Abstract
Textile reinforced mortar or concrete, a thin cementitious composite reinforced by non-corrosive polymer textile fabric, was developed and has been researched for its role on repair and strengthening of reinforced concrete (RC) structures. Due to embedment of polymeric textile fabric inside the cementitious matrix, many researchers argued the superiority of this technology than the externally bonded fiber reinforced polymer (FRP) sheet in RC in terms of prevention of debonding of FRP and durability in fire. However, due to use of cement rich matrix the existing development of textile reinforced concrete (TRC) need to be more environmental friendly by replacing cement based binder with geopolymeric binder. This paper presents a first study on the flexural behavior of alkali resistant glass fiber textile reinforced geopolymer (TRG). In this study, two types of geopolymer binder is considered. One is fly ash based heat cured geopolymer and the other is fly ash/slag blended ambient air cured geopolymer binder. Both geopolymer types are considered in the TRG and the results are benchmarked with the current cement based TRC. The effect of short polyvinyl alcohol (PVA) fiber as hybrid reinforced with alkali-resistant (AR) glass fiber textile on the flexural behavior of above TRC and TRGs is also studied. Results show deflection hardening behavior of both TRGs with higher flexural strength in heat cured TRG and higher deflection capacity at peak load in ambient air cured TRG. The increase in PVA fiber volume fraction from 1% to 1.5% did not show any improvement in flexural strength of both TRGs although TRC showed good improvement. In the case of deflection at peak load, an opposite phenomenon is observed where the deflection at peak load in both TRGs is increased due to increase in PVA fiber volume fractions.
1. Introduction
Fibers are added to concrete to address its brittleness and low tensile and flexural strengths. Various types of fibers are used to reinforce the concrete. These are short fibers—metallic, synthetic, polymeric, and plant based—as well as in the form of mesh/fabric of above fibers. Fiber reinforced concrete or fiber reinforced cementitious composites have shown significant development path in the last few decades resulting in strain hardening behavior. High performance fiber reinforced cementitious composites exhibiting strain hardening and multiple cracking behavior with tight crack width properties is the example of this development [1,2,3,4]. These high performance composites also showed excellent durability properties [5].
Ferrocement, a thin steel wire mesh reinforced cement composites, is another development in the field of fiber reinforced cementitious composites [6,7,8]. However, to address the corrosion of steel wire mesh in ferrocement the use of non-corrosive fabric is proposed by many researchers [9]. Hence, textile reinforced concrete (TRC) is developed where 2-D continuous multifilament yarns made of non-corrosive fabric (polymeric or carbon or alkali-resistant glass fabric, etc.) is used as reinforcement in finely ground cement based matrix. Due to the alignment of continuous fibers in the fabric, textile reinforced concrete exhibits well distributed cracking behavior in flexure and tension.
Fiber reinforced polymer (FRP) is another promising composite developed and widely researched in last few decades. However, the FRP composite exhibits a few drawbacks—namely high cost, poor performance at high temperatures, inability to apply on wet surfaces, etc. [10,11,12,13,14]. In addition, retrofitting using FRP is also vulnerable due to brittle failure mode of FRP in tension compared to steel [15,16]. Premature debonding of FRP sheet/plate from concrete is the commonly observed phenomenon of FRP strengthened reinforced concrete (RC) beams/slabs. The alleviation of these drawbacks may be realized by the TRC where a similar type of polymeric fiber years as of FRP is bounded in to the cementitious matrix.
Considerable research has been devoted to various aspects of TRC from its mechanical and durability properties to the strengthening/retrofitting of concrete structures using TRC [17,18,19,20]. In the case of strengthening of RC structures using TRC significant improvement in ultimate load capacity of existing structures can be achieved, while its application is simple and can be applied in any complex shape [21,22,23]. The addition of short fibers in the matrix of TRC is also studied by several researchers and found that the hybridization of short polymeric fibers with textile have positive effects on various properties of TRC—e.g., increase in ultimate tensile strength of TRC, reducing the crack width in TRC, etc.. While, the textile reinforced TRC or hybrid short fiber–textile reinforced TRC exhibit superior tensile and flexural strengths with crack width control properties, the current TRC is not an environmentally friendly composite due to the use of cement rich binder. It is well recognized that the ordinary Portland cement (OPC) contributes significantly to the global CO2 emission. In one estimate, it is shown that in 2016 the estimated CO2 emission by OPC manufacturing was about 1.45 ± 0.20 Gt that is approximately 8% of the total anthropogenic CO2 release [24]. To improve its environmental friendliness the partial replacement of OPC using industrial byproducts—e.g., fly ash, silica fume—has been investigated by some researchers [20].
The development of alternative low-carbon binders is recognized to reduce the CO2 emissions. Geopolymer, a sub-class of alkali activated materials, is a promising material in this regard. By replacing the OPC based binder in the current TRC by geopolymer its environmental friendliness can be significantly improved. Without considering the CO2 emission associated with fine aggregate, textile, and fibers, the replacement of OPC binder with fly ash and/or slag and alkali activators blended geopolymer binder the net CO2 emission savings according to Turner and Collins [25] will be about 26% in the case of ambient cured fly ash/slag blended geopolymer and about 11% savings in CO2 emission in heat cured fly ash geopolymer. Therefore, by replacing the OPC binder with both heat cure and ambient temperature air cure geopolymer binders, environmentally friendly textile reinforced geopolymer (TRG) can be developed which will be a suitable alternative to the existing TRC provided the mechanical performance of former is comparable or superior to the latter. The use of geopolymer binder not only reduces CO2 emissions but also reduces the environmental impact associated with the dumping of fly ash and slag. To date, few research is reported which evaluated the behavior of textile reinforced geopolymer. Menna et al. [26] use the bi-axial carbon fabric and uniaxial steel fabric reinforced geopolymer composite for flexural strengthening of RC beams. In another study, Tamburini et al. [27] studied the use of geopolymer grout to bond basalt, glass, carbon, and steel fabric with masonry. In both studies, authors reported better bond of geopolymer composite with concrete and masonry. This paper presents the flexural behavior of alkali-resistant (AR) glass textile reinforced and hybrid polyvinyl alcohol (PVA) fiber–AR glass textile reinforced heat cured and ambient temperature air cured geopolymer composites and compared them with their counterpart cement based TRC.
2. Experimental Program, Materials, and Methods
In this study, four different combinations of AR glass textile and PVA fibers are considered in TRC and both TRGs. Details can be found in Table 1. It can be seen that in all composites types the first and second series are reinforced with 1% PVA and one layer of AR glass textile, respectively. The third series is the hybrid combination which is reinforced with both 1% PVA and one layer of AR glass textile and by comparing above three series the effect of short 1% PVA fiber on the flexural behavior of one layer AR glass textile reinforced TRC and TRGs can be found. In the fourth series, the effect of increase in PVA fiber volume fractions from 1% to 1.5% on the flexural behavior of one layer AR glass textile reinforced TRC and TRGs is evaluated. In both geopolymer composites, NaOH and Na2SiO3 at a mass ratio of 1:2.5 is used to synthetize the alumina silicate source materials fly ash and slag. In TRC and TRGs, the water/cement and alkali activator/binder ratio were kept at a constant of 0.4. The NaOH solution with a concentration of 8 Molar was considered. The fly ash used in this study was class F fly ash obtained from Gladstone power station in Queensland, Australia while the slag was ground granulated blast furnace slag. Their chemical compositions are shown in Table 2, while the properties of PVA fiber and AR glass textile are shown in Table 3 and Table 4, respectively.
Table 1.
Experimental program and mix proportions.
Table 2.
Chemical compositions of class F fly ash and slag.
Table 3.
Properties of PVA fiber.
Table 4.
Properties of AR glass textile (provided by manufacturer).
For each series, three 50 mm cube specimens for compression and three plate specimens of 15 × 40 × 400 mm in dimension for three-point bending were cast. The flexural specimens were simply supported on roller supports on both sides with a clear center-to-center supports spacing of 300 mm. All specimens were tested using a universal testing machine under displacement control with a loading rate of 0.5 mm/min. The mixing was carried out in a Hobart mixer. First, the source materials (fly ash and fly ash/slag) and alkali activators in the case of geopolymers composite and OPC and water in the case of cement composite are mixed for approximately 3 min and then the PVA fibers are slowly added to the wet mix and continued mixing until the fibers are well dispersed in the mix. The AR glass textile was cut into the flexural mold with inside dimension of 40 mm wide and 400 mm long. Approximately half of the depth of the flexural molds were filled with the above short fiber reinforced geopolymer and cement composite and vibrated for 30 s to remove the entrapped air. Then one layer of AR glass textile, shown in Figure 1, is laid over the geopolymer or cement composite followed by filling the rest of the flexural molds. The molds are again vibrated to eliminate the excessive air for another 30 s. The heat cured geopolymer composite molds were placed in oven for curing at 60 °C for 24 h immediately after casting. The ambient cured geopolymer composites and cement composite molds were covered with plastic sheet after casting and left in open air in the lab for 24 h. They were then demolded and the cement composites were water cured for 28 days and the ambient cured geopolymer specimens were cured in open air for 28 days. The heat cured geopolymer composites were also left in open air until testing.
Figure 1.
Alkali resistant glass fiber textile.
3. Results and Discussion
3.1. Compressive Strengths
The effect of 1% and 1.5% volume fractions of PVA fiber on the compressive strength of cement and geopolymer composites is shown in Figure 2. It can be seen that the addition of PVA fibers and their increasing volume fractions adversely affected the compressive strength of both geopolymer and composites. Similar results can also be seen in the case of OPC composites. This can be attributed to the possible formation of entrapped pores due to presence of PVA fibers in the geopolymer and cement composites. Similar reduction in compressive strength of polypropylene (PP) fibers reinforced geopolymer composite is also reported by Zhang et al. [28]. It is also observed that unlike the control geopolymer and cement pastes, the PVA fiber reinforced geopolymer and cement composites did not exhibit such catastrophic failure in compression due to bridging of cracks by the PVA fibers as shown in Figure 3. It is also interesting to see that the heat cured geopolymer, regardless of PVA fiber contents, exhibited about 24–25% and about 14–36% higher compressive strength than the cement ambient air cured geopolymer, respectively. The higher compressive strength of heat cured fly ash geopolymer can be attributed to the formation of more geopolymer gels due to heat curing at 60 °C for 24 h. The higher compressive strength of heat cured geopolymer (HGP) composite than the ambient cured geopolymer (AGP) composite is due to heat curing, which accelerated the activation of fly ash with alkali activators in HGP, compared to slow activation of fly ash/slag blend in the presence of alkali activator at ambient temperature. The lower compressive strength of OPC composite compared to that of HGP is also reported by others [29,30].
Figure 2.
Compressive strength of cement, heat cured and ambient cured geopolymer matrix and those containing 1% and 1.5% polyvinyl alcohol (PVA) fibers.
Figure 3.
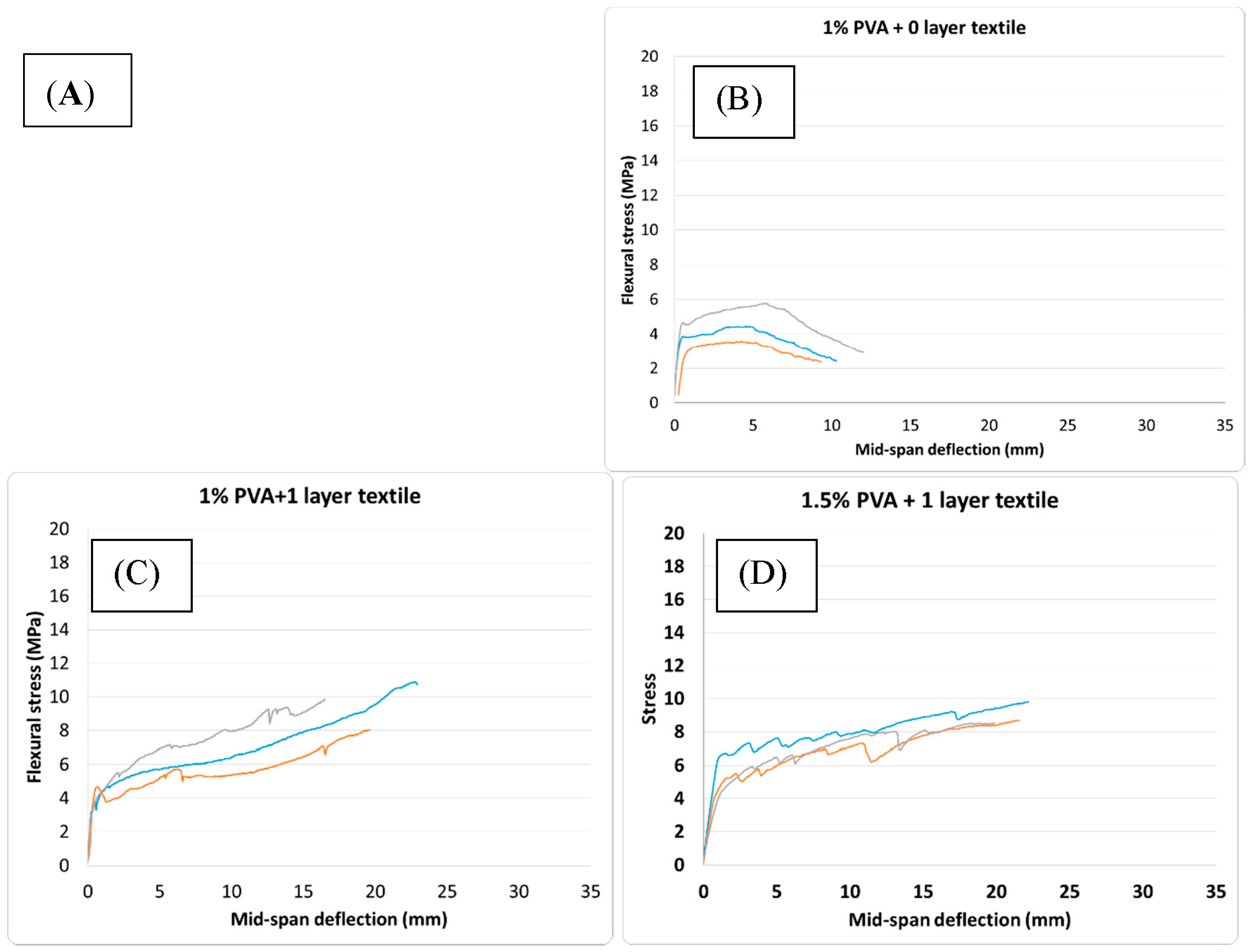
Flexural stress vs. mid-span deflection behavior of textile reinforced concrete (TRC). (A) Composite containing one layer of AR-glass textile, (B) composite containing 1% PVA fibre, (C) composite containing 1% PVA fibre and one layer of alkali-resistant (AR)-glass textile and (D) composite containing 1.5% PVA fibre and one layer of AR-glass textile.
3.2. Flexural Behavior of TRG and TRC Composites
Flexural stress and mid-span deflection behavior of TRC and TRGs are shown in Figure 3, Figure 4 and Figure 5. It can be seen in Figure 3a that the one AR glass textile reinforced TRC exhibited linear increase in flexural stress until first crack followed by sudden drop in flexural stress. This can be interpreted to be purely contributed by the cement matrix of the TRC and, due to its brittle nature, it cracked and its flexural strength dropped suddenly. Similar behavior is also observed in the case of TRG in Figure 4a. However, the first crack strength of heat cured TRG is much higher than that of TRC, which can be attributed to the higher compressive strength of heat cured geopolymer than the OPC. Due to unavoidable circumstances, the flexural strength of ambient air cured TRG could not be tested, however, similar behavior is also expected. It can be seen that, soon after the sudden drop in load, the flexural strength increases with increase in deflection and can be attributed to the glass textile. However, instead of forming multiple cracks in the composites the first crack continued to widen with increase in deflection followed by rupturing of yarns of the glass textile. This behavior is believed to be due to use of one layer of textile which makes insufficient distribution of yarns of textile across the thickness of the composites and with several layers of textile this brittle behavior can be changed to ductile or pseudo-ductile with higher flexural strength. The main objective of this study was to evaluate how the addition of short polymeric fibers effect this behavior. In Figure 3c, Figure 4c and Figure 5c the effect of addition of 1% PVA fiber on the flexural strength mid deflection behavior of TRC and TRGs can be seen. It can be seen that with just addition of 1% PVA fiber deflection hardening type behavior of TRC can be achieved with average flexural strength of about 15 MPa and deflection at average peak load of about 27 mm. A similar deflection hardening behavior is also observed in the heat cured and ambient air cured TRGs. However, the flexural strength of heat cured TRG is slightly lower than TRC but the flexural strength of ambient air cured TRG is much lower than its heat cured counterpart and the TRC. The deflection capacity of TRC at peak load is also higher than that of both TRGs and among TRGs the ambient air cured TRG exhibited much higher deflection capacity at peak load compared with its heat cured counterpart. The effect of increase in PVA fiber volume fraction from 1% to 1.5% on the flexural strength mid-span deflection behavior of TRC and TRGs can be seen in Figure 3d, Figure 4d and Figure 5d. It can be seen that the flexural strength of TRC is increased by about 21% due to increase in PVA fiber content. However, the deflection at peak load is not increased, but rather a significant reduction from about 27 mm to 15 mm is observed. This could be due to poor dispersion of increased amount of PVA fibers which might have formed fiber clamping, as a result inadequate number of fibers dispersed across the cross-section of the specimen which prevented the transfer of applied load to form other cracks in the specimen and eventually crack localization happened in that particular weak section. Another factor could be the higher bond strength of PVA fiber with cement matrix. It has been observed in microstructure study that more cement matrix adheres with PVA fiber than the geopolymer [28]. Therefore, higher frictional and chemical bond of PVA fiber cement matrix than with geopolymer is expected which might have caused higher number of rupturing of PVA fiber in TRC than in TRGs. In the case of TRGs, a different observation can be seen with no significant increase in flexural strength due to increase in PVA fiber content but significant increase in deflection at peak loads of about 39% and 14% in heat and ambient air cured geopolymer composites, respectively. By comparing the deflection hardening pattern between 1% and 1.5% PVA fiber reinforced TRGs, a clear stable deflection hardening trend with increase in flexural strength with increase in mid-span deflection can be seen in TRGs containing 1.5% PVA fiber. This phenomenon clearly indicates that the rupturing of PVA fibers in both geopolymers is much lower than in cement composite. This argument can be supported by the previously observed microstructure of PVA-geopolymer matrix reported in [31]. In the case of this type of fiber—e.g., polyethylene—Nematollahi [32] also reported lower frictional bond of polyethylene fiber in geopolymer than in cement matrix. Nevertheless, it is clearly seen in this study that with the addition of 1–1.5% PVA fiber the effect of improving deflection hardening behavior of only textile reinforced geopolymer composites is quite comparable to its TRC counterpart, while the former composites are more environmentally friendly than the latter.
Figure 4.
Flexural stress vs. mid-span deflection behavior of heat cured textile reinforced geopolymer (TRG). (A) Composite containing one layer of AR-glass textile, (B) composite containing 1% PVA fibre, (C) composite containing 1% PVA fibre and one layer of AR-glass textile and (D) composite containing 1.5% PVA fibre and one layer of AR-glass textile.
Figure 5.
Flexural stress vs. mid-span deflection behavior of ambient air cured textile reinforced geopolymer (TRG). (A) Composite containing one layer of AR-glass textile could not be test as the specimens were damaged, (B) composite containing 1% PVA fibre, (C) composite containing 1% PVA fibre and one layer of AR-glass textile and (D) composite containing 1.5% PVA fibre and one layer of AR-glass textile.
3.3. Energy Absorption Capacity
Energy absorption of fiber reinforced cementitious composites is the unique feature during deflection hardening stage as composites exhibit increasing flexural strength with continuing deformation. Extended deflection hardening with high deflection capacity and high flexural load ensure higher energy absorption. The energy absorption of fiber reinforced cementitious composites is not only important under static loads but also under dynamic loadings. Energy absorption capacities of TRC and TRGs containing PVA fibers are the area under the respective load–deflection curves up to peak load of each composite and are shown in Figure 6. It can be seen that by adding 1% PVA fiber, the energy absorption capacities of TRC and both TRGs are significantly improved with further improvement due to increase in PVA fiber from 1% to 1.5%, except in the case of TRC where energy absorption is decreased at 1.5% PVA due to significant reduction in deflection at peak load despite improvement in flexural strength (see Figure 7).
Figure 6.
Energy absorption of heat cured TRG, ambient air cured TRG and TRC up to peak load under three-point flexure.
Figure 7.
Summary of flexural strength and deflection at peak loads of heat cured TRG, ambient air cured TRG and TRC.
4. Conclusions
This paper presents the flexural behavior of AR glass fiber textile reinforced geopolymer composites made using two types of geopolymer, fly ash based heat cured geopolymer, and fly ash/slag blended ambient air cured geopolymer. Comparison is also made with their counterpart cement based TRC. The effect of short PVA fibers and their increasing volume fractions on the above is also evaluated. Based on limited experimental results, the following conclusions are summarized:
- Flexural stress and deflection behavior of heat cured AR glass TRG is very similar to its cement based TRC counterpart, with flexural strength of former is higher than the latter.
- The addition of PVA fiber in TRGs yielded the deflection hardening behavior. The flexural strength of heat cured hybrid PVA fiber–AR glass fiber TRG is higher than its ambient cured counterpart TRG. However, in the case of deflection at peak load, the opposite phenomenon is observed.
- The increase in PVA fibers from 1% to 1.5% is not affected the flexural strength of both TRGs, however, the deflection at peak load is increased in both TRGs.
- The addition of PVA fiber significantly improved the energy absorption capacity during deflection, hardening up to peak load in both TRGs and TRC. However, in TRC, the energy absorption capacity is significantly decreased due to the increase in PVA fiber from 1% to 1.5%, which is not observed in both TRGs.
Acknowledgments
Authors acknowledge SIKA Australia Pty Ltd. and Cement Australia for donating AR-glass textile and Class F fly ash, respectively in this research.
Author Contributions
Faiz Uddin Ahmed Shaikh conceived and designed the experiments; Aditya Patel performed the experiments; Faiz Shaikh and Aditya Patel analyzed the data; Faiz Shaikh wrote the paper.
Conflicts of Interest
The authors declare no conflict of interest.
References
- Li, V.C.; Wu, H.C.; Maalej, M.; Mishra, D.K.; Hashida, T. Tensile behavior of engineered cementitious composites with random discontinuous steel fibres. J. Am. Ceram. Soc. 1996, 79, 74–78. [Google Scholar] [CrossRef]
- Naaman, A.E.; Reinhardt, H.W. Characterization of high performance fiber reinforced cement composites. In Proceedings of the Second International RILEM Workshop, Ann Arbor, MI, USA, June 1995; pp. 1–24. [Google Scholar]
- Ahmed, S.F.U.; Maalej, M.; Paramasivam, P. Flexural responses of hybrid steel–polyethylene fibre reinforced cement composites containing high volume fly ash. J. Constr. Build. Mater. 2006, 21, 1088–1097. [Google Scholar] [CrossRef]
- Ahmed, S.F.U.; Maalej, M. Tensile strain hardening behaviour of hybrid steel-polyethylene fibre reinforced cementitious composites. J. Constr. Build. Mater. 2009, 23, 96–106. [Google Scholar] [CrossRef]
- Ahmed, S.F.U.; Mihashi, H. A review on durability properties of strain hardening fibre reinforced cementitious composites. Cem. Concr. Compos. 2007, 29, 365–376. [Google Scholar] [CrossRef]
- Naaman, A.E. Ferrocement and Laminated Cementitious Composites; Techno Press 3000: Ann Arbor, MI, USA, 2000; ISBN 0-9674939-0-0. [Google Scholar]
- Nervi, P.L. Ferrocement: Its Characteristics and Potentialities; Library Translation No. 60; Cement and Concrete Association: London, UK, 1956. [Google Scholar]
- Mansur, M.A.; Ong, K.C.G. (Eds.) Ferro-7: Proceedings of the “Seventh International Symposium on Ferrocement and Thin Reinforced Cement Composites”; National University of Singapore: Singapore, 2001. [Google Scholar]
- Naaman, A.E.; Chandrangsu, K. Bending behavior of laminated cementitious composites reinforced with FRP meshes. In ACI Symposium on High Performance Fiber-Reinforced Concrete Thin Sheet Product, 97–116; Peled, A., Shah, S.P., Banthia, N., Eds.; ACI SP 190; American Concrete Institute: Farmington Hills, MI, USA, 2000. [Google Scholar]
- Williams, B.; Kodur, V.R.; Green, M.F.; Bisby, L.A. Fire endurance of FRP- strengthened concrete T-beams. ACI Struct. J. 2008, 105, 60–67. [Google Scholar]
- Hawileh, R.A.L.; Naser, M.L.; Zaidan, W.L.; Rasheed, H.A. Modeling of insulated CFRP-strengthened reinforced concrete T-beam exposed to fire. Eng. Struct. 2009, 31, 3072–3079. [Google Scholar] [CrossRef]
- Naser, M.; Hawileh, R.; Rasheed, H. Performance of RC T-Beams externally strengthened with CFRP laminates under elevated temperatures. J. Struct. Fire Eng. 2014, 5, 1–24. [Google Scholar] [CrossRef]
- Bisby, L.A. Fire Behaviour of Fibre-Reinforced Polymer (FRP) Reinforced or Confined Concrete; Queen’s University: Kingston, ON, USA, 2003; p. 2520. [Google Scholar]
- Gamage, J.; Al-Mahaidi, R.; Wong, M. Bond characteristics of CFRP plated concrete members under elevated temperatures. Compos. Struct. 2006, 75, 199–205. [Google Scholar] [CrossRef]
- Alaee, F.J.; Karihaloo, B.L. Retrofitting of reinforced concrete beams with CARDIFRC. J. Compos. Constr. 2003, 7, 174–186. [Google Scholar] [CrossRef]
- Buyukozturk, O.; Haering, B. Failure behaviour of precracked concrete beams with FRP. J. Compos. Constr. 1998, 2, 138–144. [Google Scholar] [CrossRef]
- Butler, M.; Mechtcherine, V.; Hempel, S. Experimental investigations on the durability of fibre matrix interfaces in textile reinforced concrete. Cem. Concr. Compos. 2009, 31, 221–231. [Google Scholar] [CrossRef]
- Mechtcherine, V. Novel cement based composites for the strengthening and repair of concrete structures. Constr. Build. Mater. 2013, 41, 365–373. [Google Scholar] [CrossRef]
- Barhum, R.; Mechtcherine, V. Effect of short, dispersed glass and carbon fibres on the behaviour of textile reinforced concrete under tensile loading. Eng. Fract. Mech. 2012, 92, 56–71. [Google Scholar] [CrossRef]
- Barhum, R.; Mechtcherine, V. Influence of short dispersed and short integral glass fibres on the mechanical behaviour of textile reinforced concrete. Mater. Struct. 2013, 46, 557–572. [Google Scholar] [CrossRef]
- Raoof, S.M.; Koutas, L.N.; Bourns, D.A. Bond between textile-reinforced mortar (TRM) and concrete substrates: Experimental investigation. Compos. Part B Eng. 2016, 98, 350–361. [Google Scholar] [CrossRef]
- Tetta, Z.C.; Koutas, L.N.; Bourns, D.A. Textile-reinforced mortar (TRM) versus fiber-reinforced polymers (FRP) in shear strengthening of concrete beams. Compos. Part B Eng. 2015, 77, 338–348. [Google Scholar] [CrossRef]
- Papanicolaou, C.G.; Papantoniou, I.C. Mechanical behaviour of textile reinforced concrete (TRC)/concrete composite elements. J. Adv. Concr. Technol. 2010, 8, 35–47. [Google Scholar] [CrossRef]
- Andrew, R.M. Global CO2 emissions from cement production. Earth Syst. Sci. Data. 2017. [Google Scholar] [CrossRef]
- Turner, L.K.; Collins, F.G. Carbon dioxide equivalent (CO2e) emissions: A comparison between geopolymer and OPC cement concrete. Constr. Build. Mater. 2013, 43, 125–130. [Google Scholar] [CrossRef]
- Tamburini, S.; Natali, M.; Garbin, E.; Panizza, M.; Favaro, M.; Valluzzi, M.R. Geopolymer matrix for fibre reinforced composites aimed at strengthening masonry structures. Constr. Build. Mater. 2017, 141, 542–552. [Google Scholar] [CrossRef]
- Menna, C.; Asprone, D.; Ferone, C.; Colangelo, F.; Balsamo, A.; Prota, A.; Cioffi, R.; Manfredi, G. Use of geopolymers for composite external reinforcement of RC members. Compos. Part B Eng. 2013, 45, 1667–1676. [Google Scholar] [CrossRef]
- Zhang, Z.; Xiao, Y.; Zhu, H.; Hua, S.; Chen, Y. Preparation and mechanical properties of polypropylene fibre reinforced calcined kaolin fly ash based geopolymer. J. Cent. South Univ. Technol. 2009, 16, 49–52. [Google Scholar] [CrossRef]
- Khan, M.Z.N.; Shaikh, F.U.A.; Hao, Y.; Hao, H. Synthesis of high strength ambient cured geopolymer composite by using low calcium fly ash. Constr. Build. Mater. 2016, 125, 809–820. [Google Scholar] [CrossRef]
- Nematollahi, B.; Sanjayan, J.; Shaikh, F.U.A. Tensile strain hardening behaviour of PVA fibre reinforced engineered geopolymer composites. J. Mater. Civil Eng. 2015, 27, 04015001. [Google Scholar] [CrossRef]
- Shaikh, F.U.A. Deflection hardening behaviour of short fibre reinforced fly ash based geo-polymer composites. Mater. Des. 2013, 50, 674–680. [Google Scholar] [CrossRef]
- Nematollahi, B.; Sanjayan, J.; Qiu, J.; Yang, E. High ductile behaviour of a polyethylene fibre reinforced one-part geopolymer composite: A micromechanical based investigation. Arch. Civil Mech. Eng. 2017, 17, 555–563. [Google Scholar] [CrossRef]
© 2018 by the authors. Licensee MDPI, Basel, Switzerland. This article is an open access article distributed under the terms and conditions of the Creative Commons Attribution (CC BY) license (http://creativecommons.org/licenses/by/4.0/).






