Influence of Laser Shock Forming Parameters on Deformation Behavior and Dimensional Precision of Q355ME Carbon Steel Skin Components
Abstract
1. Introduction
2. Experimental Materials and Methods
- Point cloud data of the formed sheet metal were obtained using a Creaform handheld 3D laser scanner, and the data were imported into the Polyworks 2020 software to obtain the coordinate points of the center line of the sheet metal width.
- The surface topography and roughness of the formed part were measured using a white light interferometer under a 5x objective lens over a surface area of 7 × 7 mm2. The surface roughness can be directly obtained with a white light interferometer.
- The microhardness of the surface of the formed part was measured using an HVS-1000 type microhardness tester, with measurements taken at 5 points spaced 2 mm apart along the X-axis.
- Surface residual stress of the formed part was measured using an LXRD-type X-ray stress gauge from the Proto company along the central line of length (Y-axis direction) at intervals of 2 mm, with a total of 5 measurement points.
- Pole figures, grain boundary maps, and grain boundary misorientation distributions on the surface of the formed part were obtained using electron backscatter diffraction (EBSD) technology.
3. Experimental Results and Analysis
3.1. Influence of Absorbing Layers on Formed Plates
3.2. Effect of the Number of Laser Shock Forming Plates
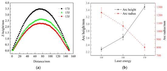
3.3. Effect of Laser Energy on Plate Deformation
3.4. Actual Carbon Steel Forming Skin Deformation and Surface Quality Analysis
4. Conclusions
- Among different kinds of absorption layers for carbon steel Q355ME plate laser shock forming, black tape exhibits the strongest forming ability. Due to aluminum foil’s paste and de-gluing difficulties, the forming ability is weaker than that of the black tape. No absorption layer forming plate surface ablation occurs on the surface of the negative impact.
- With the increase in laser energy and shock times, the deformation, surface roughness, microhardness, and residual stress of the formed sheet will increase, and the increase will decrease due to surface hardening. The increase in laser energy is linearly positively correlated with the increase in residual stress in a certain energy range.
- The maximum error between the actual formed sheet and the actual skin model is within ± 3 mm, and the overall large-area error of the skin is within ± 0.4 mm. Compared with the standard model, the error between the actual skin-forming part and the standard model is very small. The surface introduces a large residual compressive stress and improves the surface microhardness. Multiple laser shock peening causes the surface of the formed sheet to undergo ultra-high strain plastic deformation and grain refinement. Laser shock peening technology can form carbon steel skin parts while improving surface properties.
- After multiple laser shocks, the peak value of the low-angle region of the grain boundary orientation angle distribution curve increases significantly, and the proportion increases further, while the proportion of high-angle grain boundaries decreases relatively.
Author Contributions
Funding
Institutional Review Board Statement
Informed Consent Statement
Data Availability Statement
Conflicts of Interest
References
- De Jesus, A.M.P.; Matos, R.; Fontoura, B.F.C.; Rebelo, C.; Simões Da Silva, L.; Veljkovic, M. A comparison of the fatigue behavior between S355 and S690 steel grades. J. Constr. Steel Res. 2012, 79, 140–150. [Google Scholar] [CrossRef]
- Forni, D.; Chiaia, B.; Cadoni, E. High strain rate response of S355 at high temperatures. Mater. Des. 2016, 94, 467–478. [Google Scholar] [CrossRef]
- Bastidas, D.M.; Gil, A.; Martin, U.; Ress, J.; Medina, S.F. Fatigue failure of ball joint heads connected to the weight holder mechanism in railway applications. Eng. Fail. Anal. 2021, 129, 105690. [Google Scholar] [CrossRef]
- Nonaka, I.; Setowaki, S.; Ichikawa, Y. Effect of load frequency on high cycle fatigue strength of bullet train axle steel. Int. J. Fatigue 2014, 60, 43–47. [Google Scholar] [CrossRef]
- Luong, H.; Hill, M.R. The effects of laser peening and shot peening on high cycle fatigue in 7050-T7451 aluminum alloy. Mater. Sci. Eng. A 2010, 527, 699–707. [Google Scholar] [CrossRef]
- Achintha, M.; Nowell, D.; Fufari, D.; Sackett, E.E.; Bache, M.R. Fatigue behavior of geometric features subjected to laser shock peening: Experiments and modeling. Int. J. Fatigue 2014, 62, 171–179. [Google Scholar] [CrossRef]
- Li, K.; Cai, Y.; Yu, Z.; Hu, J. Formation mechanism of residual stress hole under different pulse durations and shock pressure distributions in Ti6Al4V alloy during laser peen texturing. Opt. Laser Technol. 2020, 130, 106361. [Google Scholar] [CrossRef]
- Yang, Y.Q.; Qiao, H.C.; Lu, Y.; Zhao, J.B.; Sun, B.Y. The plastic flow mechanism and precise forming method of 7075 aluminum plate in laser shock forming. Opt. Laser Technol. 2023, 167, 109823. [Google Scholar] [CrossRef]
- Sala, S.T.; Keller, S.; Chupakhin, S.; Pöltl, D.; Klusemann, B.; Kashaev, N. Effect of laser peen forming process parameters on bending and surface quality of Ti-6Al-4V sheets. J. Mater. Process. Technol. 2022, 305, 117578. [Google Scholar] [CrossRef]
- Man, J.X.; Yang, H.F.; Wang, Y.F.; Chen, H.X.; Xiong, F. Study on controllable surface morphology of the micro-pattern fabricated on metallic foil by laser shock imprinting. Opt. Laser Technol. 2019, 119, 105669. [Google Scholar] [CrossRef]
- Zhang, X.Q.; Zhu, R.; Fang, J.X.; Guo, L.; Wang, Z.Y.; Zuo, L.S.; Duan, S.W. Microstructure evolution of 2024 aluminum alloy subjected to two stage laser shock sheet forming. Mater. Charact. 2024, 209, 113753. [Google Scholar] [CrossRef]
- Maharjan, N.; Ramesh, T.; Wang, Z.C. High energy laser shock peening of Ti6A l4V alloy without any protective coating. Appl. Surf. Sci. 2023, 638, 158110. [Google Scholar] [CrossRef]
- Huang, X.; Zeng, Y.S.; Wang, M.T.; Zou, S.K. Experimental study on laser peen forming of aluminum alloy 2024-T351 plate. IOP Conf. Ser. Mater. Sci. Eng. 2022, 1270, 012014. [Google Scholar] [CrossRef]
- Liu, H.L.; Yang, H.J.; Tong, Z.P.; Zhou, W.F.; Ye, Y.X.; Ren, X.D. Enhancing the forming quality of Al2024-T351 sheets in laser peen forming through a novel energy sequence arrangement strategy. J. Manuf. Process. 2023, 102, 814–826. [Google Scholar] [CrossRef]
- Zhang, Z.; Kong, J.; Yue, X. Determination of in-plane residual stress and eigenstrain in laser peened thin sheet using unit pulse function and equilibrium constraint. Opt. Laser Technol. 2023, 161, 109209. [Google Scholar] [CrossRef]
- Ye, Y.X.; Zeng, R.; Nie, Z.; Ren, Y.P.; Ren, X.D. Researches on the curvature adjustment of metal sheet induced by laser shock forming through experiments and simulations. Int. J. Adv. Manuf. Technol. 2020, 108, 2791–2802. [Google Scholar] [CrossRef]
- Keller, S.; Chupakhin, S.; Staron, P.; Maawad, E.; Kashaev, N.; Klusemann, B. Experimental and numerical investigation of residual stresses in laser shock peened AA2198. J. Mater. Process. Tech. 2017, 255, 294–307. [Google Scholar] [CrossRef]
- Lu, G.X.; Liu, J.D.; Qiao, H.C.; Cui, C.Y.; Zhou, Y.Z.; Jin, T.; Zhao, J.B.; Sun, X.F.; Hu, Z.Q. The Local Microscale Reverse Deformation of Metallic Material under Laser Shock. Adv. Eng. Mater. 2017, 19, 1600672. [Google Scholar] [CrossRef]
- Lu, G.X.; Liu, J.D.; Zhou, Y.Z.; Sun, X.F. Differences in microscale surface contours of metallic targets subjected to laser shock. Opt. Commun. 2018, 436, 188–191. [Google Scholar] [CrossRef]
- Li, Z.J.; Gu, H.; Qian, L.L.; Ren, X.D. Thermodynamic Behavior of Gaussian/Flat-Top Laser Powder Bed Fusion. Chin. J. Lasers 2025, 52, 1202304. [Google Scholar]
- Li, X.; He, W.; Nie, X.; Yang, Z.; Luo, S.; Li, Y.; Tian, L. Regularity of Residual Stress Distribution in Titanium Alloys Induced by Laser Shock Peening with Different Energy Spatial Distributions. Laser Optoelectron. Prog. 2018, 55, 061402. [Google Scholar] [CrossRef]
- Fabbro, R.; Fournier, J.; Ballard, P.; Devaux, D. Physical study of laser-produced plasma in confined geometry. J. Appl. Phys. 1990, 68, 775–784. [Google Scholar] [CrossRef]
- Hu, Y.X.; Xu, X.X.; Yao, Z.Q.; Hu, J. Laser peen forming induced two way bending of thin sheet metals and its mechanisms. J. Appl. Phys. 2010, 108, 073117. [Google Scholar] [CrossRef]
- Lu, J.Z.; Luo, K.Y.; Zhang, Y.K.; Cui, C.Y.; Sun, G.F.; Zhou, J.Z.; Zhang, L.; You, J.; Chen, K.M.; Zhong, J.W. Grain refinement of LY2 aluminum alloy induced by ultra-high plastic strain during multiple laser shock processing impacts. Acta Mater. 2010, 58, 3984–3994. [Google Scholar] [CrossRef]
- Wang, X.F.; Guo, M.X.; Zhang, Y.; Xing, H.; Li, Y.; Luo, J.R.; Zhang, J.S.; Zhuang, L.Z. The dependence of microstructure, texture evolution and mechanical properties of Al–Mg–Si–Cu alloy sheet on final cold rolling deformation. J. Alloys Compd. 2016, 657, 906–916. [Google Scholar] [CrossRef]
- Hosseinifar, A.; Dehghani, K. Microstructure and Texture Evolution of Al0.3CoCrFeNi High-Entropy Alloy After Cold Rolling Deformation. Trans. Indian Inst. Met. 2024, 77, 1467–1479. [Google Scholar] [CrossRef]
- Bakr, A.T.; Ali, J.A.; Adawiya, J.H.; Ahmed, C.K.; Ahmad, S.A.; Norhana, A. Needle-Free Targeted Injections Using Bubble Laser Technology in Therapeutics. Langmuir 2024, 40, 23549–23561. [Google Scholar] [CrossRef] [PubMed]

























| Residual Stress/MPa | Microhardness/HV | Surface Roughness/μm |
|---|---|---|
| −325.14 | 235.7 | 3.067 |
Disclaimer/Publisher’s Note: The statements, opinions and data contained in all publications are solely those of the individual author(s) and contributor(s) and not of MDPI and/or the editor(s). MDPI and/or the editor(s) disclaim responsibility for any injury to people or property resulting from any ideas, methods, instructions or products referred to in the content. |
© 2025 by the authors. Licensee MDPI, Basel, Switzerland. This article is an open access article distributed under the terms and conditions of the Creative Commons Attribution (CC BY) license (https://creativecommons.org/licenses/by/4.0/).
Share and Cite
Ma, M.; Cao, X.; Chen, J.; Huang, W.; Zhu, R.; Sun, B. Influence of Laser Shock Forming Parameters on Deformation Behavior and Dimensional Precision of Q355ME Carbon Steel Skin Components. Coatings 2025, 15, 1044. https://doi.org/10.3390/coatings15091044
Ma M, Cao X, Chen J, Huang W, Zhu R, Sun B. Influence of Laser Shock Forming Parameters on Deformation Behavior and Dimensional Precision of Q355ME Carbon Steel Skin Components. Coatings. 2025; 15(9):1044. https://doi.org/10.3390/coatings15091044
Chicago/Turabian StyleMa, Mingming, Xianrong Cao, Jun Chen, Weimin Huang, Ran Zhu, and Boyu Sun. 2025. "Influence of Laser Shock Forming Parameters on Deformation Behavior and Dimensional Precision of Q355ME Carbon Steel Skin Components" Coatings 15, no. 9: 1044. https://doi.org/10.3390/coatings15091044
APA StyleMa, M., Cao, X., Chen, J., Huang, W., Zhu, R., & Sun, B. (2025). Influence of Laser Shock Forming Parameters on Deformation Behavior and Dimensional Precision of Q355ME Carbon Steel Skin Components. Coatings, 15(9), 1044. https://doi.org/10.3390/coatings15091044
