Greening Fused Deposition Modeling: A Critical Review of Plant Fiber-Reinforced PLA-Based 3D-Printed Biocomposites
Abstract
Highlights
- Identification of gaps in FDM biocomposite research, post-critical analysis of scientific literature, and proposed targeted qualitative and quantitative approaches to accelerate progress in this area
- Proposal of a classification framework for PLA–cellulosic FDM 3DP biocomposites based on reinforcement form and biocomposite filament-processing equipment
- Compilation of diverse processing conditions and their effects on biocomposite filament and 3D-printed biocomposite structure–property relationships to guide future research
Abstract
1. Introduction
2. Micro-Cellulosic Reinforcements and PLA Matrix: Structure, Synthesis, and Interactions
2.1. Cellulose Structure and Micron-Scale Cellulose Synthesis
2.1.1. Structure
Elementary Fibrils, Microfibrils, and Macrofibrils
2.1.2. Micro-Cellulosics Synthesis
Microfibrillar Cellulose
Microcrystalline Cellulose
- Overview
Pretreatment Methods
Acid Hydrolysis and MCC Extraction

2.2. PLA Matrix: Structure, Synthesis, and Degradation
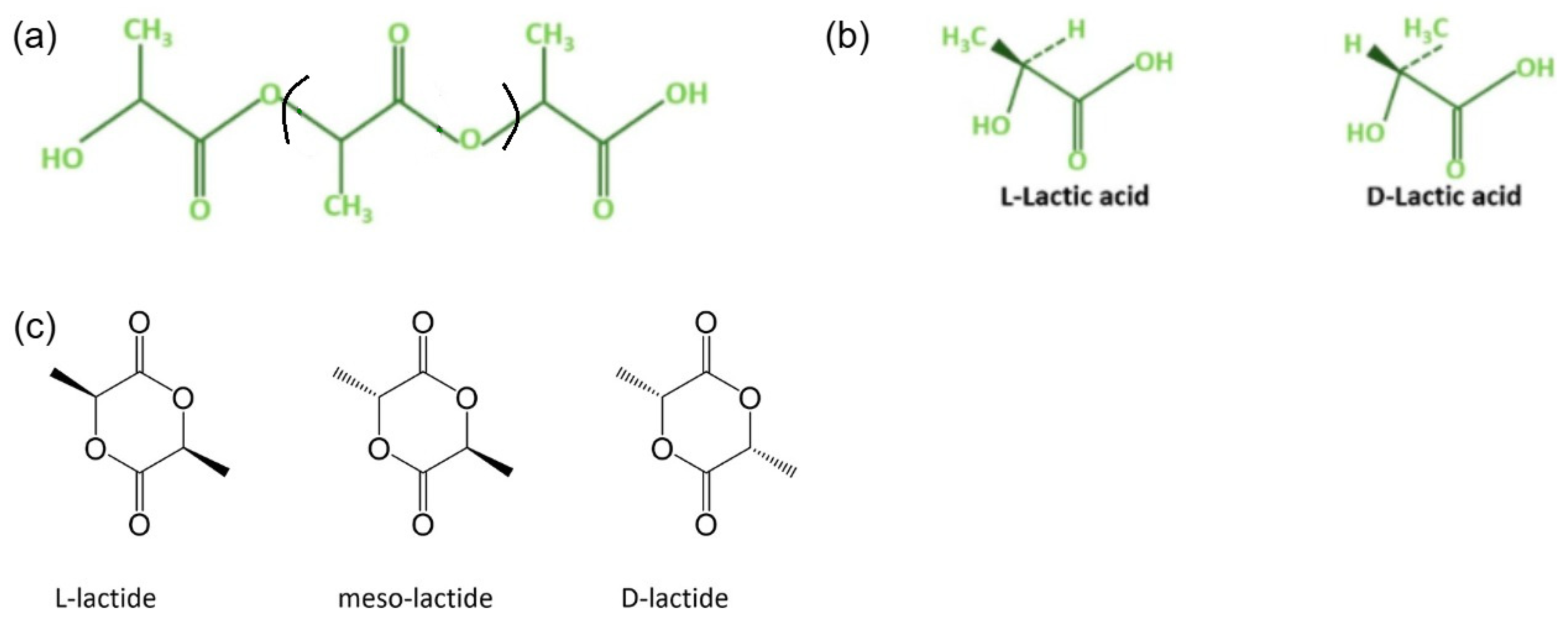
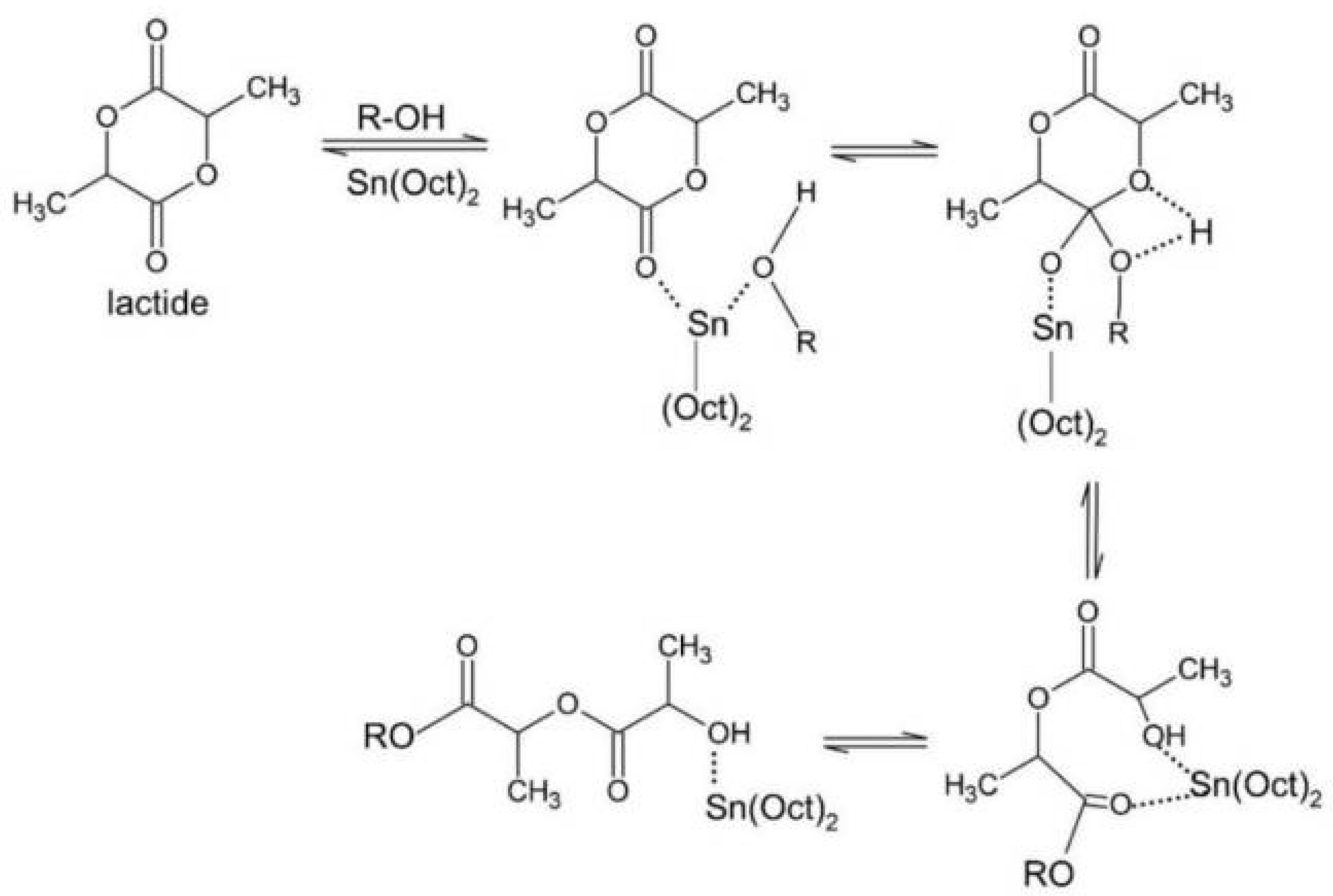
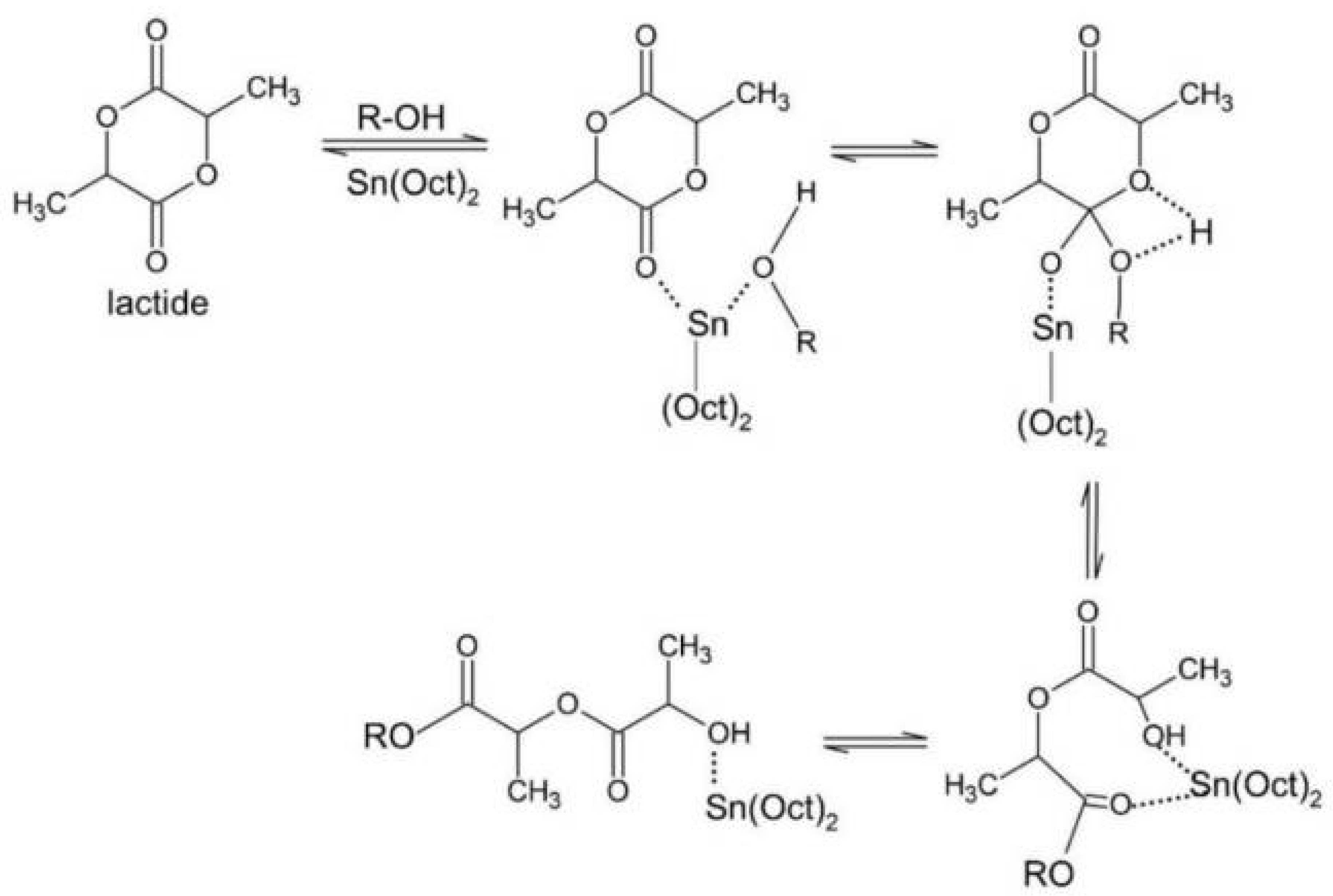
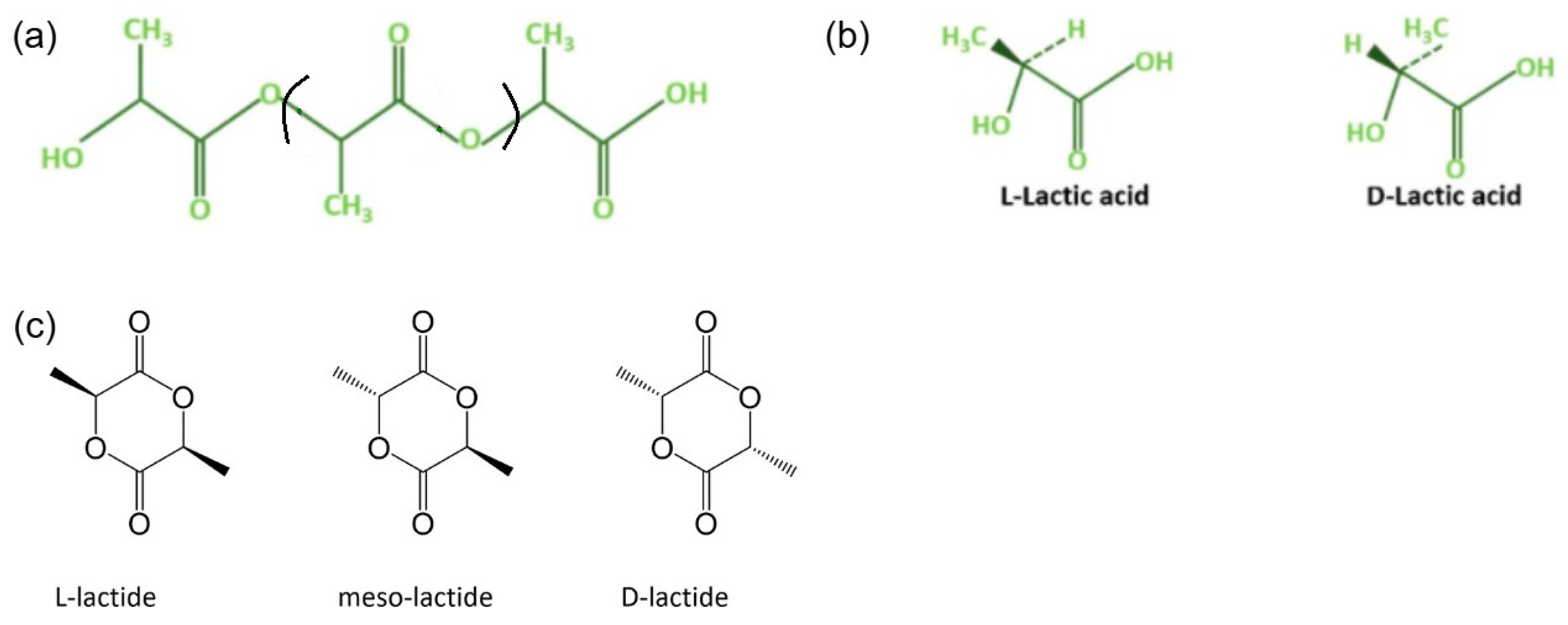
2.2.1. PLA Synthesis
2.2.2. PLA Structure
2.2.3. Breakdown of PLA Structure
2.3. PLA–Cellulose Interaction
3. Fused Deposition Modeling
3.1. Historical Development and Prospects
3.2. FDM 3DP Process
3.3. FDM Biocomposite Filament Production Methods
3.4. FDM Filament Melt Processing Equipment
3.4.1. Single-Screw Extruders
3.4.2. Twin-Screw Extruders
3.4.3. Torque and Capillary Rheometers
3.4.4. Thermo-Kinetic Mixers
3.5. Cellulosic Reinforcement-Based FDM Biocomposite Classification
3.5.1. Cellulosic Yarn-Reinforced PLA-Based FDMPBs
| Reinforcing Yarn Specifications | Filament Fabrication Technique | Biocomposite Filament FVF (%) | Mechanical Properties | Filament Diameter (mm) | Objective of Study | Refs. |
|---|---|---|---|---|---|---|
| 500 Tex double-plied jute yarn | In-nozzle impregnation | 6.1 (Scanning electron microscopy for image analysis and measurement) | At 0.05% to 0.25% strain rates: Tensile modulus: 5.11 ± 0.41 GPa, a 157% increase over pure PLA. Tensile strength: 57.1 ± 5.33 MPa, a 134% increase over pure PLA (JIS K 7162 test standard). | - | Exploration of yarn-reinforced thermoplastic PLA’s 3D printability | [130] |
| 68 Tex flax yarn with 320 turns/meter twist | Coating continuous fabrication (CCF) | 30.4 ± 0.8 (Observation/calculation method not stated) | Longitudinal modulus (GPa): 23.3 ± 1.8 at 0.05% to 0.01% strain rates and 13.6 ± 0.8 at strain rate >0.04%. Transverse modulus (GPa): 3.5 ± 0.45. Elongation at break (%): 1.67 ± 0.20 longitudinally and 0.45 ± 0.08 transversely. Tensile strengths (MPa): 253.7 ± 15.0 longitudinally and 10.8 ± 1.2 transversely (ISO 527-4 test standard). | 0.482 ± 0.03 | Evaluation of mechanical property of flax spun yarn-reinforced 3D-printed biocomposite | [137] |
| 68 Tex flax yarn with 320 turns/meter twist | Coating continuous fabrication (CCF) | 26.4 ± 1.1 (Observation/calculation method not stated) | Stiffness and tensile strength increased by 210% at 0.2 mm layer height, with tensile modulus and strength improving by over 50% and 70%, respectively, at 10 layers (ISO 527-4 test standard). | 0.503 ± 0.047 | Examining how slicing parameters like layer height, layer count, trip number, and inter-raster distance affect sample geometry, tensile properties, and biocomposite microstructure | [138] |
| 68 Tex double-plied | Coating continuous fabrication (CCF) | - | Compared to pure PLA, tensile strength rose by 89%, tensile modulus by 73%, flexural strength by 211%, and flexural modulus by 224% (ASTM D4018 test standard). | 0.8, 1, 1.2 | Using curved path planning for G-code generation to 3D print yarn-reinforced biocomposites with a fixed-axis 3DP machine | [132] |
| 24 Nm/2R double-plied ramie yarn with 400 turns/meter twist | In-nozzle impregnation | - | Dynamic strength:152.56 MPa at a 2552.61 s−¹ strain rate with 1 mm hatch spacing, 94.21 MPa at a 508.53 s−¹ strain rate with 0.8 mm hatch spacing, both using a 0.3 mm layer height (no test standard defined). | - | Investigating how parameters like layer height, hatch spacing, and strain rate impact the dynamic strength of FDMPBs using experiments and machine learning models | [139] |
| 24 Nm/2R double-plied ramie yarn | Two-stage in situ impregnation | 20.1 (Calculated using fiber and filament dimensions) | Two-stage impregnated filament prints: fracture force (N): 27.1 ± 1.7, one-stage prints: 23.0 ± 4.0. Compared to one-stage prints, two-stage prints show a 20.1% and 9.5% improvement in tensile modulus at 0 and ±45° raster orientations, respectively, and a 7.6% and 9.2% improvement in tensile strength at the same orientations (no test standard defined). | - | Enhancing the mechanical properties of yarn-reinforced FDMPBs using a two-stage in situ impregnation for filament production | [136] |
| 67 Tex flax yarn with 380 twists/m | In-nozzle impregnation | 25 (Image analysis) | Compared to untreated samples, impact strength rose by >17.5% (70.65 kJ/m2) (ASTM D6110 test standard), flexural strength: 22% (136 MPa) (ASTM D7264 test standard; three-point bending), and delamination initiation value increased: 59% (2.91 kJ/m2). Tensile strength (MPa): Untreated sample: 161, treated sample: 170 Tensile modulus (GPa): Untreated sample: 7.8, treated sample: 9 (ASTM D3039 test standard) | - | Boosting mechanical properties of FDMPBs by surface treating flax yarn for improved PLA matrix compatibility | [140] |
| 68 Tex flax yarn with 320 turns/m twist | Coating continuous fabrication (CCF) | 32.6 ± 0.5 (Microscopic image analysis) | Longitudinal tensile modulus (MPa): cFF/PLA: 15799 ± 2154 (ASTM D638, ISO 527-4, and ISO 14129 test standards) | - | Investigating the hydroexpansion of yarn-reinforced FDMPBs and the effect of matrix stiffness on this expansion | [143] |
| 36 Nm/2R ramie yarn with 400 turns/m twist with 0.35 mm yarn diameter | In-nozzle impregnation | 24.3 (Calculated using fiber and filament dimensions) | Maximum force and energy absorption were 49.1% and 58.7% higher than pure PLA, respectively. Energy absorption: >4 J and penetration energy: ~0.5 JMaximum force: 450 N at a support span-to-indenter diameter ratio of 5 (ASTMD-6264 test standard) | - | Examining the penetration behavior of yarn-reinforced FDMPBs inspired by woven fabrics | [144] |
| Double-plied flax yarn with 0.4 mm diameter | Coating continuous fabrication (CCF) | 16 (Observation/Calculation method not stated) | The radially reinforced composite failed at 370 N in compression (no test standard defined) and 332.6 N in three-point bending tests (ISO 14125:1998 test standard). Axially reinforced composite failed at 844.5 N in tensile testing (ISO 6259-1:1997 test standard). | 1 | Exploring print path planning algorithms and developing a five-axis, dual-nozzle system for printing and reinforcing curved parts like pipes | [146] |
| 68 Tex flax yarn | Coating continuous fabrication (CCF) | 32.6 ± 0.5 (Observation/Calculation method not stated) | - | 0.5 | Addressing geometrical limitations of yarn-reinforced biocomposite 3DP by examining discrepancies between intended and actual print paths | [147] |
| 36 Nm/2R ramie with 400 m/meter twist | In-nozzle impregnation | - | Maximum tensile strength: 86.4 MPa (no test standard defined), peeling strength: 20.9 N (ASTM-D3167 test standard), under printing conditions of 220 °C, 0.3 mm layer height, and 100 mm/min speed. | 0.35 | Characterization of mechanical properties and interfacial characteristics of the FDMPB | [148] |
3.5.2. Cellulosic Fiber-Reinforced PLA-Based FDMPBs
Micron-Scale Cellulosic Fiber-Reinforced PLA-Based FDMPBs


4. Prospects and Challenges
4.1. FDMPB Degradation
4.2. FDMPB Compostability
4.3. FDMPB Durability
4.4. FDMPB Recyclability
4.5. PLA–Cellulose Interactions
4.6. FDMPB Filament Development
4.7. Brittle Cellulosic Fiber-Reinforced PLA-Based FDMPB Feedstock
4.8. Highly Loaded Cellulosic Fiber-Reinforced PLA-Based FDMPBs
4.9. FDMPB Void Defect Analysis and Quantification
4.10. FDMPB Parametric Studies
4.11. Scaling Up FDMPBs: Challenges and Research Directions
4.12. FDMPB Mechanical Characterization
4.13. Parametric Optimization and Artificial Intelligence
Author Contributions
Funding
Conflicts of Interest
References
- Campbell, T.; Williams, C.; Ivanova, O.; Garrett, B. Could 3D Printing Change the World? Technologies, Potential, and Implications of Additive Manufacturing; Atlantic Council: Washington, DC, USA, 2011; Available online: https://www.jstor.org/stable/resrep03564 (accessed on 31 March 2021).
- Monostori, L.; Majstorovic, V.D.; Hu, S.J.; Djurdjanovic, D. Proceedings of the 4th International Conference on the Industry 4.0 Model for Advanced Manufacturing: AMP 2019; Springer: New York City, NY, USA, 2019; ISBN 978-3-030-18180-2. [Google Scholar]
- West, J.; Kuk, G. The complementarity of openness: How MakerBot leveraged Thingiverse in 3D printing. Technol. Forecast. Soc. Change 2016, 102, 169–181. [Google Scholar] [CrossRef]
- Thomas, D. Costs, Benefits, and Adoption of Additive Manufacturing: A Supply Chain Perspective. Int. J. Adv. Manuf. Technol. 2016, 85, 1857–1876. [Google Scholar] [CrossRef] [PubMed]
- Jordan, R.S.; Wang, Y. 3D printing of conjugated polymers. J. Polym. Sci. Part B Polym. Phys. 2019, 57, 1592–1605. [Google Scholar] [CrossRef]
- Al-Amin, M.; Hossain, M.T.; Tahir, M.; Wyman, D.; Kabir, S.M.F. A Critical Review on Reusable Face Coverings: Mechanism, Development, Factors, and Challenges. Textiles 2023, 3, 142–162. [Google Scholar] [CrossRef]
- Gonabadi, H.; Hosseini, S.F.; Chen, Y.; Bull, S. Size effects of voids on the mechanical properties of 3D printed parts. Int. J. Adv. Manuf. Technol. 2024, 132, 5439–5456. [Google Scholar] [CrossRef]
- Knight, M.; Curliss, D. Composite Materials. In Encyclopedia of Physical Science and Technology, 3rd ed.; Meyers, R.A., Ed.; Academic Press: New York, NY, USA, 2003; pp. 455–468. ISBN 978-0-12-227410-7. [Google Scholar]
- Vasiliev, V.V.; Morozov, E.V. Chapter 1—Introduction. In Advanced Mechanics of Composite Materials, 3rd ed.; Vasiliev, V.V., Morozov, E.V., Eds.; Elsevier: Boston, MA, USA, 2013; pp. 1–27. ISBN 978-0-08-098231-1. [Google Scholar]
- Zhu, C.; Li, T.; Mohideen, M.M.; Hu, P.; Gupta, R.; Ramakrishna, S.; Liu, Y. Realization of Circular Economy of 3D Printed Plastics: A Review. Polymers 2021, 13, 744. [Google Scholar] [CrossRef]
- Tahir, M.; Li, A.; Moore, M.; Ford, E.; Theyson, T.; Seyam, A.-F.M. Development of Eco-Friendly Soy Protein Fiber: A Comprehensive Critical Review and Prospects. Fibers 2024, 12, 31. [Google Scholar] [CrossRef]
- Drumright, R.E.; Gruber, P.R.; Henton, D.E. Polylactic Acid Technology. Adv. Mater. 2000, 12, 1841–1846. [Google Scholar] [CrossRef]
- Baghaei, B.; Skrifvars, M. All-Cellulose Composites: A Review of Recent Studies on Structure, Properties and Applications. Molecules 2020, 25, 2836. [Google Scholar] [CrossRef]
- Shazleen, S.S.; Foong Ng, L.Y.; Ibrahim, N.A.; Hassan, M.A.; Ariffin, H. Combined Effects of Cellulose Nanofiber Nucleation and Maleated Polylactic Acid Compatibilization on the Crystallization Kinetic and Mechanical Properties of Polylactic Acid Nanocomposite. Polymers 2021, 13, 3226. [Google Scholar] [CrossRef]
- Aliotta, L.; Sciara, L.M.; Cinelli, P.; Canesi, I.; Lazzeri, A. Improvement of the PLA Crystallinity and Heat Distortion Temperature Optimizing the Content of Nucleating Agents and the Injection Molding Cycle Time. Polymers 2022, 14, 977. [Google Scholar] [CrossRef] [PubMed]
- Momeni, S.; Craplewe, K.; Safder, M.; Luz, S.; Sauvageau, D.; Elias, A. Accelerating the Biodegradation of Poly(lactic acid) through the Inclusion of Plant Fibers: A Review of Recent Advances. ACS Sustain. Chem. Eng. 2023, 11, 15146–15170. [Google Scholar] [CrossRef] [PubMed]
- Zhong, L.X.; Fu, S.Y.; Zhou, X.S.; Zhan, H.Y. Effect of surface microfibrillation of sisal fibre on the mechanical properties of sisal/aramid fibre hybrid composites. Compos. Part A Appl. Sci. Manuf. 2011, 42, 244–252. [Google Scholar] [CrossRef]
- Shrestha, S.; Montes, F.; Schueneman, G.T.; Snyder, J.F.; Youngblood, J.P. Effects of aspect ratio and crystal orientation of cellulose nanocrystals on properties of poly(vinyl alcohol) composite fibers. Compos. Sci. Technol. 2018, 167, 482–488. [Google Scholar] [CrossRef]
- Bolhuis, G.K.; Anthony Armstrong, N. Excipients for Direct Compaction—An Update. Pharm. Dev. Technol. 2006, 11, 111–124. [Google Scholar] [CrossRef]
- Graninger, G.; Kumar, S.; Garrett, G.; Falzon, B.G. Effect of shear forces on dispersion-related properties of microcrystalline cellulose-reinforced EVOH composites for advanced applications. Compos. Part A Appl. Sci. Manuf. 2020, 139, 106103. [Google Scholar] [CrossRef]
- McNamara, J.T.; Morgan, J.L.W.; Zimmer, J. A Molecular Description of Cellulose Biosynthesis. Annu. Rev. Biochem. 2015, 84, 895–921. [Google Scholar] [CrossRef]
- Bigge, J.C.; Patel, T.P.; Bruce, J.A.; Goulding, P.N.; Charles, S.M.; Parekh, R.B. Nonselective and Efficient Fluorescent Labeling of Glycans Using 2-Amino Benzamide and Anthranilic Acid. Anal. Biochem. 1995, 230, 229–238. Available online: https://www.sciencedirect.com/science/article/pii/S0003269785714686 (accessed on 23 March 2024). [CrossRef]
- Wohlert, M.; Benselfelt, T.; Wågberg, L.; Furó, I.; Berglund, L.A.; Wohlert, J. Cellulose and the role of hydrogen bonds: Not in charge of everything. Cellulose 2022, 29, 1–23. [Google Scholar] [CrossRef]
- Deshavath, N.N.; Veeranki, V.D.; Goud, V.V. Chapter 1—Lignocellulosic feedstocks for the production of bioethanol: Availability, structure, and composition. In Sustainable Bioenergy; Rai, M., Ingle, A.P., Eds.; Elsevier: Amsterdam, The Netherlands, 2019; pp. 1–19. ISBN 978-0-12-817654-2. [Google Scholar]
- Harris, D.; Bulone, V.; Ding, S.-Y.; DeBolt, S. Tools for Cellulose Analysis in Plant Cell Walls. Plant Physiol. 2010, 153, 420–426. [Google Scholar] [CrossRef]
- Ding, S.-Y.; Himmel, M.E. The Maize Primary Cell Wall Microfibril: A New Model Derived from Direct Visualization. J. Agric. Food Chem. 2006, 54, 597–606. [Google Scholar] [CrossRef] [PubMed]
- Song, B.; Zhao, S.; Shen, W.; Collings, C.; Ding, S.-Y. Direct Measurement of Plant Cellulose Microfibril and Bundles in Native Cell Walls. Front. Plant Sci. 2020, 11, 479. [Google Scholar] [CrossRef] [PubMed]
- Zhao, H.; Kwak, J.H.; Conrad Zhang, Z.; Brown, H.M.; Arey, B.W.; Holladay, J.E. Studying cellulose fiber structure by SEM, XRD, NMR and acid hydrolysis. Carbohydr. Polym. 2007, 68, 235–241. [Google Scholar] [CrossRef]
- Donaldson, L. Cellulose microfibril aggregates and their size variation with cell wall type. Wood Sci. Technol. 2007, 41, 443–460. [Google Scholar] [CrossRef]
- Oehme, D.P.; Doblin, M.S.; Wagner, J.; Bacic, A.; Downton, M.T.; Gidley, M.J. Gaining insight into cell wall cellulose macrofibril organisation by simulating microfibril adsorption. Cellulose 2015, 22, 3501–3520. [Google Scholar] [CrossRef]
- Nieduszynski, I.; Preston, R.D. Crystallite Size in Natural Cellulose. Nature 1970, 225, 273–274. [Google Scholar] [CrossRef]
- Martínez-Sanz, M.; Gidley, M.J.; Gilbert, E.P. Application of X-ray and neutron small angle scattering techniques to study the hierarchical structure of plant cell walls: A review. Carbohydr. Polym. 2015, 125, 120–134. [Google Scholar] [CrossRef]
- Chinga-Carrasco, G. Cellulose fibres, nanofibrils and microfibrils: The morphological sequence of MFC components from a plant physiology and fibre technology point of view. Nanoscale Res. Lett. 2011, 6, 417. [Google Scholar] [CrossRef]
- Siró, I.; Plackett, D. Microfibrillated cellulose and new nanocomposite materials: A review. Cellulose 2010, 17, 459–494. [Google Scholar] [CrossRef]
- Vazquez, A.; Foresti, M.L.; Moran, J.I.; Cyras, V.P. Extraction and Production of Cellulose Nanofibers. In Handbook of Polymer Nanocomposites. Processing, Performance and Application: Volume C: Polymer Nanocomposites of Cellulose Nanoparticles; Pandey, J.K., Takagi, H., Nakagaito, A.N., Kim, H.-J., Eds.; Springer: Berlin/Heidelberg, Germany, 2015; pp. 81–118. ISBN 978-3-642-45232-1. [Google Scholar]
- Kangas, H.; Lahtinen, P.; Sneck, A.; Saariaho, A.-M.; Laitinen, O.; Hellén, E. Characterization of fibrillated celluloses. A short review and evaluation of characteristics with a combination of methods. Nord. Pulp Pap. Res. J. 2014, 29, 129–143. [Google Scholar] [CrossRef]
- Bhatnagar, A.; Sain, M. Processing of Cellulose Nanofiber-reinforced Composites. J. Reinf. Plast. Compos. 2005, 24, 1259–1268. [Google Scholar] [CrossRef]
- Henriksson, M.; Berglund, L.A.; Isaksson, P.; Lindström, T.; Nishino, T. Cellulose Nanopaper Structures of High Toughness. Biomacromolecules 2008, 9, 1579–1585. Available online: https://pubs.acs.org/doi/full/10.1021/bm800038n?casa_token=VHa5syenOkwAAAAA%3AsKDhiqiZu7Wi6draVyAAT-Gxv_hQ2Fiah4gvJsRwHkjB7mf7vtJ9B5fy-Qz0rwVlnNMdJ_f81RXO2Hs (accessed on 16 May 2024). [CrossRef] [PubMed]
- Spence, K.L.; Venditti, R.A.; Habibi, Y.; Rojas, O.J.; Pawlak, J.J. The effect of chemical composition on microfibrillar cellulose films from wood pulps: Mechanical processing and physical properties. Bioresour. Technol. 2010, 101, 5961–5968. [Google Scholar] [CrossRef]
- de Lima, M.T.A.; de Lima, G.G.; Rouxel, P.; Bezerra, G.S.N.; Fehrenbach, G.W.; Magalhães, W.L.E.; Nugent, M.J.D. Extraction and characterization of microfibrillated cellulose (MFC) from Rhododendron ponticum isolated using cryocrush pre-treatment and its potential for mycelium cultivation. Int. J. Biol. Macromol. 2024, 279, 135284. [Google Scholar] [CrossRef]
- Fu, C.; Lin, C.; Zhang, W.; Lin, Y.; Xiu, J.; Ni, Y.; Huang, L. Preparation of micro-fibrillated cellulose fibers by a simple two-step refining process for paper- based flexible electronic devices. Chem. Eng. J. 2023, 468, 143516. [Google Scholar] [CrossRef]
- Lähdeniemi, A.; Knuts, A.; Dahl, O. Manufacturing of microfibrillated cellulose from never-dried microcrystalline cellulose using Masuko grinder. BioResources 2024, 19, 9375–9395. [Google Scholar] [CrossRef]
- Zhao, T.; Chen, J.; Liu, J.; Yang, K.; Peng, X.; Xiao, G.; Liu, W.; Xu, C.; Du, X.; Yang, X.; et al. Preparation of microfibrillated cellulose by in situ and one step method using calcium hydroxide as swelling and grinding agent. Nord. Pulp Pap. Res. J. 2024, 39, 501–516. [Google Scholar] [CrossRef]
- Chakraborty, A.; Sain, M.; Kortschot, M. Cellulose microfibrils: A novel method of preparation using high shear refining and cryocrushing. Holzforschung 2005, 59, 102–107. [Google Scholar] [CrossRef]
- Mishra, R.K.; Sabu, A.; Tiwari, S.K. Materials chemistry and the futurist eco-friendly applications of nanocellulose: Status and prospect. J. Saudi Chem. Soc. 2018, 22, 949–978. [Google Scholar] [CrossRef]
- Highly Efficient Single-Step Pretreatment to Remove Lignin and Hemicellulose from Softwood: BioResources. Available online: https://bioresources.cnr.ncsu.edu/ (accessed on 18 May 2024).
- Kamali Moghaddam, M.; Karimi, E. The effect of oxidative bleaching treatment on Yucca fiber for potential composite application. Cellulose 2020, 27, 9383–9396. [Google Scholar] [CrossRef]
- George, J.; Sabapathi, S. Cellulose nanocrystals: Synthesis, functional properties, and applications. Nanotechnol. Sci. Appl. 2015, 8, 45–54. [Google Scholar] [CrossRef] [PubMed]
- Trache, D.; Tarchoun, A.F.; Derradji, M.; Hamidon, T.S.; Masruchin, N.; Brosse, N.; Hussin, M.H. Nanocellulose: From Fundamentals to Advanced Applications. Front. Chem. 2020, 8, 392. [Google Scholar] [CrossRef] [PubMed]
- Lan, L.; Chen, H.; Lee, D.; Xu, S.; Skillen, N.; Tedstone, A.; Robertson, P.; Garforth, A.; Daly, H.; Hardacre, C.; et al. Effect of Ball-Milling Pretreatment of Cellulose on Its Photoreforming for H2 Production. ACS Sustain. Chem. Eng. 2022, 10, 4862–4871. [Google Scholar] [CrossRef] [PubMed]
- Martín, C.; Dixit, P.; Momayez, F.; Jönsson, L.J. Hydrothermal Pretreatment of Lignocellulosic Feedstocks to Facilitate Biochemical Conversion. Front. Bioeng. Biotechnol. 2022, 10, 846592. [Google Scholar] [CrossRef]
- Ziegler-Devin, I.; Chrusciel, L.; Brosse, N. Steam Explosion Pretreatment of Lignocellulosic Biomass: A Mini-Review of Theorical and Experimental Approaches. Front. Chem. 2021, 9, 705358. [Google Scholar] [CrossRef]
- Abdullah, M.A.; Nazir, M.S.; Raza, M.R.; Wahjoedi, B.A.; Yussof, A.W. Autoclave and ultra-sonication treatments of oil palm empty fruit bunch fibers for cellulose extraction and its polypropylene composite properties. J. Clean. Prod. 2016, 126, 686–697. [Google Scholar] [CrossRef]
- Brodeur, G.; Yau, E.; Badal, K.; Collier, J.; Ramachandran, K.B.; Ramakrishnan, S. Chemical and Physicochemical Pretreatment of Lignocellulosic Biomass: A Review. Enzym. Res. 2011, 2011, 787532. [Google Scholar] [CrossRef]
- Ariunbaatar, J.; Panico, A.; Esposito, G.; Pirozzi, F.; Lens, P.N.L. Pretreatment methods to enhance anaerobic digestion of organic solid waste. Appl. Energy 2014, 123, 143–156. [Google Scholar] [CrossRef]
- Teixeira, M.A.; Barreiros, M.P.; Felgueiras, H.P.; Fangueiro, R.; Ferreira, D.P. Unlocking the potential of nanocellulose from textile waste: A pathway to nanocomposite applications. Cellulose 2025, 32, 29–57. [Google Scholar] [CrossRef]
- Kucharska, K.; Rybarczyk, P.; Hołowacz, I.; Łukajtis, R.; Glinka, M.; Kamiński, M. Pretreatment of Lignocellulosic Materials as Substrates for Fermentation Processes. Molecules 2018, 23, 2937. [Google Scholar] [CrossRef]
- Bochmann, G. 4—Storage and feedstock preparation. In Substitute Natural Gas from Waste; Materazzi, M., Foscolo, P.U., Eds.; Academic Press: Cambridge, MA, USA, 2019; pp. 49–62. ISBN 978-0-12-815554-7. [Google Scholar]
- Zhu, W.; Zhang, Y.; Ma, X.; Li, Y.; Liu, S.; Gao, M.; Sun, X.; Wang, Q. Hemicellulose recovery and lignin removal through acid-alkali union pretreatment to improve the lactic acid production from garden garbage. Biomass Conv. Bioref. 2024, 14, 25569–25582. [Google Scholar] [CrossRef]
- Kulshreshtha, A. Chapter 11—Sustainable energy generation from municipal solid waste. In Waste-to-Energy Approaches Towards Zero Waste; Hussain, C.M., Singh, S., Goswami, L., Eds.; Elsevier: Amsterdam, The Netherlands, 2022; pp. 315–342. ISBN 978-0-323-85387-3. [Google Scholar]
- Taylor, M.J.; Alabdrabalameer, H.A.; Skoulou, V. Choosing Physical, Physicochemical and Chemical Methods of Pre-Treating Lignocellulosic Wastes to Repurpose into Solid Fuels. Sustainability 2019, 11, 3604. [Google Scholar] [CrossRef]
- Nur Hanani, A.S.; Zuliahani, A.; Nawawi, W.I.; Razif, N.; Rozyanty, A.R. The Effect of Various Acids on Properties of Microcrystalline Cellulose (MCC) Extracted from Rice Husk (RH). IOP Conf. Ser. Mater. Sci. Eng. 2017, 204, 012025. [Google Scholar] [CrossRef]
- Asif, M.; Ahmed, D.; Ahmad, N.; Qamar, M.T.; Alruwaili, N.K.; Bukhari, S.N.A. Extraction and Characterization of Microcrystalline Cellulose from Lagenaria siceraria Fruit Pedicles. Polymers 2022, 14, 1867. [Google Scholar] [CrossRef]
- Getachew, M.; Tesfaye, G.; Anteneh, B.; Gebre-Mariam, T. Extraction and Characterization of Cellulose and Microcrystalline Cellulose from Teff Straw and Evaluation of the Microcrystalline Cellulose as Tablet Excipient. J. Nat. Fibers 2023, 20, 2245565. [Google Scholar] [CrossRef]
- Zeleke, N.M.; Sinha, D.K.; Mengesha, G.A. Chemical Composition and Extraction of Micro Crystalline Cellulose from Outer Skin Isolated Coffee Husk. Adv. Mater. Sci. Eng. 2022, 2022, 7163359. [Google Scholar] [CrossRef]
- Azum, N.; Jawaid, M.; Kian, L.K.; Khan, A.; Alotaibi, M.M. Extraction of Microcrystalline Cellulose from Washingtonia Fibre and Its Characterization. Polymers 2021, 13, 3030. [Google Scholar] [CrossRef]
- Hachaichi, A.; Kouini, B.; Kian, L.K.; Asim, M.; Jawaid, M. Extraction and Characterization of Microcrystalline Cellulose from Date Palm Fibers using Successive Chemical Treatments. J. Polym. Environ. 2021, 29, 1990–1999. [Google Scholar] [CrossRef]
- Leppänen, K.; Andersson, S.; Torkkeli, M.; Knaapila, M.; Kotelnikova, N.; Serimaa, R. Structure of cellulose and microcrystalline cellulose from various wood species, cotton and flax studied by X-ray scattering. Cellulose 2009, 16, 999–1015. [Google Scholar] [CrossRef]
- Casalini, T.; Rossi, F.; Castrovinci, A.; Perale, G. A Perspective on Polylactic Acid-Based Polymers Use for Nanoparticles Synthesis and Applications. Front. Bioeng. Biotechnol. 2019, 7, 259. [Google Scholar] [CrossRef]
- Djukić-Vuković, A.; Mladenović, D.; Ivanović, J.; Pejin, J.; Mojović, L. Towards sustainability of lactic acid and poly-lactic acid polymers production. Renew. Sustain. Energy Rev. 2019, 108, 238–252. [Google Scholar] [CrossRef]
- Ranakoti, L.; Gangil, B.; Mishra, S.K.; Singh, T.; Sharma, S.; Ilyas, R.A.; El-Khatib, S. Critical Review on Polylactic Acid: Properties, Structure, Processing, Biocomposites, and Nanocomposites. Materials 2022, 15, 4312. [Google Scholar] [CrossRef] [PubMed]
- Taib, N.-A.A.B.; Rahman, M.R.; Huda, D.; Kuok, K.K.; Hamdan, S.; Bakri, M.K.B.; Julaihi, M.R.M.B.; Khan, A. A review on poly lactic acid (PLA) as a biodegradable polymer. Polym. Bull. 2023, 80, 1179–1213. [Google Scholar] [CrossRef]
- Farah, S.; Anderson, D.G.; Langer, R. Physical and mechanical properties of PLA, and their functions in widespread applications—A comprehensive review. Adv. Drug Deliv. Rev. 2016, 107, 367–392. [Google Scholar] [CrossRef]
- Bigg, D.M. Polylactide copolymers: Effect of copolymer ratio and end capping on their properties. Adv. Polym. Technol. 2005, 24, 69–82. [Google Scholar] [CrossRef]
- González-López, M.E.; Martín del Campo, A.S.; Robledo-Ortíz, J.R.; Arellano, M.; Pérez-Fonseca, A.A. Accelerated weathering of poly(lactic acid) and its biocomposites: A review. Polym. Degrad. Stab. 2020, 179, 109290. [Google Scholar] [CrossRef]
- Shekhar, N.; Mondal, A. Synthesis, properties, environmental degradation, processing, and applications of Polylactic Acid (PLA): An overview. Polym. Bull. 2024, 81, 11421–11457. [Google Scholar] [CrossRef]
- Brown, M.H.; Badzinski, T.D.; Pardoe, E.; Ehlebracht, M.; Maurer-Jones, M.A. UV Light Degradation of Polylactic Acid Kickstarts Enzymatic Hydrolysis. ACS Mater. Au 2024, 4, 92–98. [Google Scholar] [CrossRef]
- Vaid, R.; Yildirim, E.; Pasquinelli, M.A.; King, M.W. Hydrolytic Degradation of Polylactic Acid Fibers as a Function of pH and Exposure Time. Molecules 2021, 26, 7554. [Google Scholar] [CrossRef]
- Tsuji, H. Hydrolytic Degradation. In Poly(Lactic Acid); John Wiley & Sons, Ltd.: Hoboken, NJ, USA, 2022; pp. 467–516. ISBN 978-1-119-76748-0. [Google Scholar]
- Behera, K.; Chang, Y.-H.; Chiu, F.-C.; Yang, J.-C. Characterization of poly(lactic acid)s with reduced molecular weight fabricated through an autoclave process. Polym. Test. 2017, 60, 132–139. [Google Scholar] [CrossRef]
- Ren, Z.; Guo, R.; Bi, H.; Jia, X.; Xu, M.; Cai, L. Interfacial Adhesion of Polylactic Acid on Cellulose Surface: A Molecular Dynamics Study. ACS Appl. Mater. Interfaces 2020, 12, 3236–3244. [Google Scholar] [CrossRef] [PubMed]
- Mileo, P.G.M.; Krauter, C.M.; Sanders, J.M.; Browning, A.R.; Halls, M.D. Molecular-Scale Exploration of Mechanical Properties and Interactions of Poly(lactic acid) with Cellulose and Chitin. ACS Omega 2023, 8, 42417–42428. [Google Scholar] [CrossRef]
- Davies, P.; Le Gall, M.; Niu, Z.; Catarino, A.I.; De Witte, Y.; Everaert, G.; Dhakal, H.; Park, C.H.; Demeyer, E. Recycling and ecotoxicity of flax/PLA composites: Influence of seawater aging. Compos. Part C Open Access 2023, 12, 100379. [Google Scholar] [CrossRef]
- Le Duigou, A.; Pillin, I.; Bourmaud, A.; Davies, P.; Baley, C. Effect of recycling on mechanical behaviour of biocompostable flax/poly(l-lactide) composites. Compos. Part A Appl. Sci. Manuf. 2008, 39, 1471–1478. [Google Scholar] [CrossRef]
- Pérez-Fonseca, A.A.; González-López, M.E.; Robledo-Ortíz, J.R. Reprocessing and Recycling of Poly(Lactic Acid): A Review. J. Polym. Environ. 2023, 31, 4143–4159. [Google Scholar] [CrossRef]
- Kabir, S.M.F.; Mathur, K.; Seyam, A.-F.M. A critical review on 3D printed continuous fiber-reinforced composites: History, mechanism, materials and properties. Compos. Struct. 2020, 232, 111476. [Google Scholar] [CrossRef]
- Anzalone, G.C.; Wijnen, B.; Pearce, J.M. Multi-material additive and subtractive prosumer digital fabrication with a free and open-source convertible delta RepRap 3-D printer. Rapid Prototyp. J. 2015, 21, 506–519. [Google Scholar] [CrossRef]
- Stratasys Patent Expires, 3D Printing Industry Insiders Comment on Impact. 3D Printing Industry. Available online: https://3dprintingindustry.com/news/stratasys-patent-expires-3d-printing-industry-insiders-comment-on-impact-185454/ (accessed on 19 June 2021).
- Top 3D Printing Technologies. 2021. Available online: https://www.statista.com/statistics/560304/worldwide-survey-3d-printing-top-technologies/ (accessed on 20 June 2021).
- Grgić, I.; Karakašić, M.; Glavaš, H.; Konjatić, P. Accuracy of FDM PLA Polymer 3D Printing Technology Based on Tolerance Fields. Processes 2023, 11, 2810. [Google Scholar] [CrossRef]
- Al-Maharma, A.Y.; Patil, S.P.; Markert, B. Effects of porosity on the mechanical properties of additively manufactured components: A critical review. Mater. Res. Express 2020, 7, 122001. [Google Scholar] [CrossRef]
- van de Werken, N.; Tekinalp, H.; Khanbolouki, P.; Ozcan, S.; Williams, A.; Tehrani, M. Additively manufactured carbon fiber-reinforced composites: State of the art and perspective. Addit. Manuf. 2020, 31, 100962. [Google Scholar] [CrossRef]
- Liu, H.; He, H.; Peng, X.; Huang, B.; Li, J. Three-dimensional printing of poly(lactic acid) bio-based composites with sugarcane bagasse fiber: Effect of printing orientation on tensile performance. Polym. Adv. Technol. 2019, 30, 910–922. [Google Scholar] [CrossRef]
- Acquah, S.F.A.; Leonhardt, B.E.; Nowotarski, M.S.; Magi, J.M.; Chambliss, K.A.; Venzel, T.E.S.; Delekar, S.D.; Al-Hariri, L.A. Carbon Nanotubes and Graphene as Additives in 3D Printing. In Carbon Nanotubes—Current Progress of their Polymer Composites; Berber, M.R., Hafez, I.H., Eds.; InTech: Houston, TX, USA, 2016; ISBN 978-953-51-2469-6. [Google Scholar]
- Brenken, B. Fused filament fabrication of fiber-reinforced polymers—A review. Addit. Manuf. 2018, 21, 1–16. [Google Scholar] [CrossRef]
- Sun, X.; Mazur, M.; Cheng, C.-T. A review of void reduction strategies in material extrusion-based additive manufacturing. Addit. Manuf. 2023, 67, 103463. [Google Scholar] [CrossRef]
- Levenhagen, N.P.; Dadmun, M.D. Improving Interlayer Adhesion in 3D Printing with Surface Segregating Additives: Improving the Isotropy of Acrylonitrile–Butadiene–Styrene Parts. ACS Appl. Polym. Mater. 2019, 1, 876–884. [Google Scholar] [CrossRef]
- Fang, L.; Yan, Y.; Agarwal, O.; Yao, S.; Seppala, J.E.; Kang, S.H. Effects of Environmental Temperature and Humidity on the Geometry and Strength of Polycarbonate Specimens Prepared by Fused Filament Fabrication. Materials 2020, 13, 4414. [Google Scholar] [CrossRef]
- Zander, N.E.; Park, J.H.; Boelter, Z.R.; Gillan, M.A. Recycled Cellulose Polypropylene Composite Feedstocks for Material Extrusion Additive Manufacturing. ACS Omega 2019, 4, 13879–13888. [Google Scholar] [CrossRef]
- Shaqour, B.; Abuabiah, M.; Abdel-Fattah, S.; Juaidi, A.; Abdallah, R.; Abuzaina, W.; Qarout, M.; Verleije, B.; Cos, P. Gaining a better understanding of the extrusion process in fused filament fabrication 3D printing: A review. Int. J. Adv. Manuf. Technol. 2021, 114, 1279–1291. [Google Scholar] [CrossRef]
- Gkartzou, E.; Koumoulos, E.P.; Charitidis, C.A. Production and 3D printing processing of bio-based thermoplastic filament. Manuf. Rev. 2017, 4, 1. [Google Scholar] [CrossRef]
- Novais, R.M.; Covas, J.A.; Paiva, M.C. The effect of flow type and chemical functionalization on the dispersion of carbon nanofiber agglomerates in polypropylene. Compos. Part A Appl. Sci. Manuf. 2012, 43, 833–841. [Google Scholar] [CrossRef]
- Teuber, L. Evaluation of Particle and Fiber Degradation During Processing of Wood Plastic Composites (WPC) Using Dynamic Image Analysis. Ph.D. Thesis, Georg-August-University Göttingen, Göttingen, Germany, 2016. [Google Scholar]
- Tarhini, A.; Tehrani-Bagha, A.R. Advances in Preparation Methods and Conductivity Properties of Graphene-based Polymer Composites. Appl. Compos. Mater. 2023, 30, 1737–1762. [Google Scholar] [CrossRef]
- Platnieks, O.; Sereda, A.; Gaidukovs, S.; Thakur, V.K.; Barkane, A.; Gaidukova, G.; Filipova, I.; Ogurcovs, A.; Fridrihsone, V. Adding value to poly (butylene succinate) and nanofibrillated cellulose-based sustainable nanocomposites by applying masterbatch process. Ind. Crops Prod. 2021, 169, 113669. [Google Scholar] [CrossRef]
- Kong, I.; Tshai, K.Y.; Hoque, M.E. Manufacturing of Natural Fibre-Reinforced Polymer Composites by Solvent Casting Method. In Manufacturing of Natural Fibre Reinforced Polymer Composites; Salit, M.S., Jawaid, M., Yusoff, N.B., Hoque, M.E., Eds.; Springer International Publishing: Cham, Switzerland, 2015; pp. 331–349. ISBN 978-3-319-07944-8. [Google Scholar]
- Graninger, G. Cellulose as a Functional Additive to Develop Composite Materials. Ph.D. Thesis, Queen’s University Belfast, Belfast, UK, 2024. Available online: https://pure.qub.ac.uk/en/studentTheses/cellulose-as-a-functional-additive-to-develop-composite-materials (accessed on 19 February 2024).
- Joseph, K.; Thomas, S.; Pavithran, C. Dynamic Mechanical Properties of Short Sisal Fiber Reinforced Low Density Polyethylene Composites. J. Reinf. Plast. Compos. 1993, 12, 139–155. [Google Scholar] [CrossRef]
- Jiang, L.; Morelius, E.; Zhang, J.; Wolcott, M.; Holbery, J. Study of the Poly(3-hydroxybutyrate-co-3-hydroxyvalerate)/Cellulose Nanowhisker Composites Prepared by Solution Casting and Melt Processing. J. Compos. Mater. 2008, 42, 2629–2645. [Google Scholar] [CrossRef]
- Dufresne, A. Nanocellulose: A new ageless bionanomaterial. Mater. Today 2013, 16, 220–227. [Google Scholar] [CrossRef]
- Marras, S.I.; Zuburtikudis, I.; Panayiotou, C. Solution casting versus melt compounding: Effect of fabrication route on the structure and thermal behavior of poly(l-lactic acid) clay nanocomposites. J. Mater. Sci. 2010, 45, 6474–6480. [Google Scholar] [CrossRef]
- Setua, D.K.; Mordina, B.; Srivastava, A.K.; Roy, D.; Eswara Prasad, N. Chapter 18—Carbon nanofibers-reinforced polymer nanocomposites as efficient microwave absorber. In Fiber-Reinforced Nanocomposites: Fundamentals and Applications; Han, B., Sharma, S., Nguyen, T.A., Longbiao, L., Bhat, K.S., Eds.; Micro and Nano Technologies; Elsevier: Hoboken, NJ, USA, 2020; pp. 395–430. ISBN 978-0-12-819904-6. [Google Scholar]
- Mohammadi, M.; Heuzey, M.-C.; Carreau, P.J.; Taguet, A. Morphological and Rheological Properties of PLA, PBAT, and PLA/PBAT Blend Nanocomposites Containing CNCs. Nanomaterials 2021, 11, 857. [Google Scholar] [CrossRef]
- Kohlgrüber, K. Co-Rotating Twin-Screw Extruder; Carl Hanser Verlag GmbH Co KG: München, Germany, 2012. [Google Scholar]
- Giles, H.F.; Wagner, J.R.; Mount, E.M. 3—Single Screw Extruder: Equipment. In Extrusion; Giles, H.F., Wagner, J.R., Mount, E.M., Eds.; Plastics Design Library; William Andrew Publishing: Norwich, NY, USA, 2005; pp. 13–34. ISBN 978-0-8155-1473-2. [Google Scholar]
- Han, C.D. Plasticating Single-Screw Extrusion. In Rheology and Processing of Polymeric Materials: Volume 2: Polymer Processing; Han, C.D., Ed.; Oxford University Press: Oxford, UK, 2006; pp. 26–131. ISBN 978-0-19-518783-0. [Google Scholar]
- Wilczyński, K.; Nastaj, A.; Lewandowski, A.; Wilczyński, K.J.; Buziak, K. Fundamentals of Global Modeling for Polymer Extrusion. Polymers 2019, 11, E2106. [Google Scholar] [CrossRef]
- Levy, S. Plastics Extrusion Technology Handbook; Industrial Press Inc.: Norwalk, CT, USA, 1989; ISBN 978-0-8311-1185-4. [Google Scholar]
- Stevenson, J.F. 10—Extrusion of Rubber and Plastics. In Comprehensive Polymer Science and Supplements; Allen, G., Bevington, J.C., Eds.; Pergamon: Amsterdam, The Netherlands, 1989; pp. 303–354. ISBN 978-0-08-096701-1. [Google Scholar]
- Rao, R.R.; Pandey, A.; Hegde, A.R.; Kulkarni, V.I.; Chincholi, C.; Rao, V.; Bhushan, I.; Mutalik, S. Metamorphosis of Twin Screw Extruder-Based Granulation Technology: Applications Focusing on Its Impact on Conventional Granulation Technology. AAPS PharmSciTech 2021, 23, 24. [Google Scholar] [CrossRef]
- Martin, C. Twin Screw Extruders as Continuous Mixers for Thermal Processing: A Technical and Historical Perspective. AAPS PharmSciTech 2016, 17, 3–19. [Google Scholar] [CrossRef]
- Giles, H.F.; Wagner, J.R.; Mount, E.M. 11—Twin Screw Extruder Equipment. In Extrusion; Giles, H.F., Wagner, J.R., Mount, E.M., Eds.; Plastics Design Library; William Andrew Publishing: Norwich, NY, USA, 2005; pp. 95–113. ISBN 978-0-8155-1473-2. [Google Scholar]
- Bouvier, J.-M.; Campanella, O.H. (Eds.) Extrusion Engineering. In Extrusion Processing Technology; John Wiley & Sons, Ltd.: Hoboken, NJ, USA, 2014; pp. 53–124. ISBN 978-1-118-54168-5. [Google Scholar]
- Bouvier, J.-M.; Campanella, O.H. (Eds.) Extrusion Technology and Process Intensification. In Extrusion Processing Technology; John Wiley & Sons, Ltd.: Hoboken, NJ, USA, 2014; pp. 465–506. ISBN 978-1-118-54168-5. [Google Scholar]
- Balla, V.K.; Kate, K.H.; Dattatreya Tadimeti, J.G.; Satyavolu, J. Influence of Soybean Hull Fiber Concentration on the Water Absorption and Mechanical Properties of 3D-Printed Thermoplastic Copolyester/Soybean Hull Fiber Composites. J. Mater. Eng. Perform. 2020, 29, 5582–5593. [Google Scholar] [CrossRef]
- Tekinalp, H.L.; Meng, X.; Lu, Y.; Kunc, V.; Love, L.J.; Peter, W.H.; Ozcan, S. High modulus biocomposites via additive manufacturing: Cellulose nanofibril networks as “microsponges”. Compos. Part B Eng. 2019, 173, 106817. [Google Scholar] [CrossRef]
- Beloshenko, V.; Beygelzimer, Y.; Voznyak, Y. Solid-State Extrusion. In Encyclopedia of Polymer Science and Technology; John Wiley & Sons, Ltd.: Hoboken, NJ, USA, 2015; pp. 1–16. ISBN 978-0-471-44026-0. [Google Scholar]
- Özen, İ.; İnceoǧlu, F.; Acatay, K.; Menceloǧlu, Y.Z. Comparison of melt extrusion and thermokinetic mixing methods in poly(ethylene terephthalate)/montmorillonite nanocomposites. Polym. Eng. Sci. 2012, 52, 1537–1547. [Google Scholar] [CrossRef]
- Tarrés, Q.; Melbø, J.K.; Delgado-Aguilar, M.; Espinach, F.X.; Mutjé, P.; Chinga-Carrasco, G. Bio-polyethylene reinforced with thermomechanical pulp fibers: Mechanical and micromechanical characterization and its application in 3D-printing by fused deposition modelling. Compos. Part B Eng. 2018, 153, 70–77. [Google Scholar] [CrossRef]
- Matsuzaki, R.; Ueda, M.; Namiki, M.; Jeong, T.-K.; Asahara, H.; Horiguchi, K.; Nakamura, T.; Todoroki, A.; Hirano, Y. Three-dimensional printing of continuous-fiber composites by in-nozzle impregnation. Sci. Rep. 2016, 6, 23058. [Google Scholar] [CrossRef]
- Ehman, N.V.; Ita-Nagy, D.; Felissia, F.E.; Vallejos, M.E.; Quispe, I.; Area, M.C.; Chinga-Carrasco, G. Biocomposites of Bio-Polyethylene Reinforced with a Hydrothermal-Alkaline Sugarcane Bagasse Pulp and Coupled with a Bio-Based Compatibilizer. Molecules 2020, 25, 2158. [Google Scholar] [CrossRef]
- Zhang, H.; Liu, D.; Huang, T.; Hu, Q.; Lammer, H. Three-Dimensional Printing of Continuous Flax Fiber-Reinforced Thermoplastic Composites by Five-Axis Machine. Materials 2020, 13, 1678. [Google Scholar] [CrossRef]
- Nissilä, T.; Wei, J.; Geng, S.; Teleman, A.; Oksman, K. Ice-Templated Cellulose Nanofiber Filaments as a Reinforcement Material in Epoxy Composites. Nanomaterials 2021, 11, 490. [Google Scholar] [CrossRef]
- Theyson, T. Utilization of Soy Hulls in the Preparation of High Value Cellulosic Forms. In Proceedings of the Pulping, Engineering, Environmental, Recycling and Sustainability (PEERS) Conference Proceedings 2015, 2016, 2017, 2018 and 2019, Atlanta, GA, USA, 25–28 October 2015, Jacksonville, FL, USA, 26–28 September 2016, Norfolk, VI, USA, 5–8 November 2017, Portland, OR, USA, 28–31 October 2018, St. Louis, MO, USA, 27–30 October 2019; Technical Association of the Pulp & Paper Industry (TAPPI): Atlanta, GA, USA, 2015; pp. 1–24. Available online: https://app.knovel.com/kn/resources/kpPP000054/toc (accessed on 6 May 2024).
- Ning, H.; Lu, N.; Hassen, A.A.; Chawla, K.; Selim, M.; Pillay, S. A review of Long fibre thermoplastic (LFT) composites. Int. Mater. Rev. 2020, 65, 164–188. [Google Scholar] [CrossRef]
- Wang, K.; Huang, Y.; Cheng, P.; Xiong, Y.; Le Duigou, A.; Peng, Y.; Rao, Y.; Ahzi, S. Novel application of dual-nozzle 3D printer for enhanced in-situ impregnation 3D printing of dry continuous fiber reinforced composites. Compos. Part A Appl. Sci. Manuf. 2024, 183, 108231. [Google Scholar] [CrossRef]
- Le Duigou, A.; Barbé, A.; Guillou, E.; Castro, M. 3D printing of continuous flax fibre reinforced biocomposites for structural applications. Mater. Des. 2019, 180, 107884. [Google Scholar] [CrossRef]
- Le Duigou, A.; Chabaud, G.; Matsuzaki, R.; Castro, M. Tailoring the mechanical properties of 3D-printed continuous flax/PLA biocomposites by controlling the slicing parameters. Compos. Part B Eng. 2020, 203, 108474. [Google Scholar] [CrossRef]
- Cai, R.; Lin, H.; Cheng, P.; Zhang, Z.; Wang, K.; Peng, Y.; Wu, Y.; Ahzi, S. Investigation on dynamic strength of 3D-printed continuous ramie fiber reinforced biocomposites at various strain rates using machine learning methods. Polym. Compos. 2022, 43, 5235–5249. [Google Scholar] [CrossRef]
- Long, Y.; Zhang, Z.; Fu, K.; Li, Y. Efficient plant fibre yarn pre-treatment for 3D printed continuous flax fibre/poly(lactic) acid composites. Compos. Part B Eng. 2021, 227, 109389. [Google Scholar] [CrossRef]
- Dhakal, H.N.; Zhang, Z.Y.; Richardson, M.O.W. Effect of water absorption on the mechanical properties of hemp fibre reinforced unsaturated polyester composites. Compos. Sci. Technol. 2007, 67, 1674–1683. [Google Scholar] [CrossRef]
- Mokhothu, T.H.; John, M.J. Bio-based coatings for reducing water sorption in natural fibre reinforced composites. Sci. Rep. 2017, 7, 13335. [Google Scholar] [CrossRef]
- Fruleux, T.; Castro, M.; Sauleau, P.; Matsuzaki, R.; Le Duigou, A. Matrix stiffness: A key parameter to control hydro-elasticity and morphing of 3D printed biocomposite. Compos. Part A Appl. Sci. Manuf. 2022, 156, 106882. [Google Scholar] [CrossRef]
- Cheng, P.; Peng, Y.; Wang, K.; Le Duigou, A.; Yao, S.; Chen, C. Quasi-static penetration property of 3D printed woven-like ramie fiber reinforced biocomposites. Compos. Struct. 2023, 303, 116313. [Google Scholar] [CrossRef]
- Liu, G.; Wei, G.; Gao, H. A novel structure of woven composite pressure pipes and its multi-scale analysis. J. Text. Inst. 2019, 110, 1394–1403. [Google Scholar] [CrossRef]
- Zhang, H.; Lei, X.; Hu, Q.; Wu, S.; Aburaia, M.; Gonzalez-Gutierrez, J.; Lammer, H. Hybrid Printing Method of Polymer and Continuous Fiber-Reinforced Thermoplastic Composites (CFRTPCs) for Pipes through Double-Nozzle Five-Axis Printer. Polymers 2022, 14, 819. [Google Scholar] [CrossRef]
- Fruleux, T.; Castro, M.; Correa, D.; Wang, K.; Matsuzaki, R.; Duigou, A.L. Geometric limitations of 3D printed continuous flax-fiber reinforced biocomposites cellular lattice structures. Compos. Part C Open Access 2022, 9, 100313. [Google Scholar] [CrossRef]
- Cheng, P.; Wang, K.; Chen, X.; Wang, J.; Peng, Y.; Ahzi, S.; Chen, C. Interfacial and mechanical properties of continuous ramie fiber reinforced biocomposites fabricated by in-situ impregnated 3D printing. Ind. Crops Prod. 2021, 170, 113760. [Google Scholar] [CrossRef]
- Gholampour, A.; Ozbakkaloglu, T. A review of natural fiber composites: Properties, modification and processing techniques, characterization, applications. J. Mater. Sci. 2020, 55, 829–892. [Google Scholar] [CrossRef]
- Yang, Y.; Quan, Z.; Zhang, H.; Qin, X.; Wang, R.; Yu, J. Investigation on the processability, structure and properties of micro-/nano-fiber composite yarns produced by trans-scale spinning. J. Ind. Text. 2022, 51, 5409S–5426S. [Google Scholar] [CrossRef]
- Ji, D.; Lin, Y.; Guo, X.; Ramasubramanian, B.; Wang, R.; Radacsi, N.; Jose, R.; Qin, X.; Ramakrishna, S. Electrospinning of nanofibres. Nat. Rev. Methods Primers 2024, 4, 1. [Google Scholar] [CrossRef]
- Inseemeesak, B.; Siripaiboon, C.; Somkeattikul, K.; Attasophonwattana, P.; Kiatiwat, T.; Punsuvon, V.; Areeprasert, C. Biocomposite fabrication from pilot-scale steam-exploded coconut fiber and PLA/PBS with mechanical and thermal characterizations. J. Clean. Prod. 2022, 379, 134517. [Google Scholar] [CrossRef]
- Depuydt, D.; Balthazar, M.; Hendrickx, K.; Six, W.; Ferraris, E.; Desplentere, F.; Ivens, J.; Van Vuure, A.W. Production and characterization of bamboo and flax fiber reinforced polylactic acid filaments for fused deposition modeling (FDM). Polym. Compos. 2019, 40, 1951–1963. [Google Scholar] [CrossRef]
- Tekinalp, H.L.; Ker, D.W.; Benson, B.J.; Kunc, V.; Peter, W.H.; Ozcan, S. Micro-Cellulose Fiber Reinforced Biocomposites for Additive Manufacturing. In Proceedings of the CAMX – The Composites and Advanced Materials Expo, Dallas, TX, USA, 15–18 October 2018; Available online: https://www.ornl.gov/publication/micro-cellulose-fiber-reinforced-biocomposites-additive-manufacturing-6 (accessed on 15 June 2024).
- Stoof, D.; Pickering, K.; Zhang, Y. Fused Deposition Modelling of Natural Fibre/Polylactic Acid Composites. J. Compos. Sci. 2017, 1, 8. [Google Scholar] [CrossRef]
- Giles, H.F.; Wagner, J.R.; Mount, E.M. 12—Plastic Behavior in Twin Screw Extruders. In Extrusion; Giles, H.F., Wagner, J.R., Mount, E.M., Eds.; Plastics Design Library; William Andrew Publishing: Norwich, NY, USA, 2005; pp. 115–132. ISBN 978-0-8155-1473-2. [Google Scholar]
- Ausias, G.; Bourmaud, A.; Coroller, G.; Baley, C. Study of the fibre morphology stability in polypropylene-flax composites. Polym. Degrad. Stab. 2013, 98, 1216–1224. [Google Scholar] [CrossRef]
- Xiang, D.; Zhang, X.; Li, Y.; Harkin-Jones, E.; Zheng, Y.; Wang, L.; Zhao, C.; Wang, P. Enhanced performance of 3D printed highly elastic strain sensors of carbon nanotube/thermoplastic polyurethane nanocomposites via non-covalent interactions. Compos. Part B Eng. 2019, 176, 107250. [Google Scholar] [CrossRef]
- Vidakis, N.; Petousis, M.; Maniadi, A.; Koudoumas, E.; Kenanakis, G.; Romanitan, C.; Tutunaru, O.; Suchea, M.; Kechagias, J. The Mechanical and Physical Properties of 3D-Printed Materials Composed of ABS-ZnO Nanocomposites and ABS-ZnO Microcomposites. Micromachines 2020, 11, 615. [Google Scholar] [CrossRef]
- Wang, Z.; Xu, J.; Lu, Y.; Hu, L.; Fan, Y.; Ma, J.; Zhou, X. Preparation of 3D printable micro/nanocellulose-polylactic acid (MNC/PLA) composite wire rods with high MNC constitution. Ind. Crops Prod. 2017, 109, 889–896. [Google Scholar] [CrossRef]
- Alaa, M.; Abdan, K.; Ching Hao, L.; Rafiqah, A.; Al-Talib, A.; Huzaifah, M.; Mazlan, N. Fundamental study and modification of Kenaf fiber reinforced polylactic acid bio-composite for 3D printing filaments. Mater. Today Proc. 2023, in press. [Google Scholar] [CrossRef]
- Shahar, F.S.; Hameed Sultan, M.T.; Safri, S.N.A.; Jawaid, M.; Talib, A.; Abd, R.; Basri, A.A.; Md Shah, A.U. Fatigue and impact properties of 3D printed PLA reinforced with kenaf particles. J. Mater. Res. Technol. 2022, 16, 461–470. [Google Scholar] [CrossRef]
- Badouard, C.; Traon, F.; Denoual, C.; Mayer-Laigle, C.; Paës, G.; Bourmaud, A. Exploring mechanical properties of fully compostable flax reinforced composite filaments for 3D printing applications. Ind. Crops Prod. 2019, 135, 246–250. [Google Scholar] [CrossRef]
- Scaffaro, R.; Maio, A.; Gulino, E.F.; Alaimo, G.; Morreale, M. Green Composites Based on PLA and Agricultural or Marine Waste Prepared by FDM. Polymers 2021, 13, 1361. [Google Scholar] [CrossRef]
- Figueroa-Velarde, V.; Diaz-Vidal, T.; Cisneros-López, E.O.; Robledo-Ortiz, J.R.; López-Naranjo, E.J.; Ortega-Gudiño, P.; Rosales-Rivera, L.C. Mechanical and Physicochemical Properties of 3D-Printed Agave Fibers/Poly(lactic) Acid Biocomposites. Materials 2021, 14, 3111. [Google Scholar] [CrossRef]
- Le Duigou, A.; Castro, M.; Bevan, R.; Martin, N. 3D printing of wood fibre biocomposites: From mechanical to actuation functionality. Mater. Des. 2016, 96, 106–114. [Google Scholar] [CrossRef]
- Krapež Tomec, D.; Schöflinger, M.; Leßlhumer, J.; Gradišar Centa, U.; Žigon, J.; Kariž, M. The Effects of Microcrystalline Cellulose Addition on the Properties of Wood–PLA Filaments for 3D Printing. Polymers 2024, 16, 836. [Google Scholar] [CrossRef]
- Ayrilmis, N.; Kariz, M.; Kwon, J.H.; Kitek Kuzman, M. Effect of printing layer thickness on water absorption and mechanical properties of 3D-printed wood/PLA composite materials. Int. J. Adv. Manuf. Technol. 2019, 102, 2195–2200. [Google Scholar] [CrossRef]
- De Almeida, V.H.M.; de Jesus, R.M.; Santana, G.M.; Khan, S.; Silva, E.F.M.S.; da Cruz, I.S.; de Santos, I.S.; dos Anjos, P.N.M. The Development of Biocomposite Filaments for 3D Printing by Utilizing a Polylactic Acid (PLA) Polymer Matrix Reinforced with Cocoa Husk Cellulose Fibers. Polymers 2024, 16, 1757. [Google Scholar] [CrossRef]
- Ismail, K.I.; Yap, T.C.; Ahmed, R. 3D-Printed Fiber-Reinforced Polymer Composites by Fused Deposition Modelling (FDM): Fiber Length and Fiber Implementation Techniques. Polymers 2022, 14, 4659. [Google Scholar] [CrossRef] [PubMed]
- Lendvai, L.; Fekete, I.; Rigotti, D.; Pegoretti, A. Experimental study on the effect of filament-extrusion rate on the structural, mechanical and thermal properties of material extrusion 3D-printed polylactic acid (PLA) products. Prog. Addit. Manuf. 2024, 10, 619–629. [Google Scholar] [CrossRef]
- Guessasma, S.; Belhabib, S.; Nouri, H. Microstructure and Mechanical Performance of 3D Printed Wood-PLA/PHA Using Fused Deposition Modelling: Effect of Printing Temperature. Polymers 2019, 11, 1778. [Google Scholar] [CrossRef] [PubMed]
- Yang, T.-C. Effect of Extrusion Temperature on the Physico-Mechanical Properties of Unidirectional Wood Fiber-Reinforced Polylactic Acid Composite (WFRPC) Components Using Fused Deposition Modeling. Polymers 2018, 10, 976. [Google Scholar] [CrossRef]
- Yang, T.-C.; Yeh, C.-H. Morphology and Mechanical Properties of 3D Printed Wood Fiber/Polylactic Acid Composite Parts Using Fused Deposition Modeling (FDM): The Effects of Printing Speed. Polymers 2020, 12, 1334. [Google Scholar] [CrossRef]
- Han, X.; Huang, L.; Wei, Z.; Wang, Y.; Chen, H.; Huang, C.; Su, S. Technology and mechanism of enhanced compatibilization of polylactic acid-grafted glycidyl methacrylate. Ind. Crops Prod. 2021, 172, 114065. [Google Scholar] [CrossRef]
- Ye, G.; Li, Z.; Chen, B.; Bai, X.; Chen, X.; Hu, Y. Performance of polylactic acid/polycaprolactone/microcrystalline cellulose biocomposites with different filler contents and maleic anhydride compatibilization. Polym. Compos. 2022, 43, 5179–5188. [Google Scholar] [CrossRef]
- Ye, G.; Zhang, X.; Bi, H. Construction of high-performance and sustainable polylactic acid composites for 3D printing applications with plasticizer. Int. J. Biol. Macromol. 2024, 269, 132162. [Google Scholar] [CrossRef]
- Kariz, M.; Sernek, M.; Obućina, M.; Kuzman, M.K. Effect of wood content in FDM filament on properties of 3D printed parts. Mater. Today Commun. 2018, 14, 135–140. [Google Scholar] [CrossRef]
- Cisneros-López, E.O.; Pal, A.K.; Rodriguez, A.U.; Wu, F.; Misra, M.; Mielewski, D.F.; Kiziltas, A.; Mohanty, A.K. Recycled poly(lactic acid)–based 3D printed sustainable biocomposites: A comparative study with injection molding. Mater. Today Sustain. 2020, 7–8, 100027. [Google Scholar] [CrossRef]
- Balla, V.K.; Tadimeti, J.G.D.; Sudan, K.; Satyavolu, J.; Kate, K.H. First report on fabrication and characterization of soybean hull fiber: Polymer composite filaments for fused filament fabrication. Prog. Addit. Manuf. 2021, 6, 39–52. [Google Scholar] [CrossRef]
- Rigotti, D.; Fambri, L.; Pegoretti, A. Bio-composites for fused filament fabrication: Effects of maleic anhydride grafting on poly(lactic acid) and microcellulose. Prog. Addit. Manuf. 2022, 7, 765–783. [Google Scholar] [CrossRef]
- Balla, V.K.; Tadimeti, J.G.D.; Kate, K.H.; Satyavolu, J. 3D printing of modified soybean hull fiber/polymer composites. Mater. Chem. Phys. 2020, 254, 123452. [Google Scholar] [CrossRef]
- Estakhrianhaghighi, E.; Mirabolghasemi, A.; Zhang, Y.; Lessard, L.; Akbarzadeh, A. 3D-Printed Wood-Fiber Reinforced Architected Cellular Composites. Adv. Eng. Mater. 2020, 22, 2000565. [Google Scholar] [CrossRef]
- Jing, H.; He, H.; Liu, H.; Huang, B.; Zhang, C. Study on properties of polylactic acid/lemongrass fiber biocomposites prepared by fused deposition modeling. Polym. Compos. 2021, 42, 973–986. [Google Scholar] [CrossRef]
- Sekar, V.; Zarrouq, M.; Namasivayam, S.N. Development and characterization of oil palm empty fruit bunch fibre reinforced polylactic acid filaments for fused deposition modelling/Vignesh Sekar, Mazin Zarrouq and Satesh Narayana Namasivayam. J. Mech. Eng. 2021, 8, 89–107. [Google Scholar] [CrossRef]
- Tekinalp, H.; Ker, D.; Benson, B.J.; Buziak, M.A.; Kunc, V.; Peter, W.; Ozcan, S. Effect of Surface Treatment of Microfiberlated Cellulose Fibers on Biocomposite Properties and Additive Manufacturing Process; Oak Ridge National Laboratory (ORNL): Oak Ridge, TN, USA, 2019. [Google Scholar]
- Murphy, C.A.; Collins, M.N. Microcrystalline cellulose reinforced polylactic acid biocomposite filaments for 3D printing. Polym. Compos. 2018, 39, 1311–1320. [Google Scholar] [CrossRef]
- Chau, K. Notice of Intent to List Chemicals by the Labor Code Mechanism: Tetrahydrofuran; 2-ethylhexyl Acrylate; Methyl Acrylate; and Trimethylolpropane Triacrylate, Technical Grade. OEHHA. Available online: https://oehha.ca.gov/proposition-65/crnr/notice-intent-list-chemicals-labor-code-mechanism-tetrahydrofuran-2-ethylhexyl (accessed on 12 February 2024).
- Admin, O. The Proposition 65 List. OEHHA. Available online: https://oehha.ca.gov/proposition-65/proposition-65-list (accessed on 8 June 2024).
- Peplow, M. The Dark Side of Dichloromethane. Chemistry World. Available online: https://www.chemistryworld.com/opinion/the-dark-side-of-dichloromethane/3007725.article (accessed on 17 June 2024).
- Blanco, J.; Linares, M.; López Granados, M.; Agirre, I.; Gandarias, I.; Arias, P.L.; Iglesias, J.; Moreno, J.; García, A. Integrated Environmental and Exergoeconomic Analysis of Biomass-Derived Maleic Anhydride. Adv. Sustain. Syst. 2022, 6, 2200121. [Google Scholar] [CrossRef]
- US EPA, N.C.F.E.A. Health and Environmental Effects Profile for Maleic Anhydride. Available online: https://assessments.epa.gov/risk/document/&deid%3D41673 (accessed on 8 June 2024).
- Stenton, S.C.; Kelly, C.A.; Walters, E.H.; Hendrick, D.J. Occupational asthma due to a repair process for polyethylene-coated electrical cables. J. Soc. Occup. Med. 1989, 39, 33–34. [Google Scholar] [CrossRef]
- Muñoz, I.; Weidema, B.P. Ethylene and propylene production from steam cracking in Europe: A consequential perspective. Int. J. Life Cycle Assess. 2024, 29, 745–758. [Google Scholar] [CrossRef]
- Abushammala, H.; Mao, J. A Review of the Surface Modification of Cellulose and Nanocellulose Using Aliphatic and Aromatic Mono- and Di-Isocyanates. Molecules 2019, 24, 2782. [Google Scholar] [CrossRef]
- Isocyanates—Overview|Occupational Safety and Health Administration. Available online: https://www.osha.gov/isocyanates (accessed on 10 June 2024).
- Isocyanates|NIOSH|CDC. Available online: https://archive.cdc.gov/#/details?url=https://www.cdc.gov/niosh/topics/isocyanates/default.html (accessed on 10 June 2024).
- Lazzeri, D.; Pieri, M.; Lazzeri, S.; Colizzi, L.; Giannotti, G.; Pagnini, D.; Stabile, M.; Gatti, G.L.; Massei, A. Silane coupling agent chemical burns: A risk for medical personnel too. Burns 2009, 35, 600–605. [Google Scholar] [CrossRef] [PubMed]
- PubChem. Hazardous Substances Data Bank (HSDB): 5767. Available online: https://pubchem.ncbi.nlm.nih.gov/source/hsdb/5767 (accessed on 10 June 2024).
- PubChem. 3-Aminopropyltrimethoxysilane. Available online: https://pubchem.ncbi.nlm.nih.gov/compound/83756 (accessed on 10 June 2024).
- Almasri, R.; Akiyama, Y.; Manabe, Y.; Sato, F. A study on the prospects of vacuum gamma irradiation to enhance crosslinking for 3D-Printing PLA/MCC biocomposite filaments. Phys. Open 2023, 15, 100154. [Google Scholar] [CrossRef]
- Aihemaiti, P.; Houfeng, J.; Wurikaixi, A.; Jing, W.; Lanlan, D.; Shuai, C. Mechanical properties enhancement of 3D-printed HA-PLA composites using ultrasonic vibration assistance. Virtual Phys. Prototyp. 2024, 19, e2346271. [Google Scholar] [CrossRef]
- Dey, A.; Rahman, M.M.; Yodo, N.; Grewell, D. Development of biocomposite filament for fused filament fabrication from soy hulls and soy protein isolate. Mater. Today Commun. 2023, 34, 105316. [Google Scholar] [CrossRef]
- Ng, W.K.; Chow, W.S.; Ismail, H. Poly(2-ethyl-2-oxazoline) as β-Nucleating Agent for Poly(lactic acid) Blends with High Transparency and Hydrophilicity. J. Polym. Environ. 2021, 29, 2650–2659. [Google Scholar] [CrossRef]
- Mansingh, B.B.; Binoj, J.S.; Tan, Z.Q.; Eugene, W.W.L.; Amornsakchai, T.; Hassan, S.A.; Goh, K.L. Comprehensive characterization of raw and treated pineapple leaf fiber/polylactic acid green composites manufactured by 3D printing technique. Polym. Compos. 2022, 43, 6051–6061. [Google Scholar] [CrossRef]
- Rigotti, D. Polymer Composites for Sustainable 3D Printing Materials. Ph.D. Thesis, University of Trento, Trento, Italy, 2019. Available online: http://eprints-phd.biblio.unitn.it/3813/ (accessed on 19 June 2024).
- Galera Manzano, L.M.; Ruz Cruz, M.Á.; Moo Tun, N.M.; Valadez González, A.; Mina Hernandez, J.H. Effect of Cellulose and Cellulose Nanocrystal Contents on the Biodegradation, under Composting Conditions, of Hierarchical PLA Biocomposites. Polymers 2021, 13, 1855. [Google Scholar] [CrossRef]
- Espert, A.; Vilaplana, F.; Karlsson, S. Comparison of water absorption in natural cellulosic fibres from wood and one-year crops in polypropylene composites and its influence on their mechanical properties. Compos. Part A Appl. Sci. Manuf. 2004, 35, 1267–1276. [Google Scholar] [CrossRef]
- Fortunati, E.; Puglia, D.; Monti, M.; Santulli, C.; Maniruzzaman, M.; Foresti, M.L.; Vazquez, A.; Kenny, J.M. Okra (Abelmoschus esculentus) Fibre Based PLA Composites: Mechanical Behaviour and Biodegradation. J. Polym. Environ. 2013, 21, 726–737. [Google Scholar] [CrossRef]
- Yetiş, F.; Liu, X.; Sampson, W.W.; Gong, R.H. Biodegradation of Composites of Polylactic Acid and Microfibrillated Lignocellulose. J. Polym. Environ. 2023, 31, 698–708. [Google Scholar] [CrossRef]
- Szatkowski, P.; Gralewski, J.; Suchorowiec, K.; Kosowska, K.; Mielan, B.; Kisilewicz, M. Aging Process of Biocomposites with the PLA Matrix Modified with Different Types of Cellulose. Materials 2023, 17, 22. [Google Scholar] [CrossRef] [PubMed]
- Cai, H.; Dave, V.; Gross, R.A.; McCarthy, S.P. Effects of physical aging, crystallinity, and orientation on the enzymatic degradation of poly(lactic acid). J. Polym. Sci. Part B Polym. Phys. 1996, 34, 2701–2708. [Google Scholar] [CrossRef]
- Vitiello, L.; Carroccio, S.C.; Ambrogi, V.; Podda, E.; Filippone, G.; Salzano de Luna, M. Degradation kinetics of PLA/hemp biocomposites: Tradeoff between nucleating action and pro-hydrolytic effect of natural fibers. Compos. Sci. Technol. 2024, 257, 110806. [Google Scholar] [CrossRef]
- Södergård, A.; Stolt, M. Properties of lactic acid based polymers and their correlation with composition. Prog. Polym. Sci. 2002, 27, 1123–1163. [Google Scholar] [CrossRef]
- Mysiukiewicz, O.; Barczewski, M.; Skórczewska, K.; Matykiewicz, D. Correlation between Processing Parameters and Degradation of Different Polylactide Grades during Twin-Screw Extrusion. Polymers 2020, 12, 1333. [Google Scholar] [CrossRef]
- Tokiwa, Y.; Calabia, B.P. Biodegradability and biodegradation of poly(lactide). Appl. Microbiol. Biotechnol. 2006, 72, 244–251. [Google Scholar] [CrossRef]
- Kalita, N.K.; Damare, N.A.; Hazarika, D.; Bhagabati, P.; Kalamdhad, A.; Katiyar, V. Biodegradation and characterization study of compostable PLA bioplastic containing algae biomass as potential degradation accelerator. Environ. Chall. 2021, 3, 100067. [Google Scholar] [CrossRef]
- Kalita, N.K.; Sarmah, A.; Bhasney, S.M.; Kalamdhad, A.; Katiyar, V. Demonstrating an ideal compostable plastic using biodegradability kinetics of poly(lactic acid) (PLA) based green biocomposite films under aerobic composting conditions. Environ. Chall. 2021, 3, 100030. [Google Scholar] [CrossRef]
- Sourkouni, G.; Jeremić, S.; Kalogirou, C.; Höfft, O.; Nenadovic, M.; Jankovic, V.; Rajasekaran, D.; Pandis, P.; Padamati, R.; Nikodinovic-Runic, J.; et al. Study of PLA pre-treatment, enzymatic and model-compost degradation, and valorization of degradation products to bacterial nanocellulose. World J. Microbiol. Biotechnol. 2023, 39, 161. [Google Scholar] [CrossRef]
- Wang, Y.; Hu, T.; Zhang, W.; Lin, J.; Wang, Z.; Lyu, S.; Tong, H. Biodegradation of polylactic acid by a mesophilic bacteria Bacillus safensis. Chemosphere 2023, 318, 137991. [Google Scholar] [CrossRef] [PubMed]
- Cucina, M.; De Nisi, P.; Trombino, L.; Tambone, F.; Adani, F. Degradation of bioplastics in organic waste by mesophilic anaerobic digestion, composting and soil incubation. Waste Manag. 2021, 134, 67–77. [Google Scholar] [CrossRef] [PubMed]
- Wang, Y.; Zhang, Y.; Zhang, Z.; Liu, Q.; Xu, T.; Liu, J.; Han, S.; Song, T.; Li, L.; Wei, X.; et al. The bifunctional impact of polylactic acid microplastics on composting processes and soil-plant systems: Dynamics of microbial communities and ecological niche competition. J. Hazard. Mater. 2024, 479, 135774. [Google Scholar] [CrossRef] [PubMed]
- Liu, R.; Liang, J.; Yang, Y.; Jiang, H.; Tian, X. Effect of polylactic acid microplastics on soil properties, soil microbials and plant growth. Chemosphere 2023, 329, 138504. [Google Scholar] [CrossRef]
- Petinakis, E.; Liu, X.; Yu, L.; Way, C.; Sangwan, P.; Dean, K.; Bateman, S.; Edward, G. Biodegradation and thermal decomposition of poly(lactic acid)-based materials reinforced by hydrophilic fillers. Polym. Degrad. Stab. 2010, 95, 1704–1707. [Google Scholar] [CrossRef]
- Dey, A.; Rahman, M.M.; Gupta, A.; Yodo, N.; Lee, C.W. A Performance Study on 3D-Printed Bioplastic Pots from Soybean By-Products. Sustainability 2023, 15, 10535. [Google Scholar] [CrossRef]
- Saavedra-Rojas, F.A.; Bhandari, S.; Lopez-Anido, R.A. Environmental Durability of Bio-Based and Synthetic Thermoplastic Composites in Large-Format Additive Manufacturing. Polymers 2024, 16, 787. [Google Scholar] [CrossRef]
- Chang, B.P.; Mohanty, A.K.; Misra, M. Studies on durability of sustainable biobased composites: A review. RSC Adv. 2020, 10, 17955–17999. [Google Scholar] [CrossRef]
- Domerg, M.; Ostre, B.; Belec, L.; Berlioz, S.; Joliff, Y.; Grunevald, Y.-H. Aging effects at room temperature and process parameters on 3D-printed poly (lactic acid) (PLA) tensile properties. Prog. Addit. Manuf. 2024, 9, 2427–2443. [Google Scholar] [CrossRef]
- Lin, W.; Xie, G.; Qiu, Z. Effects of ultraviolet aging on properties of wood flour–poly(lactic acid) 3D printing filaments: BioResources. BioRes 2019, 14, 8689–8700. [Google Scholar] [CrossRef]
- Afshar, A.; Mihut, D. Enhancing durability of 3D printed polymer structures by metallization. J. Mater. Sci. Technol. 2020, 53, 185–191. [Google Scholar] [CrossRef]
- Cagri Senocak, T.; Reddy Gudeti, P.K.; Żur-Pińska, J.; Włodarczyk-Biegun, M.K. Biofabricated tissue model for determining biocompatibility of metallic coatings. Biomater. Sci. 2025, 13, 1075–1090. [Google Scholar] [CrossRef] [PubMed]
- Kataria, S.; Jain, S.; Sikarwar, B.S.; Ranjan, M. Plasma Techniques for the Fabrication of Hydrophobic Substrates. In Proceedings of the Recent Advances in Mechanical Engineering; Shukla, A.K., Sharma, B.P., Arabkoohsar, A., Kumar, P., Eds.; Springer Nature: Singapore, 2023; pp. 831–846. [Google Scholar]
- Luiz de Paula, E.; Mano, V.; Pereira, F.V. Influence of cellulose nanowhiskers on the hydrolytic degradation behavior of poly(d,l-lactide). Polym. Degrad. Stab. 2011, 96, 1631–1638. [Google Scholar] [CrossRef]
- Lodha, S.; Song, B.; Park, S.-I.; Choi, H.-J.; Lee, S.W.; Park, H.W.; Choi, S.-K. Sustainable 3D printing with recycled materials: A review. J. Mech. Sci. Technol. 2023, 37, 5481–5507. [Google Scholar] [CrossRef]
- Agbakoba, V.C.; Webb, N.; Jegede, E.; Phillips, R.; Hlangothi, S.P.; John, M.J. Mechanical Recycling of Waste PLA Generated From 3D Printing Activities: Filament Production and Thermomechanical Analysis. Macromol. Mater. Eng. 2023, 309, 2300276. [Google Scholar] [CrossRef]
- Chien, Y.-C.; Wu, J.-H.; Shu, C.-H.; Lo, J.-T.; Yang, T.-C. Closed-Loop Recycling of 3D-Printed Wood–PLA Composite Parts: Effects on Mechanical and Structural Properties via Fused Filament Fabrication. Polymers 2024, 16, 3002. [Google Scholar] [CrossRef]
- Immonen, K.; Metsä-Kortelainen, S.; Nurmio, J.; Tribot, A.; Turpeinen, T.; Mikkelson, A.; Kalpio, T.; Kaukoniemi, O.-V.; Kangas, H. Recycling of 3D Printable Thermoplastic Cellulose-Composite. Sustainability 2022, 14, 2734. [Google Scholar] [CrossRef]
- Bhagia, S.; Bornani, K.; Agarwal, R.; Satlewal, A.; Ďurkovič, J.; Lagaňa, R.; Bhagia, M.; Yoo, C.G.; Zhao, X.; Kunc, V.; et al. Critical review of FDM 3D printing of PLA biocomposites filled with biomass resources, characterization, biodegradability, upcycling and opportunities for biorefineries. Appl. Mater. Today 2021, 24, 101078. [Google Scholar] [CrossRef]
- Nishikawa, R.; Eno, A.; Janchai, K.; Han, R.; Kida, T.; Mori, T.; Aridome, N.; Miyamoto, A.; Yamaguchi, M. Crystallinity enhancement of extruded polypropylene containing poly(vinyl alcohol) fibers prepared in situ. Polymer 2022, 254, 125043. [Google Scholar] [CrossRef]
- Nagarajan, V.; Zhang, K.; Misra, M.; Mohanty, A.K. Overcoming the Fundamental Challenges in Improving the Impact Strength and Crystallinity of PLA Biocomposites: Influence of Nucleating Agent and Mold Temperature. ACS Appl. Mater. Interfaces 2015, 7, 11203–11214. [Google Scholar] [CrossRef]
- Broz, M.E.; VanderHart, D.L.; Washburn, N.R. Structure and mechanical properties of poly(d,l-lactic acid)/poly(ε-caprolactone) blends. Biomaterials 2003, 24, 4181–4190. [Google Scholar] [CrossRef]
- Nagarajan, V.; Mohanty, A.K.; Misra, M. Perspective on Polylactic Acid (PLA) based Sustainable Materials for Durable Applications: Focus on Toughness and Heat Resistance. ACS Sustain. Chem. Eng. 2016, 4, 2899–2916. [Google Scholar] [CrossRef]










| Solution Casting | Melt Compounding | Refs. |
|---|---|---|
| Room-temperature processing to produce biocomposite films is possible. Hence, thermal degradation of fibrous reinforcement does not occur. | Less thermally stable fibrous reinforcements are prone to degradation during compounding, especially when subjected to multiple compounding cycles. However, melt-compounded composites exhibit superior thermal stability than solution-cast ones. | [105,106,107] |
| Biocomposite crystallinity is retained for longer durations in composting conditions in composting conditions, which means these biocomposites are slow to biodegrade. | A quicker rate of decline takes place in both biocomposite crystallinity and biodegradation under composting conditions. | [105] |
| The mechanical degradation of the reinforcing fiber aspect ratio is prevented. | Reinforcing fibers can lose their higher aspect ratios in the shearing action associated with melt compounding. | [108] |
| Solution casting can effectively disperse micro and nano-scale cellulosic fibrous reinforcement. | Hydrogen bonding in molecules of cellulosic fibrous reinforcement causes their agglomeration in the polymer matrix during melt compounding processes. | [109,110] |
| Solvent reclamation is essential for reusing toxic, widely used, costly solvents, necessitating appropriate infrastructure. | No solvent use is required for typical melt compounding operations, making it a cleaner process. | [111] |
| The scalability of the solution casting process is challenging. | Melt compounding processes are industrially scalable and cheaper manufacturing routes compared to solution casting. | [104,112] |
| Re-agglomeration of nano-cellulosic reinforcement occurs when a melt processing step is added to produce the biocomposite. | Typically, multiple melt compounding cycles ameliorate the dispersion and distribution of fibrous reinforcement in the polymeric matrix. | [113] |
| Chemical | Function | Hazards | Refs. |
|---|---|---|---|
| Tetrahydrofuran (THF) | Utilized as a PLA solvent in solution casting. Aids in modifying cellulosic surfaces to improve compatibility with PLA in biocomposites [187]. | Carcinogen | [188,189] |
| Dichloromethane (DCM) | Utilized as a PLA solvent in solution casting. Aids in modifying cellulosic surfaces to improve compatibility with PLA in biocomposites [160]. | Linked to attack on the ozone layer, a possible carcinogen | [190] |
| Maleic anhydride (MAH) | Enhances cellulosic-PLA adhesion by grafting MAH onto PLA’s backbone. | A key radical initiator in the MAH grafting reaction, dicumyl peroxide is an asthmatic agent. MAH itself is produced from furfural acid, which, in turn, is produced via unsustainable means. Furthermore, MAH irritates the skin, eyes, and respiratory tract on short-term exposure, and long-term exposure causes chronic bronchitis and asthma-like symptoms. | [191,192,193] |
| Polyethylene glycol (PEG) | PLA plasticization, cellulosic reinforcement dispersant, improving interfacial adhesion between PLA matrix and cellulosic reinforcements [160]. | The raw materials used to produce PEG are primarily derived from the petroleum crude cracking process. | [194] |
| Isocyanates | These can be grafted onto a cellulose surface, reducing its hydrophilic potential and aiding in linking cellulose with thermoplastic matrices [195]. | Cause intense irritation to the mucous membranes of the eyes and the respiratory and gastrointestinal tracts. Possible carcinogens. | [196,197] |
| 3-Aminopropyltriethoxysilane (KH-550), 3-aminopropyltrimethoxysilane | Two of the most widely used silane couplers improve the interfacial adhesion of cellulosic materials with thermoplastic polymers. | Severely corrosive to the skin and eyes | [198,199,200] |
| PLA Grade | Fiber Type, Sizes (µm), and Maximum Fiber Load (wt.%) | Treatment | Process and Equipment | Printing Layer Height (mm) | Printing Raster Angle (°) | Infill (%) | Printer Nozzle Size (mm) | Tensile Properties of Most Highly Fiber-Loaded FDMPBs and PLA | Impact Properties of Most Highly Fiber-Loaded FDMPBs and PLA | Compression Properties of Most Highly Fiber-Loaded FDMPBs and PLA | Flexural Properties of Most Highly Fiber-Loaded FDMPBs and PLA | Refs. |
|---|---|---|---|---|---|---|---|---|---|---|---|---|
| 2003D | Kenaf particle size: 250 µm, 7 wt.% | - | Twin-screw compounding, then single-screw filament extrusion | - | ±45 | 100 | - | Fatigue ultimate tensile strength (MPa): pure PLA: 56.36, 7 wt.% kenaf/PLA composite: 11.82 (ASTM D638 test standard) | Izod impact strength: pure (kJ/m2) PLA: 3.04 7 wt.% kenaf/PLA composite: 2.1 (ASTM D256 test standard) | - | - | [162] |
| 4032D | Sugarcane bagasse fiber (SCBF), raw sugarcane bagasse fiber (RSCB), 15 wt.% | Mercerization, bleaching to obtain SCB | Double-stage twin-screw extrusion | 0.1 | ±45 (D), 0/90 (C), 0/0 (P), 90/90 Vertical | 100 | 0.6 | Tensile strength (MPa): pure PLA: 61.4, 15 wt.%; RSCB/PLA composite in D setting: ~35, 15 wt.%; SCBF/PLA composite in D setting: ~4 (ISO 527 test standard) | - | - | Flexural strength and modulus (MPa): pure PLA: ~103, ~3050, 15 wt.% RSCB/PLA composite in D orientation: ~50, ~3600 15 wt.% SCBF/PLA composite in D orientation: ~63, ~3800 (ISO 178 test standard; three-point bending) | [93] |
| Virgin PLA (unknown grade), ColorFabb Bamboofil 20% bamboo/PLA composite commercial filament | Bamboo, flax, median fiber diameter: 47–254 µm, median fiber length: 124–4849 µm, 15 wt.% | Plasticizer | Direct twin-screw extrusion (36 L/D) for bamboo composite filament, compression molding followed by twin-screw extrusion for flax composite | - | - | - | 1 | Printed parts not mechanically characterized | Printed parts not mechanically characterized | Printed parts not mechanically characterized | Printed parts not mechanically characterized | [153] |
| 3052D | Hemp and harakeke fibers, diameter: 28.3 (±8.3) μm and 12.3 (±1.7) μm, respectively, 30 wt.% | Alkaline treatment | Intensive mixer compounding followed by twin-screw extrusion | 1 | - | - | 1 | Tensile strength (MPa): hemp/PLA FDMPB: ~28 tensile modulus (GPA): hemp/PLA FDMPB: ~4.2 (no test standard defined) | - | - | - | [155] |
| 3251D | Agave fiber (AF), diameter: 37.7 ± 16.6 µm, length: 255 ± 108 µm, 10 wt.% | - | Single-stage twin-screw extrusion | 0.3 | ±45, 0/90 | 100 | 0.3 | Tensile strengths of PLA and 10 wt.% AF/PLA composite printed at ±45°, 0°/90° (MPa): ~51, 34, and 28, respectively. Tensile moduli of pure PLA and 10 wt.% AF/PLA composite printed at ±45°, 0°/90° (MPa): ~1100, ~1090, ~880, and 840, respectively (ASTM D638-03 test standard) | Charpy impact strength (J/m): pure PLA printed at ±45°, 0°/90°: 30, ~29 10 wt.% AF/PLA composite printed at ±45°, 0°/90°: 26, 25 (ASTM D6110-04 test standard) | - | Flexural strengths of pure PLA and 10 wt.% AF/PLA composite printed at ±45°, 0°/90° (MPa): 87, 82, ~56, and 48, respectively. The flexural moduli of the same (MPa): 3280, ~2700, and ~2500, respectively (ASTM D790-03 test standard; three-point bending) | [165] |
| 4032D | Lemongrass fiber (LF), average fiber size: 65.6 µm, 10 wt.% | MAH grafting of PLA (0, 2, 5, 8, 10, 20%) | Double-stage twin-screw extrusion | 0.1 | ±45 | 100 | - | Tensile strengths of untreated pure PLA, untreated 10 wt.% LF/PLA composite, and 10 wt.% LF/5% MAH-g-PLA composite (MPa): 59.6 ± 0.8, 36.5 ± 1.3, and 54.0 ± 0.9, respectively (ISO 527 test standard) | Notched impact strengths of untreated pure PLA, untreated 10 wt.% LF/PLA composite, and 10 wt.% LF/5% MAH-g-PLA composite (kJ/m2): 2.6 ± 0.2, 1.9 ± 0.2, and 2.5 ± 0.2 (no test standard defined) | - | Flexural strengths of untreated pure PLA, untreated 10 wt.% LF/PLA composite, and 10 wt.% LF/5% MAH-g-PLA composite (MPa): 98.3 ± 4.4, 60.3 ± 5.5, and 96.2 ± 1.1, respectively. Flexural moduli of untreated, pure PLA, and 10 wt.% LF/5% MAH-g-PLA composites (MPa): 2220 ± 182, 2740 ± 113 and 3330 ± 25, respectively (ISO 178 test standard; three-point bending) | [184] |
| 4043D | Pineapple leaf fiber (PALF), 5 wt.% | Alkali-treated pineapple fiber (APALF) | Single-stage single-screw extrusion | - | 0/90 | - | 1.5 | The tensile strengths of pure PLA, 5 wt.% PALF/PLA composite, and 5 wt.% APALF/PLA composite (MPa): 29.5, 40.1, and 41, respectively. The tensile moduli of the same (MPa): 879.4, 1152, and 1242.1, respectively (ASTM D638 test standard) | - | - | Flexural strengths of pure PLA, 5 wt.% PALF/PLA composite, and 5 wt.% APALF/PLA composite (MPa): 32.2, 44., and 49.4, respectively. The flexural moduli of the same materials (MPa): 1027.4, 1431.4, and 1481.5, respectively (ASTM D790 test standard; three-point bending) | [205] |
| 4043D | Coconut fiber (CF), 10 wt.% | PBS added, no chemical modification | Double-stage twin-screw extrusion | 0.1 | 45 | 100 | 1 | Tensile strengths of pure PLA, 10 wt.% CF/PLA composite, and 10 wt.% CF/PLA/PBS composite (MPa): 3.31 ± 0.14, 4.31 ± 0.15, and 4.66 ± 0.38, respectively. The tensile moduli of the same (GPa): 0.90 ± 1.90, 1.13 ± 6.68, and 1.12 ± 4.77, respectively. These materials’ elongation at break (EOB) (%): 9.35 ± 0.01, 6.88 ± 0.03, and 5.73, respectively (ASTM D638 test standard) | Notched impact strength (kJ/m2): pure PLA: 4.10 ± 0.20 10 wt.% CF/PLA composite: 3.15 ± 0.25 10 wt.% CF/PLA/PBS composite: 4.30 ± 0.80 (ASTM D256 test standard) | The compressive strengths of pure PLA, 10 wt.% CF/PLA composite, and 10 wt.% CF/PLA/PBS composite (MPa): 86.29 ± 0.93, 44.80 ± 0.05, and 20.71 ± 0.53, respectively. The compressive moduli of the same (MPa): 1.65 ± 3.68, 0.97 ± 5.04, and 0.43 ± 5.43, respectively (ASTM D7336M-12 test standard) | Flexural strength (GPa): pure PLA: 2.56 ± 7.63 10 wt.% CF/PLA composite: 3.22 ± 6.65 10 wt.% CF/PLA/PBS composite: 3.13 ± 7.89 (D790-17 test standard; three-point bending) | [152] |
| 4032D | Bagasse cellulose (BC) fiber, BCA, BCB, BCC (sizes: 80, 120, 200 mesh), 50 wt.% | Mercerization and bleaching of BC fiber, glycidyl methacrylate grafted PLA (PLA–GMA) | Single-stage twin-screw extrusion | - | - | - | - | Tensile strength (MPa): PLA, PLA–GMA, 50BCB: 45.44, 15.94, 47.55; tensile modulus (MPa): PLA, PLA–GMA, 50BCB: 2263.28, 969.01, 3233.29 (no test standard defined) | - | - | - | [175] |
| ColorFabb woodfil PLA/PHA composite commercial filament | Recycled pine wood fiber (WF), 30 wt.% | - | - | 0.2 | ±45 | 100 | 0.4 | Tensile strengths of 30 wt.% WF/PLA/PHA composite at 210°, 220°, 230°, 240°, and 250° (MPa): 19.2 ± 0.1, 20.3 ± 0.1, 20.8 ± 0.1, 19.8 ± 1.2, and 20.5 ± 3.2, respectively. Tensile moduli of the same at these temperatures (MPa): 426 ± 11, 453 ± 19, 446 ± 20, 438 ± 10, and 416 ± 76, respectively. Elongation at break (EOB) at these temperatures (%): 6.03 ± 0.14, 6.29 ± 0.72, 6.70 ± 0.01, 6.15 ± 0.03, and 7.06 ± 1.21, respectively (ISO 527-1/2 test standard) | - | - | - | [172] |
| Unknown PLA grade | MCC, average particle size of 38 µm, 3 wt.% | Gamma ray irradiation in vacuum (10, 30, 50 kGy) | Single-stage single-screw extrusion | - | - | - | - | Tensile strength (MPa): 50 kGy gamma ray-irradiated pure PLA: 64, 50 kGy gamma ray-irradiated MCC/PLA composite: ~66 (ASTM D638 test standard) | - | - | - | [201] |
| Easy WoodTM commercial composite filament | Cedar fiber (CF), 40 wt.% | - | - | 0.2 | 0/0 | - | 0.4 | Tensile strengths of 40 wt.% CF/PLA composite at 200°, 210°, 220°, and 230° (MPa): 20.0 ± 0.5, 19.5 ± 1.0, 18.1 ± 0.4, and 18 ± 0.1, respectively. The tensile moduli of the same at these temperatures (MPa): 1802 ± 32, 1717 ± 63, 1711 ± 39, and 1713 ± 15, respectively (ASTM D638 test standard) | - | Compressive strength (MPa): 40 wt.% CF/PLA composite at 200°, 210°, 220°, and 230°: 28.5 ± 0.4, 31.2 ± 0.6, 30.4 ± 0.5, and 32.8 ± 0.5 (ASTM D695 test standard) | Moments of rupture (MOR) of 40 wt.% CF/PLA composite at 200°, 210°, 220°, and 230° (MPa): 35.2 ± 1.0, 33.7 ± 1.6, 32.2 ± 1.4, and 32.8 ± 1.4, respectively. The moments of elasticity (MOE) of the same at these temperatures (MPa): 1928 ± 66, 1699 ± 84, 1806 ± 75, and 1557 ± 128, respectively (ASTM D790 test standard; three-point bending) | [173] |
| 4043D | Cellulose microfiber (CMF) width: 20–30 µm, length: 700 µm, 10 wt.% | 3-aminopropyltriethoxysilane | Torque rheometer compounding followed by plunger-type batch extrusion unit | 0.4 | - | - | 0.8 | Tensile strength (MPa): untreated CMF/PLA composite: ~26, treated CMF/PLA composite: ~28, tensile modulus (GPa): untreated CMF/PLA composite: ~4, treated CMF/PLA composite: ~3.4 (ASTM D638 test standard) | - | - | - | [186] |
| 4043D, PLA waste (rPLA) | MCC, 5 wt.% | Joncryl chain extender (CE) | Single-stage twin-screw extrusion (L/D: 48:1), 27 mm screw diameter | 0.38 | ±45 | 100 | - | Tensile strengths of PLA/rPLA, PLA/rPLA/CE, and 5 wt.% MCC/PLA/CE (MPa): 44 ± 2, 20 ± 2, and 45 ± 2, respectively. The tensile moduli of the same materials (MPa): 2868 ± 140, 1662 ± 367, and 3051 ± 235, respectively. Elongation at break (EOB) for these materials (%): 2.6 ± 0.2, 2.0 ± 0.4, and 3.1 ± 0.5, respectively (ASTM D638 test standard) | Izod impact strength (J/m): PLA/rPLA: 28 ± 3, PLA/rPLA/CE:29 ± 3, 5 wt.% MCC/PLA/CE: 31 ± 3 (ASTM D256 test standard) | - | Flexural strengths of PLA/rPLA, PLA/rPLA/CE, and 5 wt.% MCC/PLA/CE (MPa): 71 ± 3, 83 ± 11, and 81 ± 6, respectively. The flexural moduli of the same (MPa): 2320 ± 121, 2571 ± 351, and 2731 ± 182, respectively (ASTM D790 test standard; three-point bending) | [179] |
| Commercial composite filament (unknown brand) | Wood fiber (WF), 30 wt.% | - | - | 0.05, 0.1, 0.2, 0.3 | - | - | 0.4 | Tensile strengths of 30 wt.% WF/PLA composite at 0.05, 0.1, 0.2, and 0.3 mm layer thickness (MPa): 35.5, 33.9, 28.7, and 20.5, respectively. Tensile moduli of the same at these thicknesses (MPa): 3642, 3410, 3115, and 2567, respectively (ISO 527 test standard) | - | - | Flexural strengths of 30 wt.% WF/PLA composite at 0.05, 0.1, 0.2, and 0.3 mm layer thickness (MPa): 128.3, 121.7, 113.6, and 84.3, respectively. Flexural moduli of the same at these thicknesses (MPa): 4887, 4350, 4125, and 3580, respectively (ISO 178 test standard; three-point bending) | [168] |
| 4043D | Wood fiber (WF), 44.6% of fibers with lengths between 100 and 200 µm, 15 wt.% | - | Single-stage single-screw extrusion | - | 0/90 | 100 | 0.6 | - | - | - | Flexural strengths of pure PLA and 15 wt.% WF/PLA composite (MPa): 59.52 ± 8.25 and 80.14 ± 4.84, respectively. Flexural moduli of the same materials (GPa): 2.30 ± 0.39 and 3.67 ± 0.36, respectively (ASTM D790 test standard; three-point bending) | [183] |
| 4032D | MCC, 5 wt.% | 2, 4, 6, 8 wt.% TBC, 19 wt.% PCL | Single-stage twin-screw extrusion | 0.2 | - | - | - | Tensile strengths of 5 wt.% MCC/PLA//PCL (0 wt.% TBC) and 5 wt.% MCC/PLA//PCL(4 wt.% TBC): 28.2 and 39.4, respectively. Tensile moduli of the same (GPa): 1.29 and 1.28, respectively. Elongation at break (EOB) for these (%): 2.9 and 20.1, respectively (no test standard defined) | - | - | - | [177] |
| 4043D | Cellulose microfiber (CMF), width: 20–30 µm, length: 550 µm, 20 wt.% | - | Torque rheometer compounding followed by plunger-type batch extrusion unit | 200 | - | - | - | - | - | - | - | [154] |
| 3001D | MCC, 5 wt.% | Titanate coupling agent | Solution casting followed by twin-screw extrusion | - | - | - | - | - | - | - | - | [187] |
| Unknown PLA grade | Soy hull fiber (SHF), SPI, 7.5, 10 wt.% | PEOX | Single-stage twin-screw extrusion | 0.2 | - | 95 | 0.4 | Tensile strengths of pure PLA, 7.5 wt.% SHF/PLA PEOX compatibilized composite, 7.5 wt.% SHF/2.5 wt.% SPI/PLA PEOX compatibilized composite, and 10 wt.% SHF/PLA PEOX compatibilized composite (MPa): 36.384, 30.592, 30.938, and ~22.5, respectively (ASTM D638 test standard) | - | - | - | [203] |
| 2002D | Opuntia ficus-indica (OFI), Posidonia oceanica leaves (POL), 20 wt.% | - | Single-stage single-screw extrusion (L/D = 25) | - | 0 | 80 | - | Tensile strengths of pure PLA, 20 wt.% OFI/PLA composite, and 20 wt.% POL/PLA composite (MPa): 60 ± 2, 32 ± 5, and 38 ± 7, respectively. Tensile moduli of the same (MPa): 2810 ± 40, 2610 ± 120, and 2560 ± 72, respectively. Elongation at break (EOB) for these (%): 3.7 ± 0.6, 1.8 ± 0.4, and 2.3 ± 0.5, respectively (no test standard defined) | Impact strength (kJ/m2): pure PLA: 21.2 ± 0.5 20 wt.% OFI/PLA composite: 11.3 ± 0.4 20 wt.% POL/PLA composite: 15.9 ± 0.8 (ASTM D6110 test standard) | - | Flexural strengths of pure PLA, 20 wt.% OFI/PLA composite, and 20 wt.% POL/PLA composite (MPa): 98 ± 6, 46 ± 2, and 60 ± 4, respectively. The flexural moduli of the same (MPa): 550 ± 11, 353 ± 22, and 350 ± 10, respectively (ASTM D790 test standard; three-point bending) | [164] |
| 2003D | Wood fiber, particles that pass 237 µm mesh, 50 wt.% | - | Melt compounding cycle (unknown equipment) followed by single-screw extrusion | 0.19 | - | 100 | 0.4 | Printed samples not mechanically characterized | Printed samples not mechanically characterized | Printed samples not mechanically characterized | Printed samples not mechanically characterized | [178] |
| 4032D | MCC, length: 24 µm, diameter: 10 µm, 10 wt.% | MAH | Melt mixing in capillary rheometer followed by filament extrusion on a single-screw extruder | - | - | - | - | Breaking stress, breaking strain, and tensile modulus of 10 wt.% MCC/MAH-g-PLA/composite: ~32 MPa, ~0.03%, and ~2700 MPa, respectively (no test standard defined) | - | - | - | [206] |
| LX175 | MCC, average particle size: 51 µm, 25 wt.% | - | Twin-screw extrusion, L/D: 25 | 0.1 | - | 100 | 0.4 | Tensile strength (MPa): pure PLA: ~57 25 wt.% MCC/PLA: ~34, tensile modulus (MPa): pure PLA: ~3500 25 wt.% MCC/PLA: ~3600, elongation at break (%): pure PLA: ~1.65 25 wt.% MCC/PLA: ~0.8 (ISO 527 test standard) | - | - | Flexural strength (MPa): pure PLA: ~120 25 wt.% MCC/PLA: ~62, flexural modulus (MPa): pure PLA: ~3400 25 wt.% MCC/PLA: ~3650, elongation at break (%): pure PLA: ~4.9 25 wt.% MCC/PLA: ~1.8 (ISO 178 test standard; three-point bending) | [107] |
| Formfutura BV commercial wood/PLA biocomposite filament (WPC) | Wood fiber, 40 wt.% | - | - | 0.2 | - | - | 0.4 | Tensile strength (MPa): WPC at 30 mm/s, 50 mm/s, and 70 mm/s: 19.8 ± 0.8, 19.2 ± 0.7, and 19.8 ± 0.3; tensile modulus (MPa): WPC at 30 mm/s, 50 mm/s, and 70 mm/s: 1731 ± 60, 1650 ± 60, and 1682 ± 27 (ASTM D638 test standard) | - | Compressive strength (MPa): WPC at 30 mm/s, 50 mm/s, and 70 mm/s: 31.8 ± 0.6, 27.7 ± 0.9, and 20.9 ± 1.8; compressive modulus (MPa): WPC at 30 mm/s, 50 mm/s, and 70 mm/s: 852 ± 8, 825 ± 11, and 728 ± 28 (ASTM D695 test standard) | Flexural strength (MPa): WPC at 30 mm/s, 50 mm/s, and 70 mm/s: 34.0 ± 1.5, 33.1 ± 0.5, 32.3 ± 0.4; flexural modulus (MPa): WPC at 30 mm/s, 50 mm/s, and 70 mm/s: 1680 ± 78, 1620 ± 70, and 1575 ± 34 (ASTM D790 test standard; three-point bending) | [174] |
| 2003D | MCC, average particle size: 6–12 μm, wood fiber (WF), sieved through 237 µm sieve, 5 wt.% | - | Double-stage twin-screw extrusion | 0.5 | ±45 | 100 | 1 | Tensile strength (MPa): 30 wt.% WF composite/PLA: 28.31 30 wt.% WF/5 wt.% MCC/PLA composite: 19.38 (ISO 527-2:1996 test standard) | - | - | Flexural strength (MPa): 30 wt.% WF, composite/PLA: 24.35 30 wt.% WF/5 wt.% MCC/PLA: 24.94, flexural modulus (GPa): 30% WF/PLA: 2.97 30 wt.% WF/5 wt.% MCC/PLA: 1.93 (ISO 178 test standard; three-point bending) | [167] |
| 4032D | MCC, diameter: 5–10 µm, 5 wt.% | Maleic anhydride compatibilizer, PCL toughener | Twin-screw extrusion, followed by single-screw extrusion | 0.2 | - | - | - | Tensile strengths of PLA and 5MCC/PLA/PLA-g-MAH/PCL (MPa): 46.67 and 49.4, elastic modulus (GPa): 1.5 and 1.39, EOB (%): 3.79 and 9.08 (ASTM D638 test standard) | - | - | - | [176] |
Disclaimer/Publisher’s Note: The statements, opinions and data contained in all publications are solely those of the individual author(s) and contributor(s) and not of MDPI and/or the editor(s). MDPI and/or the editor(s) disclaim responsibility for any injury to people or property resulting from any ideas, methods, instructions or products referred to in the content. |
© 2025 by the authors. Licensee MDPI, Basel, Switzerland. This article is an open access article distributed under the terms and conditions of the Creative Commons Attribution (CC BY) license (https://creativecommons.org/licenses/by/4.0/).
Share and Cite
Tahir, M.; Seyam, A.-F. Greening Fused Deposition Modeling: A Critical Review of Plant Fiber-Reinforced PLA-Based 3D-Printed Biocomposites. Fibers 2025, 13, 64. https://doi.org/10.3390/fib13050064
Tahir M, Seyam A-F. Greening Fused Deposition Modeling: A Critical Review of Plant Fiber-Reinforced PLA-Based 3D-Printed Biocomposites. Fibers. 2025; 13(5):64. https://doi.org/10.3390/fib13050064
Chicago/Turabian StyleTahir, Muneeb, and Abdel-Fattah Seyam. 2025. "Greening Fused Deposition Modeling: A Critical Review of Plant Fiber-Reinforced PLA-Based 3D-Printed Biocomposites" Fibers 13, no. 5: 64. https://doi.org/10.3390/fib13050064
APA StyleTahir, M., & Seyam, A.-F. (2025). Greening Fused Deposition Modeling: A Critical Review of Plant Fiber-Reinforced PLA-Based 3D-Printed Biocomposites. Fibers, 13(5), 64. https://doi.org/10.3390/fib13050064
