Next Article in Journal
Tuning Nanocrystalline Heterostructures for Enhanced Corrosion Resistance: A Study on Electrodeposited Ni Coatings
Previous Article in Journal
Development of a Prototype of Industrial Installation for the Deposition of Self-Restoring Nitride Coatings on Reed Switch Contacts
 
 
Font Type:
Arial Georgia Verdana
Font Size:
Aa Aa Aa
Line Spacing:
Column Width:
Background:
Article

A Study on the Spectral Characteristics of 83.4 nm Extreme Ultraviolet Filters

1
Changchun Institute of Optics, Fine Mechanics and Physics, Chinese Academy of Sciences, Changchun 130033, China
2
University of Chinese Academy of Sciences, Beijing 100049, China
3
Shanghai Institute of Satellite Engineering, Shanghai 200240, China
*
Author to whom correspondence should be addressed.
Coatings 2025, 15(5), 535; https://doi.org/10.3390/coatings15050535
Submission received: 2 April 2025 / Revised: 21 April 2025 / Accepted: 23 April 2025 / Published: 30 April 2025

Abstract

Extreme ultraviolet (EUV) imagers are key tools to monitor the space environment and forecast space weather. EUV filters are important components to block radiation in the ultraviolet (UV), visible, and near-infrared (IR) regions. In this study, various characterization methods were proposed for the nickel mesh-supported indium (In) filter, and their spectral characteristics were comprehensively studied. The material and thickness of the filter were chosen based on atomic scattering principles, determined through theoretical calculation and software simulation. The metal film was deposited using the vacuum-resistive thermal evaporation method. The measured transmission of the filter was 10.06% at 83.4 nm. The surface elements of the sample were analyzed using X-ray photoelectron spectroscopy (XPS). The surface and cross-sectional morphologies of the filter were observed using a scanning electron microscope (SEM). The impact of the oxide layer and carbon contamination on the filter’s transmittance was investigated using an ellipsometer. A multilayer “In-In2O3-C” model was established to determine the thickness of both the oxide layer and carbon contamination layer on the filter. This model introduces the filling factor based on the original model and considers the diffusion of the contamination layer, resulting in more accurate fitting results. The transmittance of the filter in the visible light range was measured using a UV-VIS spectrophotometer, and the measurement error was analyzed. This article provides preparation methods and test methods for the 83.4 nm EUV filter and conducts a detailed analysis of the spectral characteristics of the prepared optical filters, which hold significant value for space exploration applications.

1. Introduction

The EUV radiation covers a wavelength range from approximately 10 nm to 100 nm. The measurement of the EUV airglow radiation of the Earth’s atmosphere is an important space-based remote sensing method for studying the Earth’s ionosphere and thermosphere. In the ionospheric F-layer region, the oxygen ion concentration accounts for 95% of the total ion concentration, which can be approximately equivalent to the total plasma density in this region; therefore, the distribution of electron density can be obtained by measuring the O+-related airglow emission. As a key payload on satellites, the EUV imager can detect the edge of the 83.4 nm wavelength band to acquire information on ionospheric extension and peak electron density during the day. These data play a vital role in studying the relationship between solar activity and geomagnetic activity [1,2].
Space EUV imaging instruments are crucial for EUV observation, which are mainly made of three parts: a multilayer mirror, a metal filter and a microchannel plate detector. In most cases, metal filters are used together with multilayer mirrors to cut out a narrow spectral region close to the target wavelength. EUV filters transmit radiation in the EUV range while suppressing radiation in the UV, visible, and near-IR ranges to protect sensitive detectors from other types of radiation and ensure spectral purity [3,4,5].
In the field of EUV to soft X-ray astronomy, various filters have been developed. These filters are made out of three main types: self-supported filters, organic membrane-supported filters, and mesh-supported filters. Self-supporting filters offer high transmittance but have poor mechanical strength, limiting them to small sizes. Organic membrane-supported filters need to balance between transmittance and support strength. Mesh-supported filters are ideal for large areas due to their high mechanical strength and effective support. In the research on EUV filters, Luxel has been developing EUV and soft X-ray filters since 1973 and has been successfully applied in key payload on satellites. Several EUV payloads, such as the Solar Dynamics Observa-tory Atmospheric Imaging Assembly (SDO-AIA) launched by the United States, use Al and Zr thin-film filters [6]. Tongji University in China has researched self-supporting and organic membrane-supported filters [7]. The Changchun Institute of Optics, Fine Mechanics and Physics studied the self-supported aluminum filter for the 30.4 nm normal incidence imaging system and measured its transmittance at 30.4 nm. However, there has been limited in-depth research on grating-supported EUV filters in China at present. Research on mesh-supported EUV filters still faces certain limitations.
In this paper, we provide methods for studying the spectral characteristics of a mesh-supported filter for EUV telescopes intended for space observation. A brief description of the design, fabrication, testing, and study is presented. The methods for choosing materials and film thicknesses for the filter are systematically introduced. The surface morphology of the filter and its transmittance at 83.4 nm are tested. The impact of the oxide layer and carbon contamination on the filter’s transmittance is investigated using an ellipsometer. The possibility of improvements for an indium filter is examined. This paper has important meaning for research on EUV imagers and also has reference value for the development of filters in other wavelength ranges.

2. Design

There are some restrictions to choosing a filter material: (1) It should provide the highest possible transmittance at 83.4 nm. (2) It must have excellent film-forming properties and thermal stability [8]. (3) It must possess sufficient mechanical strength to ensure stability and maintain performance under extreme conditions, such as high and low temperatures, vacuum environments, and radiation exposure [9]. (4) It should be resistant to oxidation [10,11].
When light passes through a transmittance filter (Figure 1) with a thickness d , with the effects of reflection, roughness, and scattering being ignored, the transmittance T of different materials in the EUV wavelength range can be described using the Beer–Lambert law [12,13], and T can be approximated as follows:
T I T I 0 = e x p μ d = e x p μ * ρ d
In the equation, I 0 and I T represent the radiation irradiance entering and exiting the medium, respectively, ρ is the material density, μ is the linear absorption coefficient at a specific wavelength, and μ * is the mass absorption coefficient at that wavelength. Additionally,
μ * = 4 π k λ 1 ρ
In this equation, k represents the imaginary part of the complex index of refraction. The imaginary part is called the extinction coefficient and is related to absorption. Generally, “ n + i k ” is referred to as the optical constants of a material.
The transmittance of filters with different materials and thicknesses can be calculated using Equations (1) and (2).
In Equation (1), it can be seen that the transmittance increased with a decrease in the mass absorption coefficient. Materials are selected by calculating the mass absorption coefficients and transmittance of different metals. We focused our research on several materials commonly used in fabricating EUV filters. Based on the material properties, Al, Be, C, In, Si, and Zr were chosen for simulation calculations. In this paper, the IMD4xop software developed by Windt (Washington, DC, USA) is used for simulation calculations. The optical constants of materials can be found in the database of IMD and CXRO (https://henke.lbl.gov/optical_constants/ (accessed on 5 March 2024)). The thickness of all materials was set to 200 nm. The mass absorption coefficients and transmittance of different materials as a function of wavelength were simulated [14]. The simulation results are shown in Figure 2 and Figure 3. Figure 2 indicates that the indium film has very low mass absorption in the EUV range, while the other materials show relatively high mass absorption. (We should explain here that, on the CXRO website, the optical constants used to calculate the mass absorption coefficient are usually only applicable to objects with a wavelength of less than 41 nm because, when the non-interaction of atoms is considered, usually, this is only applicable to radiation below 41 nm, but in our calculations, we calculated roughly the range of 10–124 nm, so our calculated values may be higher than the actual values when the absorption coefficients for 41–124 nm are calculated; however, the shape of the curve is consistent, which does not affect our judgment of the mass absorption coefficient, but there may be a slight error.) The curves of Figure 3 and Figure 4 illustrate the transmission characteristics across different wavelength ranges. Specifically, the indium film has high transmittance in the 80–90 nm wavelength range but very low transmittance in other ranges, such as the visible spectrum region. After factors such as the material’s properties, the mass absorption coefficient, and the transmittance at 83.4 nm were considered, indium was ultimately chosen as the material to fabricate the 83.4 nm EUV filter.
Transmittance and mechanical strength are correlated with the thickness of the film. As the thickness decreases, the transmittance increases, while the mechanical strength decreases. Therefore, the film thickness was chosen to be greater than 100 nm. Figure 5 illustrates the transmittance of the indium films with different thicknesses, showing that transmittance increased with a decrease in thickness. Since indium is relatively soft, considering that the strength of the filter can be increased by a thicker indium film during the actual manufacturing process, a 200 nm-thick indium film was chosen to achieve the highest possible transmittance while ensuring adequate mechanical strength. Figure 5 shows that the 200 nm-thick indium film has higher transmittance at 83.4 nm compared to other wavelength ranges. This thickness provides a good balance between transmittance and mechanical strength, meeting our selection requirements.

3. Testing Methods and Results

This article utilized a nickel metal mesh support with a diameter of 25 mm, a wire diameter of 30 μm, a grid period of 327 μm, and transmittance of 80% to enhance the mechanical strength of the filter. The preparation process (Figure 6) of the filter includes the spin-coating of the sacrificial layer, performing vacuum-resistance thermal evaporation for film deposition, removing the sacrificial layer, and attaching the film to a nickel mesh.
The metal film was deposited on the substrate using vacuum-resistance thermal evaporation technology. The deposited film has a thickness of around 200 nm. The substrate material is highly polished fused quartz with a diameter of 25 mm. The sacrificial layer, composed of photoresist, was applied, and the metal material used was indium particles with a purity of 99.999%. During the deposition process, the substrate was not heated, and the base pressure of the vacuum system prior to deposition was 5 × 10−4 Pa.
After the sacrificial layer was removed using acetone (acetone is immiscible with indium), the freestanding indium film was released from the substrate and then attached to a nickel mesh.
Figure 7 shows the surface morphology of the indium filter under natural light. The surface of the filter appears smooth and uniform, without obvious pinholes. However, if the film thickness is uneven or the surface is not smooth, the filter’s characteristics can be significantly affected. Specifically, the presence of pinholes may lead to a higher overall transmittance in the visible spectrum region [15].

3.1. SEM Analysis

SEM was utilized to observe the surface and cross-sectional morphologies of the filter. Figure 8 shows the SEM analysis of the filter surface at 270× magnification over an area of 100 μm. The surface appears smooth, free of folds, and with no significant pinholes.

3.2. Filter Transmittance

The EUV transmittance was measured using the reflectometer at the Spectral Radiation Standard and Metrology End Station on a beamline BL08B at the National Synchrotron Radiation Laboratory (NSRL) in Hefel, China. The grating monochromator (600 lines/mm) in the beamline provides a good spectral resolution (Δλ/λ) of less than 1/1000. In order to improve spectral purity, a window-free gas cell filled with Helium was used after the grating in the light path. All samples were measured under a normal incidence geometry. Simultaneously, the transmittance of the same filter samples was tested using our laboratory’s testing apparatus, and the test results were found to be largely consistent.
Figure 9 shows the measured transmittance of two samples as a function of the wavelength. The transmittances were 10.06% and 9.94% at 83.4 nm, respectively. The distribution in the curves and the differences in transmittance between the two samples may be caused by unstable light intensity during the testing process. These distributions can typically be minimized through multiple measurements. Figure 10 compares the transmittance of the filter purchased from LUXEL with our sample, showing that the curves of both are nearly identical. The differences in peak positions might be caused by the error in the center wavelength during testing. The transmittance values at 83.4 nm were very similar to each other. Moreover, the test results showed that the transmittance of the filter we made is slightly higher than that of the Luxel filter.

3.3. XPS Analysis

To further determine the main components of the filter film’s surface, XPS analyses were conducted. The XPS detection signal came from the surface layer of the sample with a depth of 5–10 nm. The data calibration was performed using the C1s peak (284.5 eV) as the reference, with the sample’s peak being located at this position during the test.
As shown in the XPS spectrum (Figure 11), there are four elements on the surface. They are “In”, “O”, “C” and “Si”. Table 1 presents the elemental contents of the surface, calculated by integrating the area under the spectrum. The analysis found that the presence of “O” may be due to oxidation of the sample in air, resulting from the adsorption of oxygen. “C” may originate from the adsorption of carbon-containing compounds in the air [16], while “Si” might be introduced as a trace impurity during the thin-film deposition process in the vacuum chamber.

3.4. Oxide Layer and Carbon Contamination Layer

Figure 12 presents the measured and calculated transmittances of the indium filter. The calculated values were obtained using IMD software, and most of the optical constants for the simulation are sourced from its database [15]. The results (Figure 12) reveal a significant discrepancy between the measured values and the calculated ones. All samples show lower transmittance than the calculated value. There are three possible reasons for the significant misfitting: differences in the optical constants used for simulation, obstruction from the nickel mesh, and the surface contamination of the filter. It is known that a nickel mesh with a transmittance of 80% was being used. The transmittance of the indium film + nickel mesh was re-simulated, as shown by the red line in Figure 12. It can be observed that a significant difference still exists between the theoretical calculation and the measured value. Therefore, it was inferred that this difference mainly came from the surface contamination of the filter, and the most common occurrences were oxidation and carbon deposition [17,18]. The impact of the contamination layer on the filter is mainly investigated below. In practical applications, the source of the oxide layer is the oxidation of indium to be In2O3 in the air, and the primary sources of carbon deposition on optical surfaces are hydrocarbons and other carbon-containing compounds present in the environment [19,20,21]. In Figure 11, we identified the presence of O and C elements on the surface of the filter. The XPS test results confirmed our analysis. The transmissions of indium, In2O3, and carbon at 83.4 nm were calculated using IMD software. Figure 13 further shows that the transmittance of In2O3 and carbon is considerably lower than that of indium films at 83.4 nm. Therefore, the transmittance of filters is likely significantly affected by the presence of an oxide layer and carbon contamination layers.
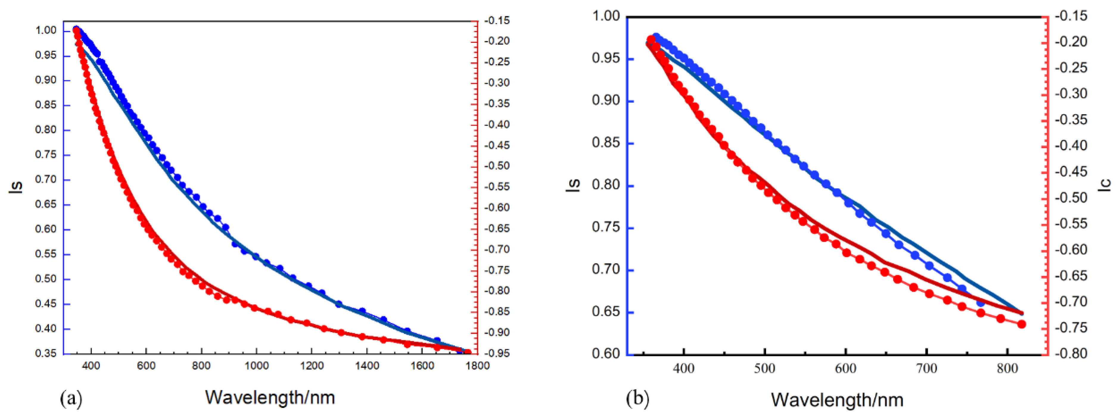
The thickness of the oxide and carbon contamination layers on the filter surface was determined using an ellipsometer to measure the indium film. The testing wavelength range was from 300 to 700 nm, with an incident angle of 70 degrees. Several models were established, including single-layer structures of “In- In2O3” and “In-C”, as well as a multi-layer structure of “In-In2O3-C”. Under the assumption that the film material is uniform and that the dielectric function is dominated only by linear optical processes (absorption, reflection), after data fitting, the multi-layer structure model was chosen, as it provided the best fit with the smallest error. As shown in Figure 14, an “In-In2O3-C” model was established to describe the indium filter. It was assumed that an approximately 5 nm-thick In2O3 layer and a 3 nm-thick carbon contamination layer were formed on the surface of the prepared filter [22,23]. The measured data were used to fit the model for determining the thickness of the contamination layer. It was believed that the deposited carbon contamination layer on the filter surface may not be fully dense in the actual situation. Indium is oxidized in the air to form In2O3 through a chemical-reaction process. It is believed that the oxide layer may be dense, while the carbon contamination layer may result from the adsorption of hydrocarbons in the air. It is considered that this adsorption is uneven and not dense, so a filling factor (usually assumed to be 50%) was introduced to be added to the carbon contamination layer during the fitting process to optimize the fitting result. Both dense and non-dense scenarios were fitted separately, and the fitting quality was assessed using the χ2 value, with a lower χ2 value indicating a better fit.
Figure 15a shows the fitting results for the sample after 7 days without considering the filling factor. The χ2 value is 2.68. In contrast, Figure 15b shows the fitting results for the sample, but with the filling factor considered. The χ2 value is 2.07. Table 2 shows the thickness changes of the oxide layer and carbon contamination layer on the filters before and after optimization.

3.5. Study on Surface Defects of Filter

Figure 16 shows the transmission spectrum of the filter sample measured in the 380 nm-to-800 nm wavelength range using the Lambda 950 UV-Vis spectrophotometer made by PerkinElmer, Waltham, MA, USA. The transmittance obtained from the test is significantly higher compared to the visible light transmission rate (Figure 4) calculated using IMD simulation. There are two possible reasons for the result: the presence of pinholes and measurement errors from the instrument. Figure 17 shows that under strong light exposure, a small number of pinholes are visible at the edges of the filter. These pinholes may have been caused by particle splashing during the material deposition process. The presence of pinholes may lead to a higher overall transmittance in the visible spectrum region. In addition, the Lambda 950 has a measurement accuracy of 0.03%, and the measurement limit is about 10−4–10−5. Therefore, the measured values reached the instrument’s measurement limit, resulting in errors in the results.

4. Discussion and Conclusions

Indium was chosen to fabricate an EUV filter for a central wavelength of 83.4 nm because of its high transmission and low absorption characteristics at this wavelength. Indium films were fabricated using vacuum-resistance thermal evaporation and designed with IMD software. Photoresist was used as the sacrificial layer, providing good adhesion and better compatibility. The prepared indium film was supported with a nickel mesh with a transmittance of 80% to form the filter. The transmittance at 83.4 nm was 10.06%. The filter was exposed to strong light and analyzed using SEM. It was observed that the surface of the filter was smooth, without wrinkles or large pinholes, meeting the application requirements.
In Figure 10, a difference in the peak position of the transmittance test curves between the filter we developed and the filter developed by Luxel can be observed. Transmittance simulations were performed on filters of different thicknesses (Figure 5), and no shift in the central wavelength position was observed. Therefore, this difference may be attributed to errors in peak calibration.
A comparison of the measured transmittance results with the theoretically calculated values (Figure 11) suggests the presence of contamination on the surface of the filter. This was further confirmed through XPS testing, which detected the presence of O and C elements, in addition to indium, on the surface of the indium filter. In many other studies, a single type of contamination has typically been considered, and a single-layer model for both the filter membrane and contamination layer was commonly used. To investigate the effect of this surface contamination on the transmittance of the filter, a multilayer model of “In-In2O3-C” was established based on previous research. Compared to the single-layer model, the multilayer model is considered more suitable for sub-10 nm films, with the optical constants (n, k) and thickness of each layer being independently fitted, making it closer to the true material properties. The carbon contamination layer was assumed to be non-dense, and the falling factor was introduced into the fitting process. The fitting results indicate a greater probability that the carbon contamination layer is non-dense, which is consistent with the test results. A possible explanation for this is that carbon contamination primarily results from the adsorption of carbon-containing compounds from the air, rather than from chemical reactions within the sample itself. To reduce the impact of surface contamination on the performance of the filter, the EUV filters could be stored in dry air or nitrogen to separate contamination sources. Additionally, a protective coating to enhance the EUV filter’s resistance to oxidation and contamination could be considered. The surface of the prepared filter can also be cleaned to remove contamination as much as possible while ensuring that filter is not damaged [24,25,26,27].
In addition, there are certain limitations in the establishment of the multilayer model. When modeling, it is typically assumed that the film layers are homogeneous and independent, with the material’s density, roughness, and diffusion not being considered. In the future, the modeling approach is planned to be optimized. For the non-homogeneity of density, each layer is considered to be subdivided into sub-layers, with a gradient dielectric constant assigned to each sub-layer. For roughness, atomic force microscopy (AFM) is planned to be used to measure the roughness of the contamination layer, and the effect of roughness will be incorporated into the model for further fitting. Currently, a single 50% filling factor has been introduced in our modeling. In the future, the model can be optimized by adjusting the proportion of the filling factor. The filling factor will initially be assumed to be 50%, and then the proportion will be adjusted for correction. Iterative optimization will be conducted until the error is minimized.
The SEM measurement result shown in Figure 8 indicates that the surface of the fabricated filter film is relatively smooth; however, when the filter is exposed to strong light, it can be observed that there may be some pinholes at the edges of the filter. These pinholes could have been caused by particle splattering during metal deposition or by uneven application of the sacrificial layer. Interestingly, the presence of pinholes may lead to a slight increase in the transmittance of the filter in the visible light range. However, the number of pinholes is within a reasonable range, and most are located at the edges; their impact on the overall test results is minimal. Reducing the number of pinholes will be the focus of future research.
In addition, the prepared filter is expected to exhibit good spatial adaptability, and further research into the spatial adaptability of the filter will be conducted in the future.

Author Contributions

Conceptualization, Q.L.; methodology, Q.L.; software, Q.L.; validation, Q.L., X.W. and B.C.; formal analysis, G.Z.; investigation, P.W.; resources, H.W.; data curation, P.W.; writing—original draft preparation, Q.L.; writing—review and editing, X.W. and B.C.; visualization, A.Z.; supervision, H.W.; project administration, C.T.; funding acquisition, B.C. All authors have read and agreed to the published version of the manuscript.

Funding

This research was funded by National Natural Science Foundation of China (Grant No. 12273040); National Key R&D Plan of China (Grant No. 2022YFF0708500).

Institutional Review Board Statement

Not applicable.

Informed Consent Statement

Not applicable.

Data Availability Statement

The data supporting the results reported in this study can be made available upon reasonable request from the corresponding author. The data underlying the results presented in this paper are not publicly available at this time but may be obtained from the authors upon reasonable request.

Acknowledgments

We thank the National Synchrotron Radiation Laboratory (NSRL) in Hefei, China, for its assistance in conducting the extreme ultraviolet spectrometer measurement.

Conflicts of Interest

There are no conflicts of interest in this study. All authors have read and approved this version of the article, and due care has been taken to ensure the integrity of the work. Neither the entire pa-per nor any part of its content has been published or has been accepted elsewhere. It is not being submitted to any other journal.

References

  1. Rebellato, J.; Meltchakov, E.; Soufli, R.; de Sebastien, R.; Zhang, X.Y.; Auchere, F.; Delmotte, F.; Lequime, M.; Macleod, H.A.; Ristau, D. Analyses of tabulated optical constants for thin films in the EUV range and application to solar physics multilayer coatings. In Proceedings of the Advances in Optical Thin Films VI, Frankfurt, Germany, 14–17 May 2018; Volume 10691. [Google Scholar]
  2. Cessateur, G.; Lilensten, J.; de Dudok, T.; Moussa, A.B.; Kretzschmar, M. New observation strategies for the solar UV spectral irradiance. J. Space Weather Space Clim. 2012, 2, A16. [Google Scholar] [CrossRef]
  3. Chen, B.; Zhang, X.X.; He, L.P.; Song, K.F.; Liu, S.J.; Ding, G.X.; Dun, J.P.; Li, J.W.; Li, Z.H.; Guo, Q.F.; et al. Solar X-ray and EUV imager on board the FY-3E satellite. Light. Sci. Appl. 2022, 11, 2939–2952. [Google Scholar] [CrossRef] [PubMed]
  4. Chkhalo, N.I.; Drozdov, M.N.; Kluenkov, E.B.; Kuzin, S.V.; Lopatin, A.Y.; Luchin, V.N.; Salashchenko, V.V.; Tsynin, N.N.; Zuev, S.Y. Thin film multilayer filters for solar EUV telescopes. Appl. Opt. 2016, 55, 4683–4690. [Google Scholar] [CrossRef] [PubMed]
  5. Chen, B.; Liu, Z.; Yang, L.; Gao, L.; He, F.; Wang, X.G.; Ni, Q.L. Space solar telescope in soft X-ray and EUV band. Sci. China Ser. G. 2009, 52, 1806. [Google Scholar] [CrossRef]
  6. Lemen, J.R.; Title, A.M.; Akin, D.J.; Boerner, P.F.; Chou, C.; Drake, J.F.; Duncan, D.W.; Edwards, C.G.; Friedlaender, F.M.; Heyman, G.F.; et al. The Atmospheric Imaging Assembly (AIA) on the Solar Dynamics Observatory (SDO). Sol. Phys. 2012, 275, 17–30. [Google Scholar] [CrossRef]
  7. Fu, L.X.; Wu, Y.G.; Wu, H.Y.; Jiao, H.F.; Lu, G.; Wang, Z.H. Fabrication and characterization of 30. 4 nm Cr/Al/Cr self-supporting filters. High Power Laser Part. Beams 2009, 21, 235–239. (In Chinese) [Google Scholar]
  8. Ishikawa, T. Accelerator-based X-ray sources: Synchrotron radiation, X-ray free electron lasers and beyond. Phil. Trans. R. Soc. 2019, A377, 20180231. [Google Scholar] [CrossRef] [PubMed]
  9. Tarrio, C.; Berg, R.E.; Lucatorto, T.B.; Lairson, B.; Lopez, H.; Ayers, T. Note: Thermally stable thin-film filters for high-power extreme-ultraviolet applications. Rev. Sci. Instrum. 2015, 86, 116103. [Google Scholar] [CrossRef] [PubMed]
  10. Bibishkin, M.S.; Chkhalo, N.I.; Guseva, S.A.; Kluenkov, E.B.; Lopatin, A.Y.; Luchin, V.I.; Pestov, A.E.; Salashchenkoa, N.N.; Shmaenok, L.A.; Tsybin, N.N.; et al. Multilayer Zr/Si filters for EUV lithography and for radiation source metrology. In Proceedings of the SPIE, Micro- and Nanoelectronics 2007, Zvenigorod, Russia, 1–5 October 2007; Volume 7025. [Google Scholar]
  11. Hill, S.B.; Faradzhev, N.S.; Richter, L.J.; Grantham, S.; Tarrio, G.; Luca, T.B.; Yulin, S.; Schürmann, M.; Nesterenko, M.; Feigl, T. Optics contamination studies in support of high-throughput EUV lithography tools. In Proceedings of the SPIE Advanced Lithography, San Jose, CA, USA, 27 February–3 March 2011; Volume 7969, pp. 202–213. [Google Scholar]
  12. Attwood, D. Soft X-Rays, and Extreme Ultraviolet Radiation; Cambridge University Press: Cambridge, UK, 2000. [Google Scholar]
  13. Allaria, E.; Badano, L.; Bassanese, S.; Capotondi, F.; Castronovo, D.; Cinquegrana, P.; Danailov, M.B.; Auria, G.D.; Demidovich, A.; de Monte, R.; et al. The FERMI free-electron lasers. Synchrotron Radiat. 2015, 22, 485–491. [Google Scholar] [CrossRef] [PubMed]
  14. Chkhalo, N.I.; Kuzin, S.V.; Lopatin, A.Y.; Luchin, V.I.; Salashchenko, N.N.; Zuev, S.Y.; Tsybin, N.N. Improving the optical and mechanical characteristics of aluminumthin-film filters by adding thin cap layers. Thin Solid Film. 2018, 653, 359–364. [Google Scholar] [CrossRef]
  15. Windt, D. IMD—Software for modeling the optical properties of multilayer films. Comput. Phys. 1998, 12, 360. [Google Scholar] [CrossRef]
  16. Piao, H.; Mcintyre, N.S. Adventitious carbon growth on aluminium and gold-aluminium alloy surfaces. Surf. Interface Anal. 2002, 33, 591–594. [Google Scholar] [CrossRef]
  17. Pan, Y.G.; Lin, Z.W.; Wang, B.; Fu, X. Film thickness uniformity of deep ultraviolet large aperture aspheric mirror. Chin. Opt. 2022, 15, 740–746. [Google Scholar]
  18. Seely, J.F. Extreme-ultraviolet thin-film interference in an Al-Mg-Al multiple-layer transmission filter. Appl. Opt. 2002, 41, 5979–5983. [Google Scholar] [CrossRef] [PubMed]
  19. Auchere, F.; Zhang, X.Y.; Demotte, F.; Melthchaakov, E.; BenMoussa, A. Developement of multilayerr thin filters for the Full Sun Imager on Solar Orbiter. Proc. SPIE 2011, 8141, 81480N. [Google Scholar] [CrossRef]
  20. Kolacek, K.; Frolov, A.; Schmidt, J.; Strausa, J.; Hoffer, P.; Stelmashuk, V.; Lukes, P.; Juha, L. Aging of Al thin film extreme ultraviolet filters. SPIE Opt. 2019, 11035, 67–72. [Google Scholar]
  21. Faye, D.; Zhang, W.Y.; Etcheto, P.; Auchre, F. Study of Performance Loss of Lyman Alpha Filters due to Chemical Contamination. In Proceedings of the Volume 10236, Damage to VUV, EUV, and X-ray Optics VI Damage to VUV, EUV, and X-Ray Optics VI, Prague, Czech Republic, 24–27 April 2017; pp. 102360F-1–102360F-9. [Google Scholar]
  22. Larruquert, J.I.; Keski-Kuha, R.A.M. Far ultraviolet optical properties of MgF2 films deposited by ion-beam sputtering and their application as protective coatings for Al. Opt. Commun. 2003, 215, 93–99. [Google Scholar] [CrossRef]
  23. Nishiyama, Y.; Anazawa, T.; Oizumi, H.; Nishiyama, I.; Suga, O.; Abe, K.; Kagata, S.; Izumi, A. Carbon contamination of EUV mask: Film characterization, impact on lithographic performance, and cleaning. In Proceedings of the SPIE Advanced Lithography, San Jose, CA, USA, 24–29 February 2008; Volume 6921. [Google Scholar]
  24. Murakami, K.; Madey, T.E. Properties of ultrathin films appropriate for optics capping layers exposed to high energy photo irradiation. Surf. Sci. Rep. 2008, 63, 73–99. [Google Scholar]
  25. Graham, S.; Steinhaus, C.; Clift, M.E.; Klebanoff, L. Radio-frequency discharge cleaning of silicon-capped Mo/Si multilayer extreme ultraviolet optics. J. Vac. Sci. Technol. B 2002, 20, 2393–2400. [Google Scholar] [CrossRef]
  26. Hamamoto, K.; Tanaka, Y.; Watanabe, T.; Sakaya, N.; Hosoya, M.; Shoki, T.; Hada, H.; Hishinuma, N.; Sugahara, H.; Kinoshita, H. Cleaning of extreme ultraviolet lithograph optics and masks using 13.5 nm and 172 nm radiation. J. Vac. Sci. Technol. B 2005, 23, 247–251. [Google Scholar] [CrossRef]
  27. Oizumi, H.; Yamanashi, H.; Nishiyama, I.; Hashimoto, K.; Ohsono, S.; Masuda, A.; Izumi, A.; Matsumura, H. Contamination removal from EUV multilayer using atomic hydrogen generated by heated catalyzer. In Proceedings of the Microlithography 2005, San Jose, CA, USA, 27 February–4 March 2005; Volume 5751, pp. 1147–1154. [Google Scholar]
Figure 1. Schematic drawing of transmittance filter.
Figure 1. Schematic drawing of transmittance filter.
Coatings 15 00535 g001
Figure 2. Calculated mass absorption coefficients of different materials.
Figure 2. Calculated mass absorption coefficients of different materials.
Coatings 15 00535 g002
Figure 3. Calculated transmission spectra at normal incidence (θ = 0°) of the different materials with d = 200 nm.
Figure 3. Calculated transmission spectra at normal incidence (θ = 0°) of the different materials with d = 200 nm.
Coatings 15 00535 g003
Figure 4. Transmission spectra of a 200 nm indium film in the visible light region.
Figure 4. Transmission spectra of a 200 nm indium film in the visible light region.
Coatings 15 00535 g004
Figure 5. Calculated transmission spectrum at normal incidence (θ = 0°) of the indium filters with d = 150 nm, 200 nm, 250 nm, and 300 nm.
Figure 5. Calculated transmission spectrum at normal incidence (θ = 0°) of the indium filters with d = 150 nm, 200 nm, 250 nm, and 300 nm.
Coatings 15 00535 g005
Figure 6. Preparation of the filter.
Figure 6. Preparation of the filter.
Coatings 15 00535 g006
Figure 7. Indium filter sample with mesh supported.
Figure 7. Indium filter sample with mesh supported.
Coatings 15 00535 g007
Figure 8. SEM measurement of the indium filter surface.
Figure 8. SEM measurement of the indium filter surface.
Coatings 15 00535 g008
Figure 9. Experimental transmission curve of the samples.
Figure 9. Experimental transmission curve of the samples.
Coatings 15 00535 g009
Figure 10. Comparison between the transmittance of the filter purchased from LUXEL with our sample.
Figure 10. Comparison between the transmittance of the filter purchased from LUXEL with our sample.
Coatings 15 00535 g010
Figure 11. XPS spectra of elements on surface of the indium film.
Figure 11. XPS spectra of elements on surface of the indium film.
Coatings 15 00535 g011
Figure 12. Comparison of calculated and measured transmittances at 83.4 nm.
Figure 12. Comparison of calculated and measured transmittances at 83.4 nm.
Coatings 15 00535 g012
Figure 13. Transmission spectrum of In2O3, In, and C.
Figure 13. Transmission spectrum of In2O3, In, and C.
Coatings 15 00535 g013
Figure 14. A model with indium as the substrate.
Figure 14. A model with indium as the substrate.
Coatings 15 00535 g014
Figure 15. (a) represents the fitting results considering the filling factor, and (b) represents the fitting results without considering the filling factor. (Here, “Is” is the ellipsometer parameter at zero degrees, and “Ic” is the parameter at 90 degrees).
Figure 15. (a) represents the fitting results considering the filling factor, and (b) represents the fitting results without considering the filling factor. (Here, “Is” is the ellipsometer parameter at zero degrees, and “Ic” is the parameter at 90 degrees).
Coatings 15 00535 g015
Figure 16. Transmission spectra of indium filter sample in the visible light region.
Figure 16. Transmission spectra of indium filter sample in the visible light region.
Coatings 15 00535 g016
Figure 17. Indium filter sample under strong lighting.
Figure 17. Indium filter sample under strong lighting.
Coatings 15 00535 g017
Table 1. Atomic ratio on the surface of the thin films.
Table 1. Atomic ratio on the surface of the thin films.
NamePeak BEHeight CPSFWHM eVArea(P) CPS/eVAtomic%
O1s531.521,122,581.643.7415,178.5236.51
C1s284.886,740.11.36159,957.6234.01
In3d443.65783,915.282.233,146,982.6923.13
Si2p99.048672.291.0930,072.86.36
Table 2. Variations in the thickness of the oxide layer and the carbon contamination layer.
Table 2. Variations in the thickness of the oxide layer and the carbon contamination layer.
Filling FactorThickness of Oxide Layer/nmThickness of Carbon Layer/nmχ2
04.701.142.68
50%4.141.112.07
Disclaimer/Publisher’s Note: The statements, opinions and data contained in all publications are solely those of the individual author(s) and contributor(s) and not of MDPI and/or the editor(s). MDPI and/or the editor(s) disclaim responsibility for any injury to people or property resulting from any ideas, methods, instructions or products referred to in the content.

Share and Cite

MDPI and ACS Style

Liu, Q.; Zhou, A.; Wang, H.; Wang, P.; Tao, C.; Zhang, G.; Wang, X.; Chen, B. A Study on the Spectral Characteristics of 83.4 nm Extreme Ultraviolet Filters. Coatings 2025, 15, 535. https://doi.org/10.3390/coatings15050535

AMA Style

Liu Q, Zhou A, Wang H, Wang P, Tao C, Zhang G, Wang X, Chen B. A Study on the Spectral Characteristics of 83.4 nm Extreme Ultraviolet Filters. Coatings. 2025; 15(5):535. https://doi.org/10.3390/coatings15050535

Chicago/Turabian Style

Liu, Qian, Aiming Zhou, Hanlin Wang, Pingxu Wang, Chen Tao, Guang Zhang, Xiaodong Wang, and Bo Chen. 2025. "A Study on the Spectral Characteristics of 83.4 nm Extreme Ultraviolet Filters" Coatings 15, no. 5: 535. https://doi.org/10.3390/coatings15050535

APA Style

Liu, Q., Zhou, A., Wang, H., Wang, P., Tao, C., Zhang, G., Wang, X., & Chen, B. (2025). A Study on the Spectral Characteristics of 83.4 nm Extreme Ultraviolet Filters. Coatings, 15(5), 535. https://doi.org/10.3390/coatings15050535

Note that from the first issue of 2016, this journal uses article numbers instead of page numbers. See further details here.

Article Metrics

Back to TopTop