Reactive Aerosol Jet Printing of Ag Nanoparticles: A New Tool for SERS Substrate Preparation
Abstract
1. Introduction
2. Materials and Methods
2.1. Reactive Aerosol Jet Printing (r-AJP) System
2.2. Ag Deposition by r-AJP
2.3. CFD Simulation
2.4. Characterization
3. Results
3.1. r-AJP System and Modeling
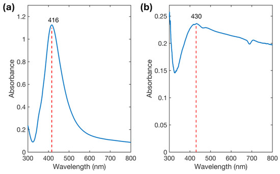
3.2. Characterization of Printed Ag Substrates
3.3. SERS Behavior of Ag Substrates
4. Conclusions
Supplementary Materials
Author Contributions
Funding
Institutional Review Board Statement
Informed Consent Statement
Data Availability Statement
Conflicts of Interest
References
- He, Q.; Wang, B.; Liang, J.; Liu, J.; Liang, B.; Li, G.; Long, Y.; Zhang, G.; Liu, H. Research on the Construction of Portable Electrochemical Sensors for Environmental Compounds Quality Monitoring. Mater. Today Adv. 2023, 17, 100340. [Google Scholar] [CrossRef]
- Liu, X.; Guo, J.; Li, Y.; Wang, B.; Yang, S.; Chen, W.; Wu, X.; Guo, J.; Ma, X. SERS Substrate Fabrication for Biochemical Sensing: Towards Point-of-Care Diagnostics. J. Mater. Chem. B 2021, 9, 8378–8388. [Google Scholar] [CrossRef]
- Khatib, M.; Haick, H. Sensors for Volatile Organic Compounds. ACS Nano 2022, 16, 7080–7115. [Google Scholar] [CrossRef]
- Olorunyomi, J.F.; Geh, S.T.; Caruso, R.A.; Doherty, C.M. Metal–Organic Frameworks for Chemical Sensing Devices. Mater. Horiz. 2021, 8, 2387–2419. [Google Scholar] [CrossRef] [PubMed]
- Shruti, A.; Bage, N.; Kar, P. Nanomaterials Based Sensors for Analysis of Food Safety. Food Chem. 2024, 433, 137284. [Google Scholar] [CrossRef] [PubMed]
- Khan, S.; Monteiro, J.K.; Prasad, A.; Filipe, C.D.M.; Li, Y.; Didar, T.F. Material Breakthroughs in Smart Food Monitoring: Intelligent Packaging and On-Site Testing Technologies for Spoilage and Contamination Detection. Adv. Mater. 2024, 36, 2300875. [Google Scholar] [CrossRef] [PubMed]
- Mohan, B.; Priyanka; Singh, G.; Chauhan, A.; Pombeiro, A.J.L.; Ren, P. Metal-Organic Frameworks (MOFs) Based Luminescent and Electrochemical Sensors for Food Contaminant Detection. J. Hazard. Mater. 2023, 453, 131324. [Google Scholar] [CrossRef]
- Rehman, A.U.; Crimi, M.; Andreescu, S. Current and Emerging Analytical Techniques for the Determination of PFAS in Environmental Samples. Trends Environ. Anal. Chem. 2023, 37, e00198. [Google Scholar] [CrossRef]
- Pellizzaro, A.; Zaggia, A.; Fant, M.; Conte, L.; Falletti, L. Identification and Quantification of Linear and Branched Isomers of Perfluorooctanoic and Perfluorooctane Sulfonic Acids in Contaminated Groundwater in the Veneto Region. J. Chromatogr. A 2018, 1533, 143–154. [Google Scholar] [CrossRef]
- Richardson, S.D.; Ternes, T.A. Water Analysis: Emerging Contaminants and Current Issues. Anal. Chem. 2018, 90, 398–428. [Google Scholar] [CrossRef]
- Sharma, B.; Frontiera, R.R.; Henry, A.-I.; Ringe, E.; Van Duyne, R.P. SERS: Materials, Applications, and the Future. Mater. Today 2012, 15, 16–25. [Google Scholar] [CrossRef]
- Jeanmaire, D.L.; Van Duyne, R.P. Surface Raman Spectroelectrochemistry: Part I. Heterocyclic, Aromatic, and Aliphatic Amines Adsorbed on the Anodized Silver Electrode. J. Electroanal. Chem. Interfacial Electrochem. 1977, 84, 1–20. [Google Scholar] [CrossRef]
- Albrecht, M.G.; Creighton, J.A. Anomalously Intense Raman Spectra of Pyridine at a Silver Electrode. J. Am. Chem. Soc. 1977, 99, 5215–5217. [Google Scholar] [CrossRef]
- Jin, J.; Guo, Z.; Fan, D.; Zhao, B. Spotting the Driving Forces for SERS of Two-Dimensional Nanomaterials. Mater. Horiz. 2023, 10, 1087–1104. [Google Scholar] [CrossRef] [PubMed]
- Jin, S.; Zhang, D.; Yang, B.; Guo, S.; Chen, L.; Jung, Y.M. Noble Metal-Free SERS: Mechanisms and Applications. Analyst 2023, 149, 11–28. [Google Scholar] [CrossRef]
- Fan, M.; Andrade, G.F.S.; Brolo, A.G. A Review on the Fabrication of Substrates for Surface Enhanced Raman Spectroscopy and Their Applications in Analytical Chemistry. Anal. Chim. Acta 2011, 693, 7–25. [Google Scholar] [CrossRef]
- Srivastava, K.; Le-The, H.; Lozeman, J.J.A.; van den Berg, A.; van der Stam, W.; Odijk, M. Prospects of Nano-Lithographic Tools for the Fabrication of Surface-Enhanced Raman Spectroscopy (SERS) Substrates. Micro Nano Eng. 2024, 23, 100267. [Google Scholar] [CrossRef]
- Malik, U.; Hubesch, R.; Koley, P.; Mazur, M.; Mehla, S.; Butti, S.K.; Brandt, M.; Selvakannan, P.R.; Bhargava, S. Surface Functionalized 3D Printed Metal Structures as next Generation Recyclable SERS Substrates. Chem. Commun. 2023, 59, 13406–13420. [Google Scholar] [CrossRef] [PubMed]
- Siddiqui, H.; Singh, N.; Katiyar, D.; Naidu, P.; Mishra, S.; Chandra Prasad, H.; Akram Khan, M.; Ashiq, M.; Sathish, N.; Kumar, S. Electrochemical Additive Manufacturing (ECAM): A New Approach to Fabricate Metal Nanostructures. Mater. Today Proc. 2023, 72, 2741–2748. [Google Scholar] [CrossRef]
- Jaitpal, S.; Chavva, S.R.; Mabbott, S. 3D Printed SERS-Active Thin-Film Substrates Used to Quantify Levels of the Genotoxic Isothiazolinone. ACS Omega 2022, 7, 2850–2860. [Google Scholar] [CrossRef]
- Godoy, N.V.; García-Lojo, D.; Sigoli, F.A.; Pérez-Juste, J.; Pastoriza-Santos, I.; Mazali, I.O. Ultrasensitive Inkjet-Printed Based SERS Sensor Combining a High-Performance Gold Nanosphere Ink and Hydrophobic Paper. Sens. Actuators B Chem. 2020, 320, 128412. [Google Scholar] [CrossRef]
- Ricci, S.; Buonomo, M.; Casalini, S.; Bonacchi, S.; Meneghetti, M.; Litti, L. High Performance Multi-Purpose Nanostructured Thin Films by Inkjet Printing: Au Micro-Electrodes and SERS Substrates. Nanoscale Adv. 2023, 5, 1970–1977. [Google Scholar] [CrossRef]
- Deng, R.; Xia, Z.; Yan, F.; Feng, X.; Zhang, G.; Li, X. Inkjet Printing Patterned Plasmonic SERS Platform with Surface-Optimized Paper for Label-Free Detection of Illegal Drugs in Urine. Anal. Chem. 2024, 96, 16834–16841. [Google Scholar] [CrossRef] [PubMed]
- Fisher, C.; Skolrood, L.N.; Li, K.; Joshi, P.C.; Aytug, T. Aerosol-Jet Printed Sensors for Environmental, Safety, and Health Monitoring: A Review. Adv. Mater. Technol. 2023, 8, 2300030. [Google Scholar] [CrossRef]
- Habermehl, A.; Eckstein, R.; Strobel, N.; Bolse, N.; Hernandez-Sosa, G.; Mertens, A.; Eschenbaum, C.; Lemmer, U. Microfluidic Surface-Enhanced Raman Analysis Systems by Aerosol Jet Printing: Towards Low-Cost Integrated Sensor Systems. In Proceedings of the 2017 IEEE Sensors Conference, Glasgow, UK, 29 October–1 November 2017; pp. 1–3. [Google Scholar]
- Habermehl, A.; Strobel, N.; Eckstein, R.; Bolse, N.; Mertens, A.; Hernandez-Sosa, G.; Eschenbaum, C.; Lemmer, U. Lab-on-Chip, Surface-Enhanced Raman Analysis by Aerosol Jet Printing and Roll-to-Roll Hot Embossing. Sensors 2017, 17, 2401. [Google Scholar] [CrossRef]
- McDonnell, C.; Albarghouthi, F.M.; Selhorst, R.; Kelley-Loughnane, N.; Franklin, A.D.; Rao, R. Aerosol Jet Printed Surface-Enhanced Raman Substrates: Application for High-Sensitivity Detection of Perfluoroalkyl Substances. ACS Omega 2023, 8, 1597–1605. [Google Scholar] [CrossRef]
- Zeng, M.; Du, Y.; Jiang, Q.; Kempf, N.; Wei, C.; Bimrose, M.V.; Tanvir, A.N.M.; Xu, H.; Chen, J.; Kirsch, D.J.; et al. High-Throughput Printing of Combinatorial Materials from Aerosols. Nature 2023, 617, 292–298. [Google Scholar] [CrossRef] [PubMed]
- Gozutok Onses, Z.; Kiremitler, N.B.; Ozbasaran, A.; Huang, X.; Onses, M.S.; Usta, H. Inkjet Printing of Aqueous Silver Inks on Water-Soluble Fabrics for Transient Electronics Applications. ACS Appl. Electron. Mater. 2024, 6, 5599–5607. [Google Scholar] [CrossRef]
- Soleimani-Gorgani, A.; Avinc, O.; Alborz, R. Sustainable Antibacterial Cotton Fabrics with in Situ Formed Silver Nanoparticles by Bio-Inkjet Printing. J. Clean. Prod. 2023, 386, 135796. [Google Scholar] [CrossRef]
- Sui, Y.; Radwan, A.N.; Gopalakrishnan, A.; Dikshit, K.; Bruns, C.J.; Zorman, C.A.; Whiting, G.L. A Reactive Inkjet Printing Process for Fabricating Biodegradable Conductive Zinc Structures. Adv. Eng. Mater. 2023, 25, 2200529. [Google Scholar] [CrossRef]
- Xiao, Y.; Li, Q.; Zhang, C.; Zhang, W.; Yun, W.; Yang, L. Fabrication of Silver Electrical Circuits on Textile Substrates by Reactive Inkjet Printing. IEEE Sens. J. 2022, 22, 11056–11064. [Google Scholar] [CrossRef]
- Albertazzi, J.; Florit, F.; Busini, V.; Rota, R. Influence of Buoyancy Effects on the Mixing Process and RTD in a Side-Injection Reactor Equipped with Static Mixers. Ind. Eng. Chem. Res. 2021, 60, 16490–16497. [Google Scholar] [CrossRef]
- Wan, Y.; Guo, Z.; Jiang, X.; Fang, K.; Lu, X.; Zhang, Y.; Gu, N. Quasi-Spherical Silver Nanoparticles: Aqueous Synthesis and Size Control by the Seed-Mediated Lee–Meisel Method. J. Colloid. Interface Sci. 2013, 394, 263–268. [Google Scholar] [CrossRef]
- Meng, H.; Wang, J.; Yu, Y.; Wang, Z.; Wu, J. CFD–PBM Numerical Study on Liquid–Liquid Dispersion in the Q-Type Static Mixer. Ind. Eng. Chem. Res. 2021, 60, 18121–18135. [Google Scholar] [CrossRef]
- Albertazzi, J.; Busini, V.; Rota, R. Comparison through a CFD Approach of Static Mixers in an Emulsification Process. Int. J. Thermofluids 2024, 22, 100708. [Google Scholar] [CrossRef]
- Albertazzi, J.; Florit, F.; Busini, V.; Rota, R. Mixing Efficiency and Residence Time Distributions of a Side-Injection Tubular Reactor Equipped with Static Mixers. Ind. Eng. Chem. Res. 2021, 60, 10595–10602. [Google Scholar] [CrossRef]
- Phuong, N.T.T.; Nguyen, T.-A.; Huong, V.T.; Tho, L.H.; Anh, D.T.; Ta, H.K.T.; Huy, T.H.; Trinh, K.T.L.; Tran, N.H.T. Sensors for Detection of the Synthetic Dye Rhodamine in Environmental Monitoring Based on SERS. Micromachines 2022, 13, 1840. [Google Scholar] [CrossRef]
- He, S.; Chua, J.; Tan, E.K.M.; Kah, J.C.Y. Optimizing the SERS Enhancement of a Facile Gold Nanostar Immobilized Paper-Based SERS Substrate. RSC Adv. 2017, 7, 16264–16272. [Google Scholar] [CrossRef]
- Solanki, J.N.; Murthy, Z.V.P. Controlled Size Silver Nanoparticles Synthesis with Water-in-Oil Microemulsion Method: A Topical Review. Ind. Eng. Chem. Res. 2011, 50, 12311–12323. [Google Scholar] [CrossRef]
- Rivera-Rangel, R.D.; González-Muñoz, M.P.; Avila-Rodriguez, M.; Razo-Lazcano, T.A.; Solans, C. Green Synthesis of Silver Nanoparticles in Oil-in-Water Microemulsion and Nano-Emulsion Using Geranium Leaf Aqueous Extract as a Reducing Agent. Colloids Surf. A Physicochem. Eng. Asp. 2018, 536, 60–67. [Google Scholar] [CrossRef]
- Guo, X.; Deng, D.; Tian, Q.; Jiao, C. One-Step Synthesis of Micro-Sized Hexagon Silver Sheets by the Ascorbic Acid Reduction with the Presence of H2SO4. Adv. Powder Technol. 2014, 25, 865–870. [Google Scholar] [CrossRef]
- Mushran, S.P.; Agrawal, M.C.; Mehrotra, R.M.; Sanehi, R. Kinetics and Mechanism of Reduction of Silver(I) by Ascorbic Acid. J. Chem. Soc. Dalton Trans. 1974, 1460–1462. [Google Scholar] [CrossRef]
- Matsui, T.; Kitagawa, Y.; Okumura, M.; Shigeta, Y. Accurate Standard Hydrogen Electrode Potential and Applications to the Redox Potentials of Vitamin C and NAD/NADH. J. Phys. Chem. A 2015, 119, 369–376. [Google Scholar] [CrossRef]
- Wang, S.; Xi, S.; Pan, R.; Yang, Y.; Luan, Z.; Yan, J.; Zhang, X. One-Step Method to Prepare Coccinellaseptempunctate-like Silver Nanoparticles for High Sensitivity SERS Detection. Surf. Interfaces 2022, 35, 102440. [Google Scholar] [CrossRef]
- Ukahapunyakul, P.; Gridsadanurak, N.; Sapcharoenkun, C.; Treetong, A.; Kasamechonchung, P.; Khemthong, P.; Horprathum, M.; Porntheeraphat, S.; Wongwiriyapan, W.; Nukeaw, J.; et al. Texture Orientation of Silver Thin Films Grown via Gas-Timing Radio Frequency Magnetron Sputtering and Their SERS Activity. RSC Adv. 2016, 6, 7661–7667. [Google Scholar] [CrossRef]
- Liu, C.; Xu, X.; Hu, W.; Yang, X.; Zhou, P.; Qiu, G.; Ye, W.; Li, Y.; Jiang, C. Synthesis of Clean Cabbagelike (111) Faceted Silver Crystals for Efficient Surface-Enhanced Raman Scattering Sensing of Papaverine. Anal. Chem. 2018, 90, 9805–9812. [Google Scholar] [CrossRef]
- Cheng, Z.-Q.; Li, Z.-W.; Xu, J.-H.; Yao, R.; Li, Z.-L.; Liang, S.; Cheng, G.-L.; Zhou, Y.-H.; Luo, X.; Zhong, J. Morphology-Controlled Fabrication of Large-Scale Dendritic Silver Nanostructures for Catalysis and SERS Applications. Nanoscale Res. Lett. 2019, 14, 89. [Google Scholar] [CrossRef]
- Guselnikova, O.; Lim, H.; Kim, H.-J.; Kim, S.H.; Gorbunova, A.; Eguchi, M.; Postnikov, P.; Nakanishi, T.; Asahi, T.; Na, J.; et al. New Trends in Nanoarchitectured SERS Substrates: Nanospaces, 2D Materials, and Organic Heterostructures. Small 2022, 18, 2107182. [Google Scholar] [CrossRef] [PubMed]
- Senthil Kumar, P.; Pastoriza-Santos, I.; Rodríguez-González, B.; Javier García de Abajo, F.; Liz-Marzán, L.M. High-Yield Synthesis and Optical Response of Gold Nanostars. Nanotechnology 2007, 19, 015606. [Google Scholar] [CrossRef]
- Das, R.; Nath, S.S.; Chakdar, D.; Gope, G.; Bhattacharjee, R. Synthesis of Silver Nanoparticles and Their Optical Properties. J. Exp. Nanosci. 2010, 5, 357–362. [Google Scholar] [CrossRef]
- Jain, P.K.; Huang, X.; El-Sayed, I.H.; El-Sayed, M.A. Review of Some Interesting Surface Plasmon Resonance-Enhanced Properties of Noble Metal Nanoparticles and Their Applications to Biosystems. Plasmonics 2007, 2, 107–118. [Google Scholar] [CrossRef]
- Mock, J.J.; Barbic, M.; Smith, D.R.; Schultz, D.A.; Schultz, S. Shape Effects in Plasmon Resonance of Individual Colloidal Silver Nanoparticles. J. Chem. Phys. 2002, 116, 6755–6759. [Google Scholar] [CrossRef]
- Zeng, J.; Jia, H.; An, J.; Han, X.; Xu, W.; Zhao, B.; Ozaki, Y. Preparation and SERS Study of Triangular Silver Nanoparticle Self-Assembled Films. J. Raman Spectrosc. 2008, 39, 1673–1678. [Google Scholar] [CrossRef]
- Mosier-Boss, P.A. Review of SERS Substrates for Chemical Sensing. Nanomaterials 2017, 7, 142. [Google Scholar] [CrossRef]
- Guerrini, L.; Graham, D. Molecularly-Mediated Assemblies of Plasmonic Nanoparticles for Surface-Enhanced Raman Spectroscopy Applications. Chem. Soc. Rev. 2012, 41, 7085–7107. [Google Scholar] [CrossRef]
- Lee, C.; Robertson, C.S.; Nguyen, A.H.; Kahraman, M.; Wachsmann-Hogiu, S. Thickness of a Metallic Film, in Addition to Its Roughness, Plays a Significant Role in SERS Activity. Sci. Rep. 2015, 5, 11644. [Google Scholar] [CrossRef]
- Sayson, L.V.A.; Taaca, K.L.M.; Madera, R.G.B.; Vasquez, M.R.; Regulacio, M.D. Green-Synthesized Ag Hierarchical Assemblies for SERS Detection of Rhodamine Dye. Nano Express 2024, 5, 035013. [Google Scholar] [CrossRef]
- Le Ru, E.C.; Blackie, E.; Meyer, M.; Etchegoin, P.G. Surface Enhanced Raman Scattering Enhancement Factors: A Comprehensive Study. J. Phys. Chem. C 2007, 111, 13794–13803. [Google Scholar] [CrossRef]
- Pilot, R.; Bozio, R. Validation of SERS Enhancement Factor Measurements. J. Raman Spectrosc. 2018, 49, 462–471. [Google Scholar] [CrossRef]
- Cañamares, M.V.; Garcia-Ramos, J.V.; Sanchez-Cortes, S.; Castillejo, M.; Oujja, M. Comparative SERS Effectiveness of Silver Nanoparticles Prepared by Different Methods: A Study of the Enhancement Factor and the Interfacial Properties. J. Colloid. Interface Sci. 2008, 326, 103–109. [Google Scholar] [CrossRef] [PubMed]
- Lu, Y.; Zhang, C.-Y.; Zhang, D.-J.; Hao, R.; Hao, Y.-W.; Liu, Y.-Q. Fabrication of Flower-like Silver Nanoparticles for Surface-Enhanced Raman Scattering. Chin. Chem. Lett. 2016, 27, 689–692. [Google Scholar] [CrossRef]
- Zhu, J.; Sun, L.; Shan, Y.; Zhi, Y.; Chen, J.; Dou, B.; Su, W. Green Preparation of Silver Nanofilms as SERS-Active Substrates for Rhodamine 6G Detection. Vacuum 2021, 187, 110096. [Google Scholar] [CrossRef]
- Nguyen, M.V.; Huy, B.T.; Kim, J.; Lee, Y.-I. Ultrasensitive SERS Substrate with High Enhancement Factor: Silver Nanoparticles on Silica Nanospheres for Trace Detection of Rhodamine B, Thiabendazole, and Melamine. Microchem. J. 2025, 215, 114082. [Google Scholar] [CrossRef]
- Tran Truc Phuong, N.; Xoan Hoang, T.; La Ngoc Tran, N.; Gia Phuc, L.; Phung, V.-D.; Kieu Thi Ta, H.; Ngoc Bach, T.; Hoa Thi Tran, N.; The Loan Trinh, K. Rapid and Sensitive Detection of Rhodamine B in Food Using the Plasmonic Silver Nanocube-Based Sensor as SERS Active Substrate. Spectrochim. Acta Part A Mol. Biomol. Spectrosc. 2021, 263, 120179. [Google Scholar] [CrossRef]
- Kamal, S.; Chowdhury, A.; Chung-Kuang Yang, T. Ultrasensitive SERS Detection of Rhodamine 6G Using a Silver Enriched MOF-Derived CuFe2O4 Microcubes Substrate. Spectrochim. Acta Part A Mol. Biomol. Spectrosc. 2022, 270, 120826. [Google Scholar] [CrossRef]
- Wang, J.; Qiu, C.; Mu, X.; Pang, H.; Chen, X.; Liu, D. Ultrasensitive SERS Detection of Rhodamine 6G and p-Nitrophenol Based on Electrochemically Roughened Nano-Au Film. Talanta 2020, 210, 120631. [Google Scholar] [CrossRef] [PubMed]





Disclaimer/Publisher’s Note: The statements, opinions and data contained in all publications are solely those of the individual author(s) and contributor(s) and not of MDPI and/or the editor(s). MDPI and/or the editor(s) disclaim responsibility for any injury to people or property resulting from any ideas, methods, instructions or products referred to in the content. |
© 2025 by the authors. Licensee MDPI, Basel, Switzerland. This article is an open access article distributed under the terms and conditions of the Creative Commons Attribution (CC BY) license (https://creativecommons.org/licenses/by/4.0/).
Share and Cite
Gibertini, E.; Gervasini, L.F.; Albertazzi, J.; Facchetti, L.M.; Tommasini, M.; Busini, V.; Magagnin, L. Reactive Aerosol Jet Printing of Ag Nanoparticles: A New Tool for SERS Substrate Preparation. Coatings 2025, 15, 900. https://doi.org/10.3390/coatings15080900
Gibertini E, Gervasini LF, Albertazzi J, Facchetti LM, Tommasini M, Busini V, Magagnin L. Reactive Aerosol Jet Printing of Ag Nanoparticles: A New Tool for SERS Substrate Preparation. Coatings. 2025; 15(8):900. https://doi.org/10.3390/coatings15080900
Chicago/Turabian StyleGibertini, Eugenio, Lydia Federica Gervasini, Jody Albertazzi, Lorenzo Maria Facchetti, Matteo Tommasini, Valentina Busini, and Luca Magagnin. 2025. "Reactive Aerosol Jet Printing of Ag Nanoparticles: A New Tool for SERS Substrate Preparation" Coatings 15, no. 8: 900. https://doi.org/10.3390/coatings15080900
APA StyleGibertini, E., Gervasini, L. F., Albertazzi, J., Facchetti, L. M., Tommasini, M., Busini, V., & Magagnin, L. (2025). Reactive Aerosol Jet Printing of Ag Nanoparticles: A New Tool for SERS Substrate Preparation. Coatings, 15(8), 900. https://doi.org/10.3390/coatings15080900

