Two Different Scenarios for the Equilibration of Polycation—Anionic Solutions at Water–Vapor Interfaces
Abstract
1. Introduction
2. Materials and Methods
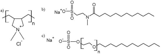
2.1. Chemicals
2.2. Preparation of Polyelectrolyte-Surfactant Solutions
2.3. Techniques
2.3.1. Turbidity Measurements
2.3.2. Binding Isotherm
2.3.3. Surface Tension Measurements
- Surface force tensiometers. Two different surface force tensiometers were used to measure the equilibrium surface tension: a surface force balance from Nima Technology (Coventry, UK), fitted with a disposable paper plate (Whatman CHR1 chromatography paper) as a contact probe; and a surface force tensiometer Krüss K10 (Hamburg, Germany), using a Pt Wilhelmy plate as a probe.
- Drop profile analysis tensiometer. A home-built drop profile analysis tensiometer in pendant drop configuration allowed determination of the surface tension of the water–vapor interface. This tensiometer enabled evaluation of the time dependence of the surface tension during the adsorption process, thus providing information related to the adsorption kinetics.
2.3.4. Dilational Rheology
3. Results and Discussion
3.1. PDADMAC-Surfactants Assembly in Solution
3.2. Equilibrium Adsorption at the Water–Vapor Interface
3.3. Adsorption Kinetics at the Water–Vapor Interface
3.4. Interfacial Dilational Rheology
4. Conclusions
Author Contributions
Funding
Acknowledgments
Conflicts of Interest
References
- Llamas, S.; Guzmán, E.; Ortega, F.; Baghdadli, N.; Cazeneuve, C.; Rubio, R.G.; Luengo, G.S. Adsorption of polyelectrolytes and polyelectrolytes-surfactant mixtures at surfaces: A physico-chemical approach to a cosmetic challenge. Adv. Colloid Interface Sci. 2015, 222, 461–487. [Google Scholar] [CrossRef] [PubMed]
- Goddard, E.D.; Ananthapadmanabhan, K.P. Application of Polymer-Surfactant Systems; Marcel Dekker, Inc.: New York, NY, USA, 1998. [Google Scholar]
- Bain, C.D.; Claesson, P.M.; Langevin, D.; Meszaros, R.; Nylander, T.; Stubenrauch, C.; Titmuss, S.; von Klitzing, R. Complexes of surfactants with oppositely charged polymers at surfaces and in bulk. Adv. Colloid Interface Sci. 2010, 155, 32–49. [Google Scholar] [CrossRef] [PubMed]
- Khan, N.; Brettmann, B. Intermolecular interactions in polyelectrolyte and surfactant complexes in solution. Polymers 2019, 11, 51. [Google Scholar] [CrossRef] [PubMed]
- Gradzielski, M.; Hoffmann, I. Polyelectrolyte-surfactant complexes (PESCs) composed of oppositely charged components. Curr. Opin. Colloid Interface Sci. 2018, 35, 124–141. [Google Scholar] [CrossRef]
- Guzmán, E.; Llamas, S.; Maestro, A.; Fernández-Peña, L.; Akanno, A.; Miller, R.; Ortega, F.; Rubio, R.G. Polymer-surfactant systems in bulk and at fluid interfaces. Adv. Colloid Interface Sci. 2016, 233, 38–64. [Google Scholar] [CrossRef] [PubMed]
- Varga, I.; Campbell, R.A. General physical description of the behavior of oppositely charged polyelectrolyte/surfactant mixtures at the air/water interface. Langmuir 2017, 33, 5915–5924. [Google Scholar] [CrossRef] [PubMed]
- Nylander, T.; Samoshina, Y.; Lindman, B. Formation of polyelectrolyte-surfactant complexes on surfaces. Adv. Colloid Interface Sci. 2006, 123–126, 105–123. [Google Scholar] [CrossRef]
- Ferreira, G.A.; Loh, W. Liquid crystalline nanoparticles formed by oppositely charged surfactant-polyelectrolyte complexes. Curr. Opin. Colloid Interface Sci. 2017, 32, 11–22. [Google Scholar] [CrossRef]
- Piculell, L.; Lindman, B. Association and segregation in aqueos polymer/polymer, polymer/surfactant, and surfactant/surfactant mixtures: Similarities and differences. Adv. Colloid Interface Sci. 1992, 41, 149–178. [Google Scholar] [CrossRef]
- Liu, J.Y.; Wang, J.G.; Li, N.; Zhao, H.; Zhou, H.J.; Sun, P.C.; Chen, T.H. Polyelectrolyte-surfactant complex as a template for the synthesis of zeolites with intracrystalline mesopores. Langmuir 2012, 28, 8600–8607. [Google Scholar] [CrossRef]
- Miyake, M. Recent progress of the characterization of oppositely charged polymer/surfactant complex in dilution deposition system. Adv. Colloid Interface Sci. 2017, 239, 146–157. [Google Scholar] [CrossRef] [PubMed]
- Szczepanowicz, K.; Bazylińska, U.; Pietkiewicz, J.; Szyk-Warszyńska, L.; Wilk, K.A.; Warszyński, P. Biocompatible long-sustained release oil-core polyelectrolyte nanocarriers: From controlling physical state and stability to biological impact. Adv.Colloid Interface Sci. 2015, 222, 678–691. [Google Scholar] [CrossRef] [PubMed]
- Picullel, L. Understanding and exploiting the phase behavior of oppositely charged polymer and surfactant in water. Langmuir 2013, 29, 10313–10329. [Google Scholar] [CrossRef] [PubMed]
- Goddard, E.D. Polymer/surfactant interaction: Interfacial aspects. J. Colloid Interface Sci. 2002, 256, 228–235. [Google Scholar] [CrossRef]
- Llamas, S.; Guzmán, E.; Akanno, A.; Fernández-Peña, L.; Ortega, F.; Campbell, R.A.; Miller, R.; Rubio, R.G. Study of the liquid/vapor interfacial properties of concentrated polyelectrolyte-surfactant mixtures using surface tensiometry and neutron reflectometry: Equilibrium, adsorption kinetics, and dilational rheology. J. Phys. Chem. C 2018, 122, 4419–4427. [Google Scholar] [CrossRef]
- Campbell, R.A.; Arteta, M.Y.; Angus-Smyth, A.; Nylander, T.; Varga, I. Effects of bulk colloidal stability on adsorption layers of poly(diallyldimethylammonium chloride)/sodium dodecyl sulfate at the air/water interface studied by neutron reflectometry. J. Phys. Chem. B 2011, 115, 15202–15213. [Google Scholar] [CrossRef] [PubMed]
- Campbell, R.A.; Arteta, M.Y.; Angus-Smyth, A.; Nylander, T.; Varga, I. Multilayers at interfaces of an oppositely charged polyelectrolyte/surfactant system resulting from the transport of bulk aggregates under gravity. J. Phys. Chem B 2012, 116, 7981–7990. [Google Scholar] [CrossRef] [PubMed]
- Campbell, R.A.; Arteta, M.Y.; Angus-Smyth, A.; Nylander, T.; Noskov, B.A.; Varga, I. Direct impact of non-equilibrium aggregates on the structure and morphology of pdadmac/SDS layers at the air/water interface. Langmuir 2014, 30, 8664–8774. [Google Scholar] [CrossRef] [PubMed]
- Mészáros, R.; Thompson, L.; Bos, M.; Varga, I.; Gilányi, T. Interaction of sodium dodecyl sulfate with polyethyleneiminie: surfactant-induced polymer solution colloid dispersion transition. Langmuir 2003, 19, 609–615. [Google Scholar] [CrossRef]
- Mezei, A.; Pojják, K.; Mészaros, R. Nonequilibrium features of the association between poly(vinylamine) and sodium dodecyl sulfate: The validity of the colloid dispersion concept. J. Phys. Chem B 2008, 112, 9693–9699. [Google Scholar] [CrossRef] [PubMed]
- Pojják, K.; Bertalanits, E.; Mészáros, R. Effect of salt on the equilibrium and nonequilibrium features of polyelectrolyte/surfactant association. Langmuir 2011, 27, 9139–9147. [Google Scholar] [CrossRef] [PubMed]
- Bodnár, K.; Fegyver, E.; Nagy, M.; Mészáros, R. Impact of polyelectrolyte chemistry on the thermodynamic stability of oppositely charged macromolecules/surfactant mixtures. Langmuir 2016, 32, 1259–1268. [Google Scholar] [CrossRef] [PubMed]
- Goddard, E.D.; Hannan, R.B. Cationic polymer/anionic surfactant interactions. J. Colloid Interface Sci. 1976, 55, 73–79. [Google Scholar] [CrossRef]
- Bergeron, V.; Langevin, D.; Asnacios, A. Thin-film forces in foam films containing anionic polyelectrolyte and charged surfactants. Langmuir 1996, 12, 1550–1556. [Google Scholar] [CrossRef]
- Bhattacharyya, A.; Monroy, F.; Langevin, D.; Argillier, J.-F. Surface rheology and foam stability of mixed surfactant-polyelectrolyte solutions. Langmuir 2000, 16, 8727–8732. [Google Scholar] [CrossRef]
- Stubenrauch, C.; Albouy, P.-A.; von Klitzing, R.; Langevin, D. Polymer/surfactant complexes at the water/air interface: A surface tension and x-ray reflectivity study. Langmuir 2000, 16, 3206–3213. [Google Scholar] [CrossRef]
- Braun, L.; Uhlig, M.; von Klitzing, R.; Campbell, R.A. Polymers and surfactants at fluid interfaces studied with specular neutron reflectometry. Adv. Colloid Interface Sci. 2017, 247, 130–148. [Google Scholar] [CrossRef]
- Lu, J.R.; Thomas, R.K.; Penfold, J. Surfactant layers at the air/water interface: Structure and composition. Adv. Colloid Interface Sci. 2000, 84, 143–304. [Google Scholar] [CrossRef]
- Narayanan, T.; Wacklin, H.; Konovalov, O.; Lund, R. Recent applications of synchrotron radiation and neutrons in the study of soft matter. Crystallography Rev. 2017, 23, 160–226. [Google Scholar] [CrossRef]
- Staples, E.; Tucker, I.; Penfold, J.; Warren, N.; Thomas, R.K.; Taylor, D.J.F. Organization of polymer−surfactant mixtures at the air−water interface: sodium dodecyl sulfate and poly(dimethyldiallylammonium chloride). Langmuir 2002, 18, 5147–5153. [Google Scholar] [CrossRef]
- Penfold, J.; Tucker, I.; Thomas, R.K.; Zhang, J. Adsorption of polyelectrolyte/surfactant mixtures at the air−solution interface:poly(ethyleneimine)/sodium dodecyl sulfate. Langmuir 2005, 21, 10061–10073. [Google Scholar] [CrossRef] [PubMed]
- Penfold, J.; Thomas, R.K.; Taylor, D.J.F. Polyelectrolyte/surfactant mixtures at the air–solution interface. Curr. Opin. Colloid Interface Sci. 2006, 11, 337–344. [Google Scholar] [CrossRef]
- Penfold, J.; Tucker, I.; Thomas, R.K.; Taylor, D.J.F.; Zhang, X.L.; Bell, C.; Breward, C.; Howell, P. The interaction between sodium alkyl sulfate surfactants and the oppositely charged polyelectrolyte, polyDMDAAC, at the air-water interface: The role of alkyl chain length and electrolyte and comparison with theoretical predictions. Langmuir 2007, 23, 3128–3136. [Google Scholar] [CrossRef] [PubMed]
- Thomas, R.K.; Penfold, J. Thermodynamics of the air-water interface of mixtures of surfactants with polyelectrolytes, oligoelectrolyte, and multivalent metal electrolytes. J. Phys. Chem B 2018, 122, 12411–12427. [Google Scholar] [CrossRef] [PubMed]
- Bell, C.G.; Breward, C.J.W.; Howell, P.D.; Penfold, J.; Thomas, R.K. A theoretical analysis of the surface tension profiles of strongly interacting polymer–surfactant systems. J. Colloid Interface Sci. 2010, 350, 486–493. [Google Scholar] [CrossRef] [PubMed]
- Bahramian, A.; Thomas, R.K.; Penfold, J. The adsorption behavior of ionic surfactants and their mixtures with nonionic polymers and with polyelectrolytes of opposite charge at the air–water interface. J. Phys. Chem. B 2014, 118, 2769–2783. [Google Scholar] [CrossRef] [PubMed]
- Campbell, R.A.; Angus-Smyth, A.; Yanez-Arteta, M.; Tonigold, K.; Nylander, T.; Varga, I. New perspective on the cliff edge peak in the surface tension of oppositely charged polyelectrolyte/surfactant mixtures. J. Phys. Chem. Lett. 2010, 1, 3021–3026. [Google Scholar] [CrossRef]
- Ábraham, A.; Campbell, R.A.; Varga, I. New method to predict the surface tension of complex synthetic and biological polyelectrolyte/surfactant mixtures. Langmuir 2013, 29, 11554–11559. [Google Scholar] [CrossRef] [PubMed]
- Angus-Smyth, A.; Bain, C.D.; Varga, I.; Campbell, R.A. Effects of bulk aggregation on PEI–SDS monolayers at the dynamic air–liquid interface: Depletion due to precipitation versus enrichment by a convection/spreading mechanism. Soft Matter 2013, 9, 6103–6117. [Google Scholar] [CrossRef]
- Campbell, R.A.; Tummino, A.; Noskov, B.A.; Varga, I. Polyelectrolyte/surfactant films spread from neutral aggregates. Soft Matter 2016, 12, 5304–5312. [Google Scholar] [CrossRef] [PubMed]
- Noskov, B.A.; Loglio, G.; Miller, R. Dilational surface visco-elasticity of polyelectrolyte/surfactant solutions: Formation of heterogeneous adsorption layers. Adv. Colloid Interface Sci. 2011, 168, 179–197. [Google Scholar] [CrossRef] [PubMed]
- Lyadinskaya, V.V.; Bykov, A.G.; Campbell, R.A.; Varga, I.; Lin, S.Y.; Loglio, G.; Miller, R.; Noskov, B.A. Dynamic surface elasticity of mixed poly(diallyldimethylammoniumchloride)/sodium dodecyl sulfate/NaCl solutions. Colloids Surf. A 2014, 460, 3–10. [Google Scholar] [CrossRef]
- Monteux, C.; Fuller, G.G.; Bergeron, V. Shear and dilational surface rheology of oppositely charged polyelectrolyte/surfactant microgels adsorbed at the air-water interface. Influence on foam stability. J. Phys. Chem. B 2004, 108, 16473–16482. [Google Scholar] [CrossRef]
- Noskov, B.A.; Grigoriev, D.O.; Lin, S.Y.; Loglio, G.; Miller, R. Dynamic surface properties of polyelectrolyte/surfactant adsorption films at the air/water interface: Poly(diallyldimethylammonium chloride) and sodium dodecylsulfate. Langmuir 2007, 23, 9641–9651. [Google Scholar] [CrossRef] [PubMed]
- Noskov, B.A. Dilational surface rheology of polymer and polymer/surfactant solutions. Curr. Opin. Colloids Interface Sci. 2010, 15, 229–236. [Google Scholar] [CrossRef]
- Fauser, H.; von Klitzing, R.; Campbell, R.A. Surface adsorption of oppositely charged C14TAB-PAMPS mixtures at the air/water interface and the impact on foam film stability. J. Phys. Chem. B 2015, 119, 348–358. [Google Scholar] [CrossRef]
- Fuller, G.G.; Vermant, J. Complex fluid-fluid interfaces: Rheology and structure. Annu. Rev. Chem. Biomol. Eng. 2012, 3, 519–543. [Google Scholar] [CrossRef]
- Regismond, S.T.A.; Winnik, F.M.; Goddard, E.D. Surface viscoelasticity in mixed polycation anionic surfactant systems studied by a simple test. Colloids Surf. A 1996, 119, 221–228. [Google Scholar] [CrossRef]
- Llamas, S.; Fernández-Peña, L.; Akanno, A.; Guzmán, E.; Ortega, V.; Ortega, F.; Csaky, A.G.; Campbell, R.A.; Rubio, R.G. Towards understanding the behavior of polyelectrolyte—Surfactant mixtures at the water/vapor interface closer to technologically-relevant conditions. Phys. Chem. Chem. Phys. 2018, 20, 1395–1407. [Google Scholar] [CrossRef]
- Llamas, S.; Guzmán, E.; Baghdadli, N.; Ortega, F.; Cazeneuve, C.; Rubio, R.G.; Luengo, G.S. Adsorption of poly(diallyldimethylammonium chloride)-sodium methyl-cocoyl-taurate complexes onto solid surfaces. Colloids Surf. A 2016, 505, 150–157. [Google Scholar] [CrossRef]
- Mendoza, A.J.; Guzmán, E.; Martínez-Pedrero, F.; Ritacco, H.; Rubio, R.G.; Ortega, F.; Starov, V.M.; Miller, R. Particle laden fluid interfaces: Dynamics and interfacial rheology. Adv.Colloid Interface Sci. 2014, 206, 303–319. [Google Scholar] [CrossRef] [PubMed]
- Goddard, E.D.; Gruber, J.V. Principles of Polymer Science and Technology in Cosmetics and Personal Care; Marcel Dekker, Inc.: Basel, Switzerland, 1999. [Google Scholar]
- Mezei, A.; Mezaros, R. Novel method for the estimation of the binding isotherms of ionic surfactants on oppositely charged polyelectrolytes. Langmuir 2006, 22, 7148–7151. [Google Scholar] [CrossRef] [PubMed]
- Naderi, A.; Claesson, P.M.; Bergström, M.; Dedinaite, A. Trapped non-equilibrium states in aqueous solutions of oppositely charged polyelectrolytes and surfactants: Effects of mixing protocol and salt concentration. Colloids Surf. A 2005, 253, 83–93. [Google Scholar] [CrossRef]
- Akanno, A. Bulk and Surface Properties of Polyelectrolyte Surfactant Mixtures; Universidad Complutense de Madrid: Madrid, Spain, 2018. [Google Scholar]
- Mezei, A.; Mészáros, R.; Varga, I.; Gilanyi, T. Effect of mixing on the formation of complexes of hyperbranched cationic polyelectrolytes and anionic surfactants. Langmuir 2007, 23, 4237–4247. [Google Scholar] [CrossRef] [PubMed]
- Noskov, B.A.; Bilibin, A.Y.; Lezov, A.V.; Loglio, G.; Filippov, S.K.; Zorin, I.M.; Miller, R. Dynamic surface elasticity of polyelectrolyte solutions. Colloids Surf. A 2007, 298, 115–122. [Google Scholar] [CrossRef]
- Tummino, A.; Toscano, J.; Sebastiani, F.; Noskov, B.A.; Varga, I.; Campbell, R.A. Effects of aggregate charge and subphase ionic strength on the properties of spread polyelectrolyte/surfactant films at the air/water interface under static and dynamic conditions. Langmuir 2018, 34, 2312–2323. [Google Scholar] [CrossRef]
- Llamas, S. Estudio de Interfases de Interés en Cosmética; Universidad Complutense de Madrid: Madrid, Spain, 2014. [Google Scholar]
- Erickson, J.S.; Sundaram, S.; Stebe, K.J. Evidence that the induction time in the surface pressure evolution of lysozyme solutions is caused by a surface phase transition. Langmuir 2000, 16, 5072–5078. [Google Scholar] [CrossRef]
- Schramm, L.L. Emulsions, Foams, Suspensions, and Aerosols; Wiley-VCH Verlag GmbH & Co.: Weinheim, Germany, 2014. [Google Scholar]
- Langevin, D. Aqueous foams: A field of investigation at the frontier between chemistry and physics. ChemPhysChem 2008, 9, 510–522. [Google Scholar] [CrossRef]
- Liggieri, L.; Santini, E.; Guzmán, E.; Maestro, A.; Ravera, F. Wide-frequency dilational rheology investigation of mixed silica nanoparticle—CTAB interfacial layers. Soft Matter 2011, 7, 6699–7709. [Google Scholar] [CrossRef]
- Ravera, F.; Ferrari, M.; Santini, E.; Liggieri, L. Influence of surface processes on the dilational visco-elasticity of surfactant solutions. Adv. Colloid Interface Sci. 2005, 117, 75–100. [Google Scholar] [CrossRef]







© 2019 by the authors. Licensee MDPI, Basel, Switzerland. This article is an open access article distributed under the terms and conditions of the Creative Commons Attribution (CC BY) license (http://creativecommons.org/licenses/by/4.0/).
Share and Cite
Guzmán, E.; Fernández-Peña, L.; Akanno, A.; Llamas, S.; Ortega, F.; G. Rubio, R. Two Different Scenarios for the Equilibration of Polycation—Anionic Solutions at Water–Vapor Interfaces. Coatings 2019, 9, 438. https://doi.org/10.3390/coatings9070438
Guzmán E, Fernández-Peña L, Akanno A, Llamas S, Ortega F, G. Rubio R. Two Different Scenarios for the Equilibration of Polycation—Anionic Solutions at Water–Vapor Interfaces. Coatings. 2019; 9(7):438. https://doi.org/10.3390/coatings9070438
Chicago/Turabian StyleGuzmán, Eduardo, Laura Fernández-Peña, Andrew Akanno, Sara Llamas, Francisco Ortega, and Ramón G. Rubio. 2019. "Two Different Scenarios for the Equilibration of Polycation—Anionic Solutions at Water–Vapor Interfaces" Coatings 9, no. 7: 438. https://doi.org/10.3390/coatings9070438
APA StyleGuzmán, E., Fernández-Peña, L., Akanno, A., Llamas, S., Ortega, F., & G. Rubio, R. (2019). Two Different Scenarios for the Equilibration of Polycation—Anionic Solutions at Water–Vapor Interfaces. Coatings, 9(7), 438. https://doi.org/10.3390/coatings9070438

