Abstract
Seed meal of three trees common to the Midwest region of the USA (Honey locust, Gleditsia triacanthos L., family Fabaceae), Osage orange (Maclura pomifera (Raf.) Schneid., family Moraceae) and Black locust (Robinia pseudoacacia L., family Fabaceae) were tested for their adhesive abilities. Seed meals were employed at dosage levels of 10, 15, 25, 50, 75, and 100% reinforced with Paulownia elongata L. wood (PW) or Osage orange wood (OOW) chips to fabricate composite wood panels (CWPs). A comparison of the flexural properties of various tree seed meal CWPs reinforced with PW showed that their flexural properties met or exceeded European Union standards. However, their dimensional stability properties were inferior to nominal standards. Therefore, tree seed meal CWPs could probably have applications in interior environments where such CWPs accept negligible dimensional stability standards.
1. Introduction
There are numerous pioneering tree species common to the Midwest region of the USA; that includes Osage orange (Maclura pomifera (Raf.) Schneid., family Moraceae), Honey locust (Gleditsia triacanthos L., family Fabaceae) and Black locust (Robinia pseudoacacia L., family Fabaceae). These trees are all native to USA, deciduous, fast-growing, coppicing, and readily flower to produce abundant fruits and seeds a few years after planting [1,2,3,4,5,6,7,8,9,10,11,12,13,14,15,16,17,18,19,20,21,22,23,24,25]. Although these trees are widespread, there is currently no industrial use for these trees.
Osage orange is native to Texas and Oklahoma but has spread throughout most of the temperate regions of the US [7]. Because of its hardiness and rapid growth, it has been labeled invasive [23]. Trees produce a large syncarp fruit (10–15 cm in diameter) which may contain up to 200 seeds depending on the environmental conditions and age of the tree. Seeds are edible by animals [2,7,18]. Black locust and Honey locust tree phenotypes closely resemble each other. However, their fruiting bodies are distinctly different [12,21,22]. Honey locust trees have been widely planted throughout the eastern United States as ornamentals and used as windbreaks and shelterbelts [5,9,11,17]. They are noted to be thorny and aggressive colonizers and thrive on a variety of soils and climates and in many states are considered to be invasive [3,4,5]. They are members of the legume family and are considered to be a nitrogen fixing species [19,22,24]. Honey locust produces numerous legume fruit pods annually within a few years after planting [3,9]. Honey locust seeds are edible and are considered to be a potential animal feedstock [11]. Black locust trees are native to the eastern United States and have since spread throughout the USA [6,8,12]. Black locust is considered a nitrogen fixing species, it grows rapidly and is considered to be an invasive species [14,15,16,21]. Its flowers are abundant in spring and taste sweet like sweet spring peas. Its fruits are abundant and legume-like in appearance and consist of a long pod (5 to 10 cm in length) containing 4–8 seeds [8,22]. Fruit pods remain on the tree until spring. Seeds of Black locust have been suggested to be poisonous [1,13,15,25].
All three of these trees could be industrial crops provided adequate non-food utilizations are demonstrated. These three trees have certain advantages over food and other industrial crops because being trees they do not require intensive applications of fertilizers and pesticides, they do not need be re-seeded since they readily coppice, and they do not require intensive irrigation and application of traditional farming methods such as tilling [26,27]. Osage seed oils may have biofuel and lubrication uses [28,29]. In addition, their seed meals could have non-dietetic utilizations. Previous investigators have suggested that tree seed meal has adhesive properties [7]. Recently, we demonstrated that Osage orange seed meal (OOSM) could be employed as an adhesive to bind with red cedar wood to fabricate composite wood panels (CWPs) [30] and bind with hemp mats to fabricate natural fiber composites [31]. It is the authors view that tree seed meals can provide adhesive resins which can bind to wood particles to fabricate CWPs.
Engineered wood products (EWPs) includes CWPs such as medium density fiberboards (MDFs), high density fiberboards (HDFs), particleboards (PBs), and oriented strand boards (OSBs). Commercial CWPs utilize renewable building materials (e.g., wood scraps and sawdust) [32,33]. The production of EWPs is growing at a compound annual growth rate (CAGR) of 26% [34]. This trend is expected to continue through to 2020 [34]. Commercial EWPs employ petroleum-based adhesives, e.g., phenol formaldehyde (PF), urea formaldehyde (UF) and melamine urea formaldehyde (MUF), which emits formaldehyde. Formaldehyde causes serious health problems for fabricators, installers and ultimately for end-users. There is much interest in the development of bio-based adhesives to replace petroleum-based adhesive products [35,36,37,38,39,40,41,42,43,44,45,46,47,48]. It has been estimated that the bio-adhesive market size will expand to $6 billion by 2019 with a CAGR of 13% from 2014 to 2019 [34]. There is a great need to develop new bio-adhesives to meet future commercial demands [34,43]. Seed meals of soybeans, Jatropha, distiller dried grains with solubles (corn meal), and cottonseed have been employed as bio-adhesives [49,50,51,52,53,54,55,56]. In this study, we explore the possibility of using seed meals derived from trees commonly grown in the Midwest as bio-adhesive resin. We seek to expand on our initial studies where we found that Osage orange seed meals could be employed as an adhesive by comparing the adhesive abilities of seed meals derived from three different tree species [30,31]. No formal studies have been expended to examine the adhesive properties of Black locust or Honey locust seed meals to date. Further, we will compare the adhesive properties of Osage orange, Black locust and Honey locust seed meals employing two different wood reinforcements (i.e., Paulownia elongata L. wood (PW), family Paulowniaceae and Osage orange wood (OOW) to fabricate CWPs. The physical and chemical properties of these two woods are given in Table 1. These species were selected because they are fast-growing, under-utilized species that have been suggested as potential biomass trees [57,58,59,60,61,62,63,64,65].
Table 1.
Physical and chemical properties of tree species wood employed as composite wood panel (CWP) reinforcements.
2. Materials and Methods
2.1. Materials and Processing Employed
Seeds of Osage orange (Maclura pomifera (Raf.) Schneid., family Moraceae) (OO), Black locust (Robinia pseudoacacia L., family Fabaceae) (BL) and Honey locust (Gleditsia triacanthos L., family Fabaceae) (HL) were collected from trees grown in Peoria, McLean and Tazewell Counties, Illinois in the years 2012–2016. The physical properties of the seeds are provided in Table 2. Seeds were initially milled with a Thomas–Wiley mill grinder (Model 4, Thomas Scientific, Swedesboro, NJ) using a 1 mm screen mesh. Seeds were defatted using a Soxhlet extractor with hexane. Following oil extraction, seed meals were finely ground with a laboratory bench top mill (Model 801 CVM, U.S. Stoneware, East Palestine, OH) using milling jars containing grinding pellets. Seed flours were sieved through a #40 and #80 screen to produce ≥177 μm particles to provide the final matrix ingredients (Figure 1).
Table 2.
Tree seed physical dimensions and composition.
Figure 1.
Seeds and ground seed meals. From left to right; original seeds, milled seeds prior to hexane extraction, final seed meal flour. Top row: Honey locust seed meal (HLSM), middle row: Black locust seed meal (BLSM); bottom row: Osage orange seed meal (OOSM).
Paulownia elongata L. wood (PW), Paulowniaceae family, tree trunks were obtained from 3-year-old trees grown in Fort Valley, GA. Osage orange wood (OOW) branches were obtained from 15-year-old trees grown in McLean County, IL. Tree trunks and branches were ground into chips using an electric wood chipper (Model CSV-2515, Patriot Products Inc., Pewaukee, WI, USA). Wood chips were milled through 4-, 2- and then 1-mm screens with a Wiley grinder (Model 4, Thomas Scientific, Swedesboro, NJ, USA) and fractions were collected and sized using a Ro-TapTm shaker (Model RX-29, Tyler, Mentor, OH, USA) fitted with screens of #10, #12 and #30 US Standard sizes (Newark Wire Cloth Company, Clifton, NJ, USA). Two wood particle fractions were used in this study: Particles collected between the #12 and #30 screen which were >600–1700 μm in size and particles collected that passed through #30 screen which were ≤600 μm in size. All materials (wood and flours) were oven-dried at 60 °C prior to testing and had a moisture content of ≈5–8%.
2.2. Preparation of Composite Panels
Composite panels consisted of an adhesive matrix (Osage orange seed meal (OOSM), Black locust seed meal (BLSM) and Honey locust seed meal (HLSM) of 10, 15, 25, 50, 75, and 100% mixed with equal proportions of >600–1700 μm and ≤600 μm PW or OOW of 90, 85, 75, 50, 25, and 0% (Table 3). Panels consisted of matrix and wood fillers were placed to a self-locking plastic bag and mixed together via circular agitation for 15 min in a compact dryer (Model MCSDRY1S, Magic Chef, Chicago, IL, USA). Mixed materials were transferred to an aluminum mold (15.2 cm W × 30.5 cm L × 5 cm D O.D.; 12.7 cm W × 28 cm L × 5 cm D; I.D.). The mold was transferred to a manual hydrolytic press (Model 4126, Carver Press Inc., Wabash, IN, USA) and pre-heated to 185 °C. Pressing consisted of application of 5.6 MPa pressure for 12 min. Following hot pressing, the mold was maintained under pressure and water cooled to room temperature before removal.
Table 3.
Weight percentage of matrix mixed with wood filler/reinforcement to create CWPs.
2.3. Analysis of Matrix Ingredients
Oil content of tree seed meals was determined by Soxhlet extraction of seed meals with a hexane solvent. Protein content of seed meals protein content was determined via combustion using a protein/nitrogen determinator (LECO FP-528 Model 601-500, Leco, St. Joseph, MI, USA). Moisture content of the untreated and solvent treated meals was obtained with a halogen moisture balance/analyzer (Model HG63, Mettler-Toledo International Inc., Columbus, OH). Amino acid analysis and chemical properties of tree seed meals were conducted by ANALAB, a division of Agri-King, Inc., Fulton, IL, USA.
2.4. Composite Panel Evaluation
Lignocellulosic panels were cut into specimen boards on a table saw and tested according to EN 310: 1993 procedures [66]. Boards had dimensions of 50 mm W × 127 mm L × ≈3.5–5.5 mm thickness. Modulus of rupture (MOR) and modulus of elasticity (MOE) tests were conducted on samples with an Instron testing machine (Model 1122, Instron Corp., Norwood, MA, USA). A cross-head speed of 5 mm/min was employed. For each composite formulation, five specimen boards were tested, and their average and standard errors reported. The experimental data obtained were analyzed statistically by analysis of variance for statistical significance and multiple comparisons of means using Duncan’s multiple test (p ≤ 0.05). Water absorption (WA) and thickness swelling (TS) were measured according to EN 317:1993 procedures [67]. Test samples were cut into 50 mm2 dimensions and immersed in distilled water for 24 hrs. Thickness and weight of samples were measured before and immediately after soaking.
3. Results and Discussion
3.1. Seed Meal Chemical Composition
Defatting of the seed meal by hexane extraction was conducted to remove oils which have been shown previously to impair interfacial bounding between the bio-based matrix and wood particles [56,68]. As shown in Table 2 and Figure 1, seed characteristics varied greatly among the three species tested. A considerable portion of the seed was the seed coat (Table 2).
Table 4 shows the crude analysis of the flours employed in this study. Crude protein was the major constituent of tree seed mean. OOSM was found to have the highest protein content (42.2%) of the seed meals while HLSM had the lowest (23.5%). The amino acids were the polymers of the proteins in tree seed meals (Table 5). Few significant differences were found in the seed meal amino acids for the three tree species tested. Of particular interest for this study was the association of protein content in the flours and their adhesive abilities. The importance of the protein content in soy seed meal as being the important adhesive component has been recognized in several studies [36,37,41,51,55,69,70]. It has been suggested that when proteins are denatured, they become amenable to binding with wood particles [37,41,52,55]. The moisture content of the adhesive affects the processing and speed of production [71]. Moisture content of tree meals were less than that of the wood fillers/reinforcements (i.e., 8.5% PW and 8.9% OOW). Oven drying the meals and wood prior to use moisture content to 5–8% mitigated moisture content as a factor in our testing. As shown in Table 1, cellulose, lignin and hemicellulose content was different between the two wood reinforcement materials employed. PW had higher cellulose and hemicellulose content than OOW but much lower lignin levels than OOW.
Table 4.
Composition of defatted tree seed and soybean meals in percentages a.
Table 5.
Amino acids presented as percent of dry matter for the species employed a.
3.2. Lignocellulosic Panel Properties
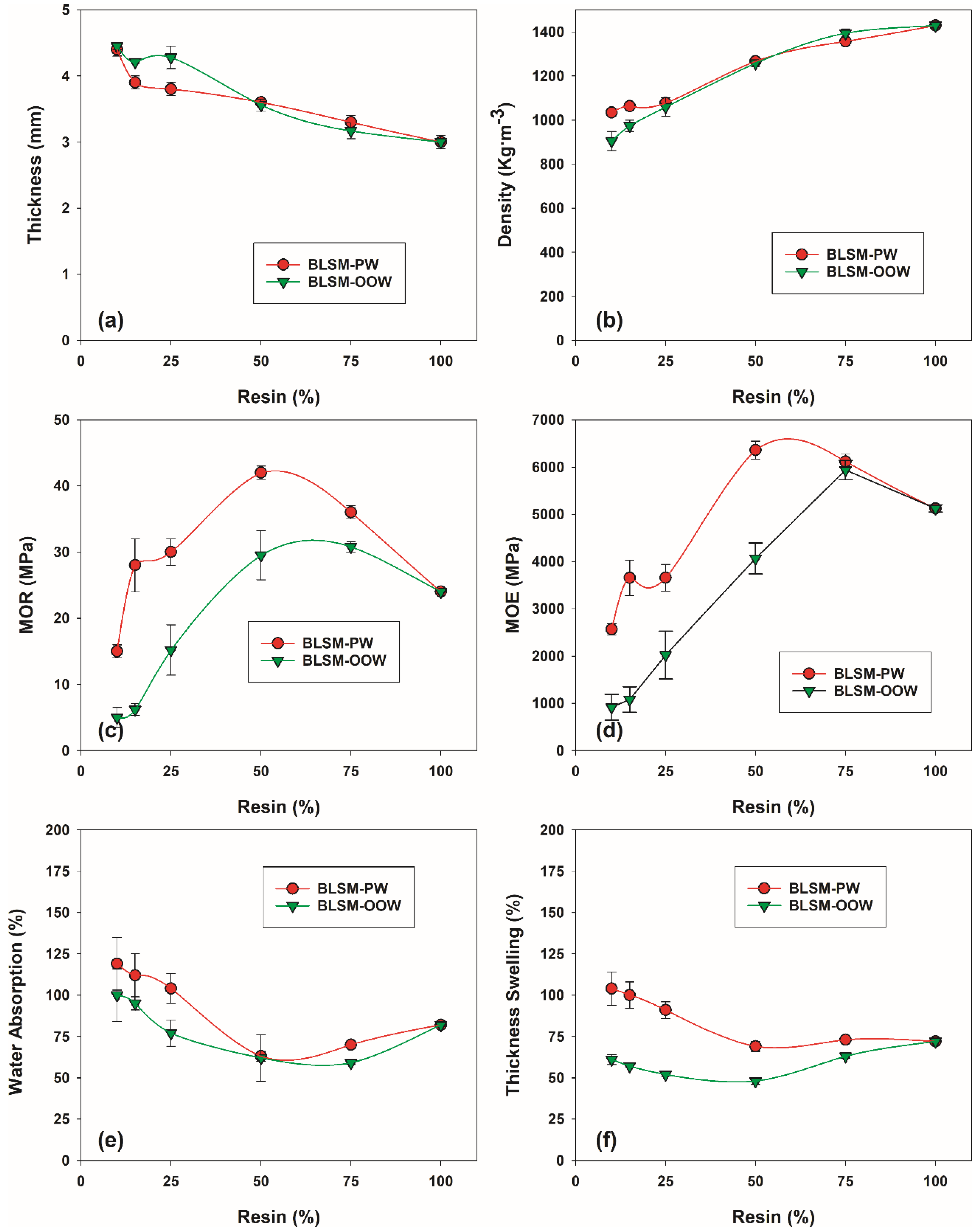
Examples of CWPs employing OOSM, BLSM and HLSM matrices with PW are shown in Figure 2. Increasing the concentration of matrix resulted in a decided darkening of the panel (Figure 2). Extremely dark panels occurred when 50 and 75% matrices were employed suggesting that severe protein denaturation occurred. Similarly, CWP employing tree seed meals with OOW exhibited the same responses (Figure 3). The physical, flexural and dimensional stability properties of the CWPs are presented in Figure 4, Figure 5 and Figure 6. Each tree seed meal expresses its adhesive properties somewhat differently (Figure 4, Figure 5 and Figure 6). CWPs composed of 100% tree meal were noted to be brittle and prone to self-shattering compared to CWPs containing less seed meal (Figure 1 and Figure 2). CWPs comprising of 100% OOSM had similar MOR and MOE values as 100% BLSM-CWPs. Attempts to mold 100% HLSM-CWPs were unsuccessful due to excessive molten liquification and loss of material during the pressing procedure.
Figure 2.
Seed meal: PW CWPs. From left to right; % seed meal; % PW: 10:90, 15:85, 25:75, 50:50, 75:25, and 100:0. Top row, HLSM, middle row, BLSM; bottom row, OOSM. Bar = 25 mm.
Figure 3.
Seed meal: OOW CWPs. From left to right; % seed meal; % OOW: 10:90, 15:85, 25:75, 50:50, 75:25, and 100:0. Top row, HLSM; middle row, BLSM; bottom row, OOSM. Bar = 25 mm.
Figure 4.
The influence of OOSM on the dimensional, flexural and dimensional stability properties of various CWPs. Curve plots: (a) Thickness, (b) density, (c) MOR, (d) MOE, (e) water absorption, (f) thickness swelling.
Figure 5.
The influence of BLSM on the dimensional, flexural and dimensional stability properties of various CWPs. Curve plots: (a) Thickness, (b) density, (c) MOR, (d) MOE, (e) water absorption, (f) thickness swelling.
Figure 6.
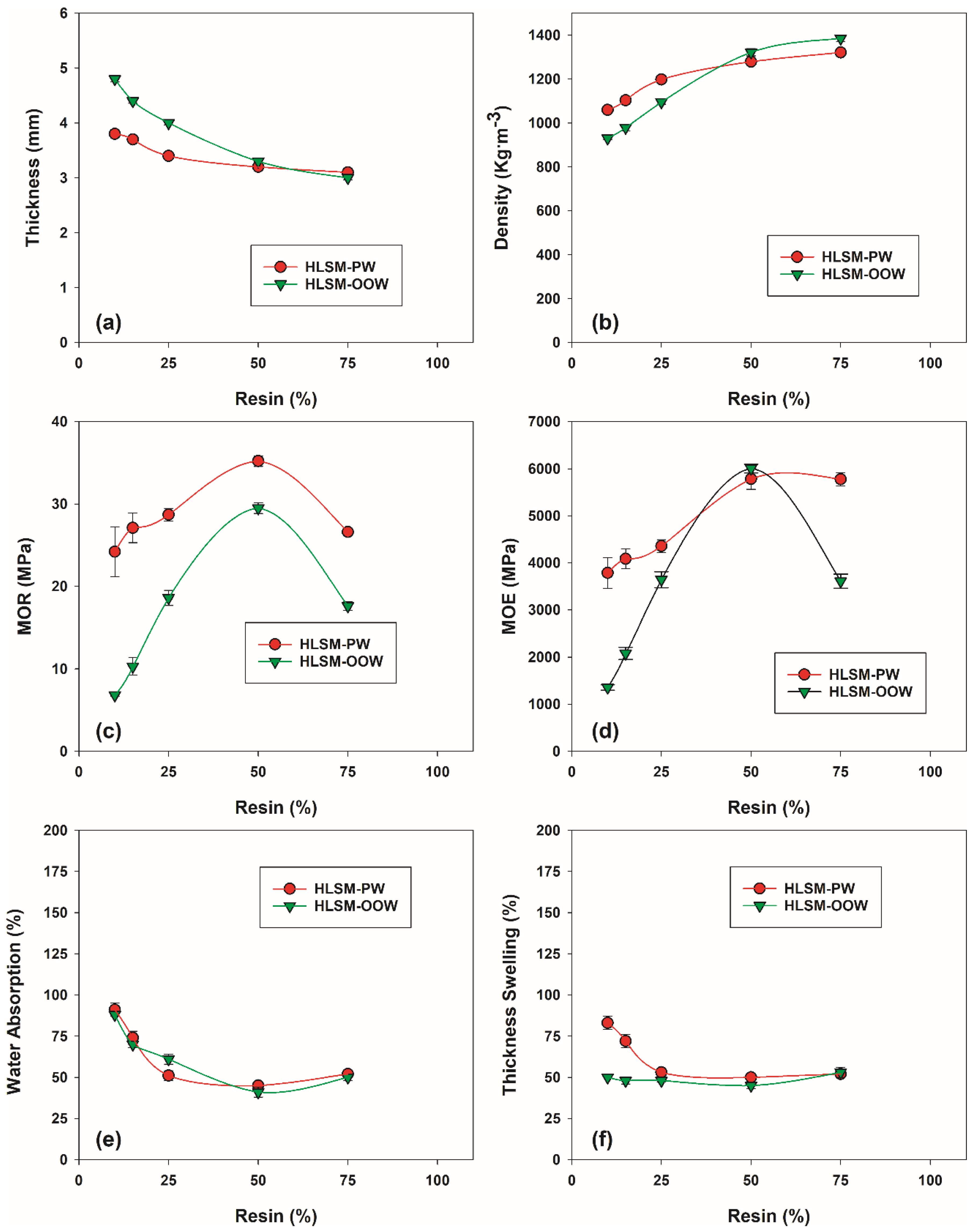
The influence of HLSM on the dimensional, flexural and dimensional stability properties of various CWPs. Curve plots: (a) Thickness, (b) density, (c) MOR, (d) MOE, (e) water absorption, (f) thickness swelling.
Increasing the concentration of adhesive seed meals in the CWPs while decreasing the proportion to the wood filler/reinforcement resulted in CWPs with higher densities and flexural properties (Figure 4, Figure 5 and Figure 6). Conversely, the thickness of the CWPs declined as adhesive seed meal concentrations increased. This suggests that greater binding between the adhesive and the wood occurs. Highest flexural properties (MOR and MOE) generally occurred at the 50% and 75% concentrations of adhesives. CWPs of 10, 15 or 25% seed meals mixed with PW generally had higher flexural properties than CWPs of 10, 15 or 25% seed meals mixed with OOW (Figure 4, Figure 5 and Figure 6). However, CWPs of 50 and 75% seed meals reinforced with PW or OWW often showed similar flexural properties. Clearly, the type of wood reinforcement employed had a significant impact on the resultant mechanical properties of the composite panels especially when high concentrations of wood were utilized (Figure 4, Figure 5 and Figure 6). Other investigators employing synthetic resins (e.g., UF) have reported that wood species have a profound impact on CWP performance [72,73,74,75,76]. OOW is notable for its extractives which appear to interfere with the binding between the matrix and the wood reinforcement resulting in an inferior CWP [10,58].
Table 6 compares the nominal properties for CWPs acceptable to the European Committee for Standardization with the properties of tree seed meal CWPs generated in this study. Several studies have employed PW to fabricate particleboard panels [60,65,77,78]. These prior investigations showed that PW PBs satisfied the minimum industry flexural requirements for commercial particleboard. PBs utilizing OOW as a filler/reinforcement binding with UF exhibited inferior flexural properties when compared to PBs fabricated with Eastern Red Cedar wood binding with UF [77]. In addition, PBs reinforced with OOW failed to satisfy the nominal flexural properties required by commercial PB standards [77,78]. In our study, several CWPs utilizing tree seed meals reinforced with PW exhibited flexural properties that were comparable to minimum strength requirements of European standards for general purpose uses [79,80,81]. However, most the tree seed meal-OOW CWP formulations (e.g., 10, 15 or 25% concentrations) had decidedly inferior flexural properties when compared to tree seed meal-PW composites. This suggests that PW may be superior to other wood sources for the fabrication of EWPs, further research to compare PW to other wood types to prepare CWPs are ongoing. The PW composite panels, especially the 50 and 75% concentrations, fabricated in this study satisfied the MOR and MOE requirements for general uses and interior fitments including furniture manufacture prescribed in European standards [79,80,81].
Table 6.
European Committee for Standardization nominal properties for various CWPs employed in interior dry and humid conditions compared to tree seed meal CWPs. Note: Particleboards (PB), medium density fiberboards (MDF) and hardboard (HB) density values are reported in the literature and none are authorized by standards.
Dimensional stability (i.e., water absorption and thickness swelling) values after 24 h soaking improved for all composite formulations regardless of the tree species meal employed when the dosage increased (Figure 4, Figure 5 and Figure 6). High compaction of the ingredients occurred in CWPs with higher matrix dosages as evidenced by a reduction in thickness coupled with higher densities and resulted in CWPs that absorbed less water and had less TS% (Figure 4, Figure 5 and Figure 6). However, in TS% of CWPs using tree seed meals, they were distinctly inferior to CWPs fabricated with synthetic adhesives and did not meet industry standards. This suggests that CWPs composed of tree seed meals have dimensional stability properties that need to improve in order for them to become commercially acceptable. However, bio-based CWPs could be employed in interior situations where water contact can be avoided through a surface cladding application. Interestingly, CWPs utilizing OOW had better dimensional stability properties than CWPs utilizing PW (Figure 4, Figure 5 and Figure 6). This was especially notable with the CWPs employing lower dosages of seed meals (i.e., 10–25%). We can speculate that this was due to the higher density and unique extractives of OOW wood compared to PW which provides more of a barrier to water absorption [57,58,61,63].
As previously mentioned, there is much interest in the development of bio-based adhesives to replace petroleum-based adhesives that emit formaldehyde [36,55]. Soybean or soy flour is recognized as being a likely economic competitor to petroleum-based adhesives [36,55]. Prior studies have shown that CWPs composed of soya flour reinforced with ERC compared similarly to CWPs composed of OOSM reinforced with ERC in terms of their flexural properties [30]. Similarly, CWPs of OOSM and ERC wood compared favorably in terms of flexural properties to established industrial standards [30]. As show in Table 6, CWPs of tree seed meals reinforced with either OOW or PW compared favorably with established flexural properties. Increasing the seed flour concentrations in CWPs from 10 to 75% dramatic increases in the MOR and MOE values for all CWPs regardless of the tree seed meal (OOM, BLM and HLM) employed. These results suggest that tree seed meals may have an economic use as an adhesive matrix in the fabrication of CWPs.
4. Conclusions
Dry tree seed flours derived from Honey locust, Osage orange or Black locust trees were found to have adhesive properties that bind with wood of Paulownia or Osage orange to produce CWPs. Wood particles were mixed dry with tree seed meals and hot pressed into composite panels to produce CWPs. CWPs contained 10 to 75% OOW, HLM or BLM with 90 to 25% PW or OOW. Generally, composite panels of seed meal reinforced with PW exhibited greater flexural properties compared to composite panels containing tree seed meals and OOW. The highest flexural properties were consistently obtained from CWPs containing 25–75% tree seed flour. Flexural properties of CWPs containing tree-seed meal and PW and OOW were comparable to acceptable industrial standards. However, the dimensional stability of CWPs employing seed meals were found to inferior to industrial standards. At lower seed meal dosages (10–25%) dimensional stability properties of CWPs were better when utilizing OOW than PW. These results demonstrate that tree seed flours have adhesive properties that may be employed in the fabrication of CWPs that are free of formaldehyde emissions.
Author Contributions
B.T. and R.H.-O. conceived and designed the experiments; R.H.-O. conducted extraction experiments; B.T. prepared materials and panels and conducted mechanical testing and; analyzed the data; B.T. and R.H.-O. wrote the paper.
Funding
This research received no external funding.
Acknowledgments
The authors are grateful to Nicholas Montesdeoca, U.S. Department of Agriculture-Agricultural Research Service (USDA-ARS) for technical assistance, Joshee Nirmal, Fort Valley State University, Fort Valley, Georgia for Paulownia wood and Alan Gravett for Osage orange seeds. Mention of trade names or commercial products in this publication is solely for the purpose of providing specific information and does not imply recommendation or endorsement by the USDA. USDA is an equal opportunity provider and employer. Funding was provided by USDA-ARS.
Conflicts of Interest
The authors declare no conflicts of interest.
References
- Austin, A. Black Locust; Bellarmine University: Louisville, KY, USA, 2005; Available online: https://www.bellarmine.edu/faculty/drobinson/BlackLocust.asp (accessed on 6 July 2018).
- Burton, J.D. Osage-Orange. USDA-FS, FS-248. Available online: https://www.srs.fs.usda.gov/pubs/misc/ag_654/volume_2/maclura/pomifera.htm (accessed on 16 July 2019).
- CABI. Gleditsia triacanthos (honey Locust). Invasive Species Compendium. 2019. Available online: https://www.cabi.org/isc/datasheet/25272#tosummaryOfInvasiveness (accessed on 16 July 2019).
- Dean, M. Councils Combine to Combat Invasive Honey Locust Plant. Available online: https://www.bundabergnow.com/2019/06/11/honey-locust-invasive-plant/ (accessed on 30 July 2019).
- Duke, J.A. Gleditsia triacanthos L. Handbook of Energy Crops; Center for New Crops & Plant Products, Purdue University: West Lafayette, IN, USA, 1983. [Google Scholar]
- Greene, W. Black Locust: The Tree on Which the US was Built. Available online: https://www.livescience.com/50732-black-locust-tree-shaped-the-united-states.html (accessed on 23 July 2019).
- Smith, J.L.; Perino, J.V. Osage orange (Maclura pomifera): History and economic uses. Econ. Bot. 1981, 35, 24–31. [Google Scholar] [CrossRef]
- Stone, K.R. Robinia pseudoacacia. Fire Effects Information System, USDA-FS-RMRS. 2009. Available online: https://www.fs.fed.us/database/feis/plants/tree/robpse/all.html (accessed on 28 June 2019).
- Sullivan, J. Gleditsia triacanthos. Fire Effects Information System, USDA-FS-RMRS. 1994. Available online: https://www.fs.fed.us/database/feis/plants/tree/gletri/all.html (accessed on 28 June 2019).
- Hart, J.H. Morphological and chemical differences between sapwood, discolored sapwood, and heartwood in black locust and Osage orange. For. Sci. 1968, 14, 334–338. [Google Scholar]
- Heuzé, V.; Tran, G.; Savant, D.; Lebas, F. Honey locust (Gleditsia tricanthos) Feedipedia, a Programme by INRA, CIRAD, AFZ and FAO. 2018. Available online: https://www.feedipedia.org/node/295 (accessed on 2 July 2019).
- HenoftheWood. Foraging: Identifying & Harvesting Black Locust. Available online: https://foragedfoodie.blogspot.com/2013/05/foraging-identifying-harvesting-black.html (accessed on 23 July 2019).
- Hui, A.; Marraffa, J.M.; Stork, C.M. A rare ingestion of the black locust tree. J. Toxicol. Clin. Toxicol. 2004, 42, 94–95. [Google Scholar] [CrossRef] [PubMed]
- MDOT. Minnesota Noxious Weeds. Minnesota Department of Transportation, 2019. Available online: https://www.dot.state.mn.us/roadsides/vegetation/pdf/noxiousweeds.pdf (accessed on 23 July 2019).
- MDNR. Black Locust-Invasive Species-Best Control Practices. Michigan Department of Natural Resources, 2012. Mich. Nat. Features Inventory 2/2012. Available online: https://mnfi.anr.msu.edu/invasive-species/BlackLocustBCP.pdf (accessed on 23 July 2019).
- Hanover, J.W. Black locust: An excellent fiber crop. In New Crops; Janick, J., Simon, J.E., Eds.; Wiley: New York, NY, USA, 1993; pp. 432–435. [Google Scholar]
- Minnesota Wildflowers. Gleditsia triacanthos (Honey Locust). 2019. Available online: https://www.minnesotawildflowers.info/tree/honey-locust (accessed on 23 July 2019).
- Oranges.com. The Osage Orange Tree. 2016. Available online: https://oranges.com/the-osage-orange-tree (accessed on 28 June 2019).
- Nesom, G.; Guala, G. Plant Guide: Honey Locust. USDA-NRCS. 2003. Available online: https://plants.usda.gov/plantguide/pdf/pg_gltr.pdf (accessed on 28 June 2019).
- PFAF.org. Maclura pomifera—(Raf.) C.K. Schneid. Plants for a Future. 2016. Available online: https://www.pfaf.org/user/Plant.aspx?LatinName=Maclura+pomifera (accessed on 28 June 2019).
- Usvast, L. Reforestation and Medicinal Use of the Trees-Legume Trees Fix the Soil. Available online: https://lilianausvat.blogspot.com/2014/02/legume-trees-fix-soil.html#.XRuaPXF7ncs (accessed on 28 June 2019).
- Reed, C. About Locust Trees Bean Pods. Available online: https://www.gardenguides.com/12471117-about-locust-trees-bean-pods.html (accessed on 28 June 2019).
- Invasive.org. Illinois Invasive Plant List. 2016. Available online: https://www.invasive.org/species/list.cfm?id=152 (accessed on 23 July 2019).
- Wilson, A. Nitrogen Fixation in Honeylocust Roots!?! Available online: https://faculty.virginia.edu/honeylocust-agroforestry/agroforestry/Honeylocust%20Research%20Newsletter%20No.%202.htm (accessed on 28 June 2019).
- Woodweb.com. Toxicity of Black Locust. Available online: https://www.woodweb.com/knowledge_base/Toxicity_of_Black_Locust.html (accessed on 18 June 2019).
- Grace Communications Foundation. Industrial Crop Production. 2016. Available online: https://www.sustainabletable.org/804/industrial-crop-production (accessed on 23 July 2019).
- Padulosi, S.; Eyzaquirre, P.; Hodgkin, T. Challenges and strategies in promoting conservation and use of neglected and underutilized crop species. In Perspectives on New Crops and Uses; Janick, J., Ed.; ASHS Press: Alexandria, VA, USA, 1999; pp. 140–144. [Google Scholar]
- Harry-O’Kuru, R.E.; Tisserat, B.; Gordon, S.H.; Gravett, A. Osage orange (Maculura pomifera L.) seed oil poly(α-hydroxydibutylamine) triglycerides: Synthesis and characterization. J. Agric. Food Chem. 2015, 63, 6588–6595. [Google Scholar] [CrossRef]
- Moser, B.R.; Eller, F.J.; Tisserat, B.H.; Gravett, A. Preparation of fatty acid methyl ester from Osage orange (Maclura pomifera) oil and evaluation as biodiesel. Energy Fuels 2011, 25, 1869–1877. [Google Scholar] [CrossRef]
- Tisserat, B.; Eller, F.; Mankowski, M.E. Properties of composite wood panels fabricated from Eastern Redcedar employing various bio-based green adhesives. BioResources 2019, 14, 6666–6685. [Google Scholar] [CrossRef]
- Tisserat, B. Fabrication of natural fiber composites consisting of Osage orange seed flour reinforced with non-woven hemp mats. J. Polym. Environ. 2018, 26, 3957–3966. [Google Scholar] [CrossRef]
- Carll, C. Wood Particleboard and Flakeboard. USDA-FS-FPRL-Gen. Tech. Rpt. FPL-GTR-53. 1986. Available online: https://www.fpl.fs.fed.us/documnts/fplgtr/fplgtr53.pdf (accessed on 16 July 2018).
- Kurtz, C. Experts Talk about Engineered Wood. Available online: https://www.networx.com/article/experts-talk-about-engineered-wood (accessed on 23 July 2019).
- MarketsandMarkets.com. Bioadhesive Market by Type (Plant Based, and Animal Based) by Application (Packaging & Paper, Construction, Wood, Personal Care, Medical, and Others)—Global Forecast to 2019. April 2015. Report Code CH 3015. Available online: https://www.marketsandmarkets.com/Market-Reports/bioadhesive-market-16386893.html (accessed on 23 July 2019).
- Gross, M. Getting Stuck in. Chemistry World. Available online: https://www.rsc.org/images/Bioadhesives%20-%20Getting%20Stuck%20In_tcm18-210693.pdf (accessed on 23 July 2019).
- Frihart, C.R.; Lorenz, L. Protein Modifiers Generally Provide Limited Improvement in Wood Bond Strength of Soy Flour Adhesives. For. Prod. J. 2013, 63, 138–142. [Google Scholar] [CrossRef]
- Frihart, C.R.; Hunt, C.; Birkeland, M.J. Chapter 16: Soy proteins as wood adhesives. In Recent Advances in Adhesion Science and Technology; Gutowski, W., Dodiuk, H., Eds.; CRC Press: Boca Raton, FL, USA, 2014; pp. 277–294. [Google Scholar] [CrossRef]
- Elbadawi, M.; Osman, Z.; Paridah, T.; Nasroun, T.; Kantiner, W. Mechanical and physical properties of particleboards made from Ailanthus wood and UF resin fortified by Acacias tannins blend. J. Mater. Environ. Sci. 2015, 6, 1016–1021. [Google Scholar]
- Huei, R.O.; Prasad, D.M.R.; Khan, M.R.; Rao, D.S.; Jeyaratnam, N.; Raman, D.K. Effect of Jatropha Seed Oil Meal and Rubber Seed Oil Meal as Melamine Urea Formaldehyde Adhesive Extender on the Bonding Strength of Plywood. J. Appl. Sci. 2012, 12, 1148–1153. [Google Scholar] [CrossRef][Green Version]
- Hunt, C.G.; Frihart, C.; O’Dell, J. Heat resistant soy adhesives for structural wood products. In Proceedings of the 32nd Annual Meeting of the Adhesion Society, Savannah, GA, USA, 15–18 February 2009; pp. 74–76. [Google Scholar]
- Khosravi, S. Protein-Based Adhesives for Particleboards. Doctoral Thesis, KTH Royal Institute of Technology, Department of Fibre and Polymer Technology, Stockholm, Sweden, 2016. Available online: https://www.diva-portal.org/smash/get/diva2:878500/FULLTEXT01.pdf (accessed on 1 August 2019).
- Pervaiz, M.; Sain, M. Protein extraction from secondary sludge of paper mill wastewater and its utilization as a wood adhesive. Bioresources 2011, 6, 961–970. [Google Scholar] [CrossRef]
- Wrede, K. Progress in Eco-Friendly Adhesives. Available online: https://www.european-coatings.com/layout/set/print/Publications/Blog/Progress-in-eco-friendly-adhesives (accessed on 28 June 2019).
- Pijak, J. This Potato Starch Paper Glue Boasts no Harmful Additives. Available online: https://www.trendhunter.com/trends/paper-glue (accessed on 28 June 2019).
- Peltola, M.; Neu, T.R.; Raulio, M.; Kolari, M.; Salkinoja-Salonen, M.S. Architecture of Deinococcus geothermalis biofilms on glass and steel: A lectin study. Environ. Microbiol. 2008, 10, 1752–1759. [Google Scholar] [CrossRef] [PubMed]
- Nur Farahain, K. Jatropha Oil Based Bio-Adhesive for Plywood Application. Master’s Thesis, University Malaysia Pahang, Pahang, Malaysia, 2013. [Google Scholar]
- Olympic-adhesives.com. Natural Adhesives. Olympic Adhesives, Inc., 2016. Available online: https://olympic-adhesives.com/Nat_Adhes.html (accessed on 28 June 2019).
- Dumé, B. ‘Glue’ in English Ivy Contains Glycoprotein Nanoparticles. Available online: https://nanotechweb.org/cws/article/tech/65147 (accessed on 5 July 2018).
- Ong, H.R.; Prasad, R.; Khan, M.M.R.; Chowdhury, M.N.K. Effect of palm kernel meal as melamine urea formaldehyde adhesive extender for plywood application: Using a Fourier Transform Infrared Spectroscopy (FTIR) study. Appl. Mech. Mater. 2011, 121, 493–498. [Google Scholar] [CrossRef]
- He, Z.; Chapital, D.C. Preparation and Testing of Plant Seed Meal-based Wood Adhesives. J. Vis. Exp. 2015, 97, e52557. [Google Scholar] [CrossRef]
- Gao, Q.; Li, J.; Shi, S.Q.; Liang, K.; Zhang, X. Soybean meal-based adhesive reinforced with cellulose nano-whiskers. Bioresources 2012, 7, 5622–5633. [Google Scholar] [CrossRef]
- Gao, Q.; Shi, S.Q.; Zhang, S.; Li, J.; Wang, X.; Ding, W.; Liang, K.; Wang, J. Soybean meal-based adhesive enhanced by MUF resin. J. Appl. Polym. Sci. 2012, 12, 3676–3681. [Google Scholar] [CrossRef]
- Morton, J. Carob. In Fruits of Warm Climates; Morton, J.F., Ed.; Florida Flair Books: Miami, FL, USA, 1987; pp. 65–69. [Google Scholar]
- Xi, U.; Wng, C.; Chu, F.; Frihart, C.R.; Lorenz, L.F.; Stark, N.M. Chemical modification of soy flour protein and its properties. Adv. Mater. Res. 2012, 343–344, 875–881. [Google Scholar] [CrossRef]
- Wescott, J.; Frihart, C. Sticking Power from Soya Beans: Higher Fossil Fuel Prices and Concerns Over Formaldehyde In Existing Glue Formulations Have Led To A Resurgence In Interest In Soya-Based Adhesives. Chem. Ind. 2011, 3, 21–23. [Google Scholar]
- Tisserat, B.; Hwang, H.-S.; Vaughn, S.F.; Berhow, M.A.; Peterson, S.C.; Joshee, N.; Vaidya, B.N.; Harry-O’Kuru, R. Fiberboard created using the natural adhesive properties of distillers dried grains with solubles. BioResources 2018, 13, 2678–2701. [Google Scholar] [CrossRef]
- Wood-database.com. Osage Orange. Available online: https://www.wood-database.com/?s=Osage+Orange (accessed on 28 June 2019).
- Salem, M.Z.M.; Mohamed, N.H. Physico-chemical characterization of wood from Maclura pomifera (Raf.) C.K. Schneid. adapted to the Egyptian environmental conditions. J. For. Prod. Ind. 2013, 2, 53–57. [Google Scholar]
- San, H.P.; Long, L.K.; Zhang, C.Z.; Hui, T.C.; Seng, W.Y.; Lin, F.S.; Hun, A.T.; Fong, W.K. Anatomical features, fiber morphological, physical and mechanical properties of three years old new hybrid Paulownia: Green Paulownia. Res. J. For. 2016, 1, 30–35. [Google Scholar] [CrossRef]
- Kaymakci, A.; Bektas, I.; Bal, B.C. Some mechanical properties of Paulownia (Paulownia elongate) wood. In Proceedings of the International Caucasian Forestry Symposium, Artvin, Turkey, 24–26 October 2013; Available online: https://www.researchgate.net/publication/275287592_Some_Mechanical_Properties_of_Paulownia_Paulownia_elongata_Wood/link/55373d670cf2058efdeab04c/download (accessed on 8 October 2019).
- Wood-database.com. Paulownia. Available online: https://www.wood-database.com/paulownia/ (accessed on 28 June 2019).
- El-Showk, S.; El-Showk, N. The Paulownia Tree—An Alternative for Sustainable Forestry. Available online: https://www.cropdevelopment.org/docs/PaulowniaBrochure_print.pdf (accessed on 23 July 2019).
- WPI.com. Technical Characteristics of Paulownia Wood & the Physical Properties of Paulownia. 2019. Available online: https://worldpaulownia.com/technical/ (accessed on 28 June 2019).
- Ates, S.; Ni, Y.; Akgul, M.; Tozluoglu, A. Characterization and evaluation of Paulownia elongata as a raw material for paper production. Afr. J. Biotechnol. 2008, 7, 4153–4158. [Google Scholar]
- Kalaycioglu, H.; Deniz, I.; Hiziroglu, S. Some of the properties of particleboard made from Paulownia. J. Wood Sci. 2005, 51, 410–414. [Google Scholar] [CrossRef]
- European Committee for Standardization. Wood-Based Panels—Determination of Modulus of Elasticity in Bending and of Bending Strength; EN 310:1993; European Committee for Standardization: Brussels, Belgium, 1993. [Google Scholar]
- European Committee for Standardization. Particleboards and Fibreboards—Determination of Swelling in Thickness after Immersion in Water; EN 317:1993; European Committee for Standardization: Brussels, Belgium, 1993. [Google Scholar]
- Tisserat, B.; Eller, F.; Harry-O’kuru, R. Various extraction methods influence the adhesive properties of dried distiller’s grains and solubles, and press cakes of pennycress (Thlaspi arvense L.) and Lesquerella [Lesquerella fendleri (A. Gary) S. Watson] in the fabrication of lignocellulosic composites. Fibers 2018, 6, 16. [Google Scholar] [CrossRef]
- Hojilla-Evangelista, M.P. Adhesive qualities of soybean protein-based foamed plywood glues. JAOCS 2002, 79, 1145–1149. [Google Scholar] [CrossRef]
- Li, C.; Li, H.; Zhang, S.; Li, J. Silane coupling agent soy adhesive. Bioresources 2014, 9, 5448–5460. [Google Scholar] [CrossRef]
- Frihart, C.R.; Yelle, D.J.; Wiedenhoeft, A.C. Enhancing bondline performance. In Proceedings of the Final Conference in COST E34, Bonding of Timber, Sopron, Hungary, 6–7 May 2008. [Google Scholar]
- Baharoğlu, M.; Nemli, G.; Sari, B.; Birtürk, B.S. Effects of anatomical and chemical properties of wood on the quality of particleboard. Compos. Part B 2013, 52, 282–285. [Google Scholar] [CrossRef]
- Baharoğlu, M.; Nemli, G.; Sari, B.; Birtürk, B.S.; Ayrilmis, N. The influence of moisture content of raw material on the physical and mechanical properties, surface roughness, wettability, and formaldehyde emission of particleboard composite. Compos. Part B 2012, 43, 2448–2451. [Google Scholar] [CrossRef]
- Rathke, J.; Sinn, G.; Harm, M.; Teischinger, A.; Weigl, M.; Müller, U. Effects of alternative raw materials and varying resin content on mechanical and fracture mechanical properties of particle board. Bioresources 2012, 7, 2970–2985. [Google Scholar] [CrossRef]
- Rathke, J.; Sinn, G.; Weigl, M.; Müller, U. Analysing orthotropy in the core layers of wood based panels by means of fracture mechanics. Eur. J. Wood Prod. 2012, 70, 851–856. [Google Scholar] [CrossRef]
- Vital, B.R.; Lehmann, W.F.; Boone, R.S. How species and board densities affect properties of exotic hardwood particleboards. For. Prod. J. 1980, 24, 37–45. [Google Scholar]
- Khanjanzadeh, H.; Bahmani, A.A.; Rafighi, A.; Tabarsa, T. Utilization of bio-waste cotton (Gossypium hirsutum L.) stalks and underutilized Paulownia (Paulownia fortunie) in wood-based composite particleboard. Afr. J. Biotechnol. 2012, 11, 8045–8050. [Google Scholar] [CrossRef]
- Hiziroglu, S. Overlaying Properties of Particleboard Panels Made from Eastern Redcedar and Osage Orange. 2007. Available online: https://www.swst.org/wp/meetings/IUFRO/pdfs/D505%20Session%20C%20-%20Environmental%20impacts%20and%20benefits%20of%20WBC/5.05%20C_5%20Salim%20HIZIROGLU.pdf (accessed on 23 July 2019).
- Hiziroglu, S. Some of the properties of three-layer particleboard panels made from under-utilized species in Oklahoma. J. Compos. Mater. 2007, 41, 467–476. [Google Scholar] [CrossRef]
- European Committee for Standardization. Fibreboards—Specifications—Part. 2: Requirements for Hardboards; EN 622-2:1997; European Committee for Standardization: Brussels, Belgium, 1997. [Google Scholar]
- European Committee for Standardization. Particleboard—Specifications. Particleboard—Specifications; EN 312:2003; European Committee for Standardization: Brussels, Belgium, 2003. [Google Scholar]
- European Committee for Standardization. Fibreboards—Specifications—Part. 5: Requirements for Dry Process Boards (MDF); EN 622-5:2006; European Committee for Standardization: Brussels, Belgium, 2006. [Google Scholar]
© 2019 by the authors. Licensee MDPI, Basel, Switzerland. This article is an open access article distributed under the terms and conditions of the Creative Commons Attribution (CC BY) license (http://creativecommons.org/licenses/by/4.0/).





