Abstract
Conventional plastic materials accumulation has led to a constant search to develop friendly packaging, edible coatings from biopolymers are an example. Since different proteins have different behavior and plastizicer compatibility, in this work, the effect of different polyalcohols (glycerol, sorbitol, maltitol, mannitol, and xylitol) as plasticizers on squid protein films behavior was studied. The results show that except for mannitol, transparent, and flexible films can be obtained. None of them showed transmission to light on the ultraviolet (UV) spectrum. However, only glycerol and sorbitol were sufficiently flexible to evaluate their mechanical properties, in which glycerol had a more elastic behavior with an elongation at a break of 920% and tensile strength (TS) of 0.94 MPa, while sorbitol exhibited a more plastic behavior with an elongation at break of 511% and a TS of 4.41 MPa. Water-vapor transmission rate was higher in glycerol, with 194.41 g·m−2d−1, while sorbitol had 44.27 g·m−2d−1 but presented blooming. This could be due to low interaction between sorbitol and the protein matrix, correlating with the film-solubility results. Amide I band of the Fourier transform infrared (FT-IR) spectra demonstrated higher denaturation and loss of alpha helical structure in glycerol film, followed by maltitol/sorbitol, xylitol, mannitol, and the control film. This in accordance with thermogravimetric analysis (TGA) results. The results of this study prove that only glycerol and sorbitol are suitable to obtain a see-through flexible film.
1. Introduction
An increasing concern in the last years due to the excessive waste caused by synthetic packaging materials, resulting in a major environmental problem, has led to researchers to develop environmentally friendly packaging based on biopolymers. Research activity in biodegradable films has been especially intense over the past 10 years. Edible films can be applied directly on the product surface to prevent moisture losses, gas aromas, and solute movements out of the food; even, selectively control the exchange of gases like oxygen, carbon dioxide, and ethylene, involved in food product respiration [1]. Biopolymers derived from polysaccharides, proteins, and lipids are widely used, among which proteins are the most popular due to their mechanical and gas-barrier properties, as well as to their abundance [2]. Moreover, the great variety of functional groups that proteins contain renders it possible to alter them (enzymatically, chemically, or physically) to obtain tailored materials (such as films) for specific needs [3]. Recently, proteins from the waste seafood industry have been taking importance, due to the necessity of both diminish the amount of residues and give a more integral uses to the fishery resources.
Many fisheries generate a lot of waste, varying from 50% to 75% of the total production [4]. With a global marine production of 79.3 million t, the waste from the seafood industry can be estimated in at least 39.6 million t [5]. An inappropriate cold chain of seafood products in underdeveloped countries like Mexico, can worsen this values. One of the most important fisheries in Mexico is the jumbo squid; therefore, it is important to propose how to manage the generated waste. For this, several options can be possible; however, the use of myofibrillar proteins to made films have been considered recently [6,7].
Myofibrillar proteins can be employed for film formation if the forming solution is adjusted to a higher or lower pH than that of the isoelectric point, to obtain complete solubilization [8]. However, in order to provide biopolymers with workability, plasticizer agents are needed, with the primary role of improving flexibility. In terms of biopolymer films, their addition leads to a decrease of intermolecular forces along polymer chains, and can help improve handling and integrity, avoiding pores and cracks in the polymeric matrix [9]. Nevertheless, adverse effects such as a decrease in cohesion, which affects mainly mechanical properties, are also a possibility. Thus, a better workability of films based on biopolymers will depend on an equilibrium between the cross-linking degree of the polymer matrix and the addition of plasticizers. Therefore, different plasticizers will result in different film properties and behavior [10].
Polyols are usually used, with glycerol the most polyol studied and incorporated into hydrocolloid films [11], which may be related to its molecular weight, since it is associated with its efficacy: the smaller the molecule, the greater the plasticization effect upon the polymer matrix. Nonetheless, small molecules diffuse to the film surface, especially during extended storage, resulting in film brittleness. Moreover, due to hydroxyl groups, the hydrophilicity of the plasticized films could be incremented [12].
It must be noted that the use of a biopolymer film for a certain purpose will depend on several features including cost, availability, functional attributes, mechanical properties (strength and flexibility), optical quality (gloss and opacity), barrier requisites (water vapor, O2 and CO2 permeability), structure resistance to water, and sensorial acceptance, among others. The aforementioned features will also be affected by the plasticizer used.
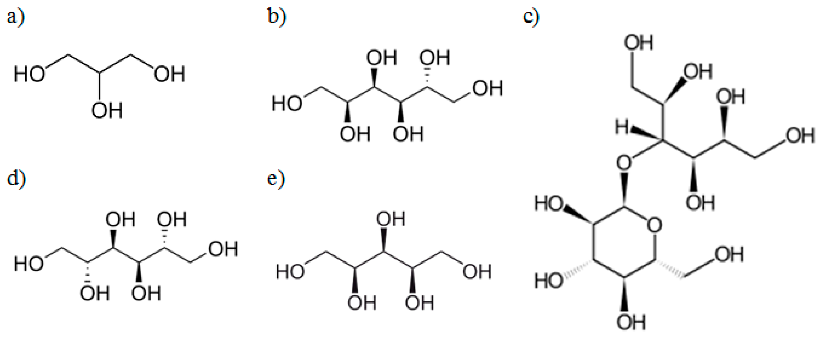
Even though squid protein films have previously been elaborated/synthesized, only glycerol was used as plasticizer agent [6,7]. Therefore, it is necessary to establish the effect on film behavior and how properties are affected when different plasticizers are used. In this work, the effect of glycerol, sorbitol, maltitol, D-mannitol, and xylitol (Figure 1) on the optical and mechanical properties of jumbo-squid protein film were studied. The purpose was to observe changes in the films’ behavior and to determine the most appropriate according to the material’s final application.
Figure 1.
Chemical structure of the plasticizers used: glycerol (a); sorbitol (b); maltitol (c); mannitol (d) and xylitol (e).
2. Materials and Methods
2.1. Raw Material
Frozen (−20 °C) jumbo squid (Dosidicus gigas) was commercially obtained at a local fish market (Álvarez Fish Market, Hermosillo, Sonora, Mexico). The mantles were placed in plastic bags and stored at the Laboratory of Conservation and Processing of Marine Products, University of Sonora, Mexico, and were stored at −20 °C until their utilization.
2.2. Muscle Protein Extraction
An acid protein concentrate was obtained following Cortes-Ruiz et al. [13] methodology. First, the muscle was homogenized in a ratio of 1:5 (mantle:water) with cold distilled water by employing a tissue homogenizer. Then, pH was adjusted at 3 (HCl 3M) and the solution left for 30 min/4 °C under stirring. The homogenate mantle was then centrifuged at 15,000× g for 20 min at 4 °C using a refrigerated centrifuge (Sorvall stratos, Biofugue, Thermo Fisher Scientific, Waltham, MA, USA). The soluble fraction was collected, and pH adjusted to 5.5 (NaOH 10 M). The solution was centrifuged again, the supernatant discarded, and the precipitate (protein concentrate) collected.
2.3. Film Elaboration
Film-forming solutions (15% protein concentrate w/w) were prepared as described by Blanco-Pascual et al. [6] with minor modifications. The pH of the solution was adjusted to 3 ± 0.05 with 3 M HCl before it was stirred gently during 12 h at 5 °C. Plasticizer was added as follows: glycerol 40%, sorbitol 30%, maltitol 20%, mannitol 20%, and xylitol 20%. A film without plasticizer was made as a control; however, due to its brittle nature, only the attenuated total reflectance (ATR-FTIR, Perkin Elmer, Model Spectrum GX, Washington DC, USA) test could be performed. The plasticizer percentage, and plasticizer-protein ratios were established according to the literature reported, as well as, the preliminary trials. The ratios that produced the more flexible, and transparent films were selected. Aliquots were then cast into plates and left for 23 h at 5 °C and 85% relative humidity (RH) prior to drying (to ensure all samples have the same humidity) in an oven at 50 °C/23 h. All films were left in a glass chamber at 25 °C/2 days prior to analysis. Film thickness was measured using a micrometer (Quick mini micrometer Mitutoyo 700-118-20, Kawasaki, Japan); the average of five measurements was taken as the thickness value.
2.4. Light Transmittance and Transparency
Films were cut into strips (4 cm × 1 cm) and placed on the inside wall of a plastic cuvette (1 cm). The ultraviolet (UV) and the visible light barrier of the films were measured at between 200 and 800 nm. Transparency was calculated by the following Equation:
where A600 is absorbance at 600 nm and x is the film thickness (mm) [14].
2.5. Tensile Strength and Elongation Percentage
Tensile strength and percentage of elongation at break were evaluated using a texture analyzer TA-XTplus (Food Technology Corp., Sterling, WV, USA) with a load cell of 5 kg based on the ASTM D-882-91 standard method (1996) [15]. Films were cut into strips (2.5 cm × 8.5 cm) and conditioned in a glass chamber at 25 °C/2 d/65% RH. The glass chamber conditions were selected during the preliminary stages of this work in order to diminish the brittle nature of the films. Before testing, strip thickness was measured at 5 points (in the film area). Force and distance were recorded during the extension at 2 mm/s up to the breaking point. Tensile strength and percentage of elongation were calculated as follows:
where TS is the tensile strength (MPa), Fm is the maximal force (N), A is the area of film cross-section (thickness × width: m2), E is the elongation (%), do is the distance onset of separation (cm), and dr is the distance of rupture (cm).
TS = Fm/A
E = (dr/do) × 100
2.6. Water Solubility
Water solubility was determined using film circumferences of 4 cm in diameter, which were placed in containers with 50 mL distilled water at 25 °C/24 h. The solution was filtered through filter paper (Whatman #1), and the remaining undissolved film was desiccated at 100 °C/24 h. The weight of solubilized dry matter was calculated by subtracting the weight of the insolubilized dry matter from the initial weight of the dry matter and expressed as a percentage of the total weight [6,16].
2.7. Water Vapor Transmission Rate (WVTR)
WVTR was measured following standard test methods for the water-vapor transmission of materials (ASTM E96/E96M-05 [17]). The films were sealed onto circular test cups containing anhydrous calcium chloride (0% RH). Then, they were placed in a glass chamber at 45% RH and maintained at 25 °C. Weight changes were recorded daily for 10 days. WVTR was calculated with the following equation:
where Δm/ΔtA is weight gain per unit-of-time (g·m−2d−1), and A is the area of the exposed film surface (m2). Five replicates were tested for each sample.
2.8. Thermogravimetric Analysis (TGA)
The thermal stability of the films was measured in a thermogravimetric analyzer (Pyris 1 TGA, Shelton, CT, USA). The analyses were performed with an initial weight of 8 mg. Samples were set in aluminum pans and evaluated in a temperature ranging of 25–800 °C under an N2 atmosphere. Weight loss as a function of temperature (TG) and the differential of the TG curves (DTG) were analyzed [18].
2.9. Fourier Transform Infrared Spectroscopy (FT-IR)
Possible interactions of functional groups due to different plasticizer interactions were analyzed by means of total attenuated reflectance mode. All spectra were recorded within the range between 4000 and 600 cm−1, with a 4-cm−1 resolution [19].
2.10. Statistical Analysis
All of the experiments were run at least in triplicate. Data were subjected to analysis of variance (ANOVA), and mean comparisons were carried out by Tukey test, using software JMP ver. 8 for Windows (SAS Institute, Inc., Cary, NC, USA). The statistically significant difference was defined as p < 0.05. Data were presented as mean ± standard deviation.
3. Results and Discussion
3.1. Films Obtained
Five films were obtained and were referred as Gly, Sor, Man, Mal, and Xyl according to the plasticizer utilized. As shown in Figure 2, all films were similar (transparent and flexible) except for mannitol. A control film (without plasticizer) was also obtained; however, it was too brittle; therefore, only FT-IR analysis was carried out on the control film. Film thickness was controlled by the amount of film forming solution placed, ranging from 0.17 to 0.22 mm.
Figure 2.
Protein films of jumbo squid (Dosidicus gigas), control (squid protein only) (a); glycerol (b); sorbitol (c); mannitol (d); maltitol (e) and xylitol (f).
3.2. Fourier Transform Infrared Spectroscopy (FT-IR)
Infrared spectroscopy is a valuable tool for the investigation of protein structure, molecular mechanism of protein reactions, as well as folding and unfolding [20]. In this case, it allows a better understanding of the films characterization. The spectra of the films are presented in Figure 3. The control film presents bands corresponding to amide A (~3300 cm−1, N–H stretching) related to free water and OH signals as reported by Blanco-Pascual et al. [7], amide I (~1600 cm−1, C=O stretching), amide II (~1500 cm−1, out-of-phase combination of N–H bending and C–N stretching), and amide III (~1200 cm−1, in phase combination of N–H bending and C–N stretching), as reported by Arfat et al. [16] were observed in all of the films. For plasticizers alone, expected spectra for alcohols were obtained, with major signals corresponding to the O-H bond at ~3000–3500 cm−1, and the C–O bond at 1000–1100 cm−1 [8].
Figure 3.
FT-IR spectra of the protein films of jumbo squid (Dosidicus gigas), control (only protein) and with the addition of different plasticizers.
Amide A band, related to water in the film, appeared less defined (less round and spikier) in control and Man films, which could be related to lack of plasticizer in the control and the incapability to absorb water from the environment of mannitol. Amide-I band form refers to the presence of alpha helix (band with a little shoulder, and a position between 1648 and 1657 cm−1), or beta sheet (large splitting of the band, and positions between 1623–1641 and 1674–1695 cm−1) [20]. Generally, higher wave numbers (amide I) refer to a higher denaturation degree and the loss of alpha helical structure [6]. In this regard, Gly showed the highest loss of helical structure, followed by Mal/Sor, Xyl, Man, and last, the control film. This behavior could be attributed to a better protein-plasticizer interaction, since all are alcohols and bind by hydrogen bonds, which are the main stabilizing forces in secondary structures, especially alpha helix.
Regarding film vs. plasticizer patterns (data not shown), the band related to plasticizer film interactions due to C–O bonds situated around at ~1000 cm−1 was found in all of the films; however, it was not found in the control film, which was expected [8,16]. An increase in width in the ~3200 cm−1 band suggested protein-plasticizer interaction. The exception to this behavior was the Sor film, in which a weaker protein-plasticizer interaction was assumed, as seen below in the solubility test results, and also due to plasticizer blooming on the film surface during the WVTR evaluation. Finally, it must be noted that the amide III band (NH stretching vibration) was not present in plasticized films, while it was present in the control film. This latter behavior was reported by Limpan et al. [8] in myofibrillar films, in which the addition of the plasticizer caused the disappearance of the band, suggesting a major change in the protein-matrix arrangement.
3.3. Thermogravimetric Analysis (TGA)
Different polymers decompose over different ranges of temperature, releasing some volatiles and leaving some residues. Thermogravimetric analysis is a useful technique for recording weight loss or weight retained of a test sample, which may then be used to stablish the thermal stability of the material. The thermal stability curves are depicted in Figure 4. Two weight loss stages were observed for all samples. The first was observed immediately after the temperature increase, ending at ~100 °C and associated with water elimination from the sample [18]. The second weight loss, which occurred between 200 and 300 °C, was due to sample degradation (except for the glycerol, which started at ~150 °C), namely, progressive deamination, decarboxylation, and depolymerization arising from the breaking of polypeptide bonds [21]. This range is to be expected for myofibrillar proteins according to Rocha et al. [22].
Figure 4.
(a) TGA thermograms (TG) and (b) temperature derivative (DTG) thermograms of the protein films of jumbo squid (Dosidicus gigas) with different plasticizers.
Temperature derivative curves were obtained to clearly appreciate the film-degradation temperature. Gly film had the lowest value, while the control film had the highest, which was presumable due to the lack of plasticizer, thus a higher degree of protein-protein interactions. Man was also expected to show a high temperature and was followed by Sor. This is in accordance with the behavior later observed in solubility and mechanical tests, where Gly demonstrated higher interaction with the protein matrix in comparison with the other plasticizers, observed on the strong films obtained with Sor. The results are also in accordance with the temperature stability of the plasticizers alone, as reported in the literature [23] with Gly as most thermolabile and mannitol, the least, with Xyl, Sor, and Mal in-between. Thus, the thermal stability of plasticizer and the interaction of protein-plasticizer determines the film-degradation temperature, which will decide its future application.
3.4. Light Transmittance and Transparency
Film transparency is an important feature of packaging materials. A polymer film with a light transmission rate higher to 90% (600 nm) is transparent to the eye [24] The chemical structure as well as the molecular weight of the material are related to the color and transparency of a polymer, which are a consequence of its morphology. For a food-coating or packaging application, these characteristics are very important in that high clarity is often desirable. Light transmittance as well as transparency are presented in Table 1. In all of these cases, the films demonstrated low transmission to light in the UV spectrum, rendering them suitable for preventing food-component oxidation. This behavior was assumed to be related to the presence of aromatic amino acids. Contrariwise, synthetic materials such as PVC films [2] usually have elevated values ranging from 12.06 at 200 nm, to 91.85 at 800 nm, higher than those obtained in this work.
Table 1.
Light transmittance and the transparency of protein films from jumbo squid (Dosidicus gigas) with different plasticizers.
Similar behavior was obtained for transparency: squid protein films presented values lower than 1 (except Man), meaning that they are more transparent than films such as PVC that have a value of 3.95, since higher value means lower transparency of the film. On the other hand, when compared with other protein films, those with sorbitol as plasticizer were similar to those reported by Blanco-Pascual et al. [7], who found a value of 0.6 when glycerol was used as plasticizer. This could be attributed to these authors mixing sorbitol and glycerol (in equal proportions at 0.4 g/1 g of total protein concentrate), while we employed them separately. On the other hand, Arfat et al. [16] obtained transparency values of ~3.6 for films made of yellow stripe fish with glycerol as plasticizer, similar to tilapia films with ~3.3 [25], which means their films were less transparent than those obtained in the present study. This may be related to the whiteness of squid muscle, while yellow stripe and tilapia are reddish in color.
According to the results, D-mannitol is not a viable option for the elaboration of a see-through film. This is likely due to its non-hygroscopic nature; it does not attract moisture (little formation of hydrogen bonds, as seen previously on FT-IR) from the air until it exceeds 90% RH, which explains the appearance of the films: dehydrated, and with the formation of something resembling filaments. The remaining four plasticizer agents do not exhibit any drawback to this point; thus, the rest of the tests were performed without utilizing mannitol.
3.5. Film Solubility in Water
Since the film could protect food from water, film solubility comprises an important property. In addition, certain types of applications may require films to be soluble, so in order to choose and appropriate application, evaluation of this value must be considered. As shown in Figure 5, only Gly demonstrated a significant difference (p < 0.05) in solubility. Sor and Xyl films showed a blooming effect and high solubility values. This could be due to lower protein-plasticizer interaction, perhaps related with the similar orientation of OH groups in their structure (mainly toward one side of the molecule, unbalanced), which could impede them from forming a structured network with the protein.
Figure 5.
Water solubility of protein films from jumbo squid (Dosidicus gigas) with different plasticizers. The values are the means of three determinations ± the standard deviation. Different letters show significant differences (p < 0.05).
A slightly higher solubility value was observed in the Xyl film. To discard protein solubility as a possible cause, protein content in the filtered water (data not shown) was measured and revealed no significant differences with Sor and Mal; therefore, it was assumed that the plasticizer was migrating out of the film. This could be related to a higher protein-protein interaction resulting in less interaction with the plasticizer. Thus, its migration may be related with Xyl film behavior, it was the only one to become brittle across time, even when flexible at the beginning.
Similar results have been reported in studies conducted with proteins of marine origin. In this respect, Blanco-Pascual et al. [6], working with myofibrillar protein from jumbo squid (Dosidicus gigas), obtained a solubility of ~42%, lower in comparison to the results of this research. However, these authors worked with a mixture of glycerol/sorbitol. In a research with muscle protein from yellow stripe (Selaroides leptolepis) and glycerol as plasticizer, a solubility of ~36% was found [16], while in whitemouth-croaker (Mocropogonias furnieri) films, also with glycerol, a value of ~26% was reported [26]. These differences may be due to the different species from which protein was extracted, but the type and percentage of plasticizer added must also be accounted for, since it will significantly influence the results (as seen in this work).
3.6. Mechanical Properties
The chemical structure of the film is directly related to its mechanical properties, which are of importance since they reflect the durability and ability of the material to be used, said as a wrapping or coating. Usually TS, elongation at break, and Young’s modulus are measured. Supposedly, elongation values could determine the film application; however, high TS is always required [27]. The use of xylitol and maltitol as plasticizer resulted in the formation of brittle films that yielded no results during the tests; thus, only Gly and Sor films were analyzed (Figure 6). The data show that Gly films were more elastic, while Sor films were stronger, in agreement with Young’s-modulus values (data not shown), which were higher for Sor (stiffer than gly). These results agree with those reported by Blanco-Pascual et al. [7] for an acidic protein film from jumbo squid with glycerol as plasticizer, which had TS values of 0.9 MPa. Similarly, Arfat et al. [16], working with yellow-stripe muscle to obtain protein films, reported values of 10.2 and 7.97 MPa for 30% and 50% of glycerol, respectively. On the other hand, Zavareze et al. [26] found a TS of 5.76 MPa for protein films from whitemouth croaker, a similar result to that obtained in the present investigation using sorbitol as plasticizer; nevertheless, those authors reported 102.6 as elongation-at-break percentage, which is fairly lower than our results. Something similar occurs with materials such as hydroxy propyl methyl cellulose (HPMC), for which Mahadevaiah and Singh [27] reported TS values of 10.01 MPa. However, squid protein films have higher elongation than HPMC films, which barely reached 38%.
Figure 6.
(a) Tensile strength and (b) elongation at break of protein films from jumbo squid (Dosidicus gigas) with glycerol and sorbitol as plasticizers. The values are the means of 12 determinations ± the standard deviation. Different letters show significant differences (p < 0.05).
The films produced in the present work showed more elastic behavior for Gly and more plastic for Sor, which is somehow in accordance with the solubility results. In addition, as shown below by the WVTR test, blooming was present in Sor films, suggesting its migration to the surface. This could be attributed to higher protein-protein interaction for Sor films, with migration out of the matrix, resulting in a stronger film with plastic characteristics.
3.7. Water-Vapor Transmission Rate (WVTR)
One of the most important functions of a packaging is to act as a barrier that separates and protects the product from exposure to the environment. Water can enhance the rate of reactions as browning, lipid oxidation and enzyme activity, even the rate of micro-organism growth and cause texture changes. Thus, controlling water permeability is of great importance in the development of edible films and in the selection of their future uses [28] Protein films are associated with high water-vapor permeability, caused by the high content of hydrophilic groups in their structure, as well as significant amounts of hydrophilic plasticizers [8,29]. WVTR refers to the rate of water vapor permeating through the film. The results (Figure 7) reveal that Sor films were less permeable than Gly films; however, at the end of the experiment, blooming of the plasticizer could be observed on the film surface, while Gly films did not exhibit this effect. This, as mentioned above, could be due to the low interaction between sorbitol and the protein matrix, which correlates with the film solubility results, and could be explained by observing the plasticizers structures (Figure 1). Glycerol is a small molecule (3C) with three OH groups oriented in the same direction, which makes diffusion between protein chains easier. Contrariwise, sorbitol is bigger (6C) and has its OH groups oriented in different directions (mostly to one side), which is why it may be more difficult for it to diffuse, leading to a tighter protein structure, consequently rendering the Sor film less permeable.
Figure 7.
Water-vapor transmission rate of protein films from jumbo squid (Dosidicus gigas) with glycerol and sorbitol as plasticizers. The values are the means of five determinations ± the standard deviation. Different letters show significant differences (p < 0.05).
Other studies on biopolymer films have reported similar values to those obtained in this work. Potato- peel waste films with glycerol as plasticizer have reported values of 113.36 g·m−2d−1 (at RH 57%) [30]. In another work, commercial polylactide acid films (PLA), as well as those coated with sodium alginate-chitosan, were used (also with glycerol), obtaining values of 53 and 106 g·m−2d−1, respectively (at RH 75%) [31]. Protein and polysaccharide films contain hydrophilic groups, thus higher WVTR is to be expected in comparison to commercial films such as PLA. However, when compared with other protein films, the values differ considerably. Schmid [32] reported a WVTR of 450 g·m−2d−1 (at RH 50%) for a whey protein- isolate film. This behavior could be related either to different test conditions, different protein sources or to the type and quantity of the plasticizer, which was glycerol at 66%. Nonetheless, in this research, when sorbitol was used as plasticizer, the value decreased considerably. The results suggest that, when low WVTR are required, sorbitol could be employed as instead of glycerol; and, even though the values are still far from the level required for dry food (0.136 g·m−2d−1), they are comparable to polyamide films (40 g·m−2d−1 at RH 75%), commonly used in food packaging [33].
4. Conclusions
In this work, the capacity of jumbo squid protein to form flexible films with different polyols as plasticizer agents has been proven. However, glycerol and sorbitol were more adequate plasticizers than maltitol, xylitol, and mannitol, which were discarded as the experiment progressed. The protein-plasticizer interaction in the films added with sorbitol and xylitol were weaker compared to the remainder of the plasticizers. This behavior was confirmed by the migration of the plasticizers to the surface of the film during the solubility test and a connection with the OH-group orientation on their structure structureould be hypothesized, however this cannot be proven with the analysis done in this work. On the other hand, mannitol did not show compatibility with the protein, resulting in a film with dry and filamentous appearance. Therefore, only glycerol and sorbitol are suitable to obtain a see through flexible film of myofibrillar protein from jumbo squid.
Author Contributions
Investigation, C.M.-M.; Resources, H.S.-V., B.R.-W., H.S.-O., I.S.-S. and G.O.-R.; Writing—Review and Editing, H.S.-V., R.P.-A., W.T.-A. and F.R.-F.; Supervision, E.M.-R.; Writing—Original Draft Preparation, C.M.-M.
Funding
This research was funded by CONACyT for the support given for this research (No. 222150).
Conflicts of Interest
The authors declare no conflict of interest.
References
- Murrieta-Martínez, C.L.; Soto-Valdez, H.; Pacheco-Aguilar, R.; Torres-Arreola, W.; Rodríguez-Felix, F.; Márquez-Ríos, E. Edible protain films: Sources and behavior. Packag. Technol. Sci. 2017, 31, 113–122. [Google Scholar] [CrossRef]
- Kaewprachu, P.; Osako, K.; Benjakul, S.; Rawdkuen, S. Effect of protein concentrations on the properties of fish myofibrilar protein based film compared with PVC film. J. Food Sci. Technol. 2016, 53, 2083–2091. [Google Scholar] [CrossRef] [PubMed]
- Gómez-Estaca, J.; Gavara, R.; Catalá, R.; Hernández-Muñoz, P. The potential of proteins for producing food packaging materials: A review. Packag. Technol. Sci. 2016, 29, 203–224. [Google Scholar] [CrossRef]
- Mekpiroon, A.; Lerdrattranataywere, W.; Jutidamrongphan, W. Prespective of waste utilization in seafood industry. Int. J. Manag. Appl. Sci. 2016, 2, 96–99. [Google Scholar]
- FAO. FAO Global Capture Production Database Updated to 2016. Available online: http://www.fao.org/3/I9540ES/i9540es.pdf (accessed on 7 December 2018).
- Blanco-Pascual, N.; Fernández-Martín, F.; Montero, M.P. Effect of diferent protein extracts from Dosidicus gigas muscle co-products on edible films development. Food Hydrocoll. 2013, 33, 118–131. [Google Scholar] [CrossRef]
- Blanco-Pascual, N.; Fernández-Martín, F.; Montero, M.P. Jumbo squid (Dosidicus gigas) myofibrillar protein concentrate for edible packaging films and storage stability. LWT Food Sci. Technol. 2014, 55, 543–550. [Google Scholar] [CrossRef]
- Limpan, N.; Prodpran, T.; Benjakul, S.; Prasarpran, S. Properties of biodegradable blend films based on fish myofibrillar protein and polyvinyl alcohol as influenced by blend composition and pH level. J. Food Eng. 2010, 100, 85–92. [Google Scholar] [CrossRef]
- Adeodato-Vieira, M.G.; Altenhofen da Silva, M.; Oliveira dos Santos, L.; Beppu, M.M. Natural-based plasticizers and biopolymer films: A review. Eur. Polym. J. 2011, 47, 254–263. [Google Scholar] [CrossRef]
- Silva, M.A.; Bierhalz, A.C.K.; Kieckbusch, T.G. Alginate and pectin composite films crosslinked with Ca2+ ions: Effect of the plasticizer concentration. Carbohydr. Polym. 2009, 77, 736–742. [Google Scholar] [CrossRef]
- Jouki, M.; Khazaei, N.; Ghasemlou, M.; HadiNezhad, M. Effect of glycerol concentration on edible film production from cress seed carbohydrate gum. Carbohydr. Polym. 2013, 96, 39–46. [Google Scholar] [CrossRef]
- Tong, Q.; Xiao, Q.; Lim, L.-T. Effects of glycerol, sorbitol, xylitol and fructose plasticisers on mechanical and moisture barrier properties of pullulan-alginate-carboxymethylcellulose blend films. Int. J. Food Sci. Technol. 2013, 48, 870–878. [Google Scholar] [CrossRef]
- Cortés-Ruiz, J.A.; Pacheco-Aguilar, R.; Lugo-Sánchez, M.E.; Carvallo-Ruiz, M.G.; García-Sánchez, G. Production and functional evaluation of a protein concentrate from giant squid (Dosidicus gigas) by acid dissolution and isoelectric precipitation. Food Chem. 2008, 110, 486–492. [Google Scholar] [CrossRef] [PubMed]
- Shiku, Y.; Hamaguchi, P.Y.; Tanaka, M. Effect of pH on the preparation of edible films based on fish myofibrillar proteins. Fish. Sci. 2003, 69, 1026–1032. [Google Scholar] [CrossRef]
- D882-91 Standard Test Method for Tensile Properties of Thin Plastic Sheeting; ASTM International: West Conshohocken, PA, USA, 1996.
- Arfat, Y.A.; Benjakul, S.; Prodpran, T.; Osako, K. Development and characterisaton of blend films based on fish skin. Food Hydrocoll. 2014, 39, 58–67. [Google Scholar] [CrossRef]
- E96/E96M-05 Standard Test Methods for Water Vapor Transmission of Materials; ASTM International: West Conshohocken, PA, USA, 2005.
- Nascimento, T.A.; Calado, V.; Carvalho, C.W.P. Development and characterization of flexible film based on starch and passion fruit mesocarp flour with nanoparticles. Food Res. Int. 2012, 49, 588–595. [Google Scholar] [CrossRef]
- Sockalingam, K.; Abdullah, H.Z. Extraction and characterization of gelatin biopolymer from black tilapia (Oreochromis mossambicus) scales. AIP Conf. Proc. 2015, 1, 020053. [Google Scholar]
- Barth, A. Infrared spectroscopy of proteins. Biochim. Biophys. Acta 2007, 1767, 1073–1101. [Google Scholar] [CrossRef]
- Dandurand, J.; Samouillan, V.; Lacoste-Ferré, M.H.; Lacabanne, C.; Bochicchio, B.; Pepe, A. Conformational and termal characterization of a synthetic peptidic fragment inspired from human tropoelastin: Signature of the amyloid fibers. Pathol. Biol. 2014, 62, 100–107. [Google Scholar] [CrossRef]
- Rocha, M.; Cardozo, M.A.; Raffi, J.E.; El Halal, S.L.M.; Souza, M.M.; Prentice, C. Functional, thermal, and physicochemical properties of proteins from Argentine croaker (Umbrina canosai) recovered by solubilization/precipitation or a washing process. Int. Food Res. J. 2017, 24, 579. [Google Scholar]
- Spectral Database for Organic Compounds, SDBS. Available online: http://sdbs.db.aist.go.jp/sdbs/cgi-bin/direct_frame_top.cgi (accessed on 7 December 2018).
- Schimid, M.; Sängerlaub, S.; Wege, L.; Stäbler, A. Properties of transglutaminase crosslinked whey protein isolate coatings and cast films. Packag. Technol. Sci. 2014, 27, 799–817. [Google Scholar] [CrossRef]
- Oujifard, A.; Benjakul, S.; Prodpran, T.; Seyfabadi, J. Properties of red tilapia (Oreochromis niloticus) protein based film as affected by cryoprotectants. Food Hydrocoll. 2013, 32, 245–251. [Google Scholar] [CrossRef]
- Zavareze, E.D.A.; El Halal, E.L.M.; Marques e Silva, R.; Días, A.R.G.; Prentice, C.H. Mechanical, barrier and morphological properties of biodegradable films based on muscle and waste proteins from the whitemouth croaker (Micropogonias furnieri). J. Food Process. Preserv. 2014, 38, 1973–1981. [Google Scholar] [CrossRef]
- Mahadevaiah; Shivakumara, L.R.; Demappa, T.; Singh, V. Mechanical and barrier properties of hydroxy propyl methyl cellulose edible polymer films with plasticizer combinations. J. Food Process. Preserv. 2016, 41, e13020. [Google Scholar] [CrossRef]
- Pascall, M.A.; Lin, S.J. The application of edible polymeric films and coatings in the food industry. J. Food Process. Technol. 2013, 4, e116. [Google Scholar] [CrossRef]
- Hamaguchi, P.Y.; Yin, W.W.; Tanaka, M. Effect of pH on the formation of edible film made from the muscle proteins of blue marlin (Makaira mazara). Food Chem. 2007, 100, 914–920. [Google Scholar] [CrossRef]
- Othman, S.H.; Edwal, S.A.M.; Risyon, N.P.; Basha, R.K.; Talib, R.A. Water sorption and water permeability properties of edible film made from potato peel waste. Food Sci. Technol. 2017, 37, 63–70. [Google Scholar] [CrossRef]
- Hirvikorpi, T.; Vähä-Nissi, M.; Harlin, A.; Salomäki, M.; Areva, S.; Korhonen, J.T.; Karppinen, M. Enhanced water vapor barrier properties for biopolymer films by polyelectrolyte multilayer and atomic layer deposited Al2O3 double-coating. Appl. Surf. Sci. 2011, 257, 9451–9454. [Google Scholar] [CrossRef]
- Schmid, M. Properties of cast films made from different ratios od whey protein isolate, hydrolysed whey protein isolate and glycerol. Materials 2013, 6, 3254–3269. [Google Scholar] [CrossRef]
- Graciano-Verdugo, A.Z.; Peralta, E.; Soto-Valdez, H. Permeabilidad y vida útil de los alimentos. AlimenPack 2006, 2, 15–19. [Google Scholar]
© 2019 by the authors. Licensee MDPI, Basel, Switzerland. This article is an open access article distributed under the terms and conditions of the Creative Commons Attribution (CC BY) license (http://creativecommons.org/licenses/by/4.0/).






