Abstract
The global market for tires is ever-growing, and partially replacing sand with crumb rubber (CR) as fine aggregates in concrete could reduce environmental pollution. However, the main barrier to the complete usage of recycled tire crumbs in construction is the deterioration effect of CR on the mechanical properties of cement-based composites. Therefore, this paper attempts to improve the fresh and hardened properties of crumb rubber mortar (CRM) by incorporating polypropylene-polyethylene synthetic fibers with coconut and kenaf natural fibers as reinforcements. A total of 18 mix designs were developed with varying fiber combinations and rubber crumb replacement. Subsequently, parametric studies with chemical admixture were conducted at 3, 7, and 28 days to improve the flowability and resulting mechanical properties of the fiber-reinforced CRM. According to the results, the single and hybrid fibers positively improved the mechanical properties of cement mortar at 5–15% CR replacement. It can be concluded that adding single and hybrid fibers enhanced the performance of cement mortar modified with tire crumb rubber aggregates by providing varying degrees of improvement.
1. Introduction
There are 1.5 billion end-of-life tires (ELTs) produced each year globally, with approximately four billion more in landfill and stockpiles worldwide [1,2]. It was reported that only 5% of ELTs are recycled or reused in the civil engineering industry. ELTs have enormous potential to be used as construction materials to reduce pollution, waste landfills, and the consumption of virgin materials [3,4]. However, several barriers have prevented the complete application of ELTs in construction. One of the significant barriers is the deterioration of the mechanical properties of concrete [5].
ELTs in the form of CR aggregates have been shown to reduce the compressive [6,7], flexural [8,9], and tensile [10,11] strength of concrete. The deterioration is due to CR’s low modulus of elasticity that generates air voids when deformed under pressure. In addition, the weak interfacial bond of CR leads to the debonding of these rubberized aggregates with cement due to the greater deformation capacity of viscoelastic CR in an elastic rigid cement matrix [12]. Several findings have also found that the workability in CR concrete can be improved by adjusting the aggregate gradation [13] and combining it with supplementary cementitious materials (SCMs) [14,15]. Furthermore, water is repelled from the surface of CR, creating air pockets that reduce friction between the CR aggregates and cement in fresh concrete, thus resulting in improved workability [16]. To summarise, the deterioration in strength caused by CR limits the application of cementitious composites containing CR to non-structural applications [17].
In recent years, investigations into improving CR through chemical and physical treatments have been widely conducted to improve the adhesion between CR aggregates and cement. Treatments such as pre-coating with cement paste [18], polyvinyl alcohol and sodium hydroxide [19], silane coupling agents [20], and sulfur compounds [21] successfully improved the performance of CR in cement composites. However, these methods produced minimal improvements and were challenging to recreate during concrete production [5]. Additionally, improvements using SCM were also investigated for the effects on CR concrete. The incorporation of silica fume, fly ash, and metakaolin slightly enhanced the mechanical properties of CR cement composites [22,23]. However, the combinations of multiple SCMs in CR concrete have also been reported to reduce the compressive strength of CR concrete [24].
A more straightforward approach to improving CRM can be similarly accomplished using fibers. Fibers are hair-like strands added into concrete mixtures as a crack-bridging reinforcement in cement composites. The usage of fibers is practical, economical, and more effective in enhancing the mechanical properties of various building materials [25,26,27,28]. The ‘fiber-bridging’ effect evokes the multitracking phenomenon, which prevents the convergence and propagation of microcracks into a singular large crack, thus improving the global mechanical properties. Previous findings have reported that the combination or hybridization of two or more different types of fibers in cement composites yielded even greater performance than single fibers [29,30]. Multiple fibers with diverse sizes, lengths, volume fractions, bonding powers, materials, and geometric forms would provide better reinforcing capabilities than single fibers with identical physical properties.
Hence, this research investigates the reinforcing effect of single and hybrid fiber combinations on the mechanical properties of cement composites incorporating CR. Although the uses of fibers in concrete have been studied in detail, sufficient attention has not been given to the fundamental investigation of fibers in mortar. According to Lawler [31], fibers can only exist in cement paste. Therefore, the mechanics of failure and the reinforcing capabilities of fibers can be observed and interpreted more accurately without coarse aggregates in CR cement mix [32,33]. The fiber reinforcements in this investigation should be observed, analyzed, and validated in a mortar before further applications in concrete or other building materials.
2. Methodology
2.1. Materials
The cement used in this study is type II ordinary Portland cement (OPC) with a specific gravity of 3.15 and particle size distribution of 1.2 µm (D5%), 18 µm (D50%), and 67 µm (D95%). The chemical composition consists of tricalcium silicate (3CaO·SiO2), dicalcium silicate (2CaO·SiO2), and tetra-calcium aluminoferrite (4CaO·Al2O3Fe2O3), which complies with the ASTM C150 standard specification for Portland cement [34]. Additionally, the fine aggregates were sourced from river sand and conformed to the ASTM C778 standard specification for standard sand [35], while the crumb rubbers were obtained from recycled tire scraps that had been ground to the same consistency as that of sand. A particle sieve analysis was conducted for the fine aggregates using the ASTM C136 standard test method for sieve analysis of fine and coarse aggregates [36]. The size distribution curves are shown in Figure 1. Potable water was used for mixing and curing according to the ASTM C1602 standard specification for mixing water used in the production of hydraulic cement concrete [37].
Figure 1.
Grading curves for sand and crumb rubber aggregates.
The synthetic fibers are polypropylene-polyethylene blend fibers in a twisted bundle form with a standard length of 3 cm. The natural fibers are kenaf and coconut fibers extracted from the waste of textile materials and coconut husk, respectively. Kenaf was chosen as one of the natural fiber reinforcements because the textile industries generate huge kenaf waste during textile manufacturing. Similarly, the production of coconut products contributes to a sizeable amount of waste worldwide in the form of coconut husks. Recycling both waste fibers in cement or combining them with synthetic fibers could reduce the generated carbon footprint of the materials. The kenaf and coconut fibers were washed separately in a concrete mixer with soap and water. The water was continuously replaced during rolling in the mixer until clear and odorless water could be observed. The fibers were then dried and cut into approximately 3–5 cm before being stored in containers. All the supplementary raw materials used in this study are shown in Figure 2.

Figure 2.
Raw materials used in this study. (a) Kenaf fibers. (b) Coconut fibers. (c) Synthetic fibers. (d) Chemical admixture. (e) Crumb rubber aggregate.
A naphthalene-sulfonate-based chemical admixture was added to the mortar mixture to address the workability issues commonly associated with using fibers in cement composites. Adding admixtures would ensure less porous, workable, and evenly distributed fibers in CRM [38,39]. The admixture is categorized as a type F superplasticizer under the ASTM C494 standard specification for chemical admixtures for concrete [40].
2.2. Mix Proportion
In this investigation, fibers are used as reinforcements to improve the mechanical performance of CRM at 5%, 10%, and 15% crumb rubber replacement. A total of 18 mortar mixes were designed to observe the behavior of CRM containing no fibers, a single fiber, and hybrid fiber combinations. The volume fractions of the fiber in the CRM were fixed at 0.6% for single fibers and 1.2% for hybrid fibers, as shown in Table 1. For the hybrid fiber combinations, the primary load-bearing fibers were synthetic fibers, while the secondary fibers were kenaf or coconut fibers. A cement-aggregate ratio of 1:1.65 and water-cement ratio of 0.60 was selected for the CRM, with the full mix proportions shown in Table 2.
Table 1.
Admixture and fiber combinations.
Table 2.
Mix proportions for fiber-reinforced CRM.
The range of crumb rubbers was taken from previous research by Li et al. [41], and the range of the various fibers was extracted from a study on fibers in cement composites utilizing tire crumbs by Farah et al. [42]. The range of admixtures was incrementally increased from 04% to 3.2% to correspond proportionately to the crumb rubber replacements.
2.3. Mixing Sequence
The mixing procedure follows the specification outlined in the ASTM C305 standard practice for mechanical mixing of hydraulic cement pastes and mortars of plastic consistency [43]. However, extra steps were taken to add crumb rubbers and fibers into the mixture. The crumb rubbers were pre-mixed with sand before being poured down into the mixing bowl, while one-third (1/3) of the fibers were dispersed consistently between the placement of water, cement, and fine aggregates.
2.4. Experimental Test
The workability test conducted was based on the ASTM C1437 standard test method for flow of hydraulic cement mortar [44], and the equipment used complied with the ASTM C 230 standard specification for flow table for use in tests of hydraulic cement [45].
Additionally, the densities for the various CRM mix designs were recorded before each destructive test. It is calculated by taking the weight of the hardened specimens and dividing it by the volume.
For the compressive tests, the ASTM C109 standard test method for compressive strength of hydraulic cement mortars [46] was referred to with a total of 162 cubes. The 50 × 50 × 50 mm-sized cubes were moist-cured for 3, 7, and 28 days and crushed at a loading rate of 0.75 kN/s.
The flexural strength test was conducted on 162 prisms following the ASTM C348 standard test method for flexural strength of hydraulic cement mortars [47]. The specimen size was 40 × 40 × 160 mm, and the loading rate was 0.5 mm/min. The specimens were cured in a water tank for 3, 7, and 28 days.
The tensile strength was assessed using the ASTM C496 standard test method for splitting tensile strength of cylindrical concrete specimens [48]. The 100 × 200 mm cylinder specimens were moist-cured for 3, 7, and 28 before being tested under a universal testing machine (UTM) at a rate of 2.35 kN/s. Photos of the experimental setup for all of the conducted tests in this research are shown in Figure 3.
Figure 3.
Test setup for experimental testing. (a) Indirect tensile strength test. (b) Flexural strength test. (c) Flowability test. (d) Compressive strength test.
3. Results and Discussion
3.1. Workability
The flowability results of fresh CRM paste with fibers are shown in Figure 4. Generally, the flowability of CRM with and without fibers decreased proportionately as the crumb rubber volume increased. It can be observed that CRM containing coconut fibers displayed the highest flowability at 10% replacement with minimal reduction in flow at 5% compared to CRM with no fibers. Farah et al. [42] reported that the improvement is due to the high volume of mineral aggregates in the CRM sample, which allows water to flow between the mineral aggregates.
Figure 4.
Flowability of CRM containing 0–1.2% fibers.
The reduction in flowability due to crumb rubber is consistent with the findings from Khatib and Bayomy [17], Güneyisi et al. [23], and Khaloo et al. [49], who highlighted the water-repellant nature of crumb particles as the significant reason. However, the addition of admixture managed to reduce the fiber-reinforced CRM decline in flowability by an average of 22%, 13%, and 45% for a 5%, 10%, and 15% crumb rubber replacement, respectively.
CRM reinforced with fibers has low flowability because of the varying water absorption capacity of the embedded fibers. Kenaf and coconut are hydrophilic fibers that absorb water [50,51] which increases the water demand of the CRM paste and reduces the overall flowability. In addition, polypropylene and polyethylene fibers are hydrophobic materials that repel water during mixing [52,53] and, when combined with CR, result in water bleeding during paste compaction. Hannant [54] also found that an increased volume fraction of fibers would significantly affect the behavior of cement paste. Thus, the hybrid fiber combinations at 1.2% volume fraction were observed to produce a considerable decrease in flowability compared to their single-fiber counterpart at 0.6%.
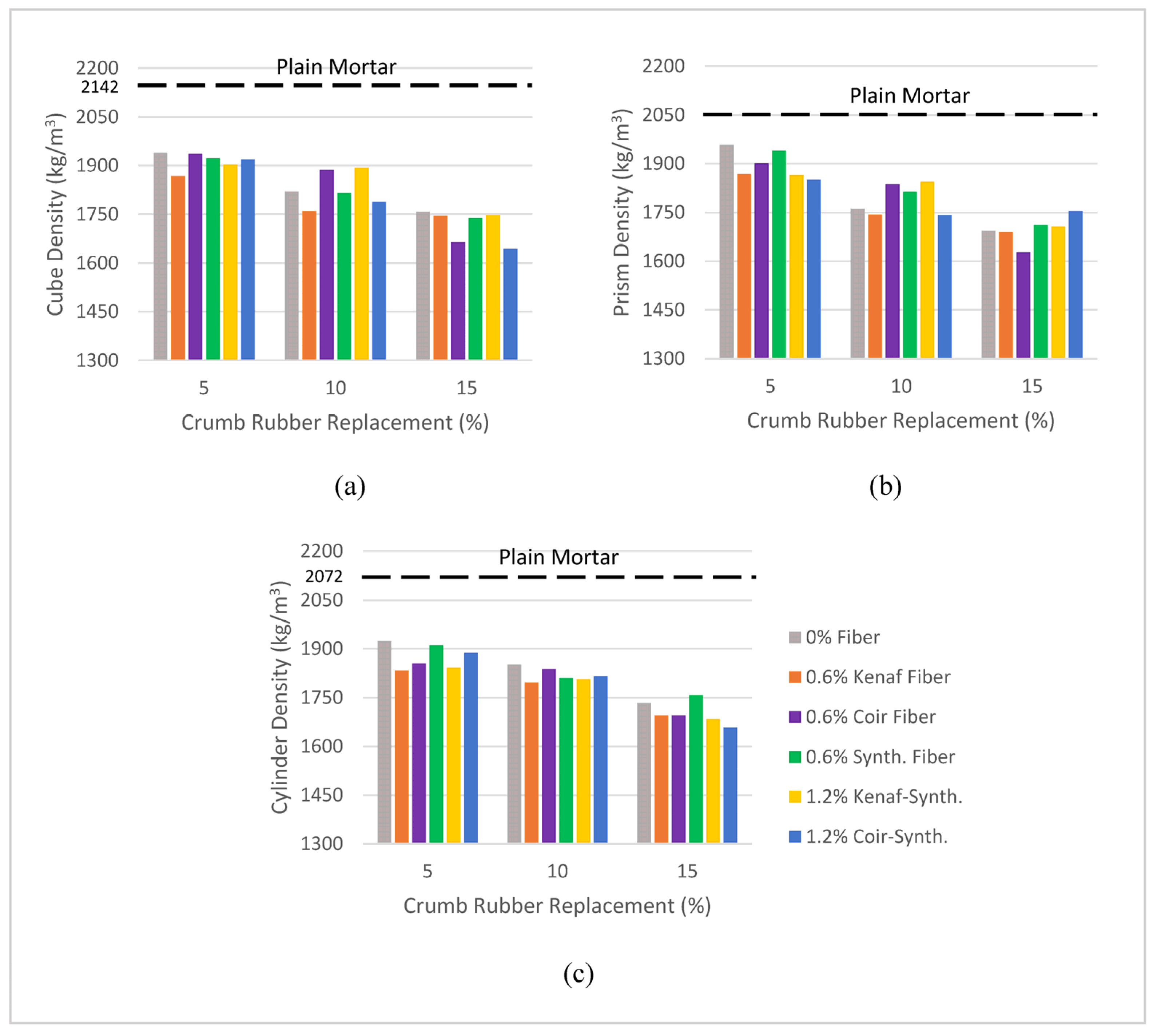
3.2. Density
Figure 5 shows the recorded densities for all of the mortar specimens in this study. It can be observed that the density of CRM is inversely proportional to the tire crumb content. Crumb rubbers have a lower density, and partially replacing sand with higher contents of crumb rubber would reduce the CRM relative density. The decline is apparent for CRM without fibers; a decrease between 11–14% to conventional plain mortar was noticed at 5%, 10%, and 15% crumb rubber replacements.
Figure 5.
The density of CRM specimens. (a) Total cube density. (b) Total prism density. (c) Total cylinder density.
Subsequently, it can be concluded that fibers in CRM do not significantly affect the hardened density of the specimens. A 4.53% difference in density was observed between CRM with and without fibers, while a 4–5% difference was observed between hybrid and single fibers at 0.6–1.2% fiber volume fraction. The negligible differences resulted from the low specific gravity of kenaf, coconut, and synthetic fibers [55,56,57]. Additionally, the difference in thickness along the length of the fibers caused differences in volumetric quantity and their ability to occupy space in the mortar matrix [42]. The differences justify the minimal variation in density for CRM with the same fiber mix design.
3.3. Compressive Strength
The reinforcement effects of fibers in compressive strength at 5–15% CR content are shown in Figure 6. For single fiber reinforcements, it can be deduced that kenaf fibers performed the worst in CRM, with a 7–37% deterioration in compressive strength for all levels of CR content. The decline is consistent with previous findings, which recorded a typical compressive strength reduction of 10–53% for kenaf-reinforced cement composites [58,59,60,61]. The compressive strength degradation in CRM can be attributed to the agglomeration of kenaf fibers which results in reduced fresh paste workability and excessive air entrapment [62].
Figure 6.
Compressive strength comparison for fiber-reinforced CRM at 3, 7, and 28 days. (a) 5% CR replacement. (b) 10% CR replacement. (c) 15% CR replacement.
Additionally, the optimal performance of synthetic fibers was recorded at 10% CR content with a slight 1–11% increase in compressive strength compared to the CR10 (no-fibers) mix design. However, loss in compressive strength and minimal strength gain was observed at 5% and 15% CR replacement. Previous findings found that polypropylene and polyethylene fibers equally reduce [63,64] and increase [65,66] the compressive strength of cement-based materials. The inability of synthetic fibers in this study to provide significant improvement is due to the low elasticity modulus of CR aggregates which results in early cracking of the CRM under loads [42]. The void created by the deformed CR would reduce the contact surface surrounding the embedded synthetic fibers, directly affecting the fiber-mortar interfacial bond.
Coconut fibers provide the best single-fiber reinforcing capabilities for CRM under compression. An improvement was observed between 19–57%, with a steep inclination in strength gain at 5–15% CR replacement. Baruah and Talukdar [67], Ali et al. [68], and Slate [69] reported similar findings in their study on mortar paste and concrete.
For hybrid fibers, the strength gain for the synthetic-coconut hybrids improved over a prolonged period resulting in a 13–50% compressive strength improvement over time. The average compressive strength of the hybrid is 8% weaker than coconut fiber but 34% better than synthetic fiber-reinforced CRM. Therefore, a zero synergistic effect can be concluded as the fiber combination did not equally improve nor deteriorate the compressive capability of both its single-fiber counterparts. Adversely, the synthetic-kenaf hybrids produced a low gain in strength at 5–10% CR replacement that only displayed a significant 11–44% improvement at 28 days of age. The hybrid, on average, performed 48% better than the kenaf fibers and 37% better than the synthetic fibers CRM. Positive fiber synergy can be deduced as the hybrid combination equally improved its single-fiber counterparts.
According to the results, the hybrid fiber combinations provided better reinforcement in compression at high levels of CR replacement compared to the single fibers.
3.4. Flexural Strength
The flexural strength of fiber-reinforced CRM is shown in Figure 7. It can be observed that the addition of fibers deteriorated the performance of CRM. For single fibers, the worst decline in flexural strength was displayed by CRM reinforced with synthetic fibers. Minimal strength gain over time, with a 12–35% decrease in flexural resistance, was observed at all levels of CR content. Similar findings were reported by Mashrei et al. [70] and Turlanbekova and Kaish [71], who concluded that adding polypropylene and polyethylene fibers higher than 0.3% volume fraction would drastically reduce the flexural strength of cement composites.
Figure 7.
Flexural strength comparison for fiber-reinforced CRM at 3, 7, and 28 days. (a) 5% CR replacement. (b) 10% CR replacement. (c) 15% CR replacement.
In addition, it was found that kenaf and coconut fibers were not able to substantially improve the flexural performance of CRM at 5–15% CR replacement. The low adhesions of CR aggregates in cement paste result in CR’s debonding with cement under flexure [72]. The weak adhesion changes the mechanics of fiber-failure to matrix cracking instead of other effective failures such as fiber bringing or pullout. Aillo and Leuzzi [73], Toutanji [74], and Farah et al. [42] discovered a similar flexural strength reduction when using CR particles as mineral aggregate replacement.
However, a slight increase in flexural strength was observed for coconut fiber CRM at 28 days for 10–15% CR content. Initially, the fibers displayed minimal gain in strength over time, but they gradually improved with increasing CR replacement. The improvements can be attributed to the rough surface of coconut fibers which improved the fiber interfacial adhesion within the CRM matrix [75,76].
In the case of hybrid fibers, only the synthetic-coconut hybrids improved the flexural strength at 28 days for 15% CR replacement. Compared to its single-fiber counterparts, the synthetic-coconut hybrids, on average, performed 19% better than the synthetic fibers but were 3% weaker than the coconut fiber CRM. A zero-fiber synergistic effect can be deduced as the net improvement neither improves nor deteriorates the flexural capability of its singly reinforced CRM counterpart. Alternatively, synthetic-kenaf hybrids resulted in a substantial loss in flexural strength with minimal strength gain over time. The hybrid combination amplified the negative traits of kenaf and synthetic fibers in CRM. It can be concluded that the hybrids resulted in a negative fiber synergistic effect in flexure because of the deterioration to CRM that is worse than its single-fiber counterparts.
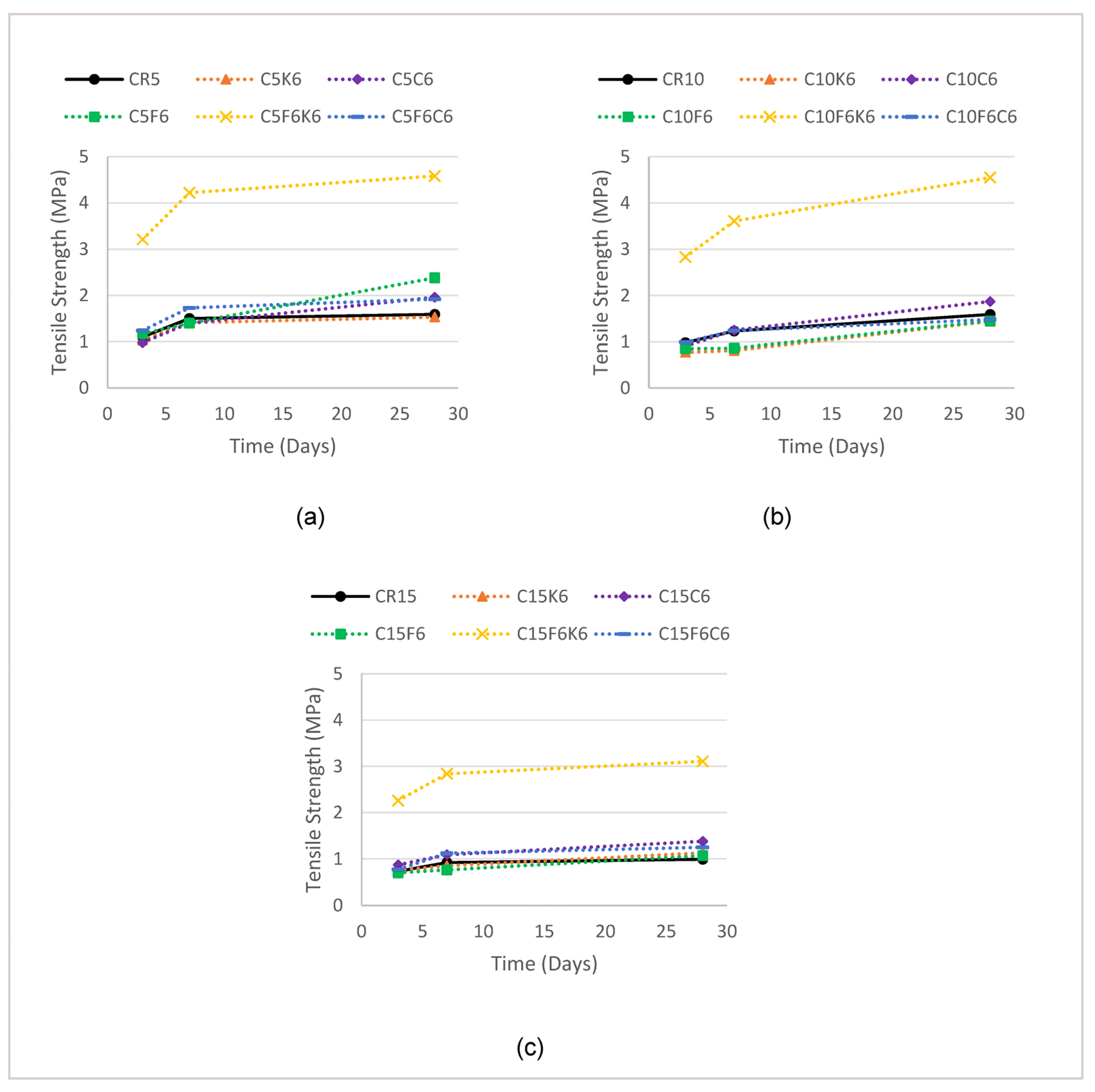
3.5. Tensile Strength
The improvements in tensile behavior for the CRM-reinforced fibers are shown in Figure 8. According to the results, it can be deduced that adding fibers increased the tensile strength of plain CRM with varying intensity. In tension, the inclusion of kenaf fibers resulted in a 3–14% increase at 15% CR replacement and an approximately 4–34% deterioration at 5–10% CR replacement. The decrease is caused by the cluttered strands of kenaf fibers that tend to ball up during mixing. The balling effect has been known to cause non-homogenous fiber dispersion in a matrix and produce cement composites with low tensile strength [77].
Figure 8.
Tensile strength comparison for fiber-reinforced CRM at 3, 7, and 28 days. (a) 5% CR replacement. (b) 10% CR replacement. (c) 15% CR replacement.
CRM reinforced with synthetic fibers produced a 6–50% tensile strength improvement at 5% CR replacement but reduced the strength by 7–30% at 10–15% CR content. Several authors have also reported a decrease in tensile strength with an increase in synthetic [66] and natural [42] fibers. Additionally, a trend can be observed for both the synthetic and kenaf fiber CRM whereby the tensile strength deteriorated at higher levels of CR content (10–15%). The decline can be correlated with using CR as a sand replacement. Previous studies have shown that CR has weaker interfacial bonds in cement composites [78]. The low matrix adhesion induces fiber slippage, which lowers the split tensile strength of fiber-reinforced CRM.
The best CRM tensile performance for a single fiber is produced by coconut fibers, with an average increase of 2–39% at all levels of CR content. The rough fiber surface and low CRM matrix adhesion allow a gradual fiber pullout failure which releases more energy and improves the CRM’s tensile strength.
For the hybrid fiber combinations, the performance of synthetic-kenaf hybrids in tension exceeded all the other fiber reinforcements in this study. A steep gain in strength was observed with a tensile strength 1.96 times superior to plain CRM at 5–15% of CR substitution. A positive fiber synergy can be concluded as the tensile strength was approximately 2.28 times better than the kenaf fibers and 2.14 times better than the synthetic fibers. Additionally, the synthetic-coconut hybrids improved the plain CRM’s tensile strength performance by 1–26%, with a more gradual gain in strength over time than the synthetic-kenaf hybrids. Positive hybridization synergy can be inferred as the average tensile strength performance for the synthetic-coconut hybrid is 2% better than its coconut fiber counterpart and 16% better than the synthetic fiber-reinforced CRM.
4. Conclusions
This research evaluates the reinforcement effect of single fibers (kenaf and synthetic, coconut) and hybrid fibers (synthetic-kenaf and synthetic-coconut) on the fresh and hardened properties of cement mortar with 10–15% CR replacement of sand as fine aggregates. Chemical admixtures were added between 0.4–3.2% to correspond with the increasing CR content and improve the fresh paste workability. Subsequently, the effects on compressive, flexural, and tensile strength were observed at 3, 7, and 28 days of curing age. For the hybrid fibers, an attempt was made to deduce the synergistic effect between the fiber combinations and classify it into negative, zero, or positive synergy. The conclusions are as follows.
- In fresh paste workability, the addition of 0.4–3.2% admixture for 5–15% CR replacement resulted in an average of 27% flowability reduction for all types of fiber reinforcements. It can be observed that increasing the volume of CR aggregates reduces the paste flowability more than adding fibers. Flowability reductions caused by fibers are minimal and only observed when the volume fraction of fibers (Vf) in the CRM is increased.
- In compression, the average performance of the coconut fiber is 27% better than the plain CRM while the addition of kenaf and synthetic fibers deteriorated the compressive strength by 17% and 13%. For the hybrid fibers, the synthetic-coconut and synthetic-kenaf combinations are 18% and 16% stronger than the plain CRM. Hence, the best single fiber reinforcement is coconut fiber, while the best reinforcement for hybrid fibers is in the order of synthetic-coconut > synthetic-kenaf.
- In flexure, the addition of single fibers weakened the plain CRM by an average of 4% (coconut), 13% (kenaf), and 22% (synthetic). The hybridization between the fibers further deteriorated the unreinforced CRM by 84% (synthetic-coconut) and 70% (synthetic-kenaf). It can be concluded that the addition of fibers did not improve the flexural strength of the cement composites containing crumb rubber aggregates.
- In tension, the average improvements delivered to the plain CRM by coconut and synthetic fiber reinforcement are 10% and 0.10%, respectively. Kenaf fibers deteriorated the tensile strength of the unreinforced CRM by 9%. For the hybrid fibers, the performance is 10% (synthetic-coconut) and 194% (synthetic-kenaf) superior to plain CRM. As a result, the most effective reinforcement for a single fiber is in the order of coconut > synthetic, while the most effective reinforcements for the hybrid fibers are synthetic-kenaf > synthetic-coconut combinations.
Author Contributions
Conceptualization: S.M.I.S.Z.; methodology: S.M.I.S.Z.; formal analysis and investigation: D.M. and Z.B.; writing—original draft preparation: D.M. and Z.B.; writing—review and editing: S.M.I.S.Z., A.N.R. and F.H.; funding acquisition: S.M.I.S.Z.; resources: S.M.I.S.Z., D.M. and Z.B.; supervision: S.M.I.S.Z. All authors have read and agreed to the published version of the manuscript.
Funding
This research was funded by Universiti Malaysia Sabah under the SPLB grant (Code: SLB2107).
Data Availability Statement
The data are not publicly available due to their proprietary nature.
Acknowledgments
The authors would like to acknowledge Innofloor Sdn gratefully. Bhd. for providing the fibers to conduct this research.
Conflicts of Interest
The authors declare no conflict of interest.
References
- Halsband, C.; Sørensen, L.; Booth, A.; Herzke, D. Car Tire Crumb Rubber: Does Leaching Produce a Toxic Chemical Cocktail in Coastal Marine Systems? Front. Environ. Sci. 2020, 8, 125. [Google Scholar] [CrossRef]
- Song, W.-J.; Qiao, W.-G.; Yang, X.-X.; Lin, D.-G.; Li, Y.-Z. Mechanical properties and constitutive equations of crumb rubber mortars. Constr. Build. Mater. 2018, 172, 660–669. [Google Scholar] [CrossRef]
- Guo, S.; Hu, J.; Dai, Q. A critical review on the performance of portland cement concrete with recycled organic components. J. Clean. Prod. 2018, 188, 92–112. [Google Scholar] [CrossRef]
- Su, H.; Yang, J.; Ling, T.-C.; Ghataora, G.S.; Dirar, S. Properties of concrete prepared with waste tyre rubber particles of uniform and varying sizes. J. Clean. Prod. 2015, 91, 288–296. [Google Scholar] [CrossRef]
- De Maeijer, P.K.; Craeye, B.; Blom, J.; Bervoets, L. Crumb Rubber in Concrete—The Barriers for Application in the Construction Industry. Infrastructures 2021, 6, 116. [Google Scholar] [CrossRef]
- Li, Y.; Zhang, S.; Wang, R.; Dang, F. Potential use of waste tire rubber as aggregate in cement concrete–A comprehensive review. Constr. Build. Mater. 2019, 225, 1183–1201. [Google Scholar] [CrossRef]
- Li, Y.; Zhang, X.; Wang, R.; Lei, Y. Performance enhancement of rubberised concrete via surface modification of rubber: A review. Constr. Build. Mater. 2019, 227, 116691. [Google Scholar] [CrossRef]
- da Silva, F.M.; Barbosa, L.A.G.; Lintz, R.C.C.; Jacintho, A.E.P. Investigation on the properties of concrete tactile paving blocks made with recycled tire rubber. Constr. Build. Mater. 2015, 91, 71–79. [Google Scholar] [CrossRef]
- Jokar, F.; Khorram, M.; Karimi, G.; Hataf, N. Experimental investigation of mechanical properties of crumbed rubber concrete containing natural zeolite. Constr. Build. Mater. 2019, 208, 651–658. [Google Scholar] [CrossRef]
- Eldin, N.N.; Senouci, A.B. Measurement and prediction of the strength of rubberized concrete. Cem. Concr. Compos. 1994, 16, 287–298. [Google Scholar] [CrossRef]
- Ismail, M.K.; Hassan, A.A.A. Impact Resistance and Mechanical Properties of Self-Consolidating Rubberized Concrete Reinforced with Steel Fibers. J. Mater. Civ. Eng. 2017, 29, 04016193. [Google Scholar] [CrossRef]
- Li, L.-J.; Xie, W.-F.; Liu, F.; Guo, Y.-C.; Deng, J. Fire performance of high-strength concrete reinforced with recycled rubber particles. Mag. Concr. Res. 2011, 63, 187–195. [Google Scholar] [CrossRef]
- Youssf, O.; Mills, J.E.; Hassanli, R. Assessment of the mechanical performance of crumb rubber concrete. Constr. Build. Mater. 2016, 125, 175–183. [Google Scholar] [CrossRef]
- Ganesan, N.; Raj, J.B.; Shashikala, A. Flexural fatigue behavior of self compacting rubberized concrete. Constr. Build. Mater. 2013, 44, 7–14. [Google Scholar] [CrossRef]
- Ismail, M.K.; Hassan, A.A. Use of metakaolin on enhancing the mechanical properties of self-consolidating concrete containing high percentages of crumb rubber. J. Clean. Prod. 2016, 125, 282–295. [Google Scholar] [CrossRef]
- Alsaif, A.; Bernal, S.A.; Guadagnini, M.; Pilakoutas, K. Freeze-thaw resistance of steel fibre reinforced rubberised concrete. Constr. Build. Mater. 2018, 195, 450–458. [Google Scholar] [CrossRef]
- Khatib, Z.K.; Bayomy, F.M. Rubberized Portland Cement Concrete. J. Mater. Civ. Eng. 1999, 11, 206–213. [Google Scholar] [CrossRef]
- Najim, K.; Hall, M. Crumb rubber aggregate coatings/pre-treatments and their effects on interfacial bonding, air entrapment and fracture toughness in self-compacting rubberised concrete (SCRC). Mater. Struct. 2013, 46, 2029–2043. [Google Scholar] [CrossRef]
- Balaha, M.M.; Badawy, A.A.M.; Hashish, M. Effect of using ground waste tire rubber as fine aggregate on the behaviour of concrete mixes. Indian J. Eng. Mater. Sci. 2007, 14, 427–435. [Google Scholar]
- Dong, Q.; Huang, B.; Shu, X. Rubber modified concrete improved by chemically active coating and silane coupling agent. Constr. Build. Mater. 2013, 48, 116–123. [Google Scholar] [CrossRef]
- Chou, L.-H.; Lin, C.-N.; Lu, C.-K.; Lee, C.-H.; Lee, M.-T. Improving rubber concrete by waste organic sulfur compounds. Waste Manag. Res. J. A Sustain. Circ. Econ. 2009, 28, 29–35. [Google Scholar] [CrossRef]
- Gesoglu, M.; Güneyisi, E. Strength development and chloride penetration in rubberized concretes with and without silica fume. Mater. Struct. 2007, 40, 953–964. [Google Scholar] [CrossRef]
- Güneyisi, E.; Gesoglu, M.; Özturan, T. Properties of rubberized concretes containing silica fume. Cem. Concr. Res. 2004, 34, 2309–2317. [Google Scholar] [CrossRef]
- Azevedo, F.; Pacheco-Torgal, F.; Jesus, C.; de Aguiar, J.B.; Camões, A. Properties and durability of HPC with tyre rubber wastes. Constr. Build. Mater. 2012, 34, 186–191. [Google Scholar] [CrossRef]
- Onuaguluchi, O.; Banthia, N. Durability performance of polymeric scrap tire fibers and its reinforced cement mortar. Mater. Struct. Constr. 2017, 50, 158. [Google Scholar] [CrossRef]
- Liew, K.M.; Akbar, A. The recent progress of recycled steel fiber reinforced concrete. Constr. Build. Mater. 2020, 232, 117232. [Google Scholar] [CrossRef]
- Khalid, F.; Irwan, J.; Ibrahim, M.W.; Othman, N.; Shahidan, S. Splitting tensile and pullout behavior of synthetic wastes as fiber-reinforced concrete. Constr. Build. Mater. 2018, 171, 54–64. [Google Scholar] [CrossRef]
- Lerch, J.; Bester, H.; Van Rooyen, A.; Combrinck, R.; de Villiers, W.; Boshoff, W. The effect of mixing on the performance of macro synthetic fibre reinforced concrete. Cem. Concr. Res. 2018, 103, 130–139. [Google Scholar] [CrossRef]
- Banthia, N.; Majdzadeh, F.; Wu, J.; Bindiganavile, V. Fiber synergy in Hybrid Fiber Reinforced Concrete (HyFRC) in flexure and direct shear. Cem. Concr. Compos. 2014, 48, 91–97. [Google Scholar] [CrossRef]
- Tonoli, G.H.D.; Savastano, H.; Santos, S.F.; Dias, C.M.R.; John, V.M.; Lahr, F.A.R. Hybrid Reinforcement of Sisal and Polypropylene Fibers in Cement-Based Composites. J. Mater. Civ. Eng. 2011, 23, 177–187. [Google Scholar] [CrossRef]
- Lawler, J.S. Hybrid Fiber-Reinforcement in Mortar and Concrete; Northwestern University: Evanston, IL, USA, 2001. [Google Scholar]
- Azevedo, A.R.; Lima, T.E.; Reis, R.H.; Oliveira, M.S.; Candido, V.S.; Monteiro, S.N. Guaruman fiber: A promising reinforcement for cement-based mortars. Case Stud. Constr. Mater. 2022, 16, e01029. [Google Scholar] [CrossRef]
- Nayak, J.R.; Bochen, J.; Gołaszewska, M. Experimental studies on the effect of natural and synthetic fibers on properties of fresh and hardened mortar. Constr. Build. Mater. 2022, 347, 128550. [Google Scholar] [CrossRef]
- ASTM C150-07; Standard Specification for Portland Cement. ASTM International: West Conshohocken, PA, USA, 2007.
- ASTM C778-02; Standard Specification for Standard Sand. ASTM International: West Conshohocken, PA, USA, 2002; Volume 96, pp. 1–2.
- ASTM C136-06; Standard Test Method for Sieve Analysis of Fine and Coarse Aggregates. ASTM International: West Conshohocken, PA, USA, 2006; pp. 3–7.
- ASTM C1602/C1602M-06; Standard Specification for Mixing Water Used in the Production of Hydraulic Cement Concrete. ASTM International: West Conshohocken, PA, USA, 2006; pp. 5–8.
- Karahan, O.; Atiş, C.D. The durability properties of polypropylene fiber reinforced fly ash concrete. Mater. Des. 2011, 32, 1044–1049. [Google Scholar] [CrossRef]
- Moradi, M.; Valipour, H.; Foster, S.; Bradford, M. Deconstructable steel–fibre reinforced concrete deck slabs with a transverse confining system. Mater. Des. 2015, 89, 1007–1019. [Google Scholar] [CrossRef]
- ASTM C494/C494M-17; Standard Specification for Chemical Admixtures for Concrete. ASTM International: West Conshohocken, PA, USA, 2017. [CrossRef]
- Li, Y.; Chai, J.; Wang, R.; Zhou, Y.; Tong, X. A Review of the Durability-Related Features of Waste Tyre Rubber as a Partial Substitute for Natural Aggregate in Concrete. Buildings 2022, 12, 1975. [Google Scholar] [CrossRef]
- Aziz, F.N.A.A.; Bida, S.M.; Nasir, N.A.M.; Jaafar, M.S. Mechanical properties of lightweight mortar modified with oil palm fruit fibre and tire crumb. Constr. Build. Mater. 2014, 73, 544–550. [Google Scholar] [CrossRef]
- ASTM C305-14; Standard Practice for Mechanical Mixing of Hydraulic Cement Pastes and Mortars. ASTM International: West Conshohocken, PA, USA, 2014; pp. 14–16. [CrossRef]
- ASTM C1437-07; Standard Test Method for Flow of Hydraulic Cement Mortar. ASTM International: West Conshohocken, PA, USA, 2007; pp. 7–8.
- ASTM C230/C230M-03; Standard Specification for Flow Table for Use in Tests of Hydraulic Cement. ASTM International: West Conshohocken, PA, USA, 2010; pp. 4–9.
- ASTM C109M-02; Standard Test Method for Compressive Strength of Hydraulic Cement Mortars. Annu. B. ASTM International: West Conshohocken, PA, USA, 2007; Volume 4, pp. 1–6.
- ASTM C348-02; Standard Test Method for Flexural Strength of Hydraulic-Cement Mortars. ASTM International: West Conshohocken, PA, USA, 2002; Volume 4, pp. 1–6.
- ASTM C496/C496M-17; Standard Test Method for Splitting Tensile Strength of Cylindrical Concrete Specimens ASTM C-496. ASTM International: West Conshohocken, PA, USA, 2017; pp. 1–5.
- Khaloo, A.R.; Dehestani, M.; Rahmatabadi, P. Mechanical properties of concrete containing a high volume of tire–rubber particles. Waste Manag. 2008, 28, 2472–2482. [Google Scholar] [CrossRef]
- Nosbi, N.; Akil, H.M.; Ishak, Z.A.M.; Bakar, A.A. Behavior of kenaf fibers after immersion in several water conditions. BioResources 2011, 6, 950–960. [Google Scholar]
- Bui, H.; Sebaibi, N.; Boutouil, M.; Levacher, D. Determination and Review of Physical and Mechanical Properties of Raw and Treated Coconut Fibers for Their Recycling in Construction Materials. Fibers 2020, 8, 37. [Google Scholar] [CrossRef]
- Yoo, D.-Y.; Oh, T.; Chun, B. Highly ductile ultra-rapid-hardening mortar containing oxidized polyethylene fibers. Constr. Build. Mater. 2021, 277, 122317. [Google Scholar] [CrossRef]
- Rostami, R.; Zarrebini, M.; Sanginabadi, K.; Mostofinejad, D.; Abtahi, S.M.; Fashandi, H. An investigation into influence of physical and chemical surface modification of macro-polypropylene fibers on properties of cementitious composites. Constr. Build. Mater. 2020, 244, 118340. [Google Scholar] [CrossRef]
- Hannant, D.J. Fibre reinforcement in the cement and concrete industry. Mater. Sci. Technol. 1995, 11, 853–862. [Google Scholar] [CrossRef]
- Sreenivas, H.; Krishnamurthy, N.; Arpitha, G. A comprehensive review on light weight kenaf fiber for automobiles. Int. J. Light. Mater. Manuf. 2020, 3, 328–337. [Google Scholar] [CrossRef]
- Lomelí-Ramírez, M.G.; Anda, R.R.; Satyanarayana, K.G.; De Muniz, G.I.B.; Iwakiri, S. Comparative Study of the Characteristics of Green and Brown Coconut Fibers for the Development of Green Composites. Bioresources 2017, 13, 1637–1660. [Google Scholar] [CrossRef]
- Koerner, R.M. Geotextiles: From Design to Applications; Woodhead: Derbyshire, UK, 2016; pp. 1–617. [Google Scholar] [CrossRef]
- Elsaid, A.; Dawood, M.; Seracino, R.; Bobko, C. Mechanical properties of kenaf fiber reinforced concrete. Constr. Build. Mater. 2011, 25, 1991–2001. [Google Scholar] [CrossRef]
- Babatunde, O.E.; Yatim, J.M.; Razavi, M.; Yunus, I.M.; Azzmi, N.M. Experimental Study of Kenaf Bio Fibrous Concrete Composites. Adv. Sci. Lett. 2018, 24, 3922–3927. [Google Scholar] [CrossRef]
- Liu, X.; Wang, H.; Fei, Z.; Dai, L.; Zhang, G.; Ai, S.; Guo, Y.; Wang, S. Effect of slightly cadmium-enriched kenaf straw on the mechanical and thermal properties of cement mortar. Eur. J. Environ. Civ. Eng. 2020, 26, 4093–4111. [Google Scholar] [CrossRef]
- Ogunbode, E.B.; Jamaludin, M.Y.; Bin Affendi, H.; Aziz, A.A.; Ishak, Y.M.; Hamid, H.A. An Evaluation of the Interfacial Bond Strength of Kenaf Fibrous Concrete and Plain Concrete Composite. Int. J. Built Environ. Sustain. 2019, 6, 1–6. [Google Scholar] [CrossRef]
- Abbas, A.-G.N.; Aziz, F.N.A.A.; Abdan, K.; Nasir, N.A.M.; Norizan, M.N. Kenaf Fibre Reinforced Cementitious Composites. Fibers 2022, 10, 3. [Google Scholar] [CrossRef]
- Ramezanianpour, A.; Esmaeili, M.; Ghahari, S.; Najafi, M. Laboratory study on the effect of polypropylene fiber on durability, and physical and mechanical characteristic of concrete for application in sleepers. Constr. Build. Mater. 2013, 44, 411–418. [Google Scholar] [CrossRef]
- Richardson, A.E. Compressive strength of concrete with polypropylene fibre additions. Struct. Surv. 2006, 24, 138–153. [Google Scholar] [CrossRef]
- Sainz-Aja, J.A.; Sanchez, M.; Gonzalez, L.; Tamayo, P.; del Angel, G.G.; Aghajanian, A.; Diego, S.; Thomas, C. Recycled Polyethylene Fibres for Structural Concrete. Appl. Sci. 2022, 12, 2867. [Google Scholar] [CrossRef]
- Nkomo, N.; Masu, L.; Nziu, P. Effects of Polyethylene Terephthalate Fibre Reinforcement on Mechanical Properties of Concrete. Adv. Mater. Sci. Eng. 2022, 2022, 4899298. [Google Scholar] [CrossRef]
- Baruah, P.; Talukdar, S. A comparative study of compressive, flexural, tensile and shear strength of concrete with fibres of different origins. Indian Concr. J. 2007, 81, 17–24. [Google Scholar]
- Ali, M.; Liu, A.; Sou, H.; Chouw, N. Mechanical and dynamic properties of coconut fibre reinforced concrete. Constr. Build. Mater. 2012, 30, 814–825. [Google Scholar] [CrossRef]
- Slate, F.O. Coconut Fibers in Concrete. Eng. J. Singap. 1976, 3, 51–54. [Google Scholar]
- Mashrei, M.A.; Sultan, A.A.; Mahdi, A.M. Effects of polypropylene fibers on compressive and flexural strength of concrete material. Int. J. Civ. Eng. Technol. 2018, 9, 2208–2217. [Google Scholar]
- Turlanbekov, A.; Kaish, A. Early Strength Properties of Concrete Incorporating Plastic Fibers Derived from Waste Plastic Bags; Springer: Singapore, 2019. [Google Scholar] [CrossRef]
- Li, Y.; Wang, M.; Li, Z. Physical and mechanical properties of Crumb Rubber Mortar(CRM)with interfacial modifiers. J. Wuhan Univ. Technol. Sci. Ed. 2010, 25, 845–848. [Google Scholar] [CrossRef]
- Aiello, M.; Leuzzi, F. Waste tyre rubberized concrete: Properties at fresh and hardened state. Waste Manag. 2010, 30, 1696–1704. [Google Scholar] [CrossRef]
- Toutanji, H. The use of rubber tire particles in concrete to replace mineral aggregates. Cem. Concr. Compos. 1996, 18, 135–139. [Google Scholar] [CrossRef]
- Pederneiras, C.M.; Veiga, R.; de Brito, J. Physical and Mechanical Performance of Coir Fiber-Reinforced Rendering Mortars. Materials 2021, 14, 823. [Google Scholar] [CrossRef] [PubMed]
- Hwang, C.-L.; Tran, V.-A.; Hong, J.-W.; Hsieh, Y.-C. Effects of short coconut fiber on the mechanical properties, plastic cracking behavior, and impact resistance of cementitious composites. Constr. Build. Mater. 2016, 127, 984–992. [Google Scholar] [CrossRef]
- Savino, V.; Lanzoni, L.; Tarantino, A.; Viviani, M. An extended model to predict the compressive, tensile and flexural strengths of HPFRCs and UHPFRCs: Definition and experimental validation. Compos. Part B Eng. 2019, 163, 681–689. [Google Scholar] [CrossRef]
- Batayneh, M.K.; Marie, I.; Asi, I. Promoting the use of crumb rubber concrete in developing countries. Waste Manag. 2007, 28, 2171–2176. [Google Scholar] [CrossRef] [PubMed]
Disclaimer/Publisher’s Note: The statements, opinions and data contained in all publications are solely those of the individual author(s) and contributor(s) and not of MDPI and/or the editor(s). MDPI and/or the editor(s) disclaim responsibility for any injury to people or property resulting from any ideas, methods, instructions or products referred to in the content. |
© 2023 by the authors. Licensee MDPI, Basel, Switzerland. This article is an open access article distributed under the terms and conditions of the Creative Commons Attribution (CC BY) license (https://creativecommons.org/licenses/by/4.0/).








