Research Progress on Thermoelectric Properties of Doped SnSe Thin Films
Abstract
1. Introduction
2. SnSe Thin-Film Material
3. Comparison of Performance Indexes Between PVD and CVD
3.1. Electrical Performance Comparison
3.2. Thermal Performance Comparison
3.3. Performance Comparison of the Same Doping Elements
4. Research Progress on Doped SnSe Thin Films
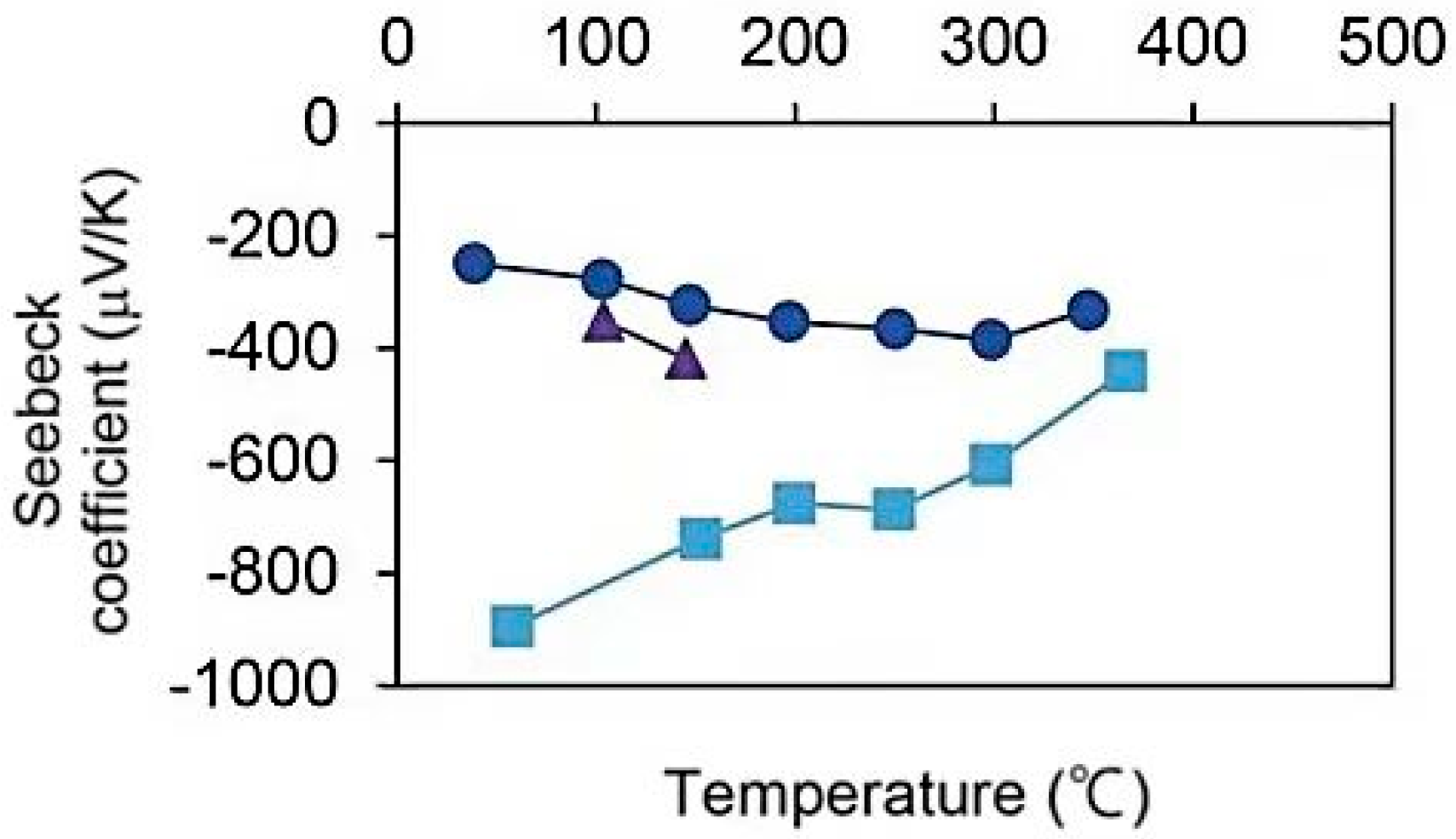
4.1. Research Progress of PVD on Doped SnSe Thin Films
4.1.1. Vacuum Evaporation
4.1.2. Magnetron Sputtering

4.1.3. PLD

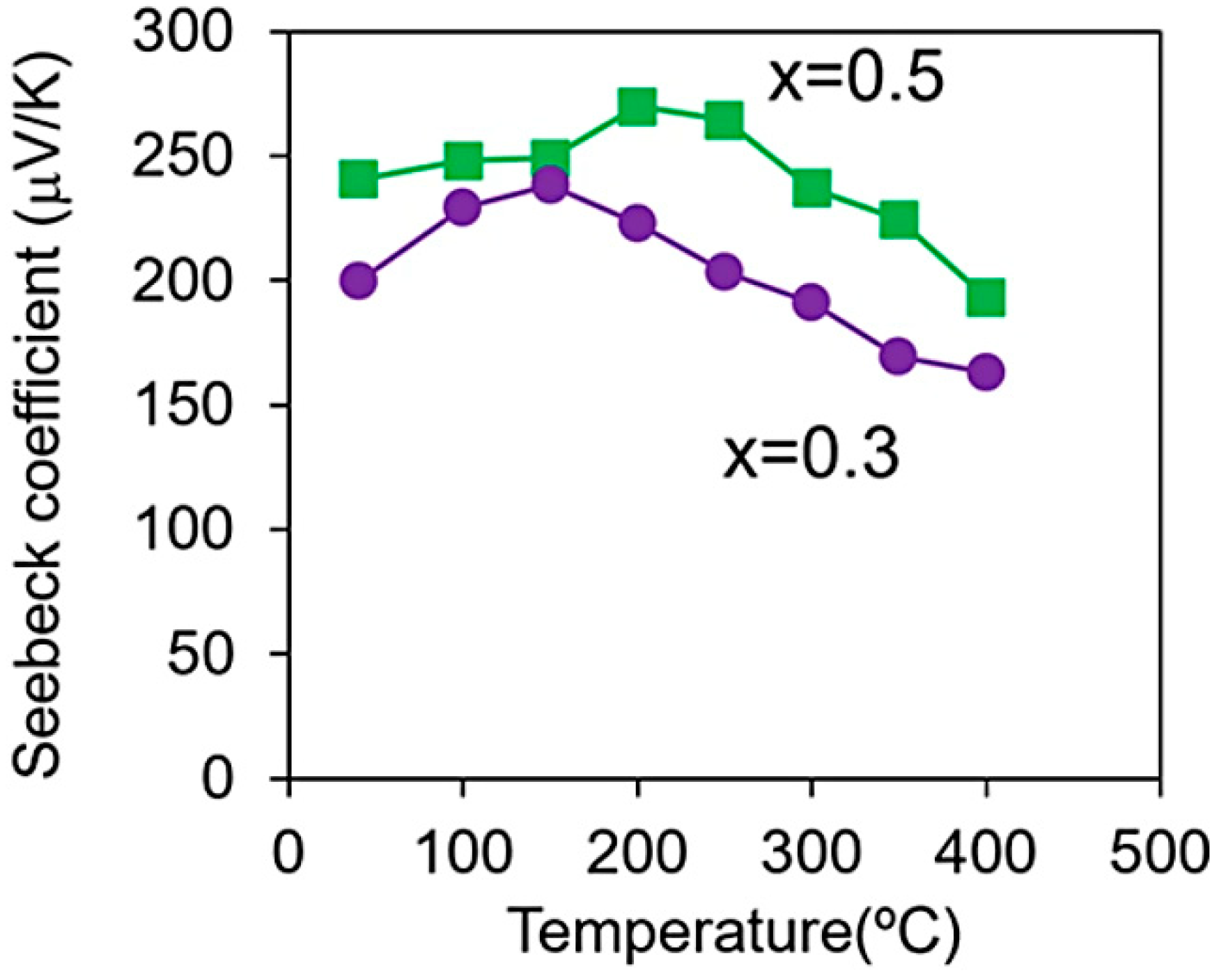
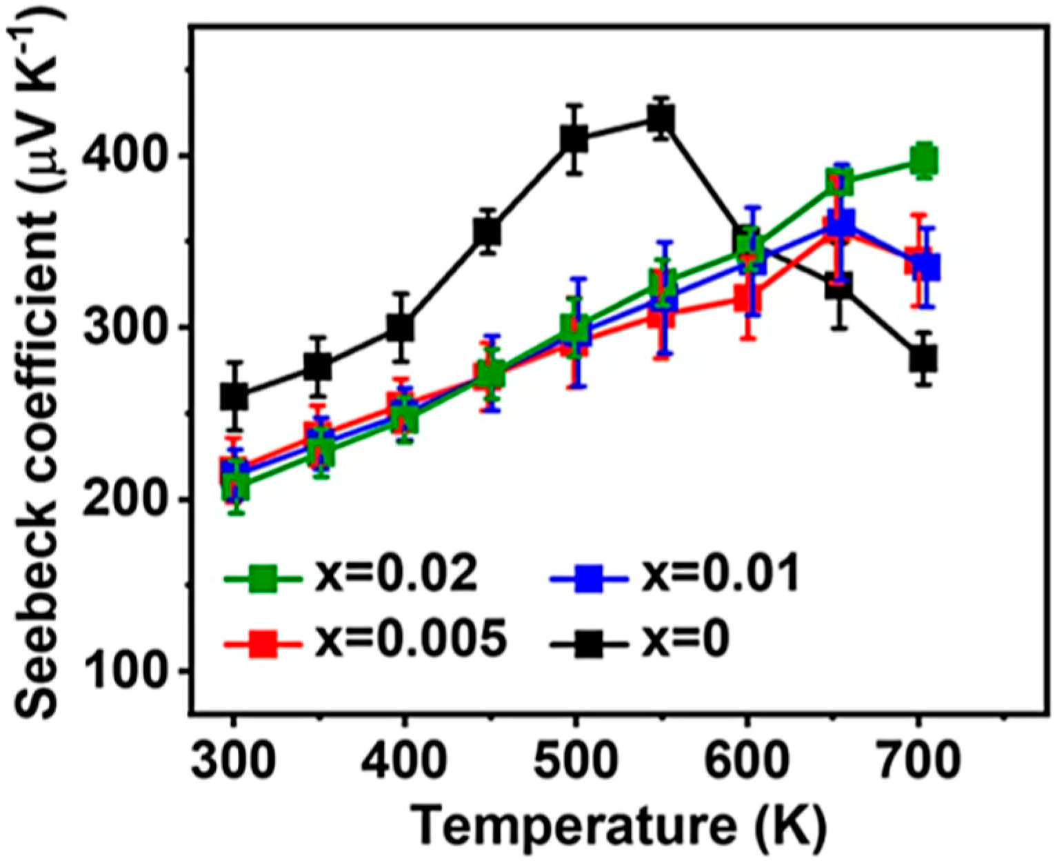
4.2. Research Progress of CVD on Doped SnSe Thin Films
4.2.1. Dual-Temperature-Zone CVD
4.2.2. Solution Process Method
4.2.3. Electrochemical Deposition
5. Comparative Analysis of the Electronic Structure and Preparation Techniques of Doped SnSe Thin Films on Their Thermoelectric Properties
5.1. Electronic Structure Modulation by Doping and Its Impact on Thermoelectric Properties
5.1.1. Carrier Concentration Mechanism and Its Impact on Properties
5.1.2. Band Structure Engineering Mechanism and Its Impact on Properties
5.1.3. Defect State Mechanism and Its Impact on Properties
5.2. Comparison of Doped SnSe Thin Films Under Different Deposition Conditions and Process Levels
5.2.1. The Influence of Substrate Type and Sedimentation Temperature Parameters
5.2.2. Comparative Analysis of Doping Efficiency of SnSe Thin Films
5.2.3. Comparative Analysis of Thermoelectric Properties of Doped SnSe Thin Films with Different Deposition Strips on the Same Substrate and Preparation Method
5.3. The Influence of Doped SnSe Thin Films Under Various Preparation Methods
5.4. The Influence of Different Dopants on Doped SnSe Thin Films
6. Conclusions
Author Contributions
Funding
Institutional Review Board Statement
Informed Consent Statement
Data Availability Statement
Conflicts of Interest
References
- Zhou, C.; Lee, Y.K.; Yu, U.; Byun, S.; Luo, Z.Z.; Lee, H.; Ge, B.; Lee, L.Y.; Chen, X.; Lee, J.Y.; et al. Polycrystalline SnSe with a thermoelectric figure of merit greater than the single crystal. Nat. Mater. 2021, 20, 1378–1384. [Google Scholar] [CrossRef]
- Pei, J.; Cai, B.; Zhuang, H.L.; Li, J.F. Bi2Te3-based applied thermoelectric materials: Research advances and new challenges. Natl. Sci. Rev. 2020, 7, 1856–1858. [Google Scholar] [CrossRef]
- Luo, Z.Z.; Cai, S.; Hao, S.; Bailey, T.P.; Luo, Y.; Luo, W.; Yu, Y.; Uher, C.; Wolverton, C.; Dravid, V.P.; et al. Extraordinary role of Zn in enhancing thermoelectric performance of Ga-doped n-Type PbTe. Energy Environ. Sci. 2022, 15, 368–375. [Google Scholar] [CrossRef]
- Xue, L.; Zou, J.; Guo, X.; Mao, Q.; Wang, Y. Thermoelectric performance of Cu2Se/SiC nanowire composites. J. Mater. Sci. Mater. Electron. 2025, 36, 1143. [Google Scholar] [CrossRef]
- Jiang, L.; Liu, W.; Han, L.; Sun, H.; Wang, Y.; Zhang, Y.; Wu, H. Thermoelectric properties of polycrystalline (SnSe)1-x (AgSnSe2)x/2 alloys. Prog. Nat. Sci. Mater. 2022, 32, 242–247. [Google Scholar] [CrossRef]
- Zhao, L.D.; Lo, S.H.; Zhang, Y.; Sun, H.; Tan, G.; Uher, C.; Wolverton, C.; Dravid, P.V.; Kanatzidis, M.G. Ultralow Thermal Conductivity and High Thermoelectric Figure of Merit in SnSe Crystals. Nature 2014, 508, 373–377. [Google Scholar] [CrossRef] [PubMed]
- Salah, M.; Hall, C.; Murphy, P.; Francis, C.; Kerr, R.; Stoehr, B.; Rudd, S.; Fabretto, M. Doped and reactive silicon thin film anodes for lithium ion batteries: A review. J. Power Sources 2021, 506, 230194. [Google Scholar] [CrossRef]
- Li, F.; Wang, H.; Huang, R.; Chen, W.; Zhang, H. Recent advances in SnSe nanostructures beyond thermoelectricity. Adv. Funct. Mater. 2022, 32, 2200516. [Google Scholar] [CrossRef]
- Shi, W.; Gao, M.; Wei, J.; Gao, J.; Fan, C.; Ashalley, E.; Li, H.; Wang, Z. Tin selenide (SnSe): Growth, properties, and applications. Adv. Sci. 2018, 5, 1700602. [Google Scholar] [CrossRef]
- Rani, S.; Kumar, M.; Sheoran, H.; Singh, R.; Singh, V.N. Rapidly responding room temperature NO2 gas sensor based on SnSe nanostructured film. Mater. Today Commun. 2022, 30, 103135. [Google Scholar] [CrossRef]
- Jia, X.; Gao, Y. The effects of interface scattering on thermoelectric properties of film thermoelectric materials. Chin. Sci. Bull. 2014, 59, 3098–3106. [Google Scholar] [CrossRef]
- Rezania, A.; Yazdanshenas, E. Effect of substrate layers on thermo-electric performance under transient heat loads. Energ. Convers. Manag. 2020, 219, 113068. [Google Scholar] [CrossRef]
- Cheng, L.Y.; Zhang, K.C.; Li, Y.F.; Liu, Y.; Zhu, Y. Thickness-dependent thermoelectric transporting properties of few-layered SnSe. J. Alloys Compd. 2022, 894, 162542. [Google Scholar] [CrossRef]
- Burton, M.R.; Howells, G.; Mehraban, S.; McGettrick, J.D.; Lavery, N.; Carnie, M.J. Fully 3D printed tin selenide (SnSe) thermoelectric generators with alternating n-type and p-type legs. ACS Appl. Energy Mater. 2023, 6, 5498–5507. [Google Scholar] [CrossRef]
- He, B.; He, X.; Liu, G.; Zhu, C.; Wang, J.; Sun, Z. Memristive and magnetoresistance effects of SnSe2. Acta Phys. Sin. Chin. Ed. 2020, 69, 117301. [Google Scholar] [CrossRef]
- Yu, Z.H.; Zhang, L.; Wu, J.; Zhao, Y. Recent progress of two-dimensional layered thermoelectric materials. Acta Phys. Sin. Chin. Ed. 2023, 72, 057301. [Google Scholar] [CrossRef]
- Ce, L.; Dong-Liang, Y.; Lin-Feng, S. Research progress of neuromorphic devices based on two-dimensional layered materials. Acta Phys. Sin. 2022, 71, 218504. [Google Scholar] [CrossRef]
- Horide, T.; Nakamura, K.; Hirayama, Y.; Morishita, K.; Ishimaru, M.; Matsumoto, K. Thermoelectric Property of n-Type Bismuth-Doped SnSe Film: Influence of Characteristic Film Defect. ACS Appl. Energy Mater. 2021, 4, 9563–9571. [Google Scholar] [CrossRef]
- Pang, J.; Zhang, X.; Shen, L.; Xu, J.; Nie, Y.; Xiang, G. Synthesis and thermoelectric properties of Bi-doped SnSe thin films. Chin. Phys. B 2021, 30, 116302. [Google Scholar] [CrossRef]
- Reddy, V.R.M.; Gedi, S.; Pejjai, B.; Park, C. Perspectives on SnSe-based thin film solar cells: A comprehensive review. J. Mater. Sci. Mater. Electron. 2016, 27, 5491–5508. [Google Scholar] [CrossRef]
- Liu, S.; Lan, M.; Li, G.; Yuan, Y.; Jia, B.; Wang, Q. Co dopant drives surface smooth and improves power factor of evaporated SnSe films. Ceram. Int. 2020, 46, 16578–16582. [Google Scholar] [CrossRef]
- Ibraheem, S.H. An investigation into the effect of Sb dopant on the structural, electrical and photoconductive properties of SnSe thin films. AIP Conf. Proc. 2021, 2372, 040012. [Google Scholar] [CrossRef]
- Kumar, M.; Rani, S.; Parmar, R.; Amati, M.; Gregoratti, L.; Ghosh, A.; Pathak, S.; Kumar, A.; Wang, X.; Singh, V.N. The ultra-high thermoelectric power factor in facile and scalable single-step thermal evaporation fabricated composite SnSe/Bi thin films. J. Mater. Chem. C 2022, 10, 18017–18024. [Google Scholar] [CrossRef]
- Zhao, F.; Chu, J. The effect of doping amount of Zn on the co-evaporated SnSe thin film for photovoltaic application. J. Optoelectron. Adv. Mater. 2022, 24, 236–244. [Google Scholar]
- Bektas, T.; Surucu, O.; Terlemezoglu, M.; Parlak, M. Physical characterization of thermally evaporated Sn–Sb–Se thin films for solar cell applications. Appl. Phys. 2023, 129, 381. [Google Scholar] [CrossRef]
- Jabeen, M.; Ali, N.; Ali, Z.; Ali, H.; Bahajjaj, A.A.A.; Haq, B.; Kim, S.H. The impact of annealing on the optoelectronic properties of tin selenide thin films for photovoltaics. Chalcogenide Lett. 2024, 21, 125–133. [Google Scholar] [CrossRef]
- Sarkar, P. Substitution of an isovalent Te-ion in SnSe thin films for tuning optoelectrical properties. J. Phys. Chem. Solids 2024, 194, 112226. [Google Scholar] [CrossRef]
- Gao, B.; Hu, J.; Tang, S.; Xiao, X.; Chen, H.; Zuo, Z.; Qi, Q.; Peng, Z.; Wen, J.; Zou, D. Organic-Inorganic Perovskite Films and Efficient Planar Heterojunction Solar Cells by Magnetron Sputtering. Adv. Sci. 2021, 8, 2102081. [Google Scholar] [CrossRef]
- Zhou, J.; Zhang, S.; Wang, J. Magnetron sputtered transition-metal-nitrides thin films as electrode materials for supercapacitors: A review. J. Energy Storage 2024, 104, 114476. [Google Scholar] [CrossRef]
- Chen, Z.J.; Shen, T.; Nutor, R.K.; Yang, S.D.; Wu, H.F.; Si, J.X. Influence of local heterojunction on the thermoelectric properties of Mo-SnSe multilayer films deposited by magnetron sputtering. J. Electron. Mater. 2019, 48, 1153–1158. [Google Scholar] [CrossRef]
- Li, Y.F.; Tang, G.H.; Nie, Y.N.; Zhang, M.; Zhao, X.; Shiomi, J. Synergetic optimization of thermoelectric properties in SnSe film via manipulating Se vacancies. J. Alloys Compd. 2023, 943, 169115. [Google Scholar] [CrossRef]
- Fourmont, P.; Gerlein, L.F.; Fortier, F.X.; Cloutier, S.G.; Nechache, R. Highly Efficient Thermoelectric Microgenerators Using Nearly Room Temperature Pulsed Laser Deposition. ACS Appl. Mater. Interfaces 2018, 10, 10194–10201. [Google Scholar] [CrossRef] [PubMed]
- Visan, A.I.; Popescu-Pelin, G.F. Advanced Laser Techniques for the Development of Nature-Inspired Biomimetic Surfaces Applied in the Medical Field. Coatings 2024, 14, 1290. [Google Scholar] [CrossRef]
- Inoue, T.; Hiramatsu, H.; Hosono, H.; Kamiya, T. Heteroepitaxial Growth of SnSe Films by Pulsed Laser Deposition Using Se-Rich Targets. J. Appl. Phys. 2015, 118, 205302. [Google Scholar] [CrossRef]
- Xue, Y.; Wang, Q.; Gao, Z.; Qian, X.; Wang, J.; Yan, G.; Chen, M.; Zhao, L.D.; Wang, S.F.; Li, Z. Constructing quasi-layered and self-hole doped SnSe oriented films to achieve excellent thermoelectric power factor and output power density. Sci. Bull. 2023, 68, 2769–2778. [Google Scholar] [CrossRef]
- Horide, T.; Nakamura, K.; Ishimaru, M. Carrier control of Bi-doped SnSe films for fabrication of π-type thermoelectric film modules. ACS Appl. Energy Mater. 2023, 7, 346–352. [Google Scholar] [CrossRef]
- Yamaguchi, K.; Ishimaru, M.; Horide, T. Metastable Substitution of an Isovalent Anion Element in SnSe Films to Control the Thermoelectric Property. ACS Appl. Electron. Mater. 2024, 6, 1071–1077. [Google Scholar] [CrossRef]
- Liu, Z.; Wang, Y.; Zhang, Y.; Sun, S.; Zhang, T.; Zeng, Y.J.; Hu, L.; Zhuge, F.; Lu, B.; Pan, X.; et al. Harnessing Defects in SnSe Film via Photo-Induced Doping for Fully Light-Controlled Artificial Synapse. Adv. Mater. 2025, 37, 2410783. [Google Scholar] [CrossRef]
- Robotnik, K.; Zieliński, T.; Walczak-Skierska, J.; Sibińska, E.; Rudzik, P.; Piszczek, P.; Radtke, A.; Pomastowski, P.P. Synthesis of Silver Nanoparticles by Chemical Vapor Deposition Method and Its Application in Laser Desorption/Ionization Techniques. Nanomaterials 2025, 15, 973. [Google Scholar] [CrossRef]
- Jung, C.; Kim, S.M.; Moon, H.; Han, G.; Kwon, J.; Hong, Y.K.; Omkaram, I.; Yoon, Y.; Kim, S.; Park, J. Highly Crystalline CVD-grown Multilayer MoSe2 Thin Film Transistor for Fast Photodetector. Sci. Rep. 2015, 5, 15313. [Google Scholar] [CrossRef]
- Rani, S.; Jain, A.; Nag, R.; Rani, D.; Pahuja, M.; Harini, E.M.; Das, S.; Afshan, M.; Siddiqui, S.A.; Chaudhary, N.; et al. Unraveling Hydrogen Evolution in Ni-Doped SnSe: Mechanistic Insights into the Synergy of Crystal Facets, Doping, and External Stimuli Using On-Chip Microelectrochemical Cell. Small 2025, 21, 2502759. [Google Scholar] [CrossRef] [PubMed]
- Nelson, M. Characterization of SnxSey/SnO2-Ni prepared by spray pyrolysis for photovoltaic application. Master’s Thesis, Kenyatta University, Nairobi, Kenya, 2016. [Google Scholar]
- Heo, S.H.; Jo, S.; Kim, H.S.; Choi, G.; Song, J.Y.; Kang, J.Y.; Park, N.J.; Ban, H.Y.; Kim, F.; Jeong, H.; et al. Composition change-driven texturing and doping in solution-processed SnSe thermoelectric thin films. Nat. Commun. 2019, 10, 864. [Google Scholar] [CrossRef] [PubMed]
- Heo, S.H.; Yoo, J.; Lee, H.; Jang, H.; Jo, S.; Cho, J.; Baek, S.; Yang, S.E.; Gu, D.H.; Mun, H.J.; et al. Solution-processed hole-doped SnSe thermoelectric thin-film devices for low-temperature power generation. ACS Energy Lett. 2022, 7, 2092–2101. [Google Scholar] [CrossRef]
- Ma, J.; Xu, Y.; Nan, Z.; Wang, Y.; Han, Y.; Zhao, B.; Zhao, M.; Wang, H. Modulation for Seebeck coefficient and power factor of flexible PEDOT: PSS films by incorporating SnSe nanosheets and solvents treatment. J. Alloys Compd. 2025, 1022, 179793. [Google Scholar] [CrossRef]
- Li, C.; Iqbal, M.; Lin, J.; Luo, X.; Jiang, B.; Malgras, V.; Wu, K.C.W.; Kim, J.; Yamauchi, Y. Electrochemical deposition: An advanced approach for templated synthesis of nanoporous metal architectures. Acc. Chem. Res. 2018, 51, 1764–1773. [Google Scholar] [CrossRef]
- Thompson, G.W.; Mahtabi, M.J. Electrodeposition of Nickel onto Polymers: A Short Review of Plating Processes and Structural Properties. Appl. Sci. 2025, 15, 8500. [Google Scholar] [CrossRef]
- Jalalian-Larki, B.; Jamali-Sheini, F.; Yousefi, R. Electrodeposition of In-doped SnSe nanoparticles films: Correlation of physical characteristics with solar cell performance. Solid State Sci. 2020, 108, 106388. [Google Scholar] [CrossRef]
- Ikhioya, I.L.; Uyoyou, O.B.; Oghenerivwe, A.L. The effect of molybdenum-doped tin selenide semiconductor material (SnSe) synthesized via electrochemical deposition technique for photovoltaic application. J. Mater. Sci. Mater. Electron. 2022, 33, 10379–10387. [Google Scholar] [CrossRef]
- Udofia, K.I.; Ikhioya, I.L.; Agobi, A.U.; Okoli, D.N.; Ekpunobi, A.J. Effects of zirconium on electrochemically synthesized tin selenide materials on fluorine doped tin oxide substrate for photovoltaic application. J. Indian Chem. Soc. 2022, 99, 100737. [Google Scholar] [CrossRef]
- Ben Hjal, A.; Pezzato, L.; Colusso, E.; Alouani, K.; Dabalà, M. Electrodeposition of SnSe thin film using an organophosphorus [ (Me2)3N3PSe] precursor for photovoltaic application. Ionics 2024, 30, 579–590. [Google Scholar] [CrossRef]
- Das, S.; Kanungo, B.; Subramanian, V.; Panigrahi, G.; Motamarri, P.; Rogers, D.; Zimmerman, P.; Gavini, V. Large-scale materials modeling at quantum accuracy: Ab initio simulations of quasicrystals and interacting extended defects in metallic alloys. In Proceedings of the International Conference for High Performance Computing, Networking, Storage and Analysis Article, Denver, CO, USA, 12–17 November 2023; Volume 1, pp. 1–12. [Google Scholar]
- Perdew, J.P.; Schmidt, K. Jacob’s ladder of density functional approximations for the exchange-correlation energy. AIP Conf. Proc. 2001, 577, 1–20. [Google Scholar]
- Behler, J.; Parrinello, M. Generalized neural-network representation of high-dimensional potential-energy surfaces. Phys. Rev. Lett. 2007, 98, 146401. [Google Scholar] [CrossRef]
- Zhang, L.; Han, J.; Wang, H.; Car, R.; Weinan, E. Deep potential molecular dynamics: A scalable model with the accuracy of quantum mechanics. Phys. Rev. Lett. 2018, 120, 143001. [Google Scholar] [CrossRef] [PubMed]
- Batzner, S.; Musaelian, A.; Sun, L.; Geiger, M.; Mailoa, J.P.; Kornbluth, M.; Molinari, N.; E.Smidt, T.; Kozinsky, B. E (3)-equivariant graph neural networks for data-efficient and accurate interatomic potentials. Nat. Commun. 2022, 13, 2453. [Google Scholar] [CrossRef] [PubMed]
- Merchant, A.; Batzner, S.; Schoenholz, S.S.; Aykol, M.; Cheon, G.; Cubuk, E.D. Scaling deep learning for materials discovery. Nature 2023, 624, 80–85. [Google Scholar] [CrossRef] [PubMed]














| Index | SnSe | Bi2Te3 | PbTe | Cu2Se |
|---|---|---|---|---|
| ZT | 3.1 (783 K) [1] | 1.4 (300–400 K) [2] | 1.55 (723 K) [3] | 1.1 (873 K) [4] |
| Material cost | the cheapest | the most expensive | expensive | cheaper |
| Toxicity | non-toxic | highly toxic | highly toxic | low toxicity |
| Technical maturity | high | medium | low | medium |
| Electrical Performance Index | PVD | CVD |
|---|---|---|
| Conductivity | High and stable, suitable for high-resistance ratio devices | Wide adjustable range, suitable for flexible electronics |
| Carrier mobility | High initial value, depending on crystallization quality | Can be optimized by post-processing |
| Process adaptability | Suitable for small-area and high-precision devices | Suitable for large-area and low-cost production |
| Thermal Performance Index | PVD | CVD |
|---|---|---|
| Phonon scattering | The thermal conductivity of the prepared films is more favorable for reduction due to more defects | The prepared films rely on chemical control to achieve performance balance |
| Application adaptation | Thin films having low thermal conductivity are suitable for thermoelectric refrigeration devices | Highly crystalline films for high power density scenarios |
| Index | PVD (573 K) [18] | CVD (700 K) [19] |
|---|---|---|
| substrate | SrTiO3 | Si |
| Bi content | 5.7% | 2% |
| the Seebeck coefficient | −385 μV/K | −659 μV/K |
| PF | 0.3 μW·cm−1·K−2 | 0.6 µWcm−1·K−2 |
| ZT | 0.034 | 0.074 |
| Doping Strategy | Doping Element | Primary Electronic Structure Modulation | Key Impact on Thermoelectric Properties |
|---|---|---|---|
| Carrier tuning [18] | Bi | Control of carrier concentration; Fermi level shift | The Seebeck coefficient indicates significant increase |
| Bandgap tuning [24,27] | Te | Optical bandgap increase | Primary application in solar cells; further research is needed to optimize the thermoelectric properties |
| Defect/ Vacancies [30,31] | Mo/Controlled Se Deficiency | Formation of MoSe2-SnSe heterojunctions; Se vacancies | Thermal conductivity and the Seebeck coefficient have been increased; electrical conductivity has been decreased; The vacancy has been optimized, indicating significant increases in PF and ZT |
| Preparation Method | Doping Efficiency | Limiting Factor | Physical Properties |
|---|---|---|---|
| CVD | >90% | Decomposition temperature of precursor | In the reaction zone, dopant atoms can directly reach the substrate surface, but the thermal decomposition of the precursor limits the doped concentration |
| Solution process | 60–80% | Ligand exchange rate | The steric hindrance of ligand space will hinder the entry of doped ions into the lattice |
| Magnetron sputtering | 70–85% | Uniformity of target doping | The segregation of doping elements in the target material can lead to uneven composition of the film layer |
| Preparation Method | Magnetron Sputtering [30] | Magnetron Sputtering [31] |
|---|---|---|
| substrate | SiO2 (576 K) | Si/SiO2 (700 K) |
| the Seebeck coefficient | 230 μV/K | 30 0 μV/K |
| PF | 0.44 μW·cm−1·K−2 | 2.01 μW·cm−1·K−2 |
| ZT | / | 0.6 |
| Preparation Method | Solution Process [43] | Solution Process [44] | Solution Process [45] |
|---|---|---|---|
| substrate | SiO2 (750 K) | SiO2 (300 K) | SiO2 (300 K) |
| the Seebeck coefficient | 320 μV/K | 207–217 μV/K | 30.33 μV/K |
| PF | 3.2 μW·cm−1·K−2 | 11.97 μWcm−1·K−2 | 25.65 μW·cm−1·K−2 |
| ZT | 0.58 | 0.46 | / |
| Preparation Method | Substrate | Temperature | Seebeck Coefficient | PF | ZT | Year |
|---|---|---|---|---|---|---|
| Solution process | SiO2 | 750 K | 320 μV/K | 3.2 μW·cm−1·K−2 | 0.58 | 2019 [43] |
| Magnetron sputtering | SiO2 | 576 K | 230 μV/K | 0.44 μW·cm−1·K−2 | / | 2019 [30] |
| Dual- temperature-zone CVD | Si | 700 K | −650 μV/K | 0.6 μW·cm−1·K−2 | 0.074 | 2021 [19] |
| PLD | SrTiO3 | 573 K | −385 μV/K | 0.3 μW·cm−1·K−2 | 0.034 | 2021 [18] |
| Solution process | SiO2 | 300 K | 207–217 μV/K | 11.97 μW·cm−1·K−2 | 0.46 | 2022 [44] |
| Vacuum evaporation | Si/SiO2 | 580 K | −440 μV/K | 8.0 μW·cm−1·K−2 | / | 2022 [23] |
| PLD | MgO | 600 K | 332 μV/K | 5.9 μW·cm−1·K−2 | 1.16 | 2023 [35] |
| Magnetron sputtering | Si/SiO2 | 700 K | 300 μV/K | 2.01 μW·cm−1·K−2 | 0.6 | 2023 [31] |
| PLD | SrTiO3 | 573 K | −385–−607 μV/K | / | / | 2023 [36] |
| PLD | SrTiO3 | 573 K | 250 μV/K | 1.1 μW·cm−1·K−2 | / | 2024 [37] |
| Solution process | SiO2 | 300 K | 30.33 μV/K | 25.65 μW·cm−1·K−2 | 2025 [45] |
| Preparation Method (Dopant) | Concentration | Seebeck Coefficient | PF | ZT | Effect | Year |
|---|---|---|---|---|---|---|
| Magnetron sputtering (Mo) | 2.6% | 230 μV/K | 0.44 μW·cm−1·K−2 | / | Formation of MoSe2-SnSe heterojunction | 2019 [30] |
| Dual- temperature-zone CVD (Bi) | 2% | −650 μV/K | 0.6 µW·cm−1K−2 | 0.074 | CVD achieves high ZT | 2021 [19] |
| PLD (Bi) | 5.7% | −385 μV/K | 0.3 μW·cm−1·K−2 | 0.034 | Researchers replaced Sn2+ with Bi3+ to eliminate intrinsic holes at low Bi content and doped electrons at high Bi content | 2021 [18] |
| Solution process (Ag) | 2% | 207–217 μV/K | 11.97 μW·cm−1·K−2 | 0.46 | This proves the feasibility of using thin films as energy harvesters in emerging electronic systems | 2022 [44] |
| Vacuum evaporation (Bi) | 25% | −440 μV/K | 8.0 μW·cm−1·K−2 | / | Equivalent to that of single-crystal and polycrystalline SnSe | 2022 [23] |
| PLD (Bi) | 6% | −385–−607 μV/K | / | / | The open circuit voltage of the module decreases with increasing temperature | 2023 [36] |
| Vacuum evaporation (Te) | 2% | / | / | / | Eg increases to 1.75–1.89 eV, and the electrical properties improve; suitable for solar cells | 2024 [27] |
Disclaimer/Publisher’s Note: The statements, opinions and data contained in all publications are solely those of the individual author(s) and contributor(s) and not of MDPI and/or the editor(s). MDPI and/or the editor(s) disclaim responsibility for any injury to people or property resulting from any ideas, methods, instructions or products referred to in the content. |
© 2025 by the authors. Licensee MDPI, Basel, Switzerland. This article is an open access article distributed under the terms and conditions of the Creative Commons Attribution (CC BY) license (https://creativecommons.org/licenses/by/4.0/).
Share and Cite
Guo, Z.; Zhang, C.; Zhou, J.; Tan, F.; Yang, C.; Li, S.; Lou, Y.; Zhu, E.; Li, Z.; Qu, Y.; et al. Research Progress on Thermoelectric Properties of Doped SnSe Thin Films. Coatings 2025, 15, 1041. https://doi.org/10.3390/coatings15091041
Guo Z, Zhang C, Zhou J, Tan F, Yang C, Li S, Lou Y, Zhu E, Li Z, Qu Y, et al. Research Progress on Thermoelectric Properties of Doped SnSe Thin Films. Coatings. 2025; 15(9):1041. https://doi.org/10.3390/coatings15091041
Chicago/Turabian StyleGuo, Zhengjie, Chi Zhang, Jinhui Zhou, Fuyueyang Tan, Canyuan Yang, Shenglan Li, Yue Lou, Enning Zhu, Zaijin Li, Yi Qu, and et al. 2025. "Research Progress on Thermoelectric Properties of Doped SnSe Thin Films" Coatings 15, no. 9: 1041. https://doi.org/10.3390/coatings15091041
APA StyleGuo, Z., Zhang, C., Zhou, J., Tan, F., Yang, C., Li, S., Lou, Y., Zhu, E., Li, Z., Qu, Y., & Li, L. (2025). Research Progress on Thermoelectric Properties of Doped SnSe Thin Films. Coatings, 15(9), 1041. https://doi.org/10.3390/coatings15091041

