J.B.; Al-Eriyani, S.; Bosman, A.; Boulhan, A.; Abdi Khaireh, B.; Mudambo, K.; Zamani, G. Revue du Programme National de Lutte Contre le Paludisme Couvrant la Période 2012–2018, Revised on 23 February 2019; Ministry of Health: Djibouti, Djibouti, 2019; Available online: https://erc.undp.org/evaluation/managementresponses/keyaction/documents/download/2288 (accessed on 10 March 2024).
- Iriart, X.; Menard, S.; Chauvin, P.; Mohamed, H.S.; Charpentier, E.; Mohamed, M.A.; Berry, A.; Aboubaker, M.H. Misdiagnosis of imported falciparum malaria from African areas due to an increased prevalence of pfhrp2/pfhrp3 gene deletion: The Djibouti case. Emerg. Microbes Infect. 2020, 9, 1984–1987. [Google Scholar] [CrossRef]
- Rogier, E.; McCaffery, J.N.; Mohamed, M.A.; Herman, C.; Nace, D.; Daniels, R.; Lucchi, N.; Jones, S.; Goldman, I.; Aidoo, M.; et al. Plasmodium falciparum pfhrp2 and pfhrp3 gene deletions and relatedness to other global isolates, Djibouti, 2019–2020. Emerg. Infect. Dis. 2022, 28, 2043–2050. [Google Scholar] [CrossRef] [PubMed]
- Moussa, R.A.; Papa Mze, N.; Arreh, H.Y.; Hamoud, A.A.; Alaleh, K.M.; Omar, A.Y.; Abdi, W.O.; Guelleh, S.K.; Abdi, A.A.; Aboubaker, M.H.; et al. Molecular investigation of malaria-infected patients in Djibouti city (2018–2021). Malar. J. 2023, 22, 147, Erratum in Malar. J. 2023, 22, 168. [Google Scholar] [CrossRef] [PubMed]
- Roseau, J.B.; Pradines, B.; Paleiron, N.; Vedy, S.; Madamet, M.; Simon, F.; Javelle, E. Failure of dihydroartemisinin plus piperaquine treatment of falciparum malaria by under-dosing in an overweight patient. Malar. J. 2016, 15, 479. [Google Scholar] [CrossRef][Green Version]
- Noedl, H.; Se, Y.; Schaecher, K.; Smith, B.L.; Socheat, D.; Fukuda, M.M.; Artemisinin Resistance in Cambodia 1 (ARC1) Study Consortium. Evidence of artemisinin-resistant malaria in western Cambodia. N. Engl. J. Med. 2008, 359, 2619–2620. [Google Scholar] [CrossRef]
- Dondorp, A.M.; Nosten, F.; Yi, P.; Das, D.; Phyo, A.P.; Tarning, J.; Lwin, K.M.; Ariey, F.; Hanpithakpong, W.; Lee, S.J.; et al. Artemisinin resistance in Plasmodium falciparum malaria. N. Engl. J. Med. 2009, 361, 455–467, Erratum in N. Engl. J. Med. 2009, 361, 1714. [Google Scholar] [CrossRef]
- Phyo, A.P.; Nkhoma, S.; Stepniewska, K.; Ashley, E.A.; Nair, S.; McGready, R.; Moo, C.L.; Al-Saai, S.; Dondorp, A.M.; Lwin, K.M.; et al. Emergence of artemisinin-resistant malaria on the western border of Thailand: A longitudinal study. Lancet 2012, 379, 1960–1966. [Google Scholar] [CrossRef] [PubMed]
- Ariey, F.; Witkowski, B.; Amaratunga, C.; Beghain, J.; Langlois, A.C.; Khim, N.; Kim, S.; Duru, V.; Bouchier, C.; Ma, L.; et al. A molecular marker of artemisinin-resistant Plasmodium falciparum malaria. Nature 2014, 505, 50–55. [Google Scholar] [CrossRef]
- Ménard, D.; Khim, N.; Beghain, J.; Adegnika, A.A.; Shafiul-Alam, M.; Amodu, O.; Rahim-Awab, G.; Barnadas, C.; Berry, A.; Boum, Y.; et al. A Worldwide map of Plasmodium falciparum K13-propeller polymorphisms. N. Engl. J. Med. 2016, 374, 2453–2464. [Google Scholar] [CrossRef] [PubMed]
- Amambua-Ngwa, A.; Amenga-Etego, L.; Kamau, E.; Amato, R.; Ghansah, A.; Golassa, L.; Randrianarivelojosia, M.; Ishengoma, D.; Apinjoh, T.; Maïga-Ascofaré, O.; et al. Major subpopulations of Plasmodium falciparum in sub-Saharan Africa. Science 2019, 365, 813–816. [Google Scholar] [CrossRef] [PubMed]
- Ndwiga, L.; Kimenyi, K.M.; Wamae, K.; Osoti, V.; Akinyi, M.; Omedo, I.; Ishengoma, D.S.; Duah-Quashie, N.; Andagalu, B.; Ghansah, A.; et al. A review of the frequencies of Plasmodium falciparum Kelch 13 artemisinin resistance mutations in Africa. Int. J. Parasitol. Drugs Drug Resist. 2021, 16, 155–161. [Google Scholar] [CrossRef]
- Harris, E. Artemisinin resistance increasing. JAMA 2023, 330, 1030. [Google Scholar] [CrossRef] [PubMed]
- Pradines, B.; Mamfoumbi, M.M.; Tall, A.; Sokhna, C.; Koeck, J.L.; Fusai, T.; Mosnier, J.; Czarnecki, E.; Spiegel, A.; Trape, J.F.; et al. In vitro activity of tafenoquine against the asexual blood stages of Plasmodium falciparum isolates from Gabon, Senegal, and Djibouti. Antimicrob. Agents Chemother. 2006, 50, 3225–3226. [Google Scholar] [CrossRef] [PubMed][Green Version]
- World Health Organization. WHO Guidelines for Malaria, 16 October 2023; World Health Organization: Geneva, Switzerland, 2023; Available online: www.who.int/teams/global-malaria-programme/guidelines-for-malaria (accessed on 9 March 2024).
- Abdi Moussa, R.; Papa Mze, N.; Yonis Arreh, H.; Abdillahi Hamoud, A.; Mohamed Alaleh, K.; Mohamed Aden, F.; Yonis Omar, A.R.; Osman Abdi, W.; Kayad Guelleh, S.; Ahmed Abdi, A.I.; et al. Assessment of the performance of lactate dehydrogenase-based rapid diagnostic test for malaria in Djibouti in 2022–2023. Diagnostics 2024, 14, 262. [Google Scholar] [CrossRef] [PubMed]
- Fola, A.A.; Feleke, S.M.; Mohammed, H.; Brhane, B.G.; Hennelly, C.M.; Assefa, A.; Crudal, R.M.; Reichert, E.; Juliano, J.J.; Cunningham, J.; et al. Plasmodium falciparum resistant to artemisinin and diagnostics have emerged in Ethiopia. Nat. Microbiol. 2023, 8, 1911–1919. [Google Scholar] [CrossRef]
- Jeang, B.; Zhong, D.; Lee, M.C.; Atieli, H.; Yewhalaw, D.; Yan, G. Molecular surveillance of Kelch 13 polymorphisms in Plasmodium falciparum isolates from Kenya and Ethiopia. Malar. J. 2024, 23, 36. [Google Scholar] [CrossRef] [PubMed]
- Li, H. New strategies to improve minimap2 alignment accuracy. Bioinformatics 2021, 37, 4572–4574. [Google Scholar] [CrossRef] [PubMed]
- Danecek, P.; Bonfield, J.K.; Liddle, J.; Marshall, J.; Ohan, V.; Pollard, M.O.; Whitwham, A.; Keane, T.; McCarthy, S.A.; Davies, R.M.; et al. Twelve years of SAMtools and BCFtools. Gigascience 2021, 10, giab008. [Google Scholar] [CrossRef]
- Geneious. Geneious Primer User Manual; Biomatters, Inc.: Boston, MA, USA, 2024; Available online: https://manual.geneious.com/en/latest/ (accessed on 9 March 2024).
- Robinson, J.T.; Thorvaldsdóttir, H.; Winckler, W.; Guttman, M.; Lander, E.S.; Getz, G.; Mesirov, J.P. Integrative genomics viewer. Nat. Biotechnol. 2011, 29, 24–26. [Google Scholar] [CrossRef] [PubMed]
- Programme de National de Lutte contre le Paludisme à Djibouti. Rapport Annuel des Activités 2023; Ministry of Health: Djibouti, Djibouti, 2023; p. 9. [Google Scholar]
- Anglaret, X. Trimethoprim-sulfamethoxazole prophylaxis in sub-Saharan Africa. Lancet 2001, 358, 1027–1028. [Google Scholar] [CrossRef]
- Whitty, C.J.; Jaffar, S. Plasmodium falciparum cross resistance. Lancet 2002, 359, 80. [Google Scholar] [CrossRef]
- Plowe, C.V. Malaria chemoprevention and drug resistance: A review of the literature and policy implications. Malar. J. 2022, 21, 104. [Google Scholar] [CrossRef]
- Warsame, M.; Hassan, A.M.; Barrette, A.; Jibril, A.M.; Elmi, H.H.; Arale, A.M.; Mohammady, H.E.; Nada, R.A.; Amran, J.G.; Muse, A.; et al. Treatment of uncomplicated malaria with artesunate plus sulfadoxine-pyrimethamine is failing in Somalia: Evidence from therapeutic efficacy studies and Pfdhfr and Pfdhps mutant alleles. Trop. Med. Int. Health 2015, 20, 510–517. [Google Scholar] [CrossRef]
- Warsame, M.; Hassan, A.H.; Hassan, A.M.; Arale, A.M.; Jibril, A.M.; Mohamud, S.A.; Barrette, A.; Muse, A.Y.; Yusuf, F.E.; Nada, R.A.; et al. Efficacy of artesunate + sulphadoxine/pyrimethamine and artemether + lumefantrine and dhfr and dhps mutations in Somalia: Evidence for updating the malaria treatment policy. Trop. Med. Int. Health 2017, 22, 415–422. [Google Scholar] [CrossRef] [PubMed]
- Gebru-Woldearegai, T.; Hailu, A.; Grobusch, M.P.; Kun, J.F. Molecular surveillance of mutations in dihydrofolate reductase and dihydropteroate synthase genes of Plasmodium falciparum in Ethiopia. Am. J. Trop. Med. Hyg. 2005, 73, 1131–1134. [Google Scholar] [CrossRef] [PubMed]
- Schunk, M.; Kumma, W.P.; Miranda, I.B.; Osman, M.E.; Roewer, S.; Alano, A.; Löscher, T.; Bienzle, U.; Mockenhaupt, F.P. High prevalence of drug-resistance mutations in Plasmodium falciparum and Plasmodium vivax in southern Ethiopia. Malar. J. 2006, 5, 54. [Google Scholar] [CrossRef] [PubMed]
- Mula, P.; Fernández-Martínez, A.; de Lucio, A.; Ramos, J.M.; Reyes, F.; González, V.; Benito, A.; Berzosa, P. Detection of high levels of mutations involved in anti-malarial drug resistance in Plasmodium falciparum and Plasmodium vivax at a rural hospital in southern Ethiopia. Malar. J. 2011, 10, 214. [Google Scholar] [CrossRef]
- Hailemeskel, E.; Kassa, M.; Taddesse, G.; Mohammed, H.; Woyessa, A.; Tasew, G.; Sleshi, M.; Kebede, A.; Petros, B. Prevalence of sulfadoxine-pyrimethamine resistance-associated mutations in dhfr and dhps genes of Plasmodium falciparum three years after SP withdrawal in Bahir Dar, Northwest Ethiopia. Acta Trop. 2013, 128, 636–641. [Google Scholar] [CrossRef]
- Tessema, S.K.; Kassa, M.; Kebede, A.; Mohammed, H.; Leta, G.T.; Woyessa, A.; Guma, G.T.; Petros, B. Declining trend of Plasmodium falciparum dihydrofolate reductase (dhfr) and dihydropteroate synthase (dhps) mutant alleles after the withdrawal of sulfadoxine-pyrimethamine in North Western Ethiopia. PLoS ONE 2015, 10, e0126943. [Google Scholar] [CrossRef]
- Hassen, J.; Alemayehu, G.S.; Dinka, H.; Golassa, L. High prevalence of Pfcrt 76T and Pfmdr1 N86 genotypes in malaria infected patients attending health facilities in East Shewa zone, Oromia Regional State, Ethiopia. Malar. J. 2022, 21, 286. [Google Scholar] [CrossRef] [PubMed]
- Gharbi, M.; Flegg, J.A.; Hubert, V.; Kendjo, E.; Metcalf, J.E.; Bertaux, L.; Guérin, P.J.; Le Bras, J.; Members of the French National Reference Centre for Imported Malaria Study; Aboubaca, A.; et al. Longitudinal study assessing the return of chloroquine susceptibility of Plasmodium falciparum in isolates from travellers returning from West and Central Africa, 2000–2011. Malar. J. 2013, 12, 35. [Google Scholar] [CrossRef] [PubMed]
- Asare, K.K.; Africa, J.; Mbata, J.; Opoku, Y.K. The emergence of chloroquine-sensitive Plasmodium falciparum is influenced by selected communities in some parts of the Central Region of Ghana. Malar. J. 2021, 20, 447. [Google Scholar] [CrossRef]
- Zhou, Z.; Gimnig, J.E.; Sergent, S.B.; Liu, Y.; Abong’o, B.; Otieno, K.; Chebore, W.; Shah, M.P.; Williamson, J.; Ter Kuile, F.O.; et al. Temporal trends in molecular markers of drug resistance in Plasmodium falciparum in human blood and profiles of corresponding resistant markers in mosquito oocysts in Asembo, western Kenya. Malar. J. 2022, 21, 257. [Google Scholar] [CrossRef] [PubMed]
- Kublin, J.G.; Cortese, J.F.; Njunju, E.M.; Mukadam, R.A.; Wirima, J.J.; Kazembe, P.N.; Djimdé, A.A.; Kouriba, B.; Taylor, T.E.; Plowe, C.V. Reemergence of chloroquine-sensitive Plasmodium falciparum malaria after cessation of chloroquine use in Malawi. J. Infect. Dis. 2003, 187, 1870–1875. [Google Scholar] [CrossRef] [PubMed]
- Frosch, A.E.; Laufer, M.K.; Mathanga, D.P.; Takala-Harrison, S.; Skarbinski, J.; Claassen, C.W.; Dzinjalamala, F.K.; Plowe, C.V. Return of widespread chloroquine-sensitive Plasmodium falciparum to Malawi. J. Infect. Dis. 2014, 210, 1110–1114. [Google Scholar] [CrossRef]
- Mekonnen, S.K.; Aseffa, A.; Berhe, N.; Teklehaymanot, T.; Clouse, R.M.; Gebru, T.; Medhin, G.; Velavan, T.P. Return of chloroquine-sensitive Plasmodium falciparum parasites and emergence of chloroquine-resistant Plasmodium vivax in Ethiopia. Malar. J. 2014, 13, 244. [Google Scholar] [CrossRef] [PubMed]
- Mwanza, S.; Joshi, S.; Nambozi, M.; Chileshe, J.; Malunga, P.; Kabuya, J.B.; Hachizovu, S.; Manyando, C.; Mulenga, M.; Laufer, M. The return of chloroquine-susceptible Plasmodium falciparum malaria in Zambia. Malar. J. 2016, 15, 584. [Google Scholar] [CrossRef] [PubMed]
- Sondo, P.; Derra, K.; Diallo Nakanabo, S.; Tarnagda, Z.; Kazienga, A.; Zampa, O.; Valéa, I.; Sorgho, H.; Owusu-Dabo, E.; Ouédraogo, J.B.; et al. Artesunate-amodiaquine and artemether-lumefantrine therapies and selection of Pfcrt and Pfmdr1 alleles in Nanoro, Burkina Faso. PLoS ONE 2016, 11, e0151565. [Google Scholar] [CrossRef] [PubMed]
- Okell, L.C.; Reiter, L.M.; Ebbe, L.S.; Baraka, V.; Bisanzio, D.; Watson, O.J.; Bennett, A.; Verity, R.; Gething, P.; Roper, C.; et al. Emerging implications of policies on malaria treatment: Genetic changes in the Pfmdr-1 gene affecting susceptibility to artemether-lumefantrine and artesunate-amodiaquine in Africa. BMJ Glob. Health 2018, 3, e000999. [Google Scholar] [CrossRef]
- Lucchi, N.W.; Komino, F.; Okoth, S.A.; Goldman, I.; Onyona, P.; Wiegand, R.E.; Juma, E.; Shi, Y.P.; Barnwell, J.W.; Udhayakumar, V.; et al. In vitro and molecular surveillance for antimalarial drug resistance in Plasmodium falciparum parasites in Western Kenya reveals sustained artemisinin sensitivity and increased chloroquine sensitivity. Antimicrob. Agents Chemother. 2015, 59, 7540–7547. [Google Scholar] [CrossRef] [PubMed]
- Abamecha, A.; Yilma, D.; Adissu, W.; Yewhalaw, D.; Abdissa, A. Efficacy and safety of artemether-lumefantrine for treatment of uncomplicated Plasmodium falciparum malaria in Ethiopia: A systematic review and meta-analysis. Malar. J. 2021, 20, 213. [Google Scholar] [CrossRef] [PubMed]
- Tadele, G.; Jaiteh, F.K.; Oboh, M.; Oriero, E.; Dugassa, S.; Amambua-Ngwa, A.; Golassa, L. Persistence of residual submicroscopic P. falciparum parasitemia following treatment of artemether-lumefantrine in Ethio-Sudan Border, Western Ethiopia. Antimicrob. Agents Chemother. 2022, 66, e0000222. [Google Scholar] [CrossRef]
- Wang, X.; Ruan, W.; Zhou, S.; Huang, F.; Lu, Q.; Feng, X.; Yan, H. Molecular surveillance of Pfcrt and k13 propeller polymorphisms of imported Plasmodium falciparum cases to Zhejiang Province, China between 2016 and 2018. Malar. J. 2020, 19, 59. [Google Scholar] [CrossRef] [PubMed]
- World Health Organization. Report on Antimalarial Drug Efficacy, Resistance and Response: 10 Years of Surveillance (2010–2019); World Health Organization: Geneva, Switzerland, 2020; Available online: https://www.who.int/publications/i/item/9789240012813 (accessed on 9 March 2024).
- Grossman, T.; Vainer, J.; Paran, Y.; Studentsky, L.; Manor, U.; Dzikowski, R.; Schwartz, E. Emergence of artemisinin-based combination treatment failure in patients returning from sub-Saharan Africa with P. falciparum malaria. J. Travel Med. 2023, 30, taad114. [Google Scholar] [CrossRef]
- Niba, P.T.N.; Nji, A.M.; Chedjou, J.P.K.; Hansson, H.; Hocke, E.F.; Ali, I.M.; Achonduh-Atijegbe, O.; Evehe, M.B.; Jørgensen, M.H.M.; Fomboh, C.T.; et al. Evolution of Plasmodium falciparum antimalarial drug resistance markers post-adoption of artemisinin-based combination therapies in Yaounde, Cameroon. Int. J. Infect. Dis. 2023, 132, 108–117. [Google Scholar] [CrossRef] [PubMed]

| Gene (Chromosome 1) | Forward and Reverse Primer Sequences (5′-3′) 2 | Size (bp) | Key Mutations 3 |
|---|---|---|---|
| PfK13 (13) | GCCAAGCTGCCATTCATTTG | 849 | C580Y (causal) |
| GCCTTGTTGAAAGAAGCAGA | |||
| Pfcrt (7) | GTTCTTGTCTTGGTAAATGT | 148 | K76T (causal) |
| CCAATTTTGTTTAAAGTTCT | |||
| Pfmdr1 (5) fragment A | GTGCTGTATTATCAGGAGGAACA | 423 | N86Y, Y184F, S1034C, N1042D, D1246Y (associated) |
| ACGGAAAAACGCAAGTAATACA | |||
| Pfmdr1 (5) fragment B | GTCAAGCGGAGTTTTTGCAT | 973 | |
| AGCAGCAAACTTACTAACACG | |||
| Pfdhfr (4) | ACGTTTTCGATATTTATGC | 562 | S108N, N51I, C59R, I164L (causal) |
| TCACATTCATATGTACTATTTATTC | |||
| Pfdhps (8) | GTTGAACCTAAACGTGCTGT | 672 | A437G + K540E (causal) |
| TTCATCATGTAATTTTTGTTGTG |
| Gene | Codon | Allele | Genotype | Prevalence n (%) |
|---|---|---|---|---|
| PfK13 | K189C | K189 | Wild type | 57 (82.6) |
| 189C | Mutant | 12 (17.4) | ||
| R281N | R281 | Wild type | 61 (89.7) | |
| 281N | Mutant | 7 (10.3) | ||
| R662I | R622 | Wild type | 67 (98.6) | |
| 622I | Mutant | 1 (1.4) | ||
| Pfcrt | C72S | C72 | Wild type | 24 (96) |
| 72S | Mutant | 1 (4) | ||
| V73K | V73 | Wild type | 25 (100) | |
| 73K | Mutant | 0 (0) | ||
| M74I | M74 | Wild type | 2 (8) | |
| 74I | Mutant | 23 (92) | ||
| N75E | N75 | Wild type | 2 (8) | |
| 75E | Mutant | 23 (92) | ||
| K76T | K76 | Wild type | 1 (4) | |
| 76T | Mutant | 24 (96) | ||
| Pfmdr1 | N86Y | N86 | Wild type | 27 (100) |
| 86Y | Mutant | 0 (0) | ||
| G182G * | G182 | Wild type | 26 (96.3) | |
| 182G | Mutant | 1 (3.7) | ||
| Y184F | Y184 | Wild type | 1 (3.7) | |
| 184F | Mutant | 26 (96.3) | ||
| D1246Y | D1246 | Wild type | 27 (100) | |
| 1246Y | Mutant | 0 (0) | ||
| Pfdhfr | N51I | N51 | Wild type | 5 (17.9) |
| 51I | Mutant | 23 (82.1) | ||
| C59R | C59 | Wild type | 12 (42.9) | |
| 59R | Mutant | 16 (57.1) | ||
| S108N | S108 | Wild type | 5 (17.9) | |
| 108N | Mutant | 23 (82.1) | ||
| Pfdhps | G437A | G437 | Wild type | 19 (70.4) |
| 437A | Mutant | 8 (29.6) | ||
| K540E | K540 | Wild type | 6 (22.2) | |
| 540E | Mutant | 21 (77.8) |
| Gene and Codons | Haplotype | Genotype | Prevalence n (%) |
|---|---|---|---|
| PfK13 (189-281-580-622) | KRCR | Wild type | 54 (79.4) |
| CNCR | Double mutant | 6 (8.8) | |
| CRCI | Double mutant | 0 (0) | |
| KNCI | Double mutant | 0 (0) | |
| CNYI | Quadruple mutant | 0 (0) | |
| Pfcrt (72-73-74-75-76) | CVMNK | Wild type | 1 (4) |
| SVMNT | Double mutant | 1 (4) | |
| CVIEK | Double mutant | 23 (92) | |
| CVINT | Double mutant | 23 (92) | |
| CVMET | Double mutant | 23 (92) | |
| CVIET | Triple mutant | 23 (92) | |
| Pfmdr1 (86-184-1034-1042-1246) 1 | NYSND | Wild type | 1 (3.7) |
| YFSND | Double mutant | 0 (0) | |
| YYSNY | Triple mutant | 0 (0) | |
| Pfdhfr (51-59-108-164) | NCSI | Wild type | 4 (14.3) |
| IRSI | Double mutant | 15 (53.5) | |
| ICNI | Double mutant | 16 (57.1) | |
| IRNI | Triple mutant | 15 (53.5) | |
| IRNL | Quadruple mutant | 0 (0) | |
| Pfdhps (436-437- 540-581) | SAKA | Wild type | 0 (0) |
| AGKA | Double mutant | 0 (0) | |
| SGEA | Double mutant | 2 (7.4) | |
| SGEG | Triple mutant | 0 (0) | |
| AGEG | Quadruple mutant | 0 (0) | |
| Pfdhfr-Pfdhps (51-59-108-164- 436-437-540-581) | NCSISGKA | Wild type | 0 (0) |
| ICSIAKA | Double mutant | 7 (29.1.3) | |
| ICSIGEA | Double mutant | 15 (62.5) | |
| NRSIAKA | Double mutant | 7 (29.1) | |
| NRSIGEA | Double mutant | 9 (37.5) | |
| NCNISAEA | Triple mutant | 2 (8.3) | |
| IRNISAKA | Quadruple mutant | 7 (29.1) | |
| IRNISAEA | Quintuple mutant | 2 (8.3) | |
| Pfdhfr-Pfdhps-Pfmdr1-Pfcrt (108-540-184-74-75-76) | NEFIET | Sextuple mutant | 12 (57.1) |
| Pfdhfr-Pfmdr1-Pfcrt (51-59-184-74-75-76) | IRFIET | Septuple mutant | 10 (47.6) |
| Pfdhfr-Pfmdr1-Pfcrt (51-59-108-74-75-76) | IRNIET | Septuple mutant | 10 (47.4) |
| Pfdhfr-Pfdhps-Pfmdr1-Pfcrt (51-108-540-184-74-75-76) | INEFIET | Septuple mutant | 11 (52.3) |
| PfK13-Pfdhfr-Pfdhps-Pfmdr1-Pfcrt (281-51-108-540-184-74-75-76) | NINEFIET | Octuple mutant | 1 (8.3) |
| Pfk13-Pfdhfr-Pfdhps-Pfmdr1-Pfcrt (622-51-59-108-437-184-74-75-76) | IIRNNAFIEF | Nonuple mutant | 1 (6.2) |
| Pfdhfr-Pfdhps-Pfmdr1-Pfcrt (51-59-108-437-540-184-74-75-76) | IRNAERIET | Nonuple mutant | 2 (9.5) |
| Isolate Code | PfK13 | Pfdhfr | Pfdhps | Pfmdr1 | Pfcrt |
|---|---|---|---|---|---|
| Djib_001 | ND | 51I/C59/108N | ND | ND | ND |
| Djib_002 | K189/D281/R622 | 51I/C59/108N | G437/540E | N86/184F/D1246 | 72S/M74/N75/76T |
| Djib_004 | K189/281N/R622 | 51I/C59/108N | G437/540E | N86/184F/D1246 | C72/74I/75E/76T |
| Djib_006 | K189/D281/R622 | N51/C59/S108 | G437/540E | N86/184F/D1246 | C72/74I/75E/76T |
| Djib_007 | K189/D281/R622 | 51I/59R/108N | G437/540E | N86/184F/D1246 | C72/74I/75E/76T |
| Djib_008 | K189/D281/R622 | N51/C59/S108 | ND | ND | ND |
| Djib_012 | ND | 51I/59R/108N | G437/540E | N86/184F/D1246 | C72/74I/75E/76T |
| Djib_013 | K189/D281/R622 | N51/C59/S108 | G437/540E | N86/184F/D1246 | C72/74I/75E/76T |
| Djib_014 | ND | N51/C59/S108 | G437/540E | N86/184F/D1246 | C72/74I/75E/76T |
| Djib_015 | ND | N51/C59/S108 | G437/540E | N86/184F/D1246 | C72/74I/75E/76T |
| Djib_016 | K189/D281/622I | 51I/59R/108N | 437A/K540 | N86/184F/D1246 | C72/74I/75E/76T |
| Djib_017 | K189/D281/R622 | N51/C59/S108 | G437/540E | N86/184F/D1246 | C72/74I/75E/76T |
| Djib_019 | K189/D281/R622 | 51I/59R/108N | G437/540E | N86/184F/D1246 | C72/74I/75E/76T |
| Djib_020 | ND | 51I/59R/108N | 437A/K540 | N86/184F/D1246 | C72/74I/75E/76T |
| Djib_021 | K189/D281/R622 | N51/C59/S108 | 437A/K540 | N86/184F/D1246 | C72/74I/75E/76T |
| Djib_023 | K189/D281/R622 | 51I/C59/S108 | 437A/540E | N86/184F/D1246 | C72/74I/75E/76T |
| Djib_025 | ND | 51I/59R/108N | 437A/K540 | N86/184F/D1246 | ND |
| Djib_031 | K189/D281/R622 | 51I/59R/108N | 437A/540E | N86/184F/D1246 | C72/74I/75E/76T |
Disclaimer/Publisher’s Note: The statements, opinions and data contained in all publications are solely those of the individual author(s) and contributor(s) and not of MDPI and/or the editor(s). MDPI and/or the editor(s) disclaim responsibility for any injury to people or property resulting from any ideas, methods, instructions or products referred to in the content. |
© 2024 by the authors. Licensee MDPI, Basel, Switzerland. This article is an open access article distributed under the terms and conditions of the Creative Commons Attribution (CC BY) license (https://creativecommons.org/licenses/by/4.0/).
Share and Cite
Papa Mze, N.; Arreh, H.Y.; Moussa, R.A.; Elmi, M.B.; Waiss, M.A.; Abdi, M.M.; Robleh, H.I.; Guelleh, S.K.; Abdi, A.-i.A.; Bogreau, H.; et al. Setting Up an NGS Sequencing Platform and Monitoring Molecular Markers of Anti-Malarial Drug Resistance in Djibouti. Biology 2024, 13, 905. https://doi.org/10.3390/biology13110905
Papa Mze N, Arreh HY, Moussa RA, Elmi MB, Waiss MA, Abdi MM, Robleh HI, Guelleh SK, Abdi A-iA, Bogreau H, et al. Setting Up an NGS Sequencing Platform and Monitoring Molecular Markers of Anti-Malarial Drug Resistance in Djibouti. Biology. 2024; 13(11):905. https://doi.org/10.3390/biology13110905
Chicago/Turabian StylePapa Mze, Nasserdine, Houssein Yonis Arreh, Rahma Abdi Moussa, Mahdi Bachir Elmi, Mohamed Ahmed Waiss, Mohamed Migane Abdi, Hassan Ibrahim Robleh, Samatar Kayad Guelleh, Abdoul-ilah Ahmed Abdi, Hervé Bogreau, and et al. 2024. "Setting Up an NGS Sequencing Platform and Monitoring Molecular Markers of Anti-Malarial Drug Resistance in Djibouti" Biology 13, no. 11: 905. https://doi.org/10.3390/biology13110905
APA StylePapa Mze, N., Arreh, H. Y., Moussa, R. A., Elmi, M. B., Waiss, M. A., Abdi, M. M., Robleh, H. I., Guelleh, S. K., Abdi, A.-i. A., Bogreau, H., Basco, L. K., & Khaireh, B. A. (2024). Setting Up an NGS Sequencing Platform and Monitoring Molecular Markers of Anti-Malarial Drug Resistance in Djibouti. Biology, 13(11), 905. https://doi.org/10.3390/biology13110905

