Highlights
What are the main findings?
- A machining deformation prediction model for thin-walled aluminum components was established by integrating spindle power, vibration signals, and structural flexibility features derived from Kirchhoff–Love plate theory.
- The proposed model achieved stable prediction accuracy across different machining conditions, with low RMSE and high R2 values, demonstrating strong agreement between predicted and measured deformation.
- Spindle power was verified as an effective energy-related indicator that is strongly correlated with machining-induced deformation.
What are the implications of the main findings?
- The proposed framework provides a physically informed and data-driven approach for predicting machining deformation of thin-walled components by utilizing readily available process signals and structural information.
- The fast convergence and low computational cost indicate its potential for online deformation prediction and decision support in practical CNC milling applications.
- The modeling strategy offers a transferable reference for deformation prediction in other weak-stiffness structures under complex machining conditions.
Abstract
Thin-walled components used in aerospace manufacturing are highly susceptible to machining-induced deformation due to their low structural stiffness and dynamic cutting instability. Although signal-based modeling approaches have been reported for machining process monitoring and performance evaluation, deformation prediction of thin-walled structures requires explicit consideration of structural flexibility. To address this challenge, a deformation error prediction framework integrating multi-source dynamic machining signals with static structural flexibility characteristics is proposed, enabling simultaneous representation of process dynamics and structural response. Kernel principal component analysis (KPCA) is employed to reduce the feature dimensionality, and the extracted low-dimensional features are subsequently used as inputs for a kernel-based support vector regression (KSVR) model to establish the prediction framework. The proposed method was validated through 25 milling experiments conducted on Al7075-T6 thin-walled workpieces, where deformation error was measured at predefined monitoring points under varying process conditions. The results indicate that the proposed model achieves high predictive accuracy for machining-induced deformation, with RMSE values below 13 μm and R2 exceeding 0.89 on both validation and testing datasets, demonstrating strong agreement between predicted and experimental results. In addition, machining vibration amplitude exhibits a consistent correlation with deformation error, confirming that increased energy input and cutting instability significantly exacerbate thin-walled workpiece deformation.
1. Introduction
Thin-walled aluminum components are widely used in aerospace and related industries due to their high strength-to-weight ratio and excellent corrosion resistance; however, their limited structural stiffness makes them highly susceptible to machining-induced deformation and dimensional accuracy challenges in milling processes, which has been the focus of recent deformation prediction studies in the literature [1,2]. Consequently, the rapid and accurate prediction of machining-induced deformation error in thin-walled components remains a critical scientific and engineering challenge. In this context, machining accuracy is quantitatively evaluated through the deformation error measured at predefined locations.
The machining deformation error of thin-walled components is influenced by the coupled effects of multiple factors, including cutting forces, thermal effects, residual stresses, and fixturing strategies [3]. Considerable efforts have been devoted to investigating this problem through various approaches. In terms of mechanistic perspective, Chen et al. [4] developed an analytical model incorporating initial residual stress and stress redistribution effects, and proposed a time-varying second moment of area formulation for deformation error prediction in components with different cross-sectional geometries. The validity of the model was verified through experiments and numerical simulations, and the influence of machining parameters on deformation and surface roughness was further discussed. Wang et al. [5] proposed an analytical model for predicting machining-induced deformation in frame-type components, investigated the measurement of initial residual stress distributions, and analyzed the effects of neutral layer shift and residual stress on deformation behavior. Zhu et al. [6] examined the influence of initial residual stress on dimensional stability and developed an analytical model based on the principle of virtual work to predict the excessive deformation of prestressed bodies under external loading, achieving a prediction accuracy approximately 10% higher than that of conventional models. Although analytical models exhibit potential advantages for industrial applications due to their high computational efficiency, the complexity involved in model construction cannot be ignored. At present, most extended analytical models are developed based on bending moment theory [7] and the strain energy density release principle [5].
From the perspective of finite element simulation, several studies have focused on improving deformation error prediction accuracy for thin-walled components. Zhang et al. [8] proposed a non-uniform allowance planning method for thin-walled parts, in which the finite element method was employed to add material following a reverse material removal sequence, calculate cutting force thresholds, and update workpiece stiffness iteratively, thereby effectively reducing deformation error and improving machining accuracy. Ge et al. [9] developed a fast deformation calculation method based on stiffness matrix reduction and established a prediction model for cutting force–induced errors, reducing the prediction time of each cutting step from tens of seconds in conventional finite element analysis to tens of milliseconds, and achieving a machining error reduction of more than 53.6%. Yao et al. [10] investigated the post-machining deformation of titanium alloy fan blades using ABAQUS, in which residual stress effects were considered and experimental measurement data were incorporated to construct the finite element model, thereby validating the feasibility of finite element analysis for predicting blade deformation.
Dynamic machining signals, such as spindle power and energy-related information, have been demonstrated to contain rich process-related characteristics and have been widely utilized in machining process modeling and optimization [11]. Building upon these signal-based modeling efforts, data-driven approaches have in recent years been increasingly extended to the prediction of machining deformation in thin-walled components, aiming to overcome the modeling difficulties and computational inefficiency associated with traditional mechanistic models and finite element methods under complex machining conditions. Chen et al. [12] proposed a data-driven framework that integrates physical models with machine learning to achieve real-time prediction of bottom thickness errors during pocket milling of aerospace thin-walled parts. Although the prediction accuracy was improved to a certain extent, the feature construction of this approach remains dependent on specific machining configurations, and its generalization capability requires further validation. Sun et al. [13] developed an engineering knowledge-based sparse Bayesian learning method for fast and accurate prediction of machining errors in aerospace thin-walled components, which was experimentally validated, but the utilization of multi-source dynamic signals was still relatively limited. Zhao et al. [14] proposed an online deformation prediction method based on deep learning, in which a fourth-order tensor was constructed to represent continuous workpiece geometry, machining information, and monitoring data, and combined conventional neural networks with recurrent neural networks to predict workpiece deformation. However, such deep learning models generally exhibit a strong dependence on the scale and quality of training data.
To further enhance prediction performance under complex machining scenarios, several studies have incorporated physical constraints or hybrid modeling strategies. Huang et al. [15] proposed a prediction method for multi-pass machining accuracy of thin-walled components by comprehensively considering dynamic factors such as cutting forces and stiffness, and quantitatively analyzed error propagation and accumulation effects using a GA-BP neural network. Yu et al. [16] developed a transfer learning-based surface error prediction model for thin-walled milling processes, in which physical constraints and data information were integrated to enable real-time prediction using a combination of limited online data and abundant historical data. Zhao et al. [17] proposed a physics-informed latent variable model to characterize internal residual stress states and achieve accurate deformation error prediction through data fusion and physical prior knowledge. Ni et al. [18] developed a mechanics-informed neural network by integrating thin shell theory and Fourier series to model and predict machining deformation of ring-shaped components, achieving accurate and stable prediction with a limited amount of training data. Wang et al. [19] proposed a deep transfer learning-based dimensional accuracy prediction model for frame-type components, which enabled high-precision real-time prediction using cutting power signals through clustering and feature reconstruction techniques. Bai et al. [20] developed a hybrid deep learning model that integrates cutting parameters and cutting force data to effectively predict the dimensional accuracy of thin-walled structures during precision milling.
In the study of thin-walled milling processes, physical models can theoretically establish correlations between machining parameters and product quality; however, they struggle to fully identify and characterize the complex behavior of machine tool systems. Finite element analysis, although capable of high prediction accuracy, is limited by considerable computational cost and poor real-time applicability. Consequently, data-driven approaches based on machining process information have gradually attracted increasing attention. Previous studies have demonstrated that dynamic process signals can be effectively utilized to predict deformation-related phenomena in thin-walled components. For example, Wang et al. [21] proposed an online prediction method for machining-induced residual stress fields based on deep learning, revealing a strong correlation between process dynamics and deformation mechanisms. Nevertheless, residual stress prediction focuses primarily on stress evolution rather than the resulting geometric deformation error. In practice, geometric deformation error arises from the coupled effect of dynamic machining loads and the inherent structural flexibility of thin-walled components. Therefore, an integrated modeling framework that simultaneously considers dynamic signals and structural characteristics is required for accurate deformation error prediction.
To address these limitations, a deformation error prediction method based on multi-source dynamic signals is proposed. Spindle power and vibration signals are jointly utilized to characterize machining dynamics, and a unified feature extraction framework incorporating time-domain, frequency-domain, and time–frequency-domain information is established. Feature fusion and dimensionality reduction are performed to enhance model generalization and robustness. Furthermore, structural flexibility features derived from Kirchhoff–Love plate theory are introduced, enabling the coupled representation of machining dynamics and inherent structural characteristics in deformation error prediction.
The main original contributions of this study are summarized as follows:
- A multi-source dynamic signal-based deformation error prediction method is proposed by integrating spindle power, vibration signals, and structural flexibility for accurate milling deformation error evaluation of thin-walled components.
- A feature modeling framework combining dynamic signal features and static structural flexibility is developed using feature extraction and kernel principal component analysis to enhance multimodal fusion and model generalization.
- A kernel-based support vector regression model is established by mapping dynamic energy features and structural mechanical characteristics into a nonlinear space for stable deformation prediction under complex milling condition.
The remainder of this paper is organized as follows. Section 2 introduces the theoretical background of deformation in thin-walled milling processes and the multi-source signal processing methods. Section 3 describes the machining experiments, signal acquisition procedures, and deformation measurement schemes. Section 4 presents and discusses the experimental results and performance of the proposed prediction model. Finally, Section 5 summarizes the main conclusions of this study and outlines directions for future research.
2. Deformation Prediction Framework for Thin-Walled Parts in Milling
2.1. Overall Methodology and Modeling Strategy
During the milling of thin-walled parts, machining deformation is jointly determined by multiple factors, including cutting loads, the dynamic behavior of the machine tool system, and the structural compliance of the workpiece. In theory, physics-based models derived from cutting mechanics and structural mechanics can reveal the intrinsic relationship between machining parameters and deformation. However, under practical machining conditions, dynamic disturbances of the machine tool system, energy dissipation paths, and process uncertainties are difficult to be fully modeled, which limits the prediction accuracy and engineering applicability of purely mechanistic models.
To overcome these limitations, it is necessary to incorporate observable dynamic information from the machining process into the physical modeling framework, thereby complementing and correcting mechanistic models through data-driven approaches. As an integrated representation of energy input to the machining system, spindle power signals can indirectly reflect variations in cutting loads, material removal states, and system energy losses. Meanwhile, vibration signals are highly sensitive to the dynamic stability of the machining process and system disturbances. By integrating such dynamic signals with static physical characteristics such as workpiece structural compliance, a more comprehensive characterization of deformation formation mechanisms in thin-walled part machining can be achieved without introducing additional complex measurement systems.
Based on these considerations, this study establishes a deformation prediction framework for thin-walled part milling that integrates multi-source dynamic signals with structural features. The overall workflow of the proposed framework is illustrated in Figure 1. The framework mainly consists of four stages: dataset construction, predictive model development, model training, and model evaluation.
Figure 1.
Flow chart of building prediction model for machining deformation. Figure 1⑥ reproduced from [22].
2.1.1. Relationship Between Spindle Power and Effective Cutting Power
The spindle power represents the total power consumption of the machine tool during machining and can be decomposed into two components: the basic power consumption and the variable power consumption, as shown in Equation (1).
Here, denotes the basic power consumption when the machine tool is powered on without cutting, while represents the motion-related power consumption, which includes the idle power consumption and the additional power consumption , as shown in Equation (2).
The cutting power refers to the power required for material removal and consists of the rotational power and the feed power , which can be expressed as Equation (3).
The rotational power is generated by the components of cutting forces in the local coordinate system, while the feed power is produced by the cutting force along the feed direction. Based on experimental measurements and cutting force models, the cutting power can be further decomposed and quantified.
The effective cutting power represents the portion of cutting power that is directly involved in the actual material removal process and can be expressed as Equation (4).
where is a proportional coefficient determined through experimental calibration. The effective cutting power directly affects the strain energy in the near-surface layer of the workpiece, thereby influencing the formation of residual stresses.
2.1.2. Correlation Between Effective Cutting Power and Machining-Induced Deformation
The surface residual stress is generated by plastic deformation and the accumulation of strain energy during the machining process. According to elastic mechanics theory, the strain energy stored in the surface layer is related to the residual stresses as Equation (5).
where is Young’s modulus, is the transverse residual stress, and is the longitudinal residual stress. Considering the proportional relationship between residual stresses in the two directions, the above expression can be simplified as Equation (6).
where is a proportional coefficient.
Previous studies have demonstrated that the effective cutting power consumed during machining can reflect the degree of plastic deformation in the material, thereby indirectly characterizing the residual stress level. Wang et al. [23] employed a Gaussian process regression (GPR) model to describe the complex nonlinear relationship between the effective cutting power and residual stress, which can be expressed as Equation (7).
The machining deformation of thin-walled components is primarily induced by residual stress. According to the theory of mechanics of materials, deformation is directly related to stress and can be expressed as Equation (8).
Therefore, a physically supported transmission chain exists among cutting power, residual stress, and machining deformation. Based on this relationship, a KSVR model is further introduced in this study, in which spindle power signals are used as input features to learn the mapping between machining power and the final deformation of thin-walled components, expressed as Equation (9).
2.2. Multi-Domain Feature Extraction from Dynamic Signals
Spindle power can comprehensively reflect key physical processes during machining, including material removal conditions, variations in cutting forces, surface energy accumulation, and the formation of residual stress [24]. Vibration signals, on the other hand, are widely used to characterize process stability and tool condition, and have demonstrated strong effectiveness in tool wear monitoring and machining condition identification [25]. Therefore, vibration signals can serve as an effective complement to spindle power signals, improving the robustness and sensitivity of deformation prediction. To comprehensively characterize the milling process state, time-domain, frequency-domain, and time–frequency-domain features are extracted separately from the spindle power and vibration signals in this study. The detailed feature extraction strategies are described as follows.
2.2.1. Time-Domain Feature
Time-domain features directly reflect the amplitude characteristics and statistical distribution of signals. In this study, a set of fundamental statistical features is extracted to characterize the temporal behavior of the spindle power signal. Assuming that the spindle power signal acquired over a given time interval is denoted as , with a total length of . The includes 8 dimensional features. The specific feature definitions and corresponding calculation formulas are summarized in Table 1.
Table 1.
Mathematical expression of .
2.2.2. Frequency-Domain Feature
By transforming the machine tool spindle power and vibration signals from the time domain into the frequency domain, frequency-domain features can be obtained. The fast Fourier transform (FFT) is employed to convert the time-domain signal into its frequency spectrum , where denotes the length of the spectrum. The power spectral density, denoted as , is derived from the Fourier transform of the signal autocorrelation function and represents the signal power distributed within a unit frequency band.
The , includes 8 dimensional features The specific feature definitions and corresponding calculation formulas are summarized in Table 2.
Table 2.
Mathematical expression of .
2.2.3. Time–Frequency Feature
During the milling of thin-walled components, spindle power and vibration signals typically exhibit pronounced non-stationary characteristics, with their statistical properties continuously evolving as machining states and cutting conditions change. Feature extraction methods based solely on the time domain or frequency domain are insufficient to simultaneously capture transient signal behaviors and spectral evolution, thereby limiting their ability to represent critical information under complex machining conditions. Consequently, time–frequency analysis methods are introduced to characterize the joint distribution of dynamic machining signals in both time and frequency domains.
In this study, variational mode decomposition (VMD) is employed for the time–frequency analysis of dynamic signals. VMD decomposes the original signal into a set of intrinsic mode components with limited bandwidth through a variational optimization framework. Each mode exhibits good compactness and separability in the frequency domain, enabling effective characterization of dynamic features at different time scales and frequency bands in complex non-stationary signals. Consequently, VMD is well suited for extracting time–frequency features from multi-source dynamic signals in the milling of thin-walled components.
However, the decomposition performance of VMD is highly sensitive to key hyperparameters, such as the number of modes and the penalty factor . To address this issue, the Beluga Whale Optimization (BWO) algorithm is introduced to adaptively optimize the critical parameters of VMD. Accordingly, a BWO-based parameter-optimized VMD approach (BWO–VMD) is developed, and its overall procedure is illustrated in Figure 2 [26].
Figure 2.
BWO-VMD flow chart.
In the BWO–VMD framework, the number of modes and the penalty factor are defined as optimization variables and searched within predefined ranges using the Beluga Whale Optimization algorithm. This adaptive optimization mechanism reduces the dependency on manual parameter tuning and enhances decomposition robustness. In this study, was set within [3, 10] and within [200, 2000]. The BWO algorithm was configured with a population size of 20 and a maximum of 50 iterations. To quantitatively evaluate the decomposition quality of VMD, the envelope entropy is adopted as the fitness function in the BWO process. Envelope entropy reflects the complexity and energy concentration characteristics of each intrinsic mode function (IMF). A lower envelope entropy indicates a more concentrated signal component and clearer physical meaning.
After obtaining the optimally decomposed modal components, energy entropy (EE) is further introduced as a time–frequency feature to quantitatively characterize the energy distribution among different modes. Energy entropy reflects the uniformity and complexity of energy distribution across modes, thereby enabling effective representation of the multi-scale evolutionary characteristics of dynamic signals during the machining process. The extracted time–frequency features are subsequently used as important inputs for feature fusion and deformation prediction. The definition of energy entropy is given in Table 2.
2.2.4. Structural Compliance Features Based on Plate Theory
Due to the spatially non-uniform distribution of structural compliance in thin-walled components, different regions exhibit significantly different deformation responses under the combined effects of residual stress release and cutting loads, thereby intensifying the non-uniformity of machining deformation. Therefore, introducing physically meaningful quantities that characterize the structural compliance of the workpiece into the deformation prediction model is essential for improving the rationality and stability of the predicted results.
Given that the characteristic in-plane dimensions of thin-walled components are much larger than their thickness, the bending deformation behavior of the workpiece is modeled in this study based on material and structural mechanics using Kirchhoff–Love plate theory. By neglecting transverse shear deformation, this theory can effectively describe the deflection response of thin plates under distributed loads, making it well suited for the thin-walled milling scenarios investigated in this work. The boundary conditions of the workpiece are illustrated in Figure 3.
Figure 3.
Workpiece boundary condition division.
According to Kirchhoff–Love plate theory, the bending stiffness of a thin plate can be expressed as Equation (10).
Here, denotes the Young’s modulus of the material, is the plate thickness, and represents Poisson’s ratio. For a rectangular thin plate with uniform thickness subjected to a distributed load , the deflection function satisfies the corresponding higher-order partial differential equation, as shown in Equation (11).
To describe the bidirectional bending behavior of the thin plate along the length and width directions, the deflection function is modeled in a separable form, allowing the deformation response of the plate structure under uniform loading to be obtained. Accordingly, the deflection function can be expressed as Equation (12).
The corresponding governing equation is transformed into Equation (13):
Under the assumption that the load q(x,y) is uniformly distributed, the equation can be further simplified as Equation (14).
The deflection response of the thin plate at different locations is calculated under a unit load , and the resulting deflection is defined as a structural compliance feature to quantify the spatial distribution of flexibility within the workpiece. Accordingly, the compliance feature at an arbitrary point of the workpiece can be expressed as Equation (15).
For a rectangular thin plate under the above assumptions, the structural compliance feature can be further expressed as a function of spatial coordinates, resulting in a compliance distribution that reflects the combined effects of workpiece geometry and material properties. Accordingly, the compliance at an arbitrary point on the workpiece can be expressed as Equation (16).
Here, and denote the coordinates along the length and width directions, respectively; represents the total length of the plate, and denotes its width.
Through the above modeling procedure, the derived compliance features allow the intrinsic structural mechanical characteristics of the workpiece to be incorporated into the prediction model in a quantitative manner without requiring additional measurements. This establishes a physically consistent static representation that facilitates subsequent fusion with dynamic signal features from the machining process.
2.3. Data Preprocessing and Feature Fusion
KPCA is a deep learning algorithm, and it is widely applied in fusion and extracting relevant information from com-plex nonlinear feature sets to reduce the redundancy among features [27]. The selection of kernel function and control parameter are crucial for the efficacy of KPCA. The common kernel functions contain poly kernel, rbf kernel and cosine kernel.
The feature matrix is presented by Equation (17). = [, , …, ] represents the feature vector. = 1, 2, …, , and i = 1, 2, …, . and denote the number of feature vector and feature, respectively. Because contains various features, and the dimensions of each featured are different, has to be preprocessed via standardization. Projecting to the high dimensional feature space, so the projected feature space is obtained and expressed by Equation (18).
represents the covariance matrix of , its eigenvalues and eigenvectors are given by Equation (19). is the weight vector.
Introducing the kernel function, the expression of kernel function matrix is given by Equation (20).
where represents the kernel function, and the common kernel functions are given by Equation (21).
Finally, the kernel principal components space (feature fusion space) can be obtained and given by Equation (22).
2.4. KSVR-Based Deformation Prediction Model
Kernel SVR (KSVR) is employed to construct the machining deformation prediction model. Based on the principle of structural risk minimization, KSVR is capable of effectively balancing model complexity and prediction accuracy under limited sample conditions. This advantage makes it particularly applicable to deal with the problem of dynamic modeling of complex nonlinear system and modeling with smaller sample, and possesses the advantages of robust and good generalization [23]. The accuracy of the trained model is reliant on the selection of parameters and kernel function.
(,) is the training sample, and is the input feature fusion space given by Equation (23). is output variable, represented by Equation (25).
where represents the feature vector; is the number of the feature vector, and denotes the number of principal components.
The purpose of KSVR is to obtain an expression that satisfies the structural risk minimization. The expression is given as Equation (26).
where is the nonlinear mapping of higher dimensional feature space of , is the weight vector, and is the bias vector.
The optimization problem is constructed by introducing relaxation factor and insensitive loss function. This loss function allows prediction errors within a certain range not to be considered, thereby enhancing the robustness of the model. Equation (26) can be transformed into the form of solving minimization problem which shown as Equation (27).
where is the regularization coefficient; is the insensitive loss function, given by Equation (28):
where is the insensitive error.
The relaxation factor and are introduced into Equation (27), then it can be transformed into Equation (29):
Then the Lagrange function can be obtained by introducing Lagrange multiplier , , and , and is given by Equation (31):
The dual problem of Equation (31) is given by Equation (32):
Equation (32) has to meet the Karush–Kuhn–Tucker conditions:
Taking the partial derivative of , , and with Equation (31) and making the partial derivative equal to zero, then the following equations can be obtained:
Finally, the solution of SVR can be calculated:
where represents the kernel function, and contains poly, rbf and sigmoid kernel, and is given by:
where is order; , and are super parameters, . This article uses the rbf (radial function). The regularization parameter was selected within the range of [1, 10], the kernel coefficient was searched within [0.1, 1], and the parameter was set to 0.1.
3. Experimental Setup and Validation Procedure
3.1. Design of the Experiment
Machining and measurement experiments were conducted on AL7075-T6 rectangular thin plates with dimensions of 200 mm × 90 mm × 5 mm. AL7075-T6 was chosen as the workpiece material because it is a typical aerospace aluminum alloy widely used in thin-walled structures and is highly sensitive to machining-induced deformation. The dimensions of 200 mm × 90 mm × 5 mm were selected to represent a typical thin-walled workpiece with sufficient deformation sensitivity under milling loads, allowing machining-induced deformation to be efficiently measured using a touch-trigger probe and providing a representative basis for validating the proposed prediction framework. The proposed framework is not limited to a specific material or dimension and can be extended to other thin-walled components through corresponding updates of material and structural parameters.
The fundamental material properties are listed in Table 3. The machining experiments were carried out on a four-axis CNC machining center (VDL-850) (Dalian Machine Tool Group Corp., Dalian, China), during which three-phase spindle power signals and vibration signals were synchronously acquired. The data acquisition system consisted of a machine tool energy consumption measurement system, a 2D002 magnetoelectric velocity sensor, and a Donghua dynamic signal analysis system. The experimental setup and related equipment are illustrated in Figure 4. The specific parameters of the cutting tools are shown in Table 4.
Table 3.
Physical and mechanical properties of aluminum alloy.
Figure 4.
Data acquisition system.
Table 4.
Detailed information about the cutting tools.
A total of 25 groups of 3 factors and 5 levels of milling experiments were designed by Minitab 22.3. The 3 factors were spindle speed n, feed rate vf and cutting depth ap, respectively. Specific cutting parameters are shown in Table 5. Machining deformation was measured using a Pioneer RP610M touch-trigger probe. A total of 30 measurement points were sampled on each workpiece, with their spatial distribution shown in Figure 5. In total, 25 experimental runs were conducted, among which 21 were used for model training and the remaining 4 were reserved for independent testing and validation. The testing and validation cases were selected with the objective of covering the cutting parameter space as broadly as possible, rather than being randomly chosen. Although the testing cases do not exhaustively cover the entire parameter space, they were intentionally distributed across different machining conditions to assess the predictive performance of the proposed model under representative scenarios. Each experimental run included 30 sets of measurement data, resulting in 750 data samples in total. The cutting processing parameters of each group of experiments are shown in Table 6 (part of the content; the rest of the details are given in Appendix A).
Table 5.
Cutting parameters of each level value.
Figure 5.
Schematic diagram of measuring points and tool path.
Table 6.
Experimental table for cutting parameters (part of the content).
The deformation error at each measurement point was defined as the deviation between the measured coordinate value and the corresponding nominal coordinate in the CAD model. Prior to machining, the workpiece was aligned and zero-referenced using the probing system to ensure consistency between the machine coordinate system and the nominal design geometry. The deformation error was calculated as:
where denotes the deformation error at the i-th measurement point.
3.2. Multi-Source Signals Dynamic Processing
Machining power consumption information and vibration signals during the cutting process were collected using a machine tool energy consumption monitoring system and vibration sensors, respectively. The acquired signals were first segmented to extract the portions corresponding to the effective cutting stage. Subsequently, signal denoising was performed. Considering the presence of low-frequency structural drift and high-frequency measurement noise, a fourth-order Butterworth band-pass filter (50–450 Hz) was applied to the raw vibration signals. The original sampling frequency was 1000 Hz, and zero-phase filtering was implemented using a forward–backward filtering scheme to avoid phase distortion. The filtered signals were then used for feature extraction.
Time-domain, frequency-domain, and time–frequency-domain features were extracted from both the spindle power signals and vibration signals. Specifically, eight features were extracted in the time domain, five features in the frequency domain, and one feature in the time–frequency domain for each signal, resulting in a total of 14 features per signal. Together with the structural flexibility feature and three cutting parameters, each data sample consisted of 31 features, which were used for model training.
Kernel principal component analysis (KPCA) was employed to fuse and reduce the dimensionality of the extracted features. A radial basis function was selected as the kernel function of KPCA. The principal components obtained after feature fusion and their cumulative contribution rates were analyzed. The contribution rates of the first ten principal components are shown in Figure 6, where the blue bars represent the contribution of each principal component and the red curve denotes the cumulative contribution rate. Principal components with a cumulative contribution rate exceeding 95% were selected as the inputs of the prediction model.
Figure 6.
Principal component contribution rate.
4. Results and Discussion
The offline training of the proposed model was conducted in MATLAB R2024a. A total of 630 observations from Experiments 1–9 and Experiments 12–23 were used as the training dataset, while the remaining experiments were reserved for testing and validation. As the iterative process proceeded, the prediction error gradually converged to a stable level, and the entire training process required approximately 1.24 s. This computational efficiency provides a solid foundation for deploying the model on machining centers for online measurement of machining-induced deformation in thin-walled components.
After model training, the prediction accuracy was evaluated using the testing dataset. The root mean square errors (RMSE) was employed as a quantitative performance metric, with its definition given in Equation (40). A comparison between the predicted and measured deformation values for the testing dataset is shown in Figure 7. Data points closer to the reference line indicate better predictive performance, while the dashed lines represent ±10% error bounds.
where is the number of samples, and and are the experimental and predicted values, respectively.
Figure 7.
Error comparison between predicted and experimental results for the test sets.
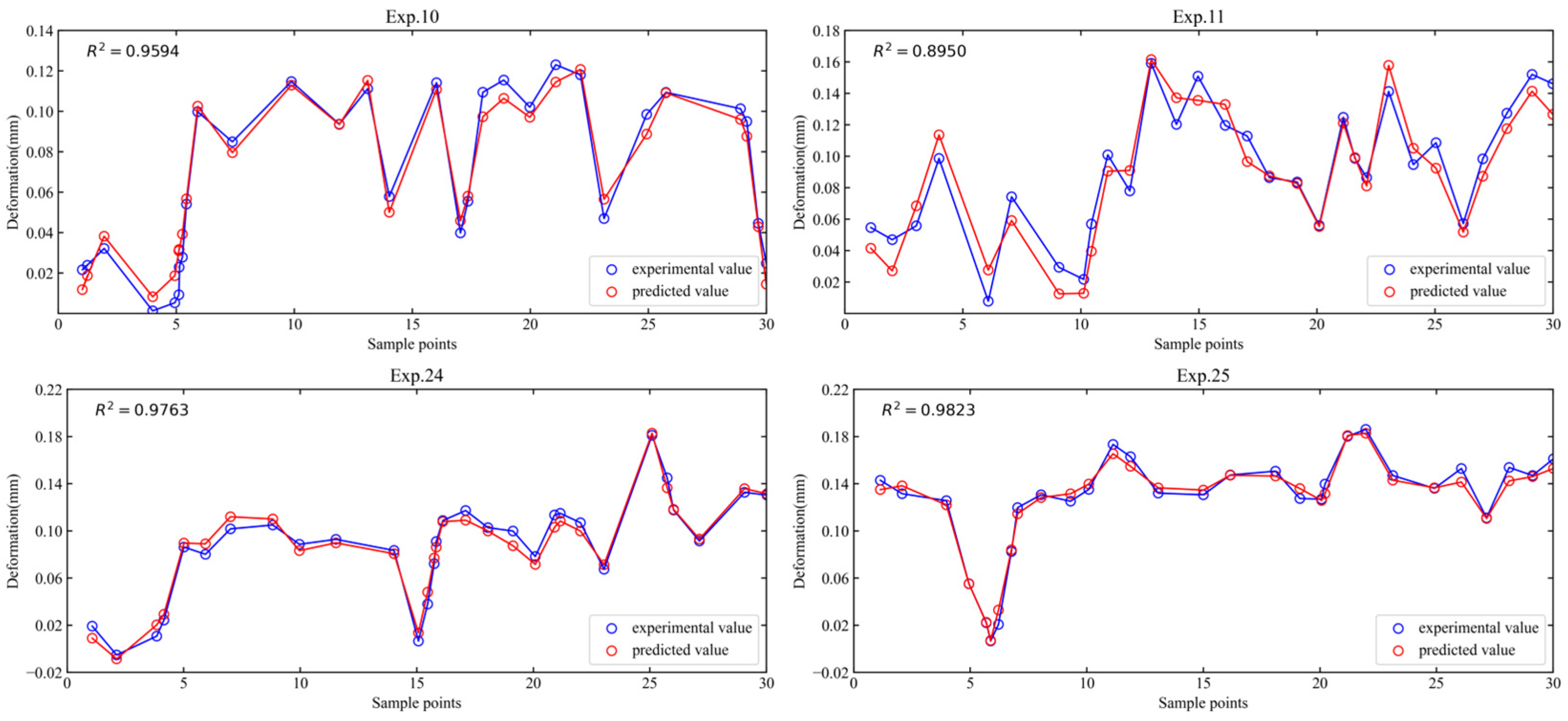
A comparison between the predicted and measured deformation values for the validation sets (Exp.10 and Exp.11) and the testing sets (Exp.24 and Exp.25) is illustrated in Figure 8. The measured deformation is represented by the blue curves, while the predicted results are shown by the orange curves. A higher degree of overlap between the two curves indicates better prediction accuracy. The RMSE are 8.079 μm, 12.802 μm, 7.530 μm, and 6.698 μm, respectively, with R2 values of 0.9594, 0.8980, 0.9763, and 0.9823. These results demonstrate a strong agreement between the predicted and experimental values, indicating that the proposed model is capable of effectively capturing the variation trend of machining-induced deformation.
Figure 8.
Comparison between predicted and experimental deformation error results.
The relationship between machining deformation error and spindle power as well as vibration amplitude is illustrated in Figure 9. It can be observed that the machining deformation error exhibits a consistent trend with spindle power, indicating that the deformation increases as the spindle power rises. This phenomenon can be attributed to two main factors.
Figure 9.
Correlation between deformation error, spindle power, and vibration.
- With the increase in energy input to the machining system, the internal energy stored in the workpiece correspondingly increases, which serves as a primary source of machining-induced residual stress. For aluminum alloy thin-walled components with a thickness of less than 2 mm, the influence of residual stress on deformation is particularly significant.
- Spindle power reflects the material removal rate to a certain extent. An increase in spindle power implies higher cutting parameters, which intensifies the dynamic loading acting on weakly rigid structures during machining and leads to more pronounced elastic recovery deformation after cutting.
Similarly, the vibration amplitude shows the same trend with machining deformation error. As the energy input and cutting parameters increase, the stability of the cutting process deteriorates, resulting in higher vibration amplitudes, which further aggravate the overall deformation error of the workpiece.
It should also be noted that variations in tool wear during machining are indirectly reflected in the evolution of spindle power and vibration signals. Since these dynamic signals are continuously incorporated into the proposed prediction framework, the model maintains adaptability to gradual changes in tool condition, without relying on fixed process parameters.
Taking Exp.15 as an example, the spatial distribution of machining deformation error in the thin-walled workpiece is analyzed, as shown in Figure 10. The deformation error distribution exhibits the following characteristics.
Figure 10.
Exp.15 Processing deformation error distribution.
- Along the x-direction of the workpiece, the deformation error near both sides is relatively small with minor fluctuations, while the deformation error gradually increases from the two sides toward the central region.
- Along the y-direction, the deformation error presents a wave-like trend, characterized by an initial increase, followed by a decrease, and then a subsequent increase.
This deformation error pattern is mainly attributed to the geometric characteristics and boundary constraints of the workpiece. The two sides are rigidly constrained by fixtures, resulting in higher local stiffness, whereas the central region exhibits relatively lower structural stiffness. Moreover, the deformation error near the edges of the central region is significantly larger than that at the center. These regions are partially unsupported during machining, where material support is limited and structural rigidity is weakest. Consequently, more pronounced elastic recovery and vibration amplification occur in these areas.
Although a flat thin plate is used as the validation case in this study, the observed stiffness-dependent deformation distribution demonstrates the fundamental role of structural flexibility in machining-induced deformation. In practical aerospace manufacturing, similar mechanisms become more prominent in thin-walled pocket milling, where cavity geometries lead to non-uniform stiffness distribution and varying boundary conditions. The integration of dynamic machining signals and structural flexibility in the proposed framework therefore provides a systematic basis for extension to such more complex thin-walled structures.
5. Conclusions and Future Work
This study focuses on the machining deformation error prediction of aluminum alloy thin-walled components during milling processes. A deformation error prediction method integrating multi-source dynamic signals and structural mechanical characteristics is proposed, and its effectiveness is validated through systematic experiments. The main conclusions are summarized as follows:
- A deformation error prediction framework integrating dynamic signals and structural flexibility was established. Spindle power signals, vibration signals, and structural flexibility features derived from Kirchhoff–Love plate theory were jointly incorporated to construct the mapping relationship between machining process characteristics and deformation of thin-walled components. The experimental results demonstrate that the proposed model maintains stable prediction performance under different machining conditions, with good agreement between predicted and measured deformation error values.
- The influence of machining energy representation on deformation error prediction accuracy was verified. Spindle power was introduced as a comprehensive indicator of machining energy to indirectly characterize material removal behavior, cutting load variations, and residual stress accumulation during milling. The experimental analysis indicates a clear correlation between spindle power and machining deformation error. Combined with the nonlinear modeling capability of machine learning, incorporating spindle power effectively improves prediction accuracy and model robustness.
- Fast prediction performance suitable for online application was achieved. The proposed prediction model exhibits rapid convergence and low computational cost in the MATLAB environment. The short prediction time provides a foundation for potential online deformation error prediction and decision support in practical CNC machining of thin-walled components.
Future work will focus on two main aspects. First, additional physically meaningful constraints related to cutting mechanics and material removal mechanisms will be incorporated to further enhance model generalization capability while reducing model complexity. Second, the proposed method will be extended to thin-walled aerospace components with more complex geometries and boundary conditions, aiming to establish a more universal deformation error prediction framework applicable to diverse machining scenarios.
Author Contributions
Conceptualization, Z.J. and X.L. (Xianli Liu); methodology, Z.J., X.L. (Xiangwei Liu) and A.J.; validation, X.A. and G.Z.; formal analysis, X.L. (Xiangwei Liu) and X.L. (Xianli Liu); investigation, X.L. (Xiangwei Liu) and G.Z.; resources, A.J. and G.Z.; data curation, X.L. (Xiangwei Liu) and X.L. (Xianli Liu); writing—original draft preparation, X.L. (Xiangwei Liu); writing—review and editing, Z.J., X.L. (Xianli Liu) and A.J.; visualization, X.L. (Xiangwei Liu); supervision, Z.J.; project administration, Z.J.; funding acquisition, Z.J. All authors have read and agreed to the published version of the manuscript.
Funding
This research received no external funding.
Institutional Review Board Statement
Not applicable.
Informed Consent Statement
Not applicable.
Data Availability Statement
Certain data are not publicly available due to confidentiality agreements associated with the project. The data that support the results of this study are available from the corresponding author upon reasonable request.
Conflicts of Interest
The author Zhipeng Jiang and Guohua Zheng were employed by the company Hangzhou Sino-Deutsche Power Transmission Equipment Co., Ltd., author Aisheng Jiang was employed by the company Zhuzhou Cemented Carbide Cutting Tools Co., Ltd. The remaining authors declare no conflicts of interest.
Appendix A
Table A1.
Experimental table for cutting parameters.
Table A1.
Experimental table for cutting parameters.
| Test | n (rpm) | ap (mm) | vf (mm/min) | Average Deformation Error (mm) |
|---|---|---|---|---|
| 1 | 0.1 | 4400 | 700 | 0.0554 |
| 2 | 0.1 | 4800 | 800 | 0.0926 |
| 3 | 0.1 | 5200 | 900 | 0.0823 |
| 4 | 0.1 | 5600 | 1000 | 0.1083 |
| 5 | 0.1 | 6000 | 1100 | 0.1038 |
| 6 | 0.15 | 4400 | 800 | 0.0762 |
| 7 | 0.15 | 4800 | 900 | 0.107 |
| 8 | 0.15 | 5200 | 1000 | 0.0914 |
| 9 | 0.15 | 5600 | 1100 | 0.0934 |
| 10 | 0.15 | 6000 | 700 | 0.1041 |
| 11 | 0.2 | 4400 | 900 | 0.1181 |
| 12 | 0.2 | 4800 | 1000 | 0.1092 |
| 13 | 0.2 | 5200 | 1100 | 0.1371 |
| 14 | 0.2 | 5600 | 700 | 0.1064 |
| 15 | 0.2 | 6000 | 800 | 0.1022 |
| 16 | 0.3 | 4400 | 1000 | 0.1016 |
| 17 | 0.3 | 4800 | 1100 | 0.1561 |
| 18 | 0.3 | 5200 | 700 | 0.144 |
| 19 | 0.3 | 5600 | 800 | 0.1296 |
| 20 | 0.3 | 6000 | 900 | 0.1294 |
| 21 | 0.4 | 4400 | 1100 | 0.1257 |
| 22 | 0.4 | 4800 | 700 | 0.1425 |
| 23 | 0.4 | 5200 | 800 | 0.1461 |
| 24 | 0.4 | 5600 | 900 | 0.1212 |
| 25 | 0.4 | 6000 | 1000 | 0.1438 |
References
- Ma, J.; Liu, Y.; Zhao, Y.; Jiao, F.; Gao, G.; Xiang, D.; Zhang, D.; Zhao, B.; Pang, X. A Novel Analytical Model for Predicting the Thin-Walled Workpiece Deformation Considering the Effect of Residual Stress Accumulation and Redistribution in Layer by Layer Milling. J. Manuf. Process. 2025, 141, 1444–1462. [Google Scholar] [CrossRef]
- Aurrekoetxea, M.; Llanos, I.; Zelaieta, O.; López De Lacalle, L.N. Towards Advanced Prediction and Control of Machining Distortion: A Comprehensive Review. Int. J. Adv. Manuf. Technol. 2022, 122, 2823–2848. [Google Scholar] [CrossRef]
- Zhang, Z.; Qi, Y.; Cheng, Q.; Liu, Z.; Tao, Z.; Cai, L. Machining Accuracy Reliability during the Peripheral Milling Process of Thin-Walled Components. Robot. Comput.-Integr. Manuf. 2019, 59, 222–234. [Google Scholar] [CrossRef]
- Chen, Z.; Yue, C.; Xu, Y.; Liu, X.; Liang, S.Y. An Analytical Machining Deformation Model of H-Section Multi-Frame Beam Integral Components. J. Mater. Process. Technol. 2023, 314, 117907. [Google Scholar] [CrossRef]
- Wang, Z.; Sun, J.; Liu, L.; Wang, R.; Chen, W. An Analytical Model to Predict the Machining Deformation of Frame Parts Caused by Residual Stress. J. Mater. Process. Technol. 2019, 274, 116282. [Google Scholar] [CrossRef]
- Zhu, Y.; Mao, K.; Yu, X. A General Model for Prediction of Deformation from Initial Residual Stress. Int. J. Adv. Manuf. Technol. 2020, 109, 1093–1101. [Google Scholar] [CrossRef]
- Chatelain, J.-F.; Lalonde, J.F.; Tahan, A.S. A Comparison of the Distortion of Machined Parts Resulting from Residual Stresses within Workpieces. In Proceedings of the 4th International Conference on Manufacturing Engineering, Quality and Production Systems (MEQAPS’11), Barcelona, Spain, 15–17 September 2011; pp. 79–84. [Google Scholar]
- Zhang, Z.; Cai, Y.; Xi, X.; Wang, H. Non-Uniform Machining Allowance Planning Method of Thin-Walled Parts Based on the Workpiece Deformation Constraint. Int. J. Adv. Manuf. Technol. 2023, 124, 2185–2198. [Google Scholar] [CrossRef]
- Ge, G.; Du, Z.; Yang, J. Rapid Prediction and Compensation Method of Cutting Force-Induced Error for Thin-Walled Workpiece. Int. J. Adv. Manuf. Technol. 2020, 106, 5453–5462. [Google Scholar] [CrossRef]
- Yao, C.; Zhang, J.; Cui, M.; Tan, L.; Shen, X. Machining Deformation Prediction of Large Fan Blades Based on Loading Uneven Residual Stress. Int. J. Adv. Manuf. Technol. 2020, 107, 4345–4356. [Google Scholar] [CrossRef]
- Meng, Y.; Dong, S.; Sun, X.; Wei, S.; Liu, X. Cutting Energy Consumption Modeling by Considering Tool Wear and Workpiece Material Properties for Multi-Objective Optimization of Machine Tools. Coatings 2024, 14, 691. [Google Scholar] [CrossRef]
- Chen, Z.; Wang, L.; Zhang, J.; Guo, G.; Fu, S.; Wang, C.; Li, X. Framework and Development of Data-Driven Physics Based Model with Application in Dimensional Accuracy Prediction in Pocket Milling. Chin. J. Aeronaut. 2021, 34, 162–177. [Google Scholar] [CrossRef]
- Sun, H.; Zhao, S.; Peng, F.; Yan, R.; Zhou, L.; Zhang, T.; Zhang, C. In-Situ Prediction of Machining Errors of Thin-Walled Parts: An Engineering Knowledge Based Sparse Bayesian Learning Approach. J. Intell. Manuf. 2024, 35, 387–411. [Google Scholar] [CrossRef]
- Zhao, Z.; Li, Y.; Liu, C.; Gao, J. On-Line Part Deformation Prediction Based on Deep Learning. J. Intell. Manuf. 2020, 31, 561–574. [Google Scholar] [CrossRef]
- Huang, Q.; Wang, S.; Wang, S.; Zhao, Z.; Wang, Z.; Tang, B. A Novel Multi-Pass Machining Accuracy Prediction Method for Thin-Walled Parts. Int. J. Adv. Manuf. Technol. 2023, 126, 4937–4948. [Google Scholar] [CrossRef]
- Lin, M.; Wang, C.; Yue, T.; Guo, G.; Guan, W.; Shen, B. Deformation Prediction in Flank Milling of Thin-Walled Parts Based on Cutter-Workpiece Engagement. J. Manuf. Process. 2024, 115, 375–386. [Google Scholar] [CrossRef]
- Zhao, Z.; Li, Y.; Liu, C.; Liu, X. Predicting Part Deformation Based on Deformation Force Data Using Physics-Informed Latent Variable Model. Robot. Comput.-Integr. Manuf. 2021, 72, 102204. [Google Scholar] [CrossRef]
- Ni, Y.; Li, Y.; Liu, C.; Liu, X. A Mechanism Informed Neural Network for Predicting Machining Deformation of Annular Parts. Adv. Eng. Inform. 2022, 53, 101661. [Google Scholar] [CrossRef]
- Wang, L.; Fu, S.; Wang, D.; Wang, C.; Chen, Z.; Zhang, Y.; Li, X. A Deep Transfer Learning Model Based on Pockets Clustering and Feature Reconstruction for Dimensional Accuracy Forecast in Aerospace Skin Parts Manufacturing. Int. J. Adv. Manuf. Technol. 2022, 122, 1009–1021. [Google Scholar] [CrossRef]
- Bai, L.; Xu, F.; Chen, X.; Su, X.; Lai, F.; Xu, J. A Hybrid Deep Learning Model for Robust Prediction of the Dimensional Accuracy in Precision Milling of Thin-Walled Structural Components. Front. Mech. Eng. 2022, 17, 32. [Google Scholar] [CrossRef]
- Wang, Y.; Zhao, Z.; Ding, W.; Qiao, M.; Su, H. An Online Prediction Method of Three-Dimensional Machining Residual Stress Field Based on IncepU-Net. Measurement 2025, 242, 115794. [Google Scholar] [CrossRef]
- Samuri, S.M.; Nova, T.V.; Rahmatullah, B.; Wang, S.L.; Al-Qaysi, Z.T. Classification Model for Breast Cancer Mammograms. IIUM Eng. J. 2022, 23, 187–199. [Google Scholar] [CrossRef]
- Wang, Z.; Wang, S.; Wang, S.; Liu, N.; Zhao, Z.; Wang, Y. A Novel Surface Residual Stress Monitoring Method Based on the Power Consumption of Machine Tool: A Case Study in 5-Axis Machining. J. Manuf. Process. 2023, 86, 221–236. [Google Scholar] [CrossRef]
- Luan, X.; Zhang, S.; Li, G. Modified Power Prediction Model Based on Infinitesimal Cutting Force during Face Milling Process. Int. J. Precis. Eng. Manuf.-Green Tech. 2018, 5, 71–80. [Google Scholar] [CrossRef]
- Cheng, Y.; Lu, M.; Gai, X.; Guan, R.; Zhou, S.; Xue, J. Research on Multi-Signal Milling Tool Wear Prediction Method Based on GAF-ResNext. Robot. Comput.-Integr. Manuf. 2024, 85, 102634. [Google Scholar] [CrossRef]
- Zhong, C.; Li, G.; Meng, Z. Beluga Whale Optimization: A Novel Nature-Inspired Metaheuristic Algorithm. Knowl.-Based Syst. 2022, 251, 109215. [Google Scholar] [CrossRef]
- Elangovan, M.; Devasenapati, S.B.; Sakthivel, N.R.; Ramachandran, K.I. Evaluation of Expert System for Condition Monitoring of a Single Point Cutting Tool Using Principle Component Analysis and Decision Tree Algorithm. Expert Syst. Appl. 2011, 38, 4450–4459. [Google Scholar] [CrossRef]
Disclaimer/Publisher’s Note: The statements, opinions and data contained in all publications are solely those of the individual author(s) and contributor(s) and not of MDPI and/or the editor(s). MDPI and/or the editor(s) disclaim responsibility for any injury to people or property resulting from any ideas, methods, instructions or products referred to in the content. |
© 2026 by the authors. Licensee MDPI, Basel, Switzerland. This article is an open access article distributed under the terms and conditions of the Creative Commons Attribution (CC BY) license.









