Abstract
A leaf spring caliper is a device used to detect the geometry and defects of the inner wall of oil and gas pipelines. The detection principle involves installing strain gauges on the detecting arm, which can be bent elastically. The strain gauge signal is connected to the voltage-detecting equipment to detect the inner wall of the pipeline through the voltage signal. This equipment has the advantages of high detection accuracy and small structure size. However, the detection arm of the leaf spring caliper works via contact detection, and the detection arm will be worn out when working, thus reducing the detection accuracy. This paper establishes a wear model of the leaf spring caliper and constructs a wear test system based on the model. The wear test system simulates wear between the detection arm material 51CrV4 (ISO 683-2-2016) and the oil pipeline material L555Q (ISO 3183:2012). By changing the coating material of the detection arm, such as nickel-phosphorus coating, epoxy acrylic resin coating, or polytetrafluoroethylene (PTFE) coating, the wear pattern of the detection arm is explored and the experimental results are analyzed and summarized to select the most suitable coating material. A polynomial fit to the test data, followed by a Reye–Archard wear model fit, was performed to finally derive the wear function for leaf springs with different coating materials. A prediction algorithm was used to predict the wear pattern of the detector arm, and the extended wear length was calibrated. The results show that the average error between the predicted data and the actual observed data is in accordance with the experimental expectations. Therefore, the wear prediction model and its corresponding wear function can be applied to wear error correction to improve the detection accuracy of leaf spring calipers.
1. Introduction
Pipeline transportation of oil and natural gas has many advantages, such as a large transportation volume, a small footprint, low energy consumption, and low cost [1,2,3,4,5,6,7,8,9]. With these advantages, the construction of pipelines for oil and natural gas transportation is rapidly increasing. As of 2025, the total mileage of global in-service pipelines is expected to reach approximately 2,193,000 km. Among them, the mileage of natural gas pipelines is about 1,630,000 km, accounting for approximately 74%; the mileage of crude oil pipelines is about 370,000 km, accounting for approximately 17%; and the mileage of refined oil pipelines is about 400,000 km, accounting for approximately 18% (“Global Oil and Gas Pipelines Industry Outlook to 2025”, 2025). Pipelines transporting natural gas and oil have relatively high internal pressures, and when the pipe wall’s corrosion thickness or crack depth exceeds a certain critical value, the pipeline leaks under the effect of internal pressure [10,11,12,13,14,15]. Oil or natural gas leakage can cause very large economic losses and safety accidents, and the leaked substances can cause harm to the environment [16]. In order to avoid leakage accidents, the internal geometry of the pipeline needs to be regularly inspected using a through-hole detector, and pipelines that are at risk of leakage need to be repaired [17].
The detection mode of the through-diameter detector is based on mechanical contact detection, according to the type of mechanical arm, which can be divided into the wheel caliper (wheel caliper), rod caliper, and probe caliper [18]. The wheel caliper detector detects the arm end for the roller structure by detecting the angle of the arm to detect the internal geometry of the pipe. The detection arm and pipe wall for rolling friction on the wall of the pipe damage are small, and the detector service life is long. However, due to the large size of the wheel structure, the detector is distributed in the circumferential direction of the detector armless; for small-size defects that are not sensitive, the detection accuracy is the lowest. D.K. developed a new type of wheeled sizing detector, which has a high detection accuracy, low energy consumption, and a very fast response time [19]. Zhu conducted an experimental study on the accuracy of the wheeled through-hole diameter detecting arm and put forward the appropriate spring pre-pressure to minimize the error [20]. However, if the pre-pressure of the wheeled pass-through detector is increased, the wear of the wheel at the end of the detector arm will intensify. Rod-type diameter detectors use metal rods as the detection arm. The advantages are more detection arms, higher detection accuracy, direct contact between the detection arm and the pipe wall metal, and more wear and tear of the detection arm. The probe pipe cleaner has higher detection accuracy, can identify corrosion, bumps, and other defects inside the pipe, and can show the shape of the defects, so the probe pipe cleaner is widely used [21]. Xiaolong Li studied the probe accuracy of the probe pipe cleaner inspection system and the motion of the probe when sweeping over the bump defects, prepared a dynamic model, and carried out a theoretical analysis of the dynamic characteristics of the probe [22]. Canavese designed a leaf spring caliper, which uses the leaf spring as the detection arm, and installed strain gauges on the detection arm. The strain gauges measure the defects inside the pipe by detecting the bending strain of the leaf spring [23].
Leaf spring calipers are a new type of pipeline geometric sizing detector. They have wider application prospects because of their high detection accuracy, convenient data processing, and small structure size, which can cope with the working environment of the pipeline’s change in inner diameter. Leaf spring calipers are composed of a skin bowl, a detector skeleton, a detection arm, and some other components, as shown in Figure 1.
Figure 1.
Schematic diagram of leaf spring caliper structure [24].
The detection unit of the leaf spring caliper is a set of petal-shaped, equally spaced, flexible metal sheets (leaf springs). The metal sheets (leaf springs) are rectangular metal sheets 15 mm in length, 3.9 mm in width, and 1 mm in height in their natural state when not subjected to an external force. The metal sheet is arranged in a circle at the end of the detector, and the circle formed at the end is larger than the diameter of the pipe’s inner wall. During detection, the metal sheet is constrained by the pipe to deform and bend to form the pre-pressure required for the detection.
Each leaf spring is fitted with a strain gauge. A strain gauge is a sensor used to measure the small deformations of an object when an external force or load is applied, and its principle of operation is based on the resistive strain effect. When a strain gauge material is subjected to mechanical stress, its resistance changes. Strain gauges usually consist of a thin film-like insulating substrate and a conductive foil affixed to it, usually made of a nickel-chromium or copper-nickel alloy. When mounted, the strain gauge is fixed to the surface of the object to be measured by means of an adhesive that ensures a tight fit to accurately sense deformation. The voltage output from a strain gauge in its energized form is very small and usually needs to be converted to a readable electrical signal by a voltage amplification circuit. These signals are then processed by a data acquisition system that calculates the strain value and further deduces the value of the deformation of the metal leaf (leaf spring). Leaf spring calipers are equipped with a locating device (e.g., an odometer or gyroscope), and the inspection determines that if a defect is found, the location of the defect can be determined from the locating device.
The leaf spring caliper detection process is as follows: first of all, the detector is placed inside the pipe; at this time, the leaf spring is compressed by the inner wall of the pipe, and the two have tightly adhered; if there is a raised or depressed defect inside the pipeline, the detector is compressed or relaxed when the detector passes through the defects of the leaf spring, and the degree of bending changes (curvature changes) the resistance of the strain gauges according to the corresponding changes. The strain gauge resistance changes when the strain gauge is energized, which is ultimately reflected in a change in the output voltage. The data-logging device records the mileage and strain gauge voltage information. The engineer uses this information to assess the health of the pipe when the inspection is complete.
The detection arm of the leaf spring caliper and the inner wall of the pipe see a certain amount of pressure as pre-pressure to ensure that the two are in close contact. However, direct contact between the detection arm and the pipe causes wear and tear on the detection arm. The inner wall of the pipe is also at risk of scratching. Worn leaf springs are shorter in length compared to normal leaf springs. The leaf spring bends less when in contact with the pipe (curvature decreases). Similarly, the strain gauge on the detector arm is bent less than normal, so the strain gauge resistance is greater than normal. The output voltage of the strain gauge is less than normal when it is energized, and the inner size of the pipe calculated from the voltage signal is less than the actual value. The above discussion is an example of an analysis of leaf spring calipers. Wheel calipers, rod calipers, and probe calipers belong to the same mechanical contact diameter detector, which, in the detection of the pipe, will also apply a certain amount of pre-pressure, so all mechanical contact diameter detectors will be abraded and scratch the pipeline. The deviation of the actual pipe size from the inspected size is called wear error. Excessive wear errors can lead to invalid values, so in order to ensure the validity of data measurements, the wear error of the detector arm must be taken into account during measurement.
In this paper, we propose a method to reduce the wear of the detection arm of a leaf spring caliper by coating the end of the arm [25,26]. However, the coating can only reduce the wear of the detection arm but not eliminate the wear error. According to the coating scheme, we propose a solution to compensate for the wear error: add a set of wear error correction functions to the pipe-sizing formula of the leaf spring caliper, and in the process of pipe sizing, the error correction functions will compensate for the wear error in order to obtain the accurate measurement value. In order to eliminate the wear error by applying the “wear amount–mileage” error correction function, we established a wear model for the leaf spring. We first built the wear test system for the detection arm. In the wear test system, the detection arm material 51CrV4 (ISO 683-2-2016) is a fixed abrasive, while the pipe material L555Q (ISO 3183:2012) is a rotating abrasive. Then, we applied the pressure required for the experiment and modified the rotational speed to simulate the detection arm’s actual working conditions. The coated leaf springs, which are coated with a nickel-phosphorus coating, epoxy acrylic resin, and polytetrafluoroethylene, are explored and tested under loads of 10 N, 5 N, and 15 N. We also test stand rotational speeds of 0.5 r/s (linear velocity of 0.0471 m/s), 1 r/s (linear velocity of 0.0942 m/s), and 2 r/s (linear velocity of 0.1884 m/s). The experimental procedure was as follows: first, the coefficient of friction of the uncoated material, the nickel-phosphorus coating, the polytetrafluoroethylene coating, the and epoxy-acrylic resin coating was tested using a friction coefficient tester. Then, polynomial fitting and Reye–Archard wear model fitting were used to derive the wear functions of leaf springs with different coating materials.
By comparing the experimental results of the wear of the same plating under different speed conditions with their polynomial fitting functions, we found a functional relationship between these polynomial fitting functions, which is defined as the speed correction function. Similarly, the polynomial fitting functions under different loading conditions exhibit a specific functional relationship between them, which is referred to as the load correction function. We have derived the formulas for the velocity and load correction functions using the quadratic interpolation method. The velocity correction function is used to adjust the wear function at different operating speeds, thus extending the applicable speed range of the wear function. The load correction function corrects the wear function at different operating loads to improve the applicable load range of the wear function. Nonlinear curve fitting was performed based on the Reye–Archard wear model. The results show that the wear pattern of leaf spring calipers is consistent with the Reye–Archard wear model. There is a regular difference between the maximum wear value and the wear coefficient of the fitted function for the same plating at different speeds and under different loading conditions. We use multiple linear regression analysis to obtain a generalized formula applicable to different loads at different speeds. In subsequent experiments, we used machine learning (ML) methods to predict the data obtained from the leaf spring wear tests [27]. The prediction algorithm LS-SVM was used to predict the detector arm’s wear pattern and extend the wear length for calibration. The results show that the average error between the predicted and observed data aligns with the experimental expectations. The results show that the wear of the detector arm of the leaf spring caliper was greatly reduced by coating the end of the detector arm. Using a function to compensate for the wear error is feasible, and the compensation accuracy meets the requirements. The method of coating the end of the detector arm to reduce wear and the method of compensating for wear error by using a function” investigated in this paper can be applied not only to leaf spring calipers but also to a wide range of mechanical contact detectors (e.g., wheel calipers, rod calipers, probe calipers, etc.).
2. Method
2.1. Modeling of Detection Arm Wear
The wear model of the detection arm established in this experiment is shown in Figure 2. Figure 2a shows the detection arm of the non-wear state, the detection arm, and the measured plane for the line contact formed by the angle of α. Figure 2b shows the detection arm of the half-wear state, the detection arm, and the measured plane for the surface contact, with the aggravation of wear and tear of the contact surface gradually expanding the contact area Sj, as shown in Figure 1. Equation (1) lw is the width of the detection arm. The half-wear state of the detection arm and the measured plane formed by the angle increases to α1. Figure 2c shows the full wear state of the detection arm, the detection arm, and the measured plane for surface contact. The contact area reaches the maximum, and the contact area Sj is shown in Equation (2). In Equation (2), Figure 2b is the thickness of the detection arm, α2 is the full wear state of the detection arm, and the measured plane is formed by the angle. Thereafter, with an increase in wear, the α angle continues to increase, but the contact surface area gradually decreases, despite still being rectangular and the formula being the same as Sj2. Therefore, as wear develops, the angle α between the detection arm and the inner wall of the pipe continues to increase, and the coefficient of the relationship between strain ε and deflection ω will change when α changes. In order to accurately assess the effect of wear on the monitoring data, if the monitoring data are calculated using the ratio coefficient K determined before the experiment, a wear error will be generated, so it is necessary to establish a wear model to find the wear law under different conditions. It is also necessary to obtain a wear error correction algorithm based on the wear law to correct the error of the change in the contact angle α due to wear and thus the change in the strain–displacement ratio coefficient K.
Figure 2.
Wear model of detection arm [28]. (a) The picture shows a model with no wear on the end of the leaf spring caliper; (b) The picture shows a model of the end part of the leaf spring caliper being worn and in surface contact; (c) The figure shows a model where the wear thickness at the end of the leaf spring caliper is equal to the thickness of the detector arm.
2.2. Experimental Method
In order to study the wear pattern of the leaf spring-type detection arm, we designed a detection arm wear test system, as shown in Figure 3. The system consists of a frame, a transmission module, and a test module.
Figure 3.
Wear test system of detection arm [28].
The frame includes a support frame, an adjustable base, and a mounting table. The leaf spring specimen is mounted on the adjustable base perpendicular to the pipe specimen’s rotation direction. The adjustable base can be finely adjusted to ensure that the specimen runs in the tangential direction of the pipe. The mounting table is used to hold the leaf spring specimen fixture and is equipped with a long plate-guided laser distance sensor to accurately measure the specimen’s height and monitor changes in height due to wear. Weights on the mounting table are used to adjust the pre-pressure during specimen operation.
The transmission system consists of a motor, transmission belt, transmission shaft, and transmission base. The rotational speed of the motor can be adjusted by the controller, and the power is transferred to the transmission shaft via the belt and then to the lubrication dish by the transmission shaft to simulate the running condition of the leaf spring in the pipe.
The test system consists of a leaf spring fixture, a lubrication dish, a leaf spring specimen, a pipe specimen, a weight, a laser distance sensor, a rotary encoder, and a data acquisition card. The fixture holds the specimen by four bolts, and its height is controlled by a mounting table so that it gently makes contact with the pipe specimen and remains horizontal to simulate actual operating conditions.
The whole system is designed to accurately simulate and measure the wear and tear of the inspection arm during operation and to realize real-time monitoring and data analysis of the wear and tear conditions through the collaborative work of all components.
The purpose of building a wear test system is to restore the test arm’s working environment and measure leaf spring wear to obtain accurate data.
2.3. Test Instrument
In this experiment, a test system was constructed to investigate the wear characteristics of leaf spring and pipe specimens under different coatings. The experiment focused on the wear behavior under dry friction conditions. Therefore, no lubricant was added to the lubrication dish. The specimen material chosen was 51CrV4 (ISO 683-2-2016) alloy for the leaf springs, while the pipe specimens were made of L555Q (ISO 3183:2012). A laser distance sensor model, LG5A65PU, was chosen, which has a high resolution of 0.003 mm and a measuring accuracy of 0.02 mm, covering a measuring range of 45 to 60 mm. It is responsible for accurately monitoring the change in height of the specimen in order to calculate the degree of wear.
Meanwhile, a rotary encoder was used to measure the rotational speed in real time to derive the linear velocity of the leaf spring specimen. The signals from the laser ranging sensor and the rotary encoder were fed into an NI 6001 model DAQ acquisition card for data acquisition. This DAQ card is connected to a PC to store the acquired data for subsequent analysis. This configuration allowed us to accurately track and evaluate wear behavior under different experimental conditions.
2.4. Experimental Procedure
The wear accuracy test is divided into sixteen steps:
- Initial test: Run under uncoated conditions with 10 N load and 1 r/s speed for 50 h and calculate the wear.
- Ni-P Coating: Ni-P coating treatment, 10 N load, and 1 r/s speed for 50 h of testing.
- PTFE coating: PTFE coating treatment, 10 N load, 1 r/s speed, and test for 50 h.
- Epoxy acrylic resin coating: Epoxy acrylic resin coating treatment, 10 N load, 1 r/s speed, test for 50 h.
- Ni-P coating low-speed test: Ni-P coating, 10 N load, 0.5 r/s speed, test for 100 h.
- Ni-P coating high-speed test: Ni-P coating, 10 N load, 2 r/s speed, test for 25 h.
- Ni-P coating medium-speed test: Ni-P coating, 5 N load, 1 r/s speed, for test 50 h.
- Ni-P coating high-load test: Ni-P coating, 15 N load, 1 r/s speed, for test 50 h.
- PTFE coating low-speed test: PTFE coating, 10 N load, 0.5 r/s speed, test for 100 h.
- PTFE coating high-speed test: PTFE coating, 10 N load, 2 r/s speed, test for 25 h.
- PTFE coating medium-speed test: PTFE coating, 5 N load, 1 r/s speed, test for 50 h.
- PTFE coating high-load test: PTFE coating, 15 N load, 1 r/s speed, test for 50 h.
- Epoxy acrylic resin coating low-speed test: epoxy acrylic resin coating, 10 N load, 0.5 r/s speed, test for 100 h.
- Epoxy acrylic resin coating high-speed test: epoxy acrylic resin coating, 10 N load, 2 r/s speed, test for 25 h.
- Epoxy acrylic resin coating medium-speed test: epoxy acrylic resin coating, 5 N load, 1 r/s speed, test for 50 h.
- Epoxy acrylic resin coating high-load test: epoxy acrylic resin coating, 15 N load, 1 r/s speed, test for 50 h.
The experimental groupings are shown in Table 1.
Table 1.
Wear test table.
Friction coefficient test experiment:
The purpose of this experiment was to evaluate the effect of different coating treatments on the coefficient of friction between leaf spring specimens and pipe specimens. The experiment was divided into four main steps:
- Basic friction test: The leaf spring specimen and fixture were fixed on the tribometer, and the pipe specimen was fixed on the rotating chassis. A pressure of 5 N was applied to the leaf springs at a speed of 1 revolution per second (1 r/s) without adding any coating. The coefficient of friction was recorded after 100 revolutions of operation.
- Ni-P Coating Test: Leaf spring specimens were treated with Ni-P coating, 5 N pressure was applied again, and the test was conducted at the same speed of 1 r/s. The coefficient of friction was recorded after 100 revolutions.
- PTFE Coating Test: Leaf spring specimens are treated with PTFE coating, 5 N pressure is applied, the test process is repeated at 1 r/s speed, and the results are obtained after 100 laps of testing.
- Epoxy acrylic resin coating test: finally, leaf spring specimens were treated with epoxy acrylic resin coating, 5 N pressure was applied, the test was carried out at a speed of 1 r/s, and the coefficient of friction was recorded after 100 laps.
Surface topography mapping experiment:
This experiment is used to analyze the change in surface topography of leaf spring specimens after friction testing; the steps are as follows:
- Initial surface test: Before any coating treatment, the leaf spring specimen is mounted on the measuring platform of the optical interferometer for the surface topography test.
- Surface topography visualization: The data from the optical interferometer are processed and visualized to show the changes in the surface after the wear test.
3. Results and Discussion
3.1. Preparation of Coatings
3.1.1. Preparation of Nickel-Phosphorus Coating
Nickel-phosphorus alloy plating is a metal surface treatment technology designed to enhance metal parts’ wear and corrosion resistance. The technology combines nickel (Ni) and phosphorus (P) to form an amorphous nickel-phosphorus alloy that exhibits a uniform microstructure. Due to its excellent hardness and wear resistance, the nickel-phosphorus coating is extremely versatile for industrial applications in high-load and high-friction wear environments. It suits critical components such as gears, bearings, and molds. In addition, Ni-Phosphor coatings show excellent resistance to a wide range of corrosive media, especially in acidic environments. For leaf spring calipers operating in complex conditions, nickel-phosphorus plating slows the corrosion rate. The nickel-phosphorus alloy coating on the surface of the leaf spring through the chemical nickel-plating process not only reduces the coefficient of friction of the pipe sample but also significantly enhances its wear resistance [29]. The detailed preparation process is shown in Figure 4.
Figure 4.
Flow chart of nickel-phosphorus plating coating.
The preparation process of nickel-phosphorus alloy film plating on the surface of leaf springs is as follows:
- Cleaning: Use acetone to remove grease and impurities on the surface of leaf springs.
- Acid washing: Remove the oxides on the metal surface via acid washing.
- Sensitization: Sensitization is carried out to adsorb a layer of reducing substances on the surface of the leaf spring.
- Activation: Activation treatment is carried out to reduce precious metal ions on the surface of leaf springs, forming an “activation layer” or “catalytic film” to accelerate the chemical-plating reaction.
- Coating: Leaf springs are immersed in the reaction solution, which triggers a chemical reaction on the surface and completes the coating.
A total of 3 mL of the reaction solution was used, the pH of the solution was 9, the temperature T = 70 °C, and the reaction time was 10 min. The coated leaf spring specimen was obtained after the reaction.
The composition of the reaction solution components is shown in Table 2.
Table 2.
Nickel-phosphorus plating solution composition table.
3.1.2. Preparation of Epoxy Acrylic Resin Coating
The light-curing epoxy acrylic resin coating is a high-tech coating with excellent chemical resistance, abrasion resistance, impact resistance, and good adhesion. The photosensitive molecules of the light-curing epoxy acrylic resin coating under UV irradiation undergo a chemical reaction, which rapidly triggers a polymerization reaction and cures the film. This process involves the generation of free radicals and cross-linking, resulting in a coating with a three-dimensional network structure. Using the light-curing epoxy acrylic resin as the coating material (Epoxy resin used in this study was sourced from Westlake Corporation, located in Houston, TX, USA), a coating was produced for the surface of the leaf springs to reduce the coefficient of friction between the leaf springs and the pipe specimen and to improve the wear resistance of the leaf springs [30].
We then immersed the end of the leaf spring in an epoxy acrylic resin solution to wrap the worn end of the leaf spring with the solution. After using a UV curing lamp with a wavelength of 365 nm and an intensity of 1000 mW/cm2 for 30 min to irradiate, we then cured the resin to form a droplet-type protective film with a coating thickness of 1.62 mm. The specific parameters of epoxy acrylic resin are shown in Table 3.
Table 3.
Parameters of epoxy acrylic resin.
3.1.3. Preparation of Polytetrafluoroethylene Coating
Polytetrafluoroethylene coating is an excellent surface treatment technology with the following significant features: First, it has excellent chemical stability and can effectively resist the erosion of strong acids, bases, and various organic solvents. Secondly, PTFE has a smooth, virtually non-adhesive surface, making it one of the most non-stick materials in nature. In addition, its high-temperature resistance is also outstanding, and it can work stably in a wide range of temperatures from −200 °C to 260 °C, adapting to harsh environmental conditions. Finally, PTFE’s low coefficient of friction gives it excellent abrasion resistance, making it particularly suitable for low-friction, high-abrasion application scenarios. Therefore, PTFE coating was selected as the wear-reducing coating to analyze the leaf spring wear. The surface of the leaf spring was cleaned, and the PTFE coating was uniformly sprayed on the surface with a thickness of 20 microns [31].
3.2. Friction Coefficient Testing Experiment
The friction coefficient test experiment was carried out first according to the experimental steps. The friction coefficients between the 51CrV4 (ISO 683-2-2016) leaf spring specimens with different coatings and the L555Q (ISO 3183:2012) specimens were tested using a tribometer, and the results are shown in Figure 5a–d. The testing parameters of the leaf spring specimens were as follows: applying a pressure of 5 N, testing at a speed of 1 r/s, and testing for 100 revolutions.
Figure 5.
Friction coefficient test. (a) Friction coefficient experiment of uncoated leaf spring calipers; (b) Friction coefficient experiment of leaf spring clamp with nickel phosphorus coating; (c) Friction coefficient experiment of leaf spring calipers coated with Epoxy Acrylic Resin; (d) Friction coefficient experiment of PTFE layer leaf spring clamp.
Under dry friction conditions without lubricant, the coefficient of friction between the leaf spring specimen without an added coating and the pipe specimen is about 0.292, with a standard deviation of 0.057. The leaf spring specimen treated with nickel-phosphorus (Ni-P) plating coating showed a significant reduction in the coefficient of friction to about 0.239 with a standard deviation of 0.06, which shows the effectiveness of the coating. In further testing, the coefficient of friction between the epoxy acrylic resin-coated leaf spring specimens and the pipe specimens was even lower at approximately 0.11, with a standard deviation of 0.015. This result was lower than that of the nickel-phosphorus coating. Finally, the coefficient of friction of the PTFE-coated leaf spring specimen against the pipe specimen was approximately 0.128 with a standard deviation of 0.02, which is slightly higher than the epoxy acrylic coating but still shows lower friction characteristics. These test results indicate that different coating materials significantly reduce the coefficient of friction, with the epoxy-acrylic coating performing particularly well in reducing friction.
3.3. Wear Test Experiments
While conducting wear test experiments, we found that the damage to the wear surface can be categorized into three types: adhesive wear, abrasive wear, and fretting wear.
Adhesive wear: When two surfaces come into contact with each other and move relative to each other, localized adhesion occurs in the contact area due to intermolecular forces (e.g., van der Waals forces). This adhesion results in localized plastic deformation of the contact points under shear stress, and material migrates from one surface to another, forming wear particles. As the relative motion continues, these adhesion points may break off, and these particles can scratch the contact surfaces further during subsequent relative motion, exacerbating wear. In continuous relative motion, an increase in surface roughness increases the actual contact area, which increases the number of adhesion points and further intensifies adhesive wear. From a microscopic point of view, the metal surface is not flat but uneven, and in the friction process, the actual contact area of the metal only accounts for 0.1% to 0.01% of the total area. The contact pressure is about 5000 MPa and the instantaneous temperature of the contact surface can be more than 1000 degrees. Under these high-temperature and -pressure conditions, more severe adhesion occurs between the metals in direct contact. This leads to more severe and extensive adhesive wear. Adhesive wear is mainly characterized by metal loss in the wear area and irregular pockmarks or wave ripples in the area of metal loss [32].
Scratch wear: When the bond strength exceeds the strength of the metal material, shear damage usually occurs on the soft metal surface layer and sometimes on the hard metal surface. In this case, the shear damage leads to migratory deformation of the metal surface material, and the hard metal spikes scrape the soft metal surface, causing a buildup of deformation and triggering material shedding. As a result of the metal buildup effect, the craters in the scraped area are filled, the roughness is reduced, and the surface becomes smoother. In the subsequent movement, the deformation buildup of the adhering material leads to scratches on the soft metal surface, so scuffing wear occurs mainly on the soft metal surface. The main characteristic of abrasion wear is that the metal is missing from the wear area, but the contact surface in the missing area is smooth and flat with no signs of fracture [33].
Abrasive wear is a wear phenomenon on the surface of a material caused by the relative motion between hard particles or rough surfaces. In this wear process, hard particles cut into the material surface, resulting in a gradual loss of material. In the friction process between the shrapnel specimen and the pipe specimen, the friction surface will be mixed with the shedding of metal particles or other impurities, and these free-moving hard particles can be scratched in the movement of the two metal indicates. The free-moving particles may also accumulate somewhere to form a chip accumulation so the degree of wear is intensified; this kind of wear is called abrasive wear. The main characteristics of abrasive wear are metal loss and obvious grooves in the wear area, which may exist alone or in parallel [34].
In the first step of the wear test experiment, we subjected the uncoated leaf springs to a load of 10 N and ran them continuously at 1 r/s for 50 h. Upon completing the test, we disassembled the specimen and observed clear signs of wear. The wear is shown in Figure 6a. These wear areas were carefully observed using an optical microscope to obtain Figure 6b,c. Figure 6b shows that the wear angle of the leaf spring specimen was 42.5 degrees (The DM2700 M microscope used in this study was sourced from Leica Microsystems, located in Wetzlar, Germany).
Figure 6.
Wear diagram of uncoated leaf spring observed by optical microscope. (a) Wear condition view; (b) Wear angle view; (c) Screenshot of worn surface.
A large number of parallel groove-like defects in the same direction as the running direction of the shrapnel appeared when observed by the optical microscope. This is due to the scratching of the metal surface by abrasive grains during the movement. Abrasive wear does the greatest damage to the metal surface due to its direct cutting on the metal surface and the greatest direct loss of material. Dense pockmarked craters appear on the abraded surface, which are caused by the removal of surface metal due to adhesive wear, and wavy defects appear around them as a result of adhesive wear. Due to localized adhesion, a form of wear that can lead to fatigue and material loss on the metal surface, material transfer is usually slower than abrasive wear. However, the pockmarked craters and wavy defects are widely distributed and affect a large area. The most obvious defects reflected in the figure are the abrasion wear areas where the leaf spring style material is soft and the high-hardness material will be squeezed and scraped, resulting in plastic deformation of the material, buildup, and shedding. The irregularities are filled with metal buildup, resulting in a smooth area of defective metal. The wear between the leaf spring specimen and the pipe specimen belongs to the mixed wear form of adhesive wear, abrasion wear, and abrasive wear, with abrasive wear accounting for a larger proportion.
In the second step, we performed the same test on the leaf spring specimen plated with a nickel-phosphorus coating. The leaf spring specimen coated with the nickel-phosphorus coating was worn, as shown in Figure 7a. Optical microscope observations are shown in Figure 7b,c, indicating a wear angle of 25.6 degrees, which is smaller than the wear angle of the uncoated specimen.
Figure 7.
Physical pictures of worn leaf spring sample with nickel-phosphorus coating. (a) Wear condition view; (b) Wear angle view; (c) Screenshot of worn surface.
The wear surface shows parallel grooves caused by abrasive wear. There are also reflections and pockmarked craters on the metal surface, which indicate the presence of abrasive wear and adhesive wear, but the area occupied by these two types of wear is small. The main reason is that leaf springs treated with the nickel-phosphorus coating have high wear resistance. The nickel-phosphorus coating provided significant protection and friction reduction to the leaf springs before the coating was completely worn off. However, as the experiment progressed, the nickel-phosphorus coating was destroyed, and the leaf spring pattern came into direct contact with the pipe pattern. When the two metals are in direct contact, the wear pattern is the same as that in the unprotected condition, with abrasive wear as the main form of damage.
In the third step, we used epoxy acrylic resin as a surrogate wear coating, and the results of the wear situation are shown in Figure 8a,b and the observation results of the optical microscope are shown in Figure 8c.
Figure 8.
Physical pictures of worn leaf spring sample coated with epoxy acrylic resin. (a) Wear condition view; (b) Wear angle view; (c) Screenshot of worn surface.
We then observed the wear surface treated with epoxy acrylic resin coating through an optical microscope. Due to the thicker coating, wear mainly appears on the over-epoxy acrylic resin coating. There are large parallel groove defects on the surface of the epoxy acrylic resin coating, which is caused by a large degree of abrasive wear between the contact surfaces. Coating reflections and pockmarked pits were not evident, indicating a low degree of abrasive wear and adhesive wear. The main reason for this is that the hardness of the epoxy acrylic resin is less than that of L555Q (ISO 3183:2012). During operation, the L555Q (ISO 3183:2012) surface spikes and surface abrasive particles scratched the epoxy acrylic resin. The epoxy acrylic resin plasticity is poor and does not easily abrasion wear. As a thermosetting plastic, epoxy acrylic resin does not have a clear melting point and has a low degree of adhesive wear in the experimental process. During the experiment, there was an area of coating damage 0.56 mm to 0.94 mm in width when the leaf spring was in direct contact with the pipe. The wear mechanism of the direct metal contact area with coating damage is abrasive wear, which is the same as that of the “uncoated wear test” in Experiment I. The wear mechanism of the direct metal contact area with coating damage is abrasive wear.
The fourth step, shown in Figure 9a–c, shows the wear of the PTFE coating and the optical microscope observations. Its wear angle is 24.3 degrees.
Figure 9.
Physical picture of wear of PTFE coated leaf spring sample. (a) Wear condition view; (b) Wear angle view; (c) Screenshot of worn surface.
The worn surface after PTFE coating treatment was observed by an optical microscope and the surface shows distributed parallel grooves over a large area, with the main form of wear being abrasive wear. At the same time, there are also small reflections and pockmarked craters on the wear surface and some abrasive wear and adhesive wear on the surface. Compared with the unprotected wear surface, the PTFE-treated surface has no reflective areas caused by abrasion wear due to the fact that PTFE is the most non-adhesive substance in nature, and the edge areas are not yet abraded and are still under the protection of PTFE. The PTFE coating has high abrasion resistance, and the nickel-phosphorus coating effectively protected the leaf spring specimen at the beginning of the experiment, but as the coating was destroyed, the leaf spring specimen came into direct contact with the pipe specimen. When the two metals are in direct contact, the wear pattern is the same as the unprotected wear pattern described above, and abrasive wear is the main form of damage. The coating is similar to the nickel-phosphorus coating but the length of the wear surface is shorter and the friction reduction effect is better than that of the nickel-phosphorus coating.
3.4. Surface Morphology Drawing
Figure 10 shows the contour height distribution of the wear cross-section, and we aimed to reconstruct the three-dimensional morphology of the wear surface using the data as a support. The experiment utilized an optical interferometer technique for detailed surface topography mapping of the wear section of the leaf spring specimen from which the surface roughness parameters were quantitatively calculated. The equipment model used in this experiment is the ZYGO GPI XP/D laser interferometer.
Figure 10.
Profile height distribution of worn section. (a) Wear surface height distribution map; (b) Enlarged image of the worn surface height locally.
The specific experimental steps are as follows:
- Convert the morphology of the wear section into a set of three-dimensional data consisting of transverse coordinates, longitudinal coordinates, and surface height values by means of a light interferometer.
- The data output from the optical interferometer is visualized, as shown in Figure 10.
- The roughness is measured using an optical interferometer to count the heights of the points in an area and calculate the average height deviation.
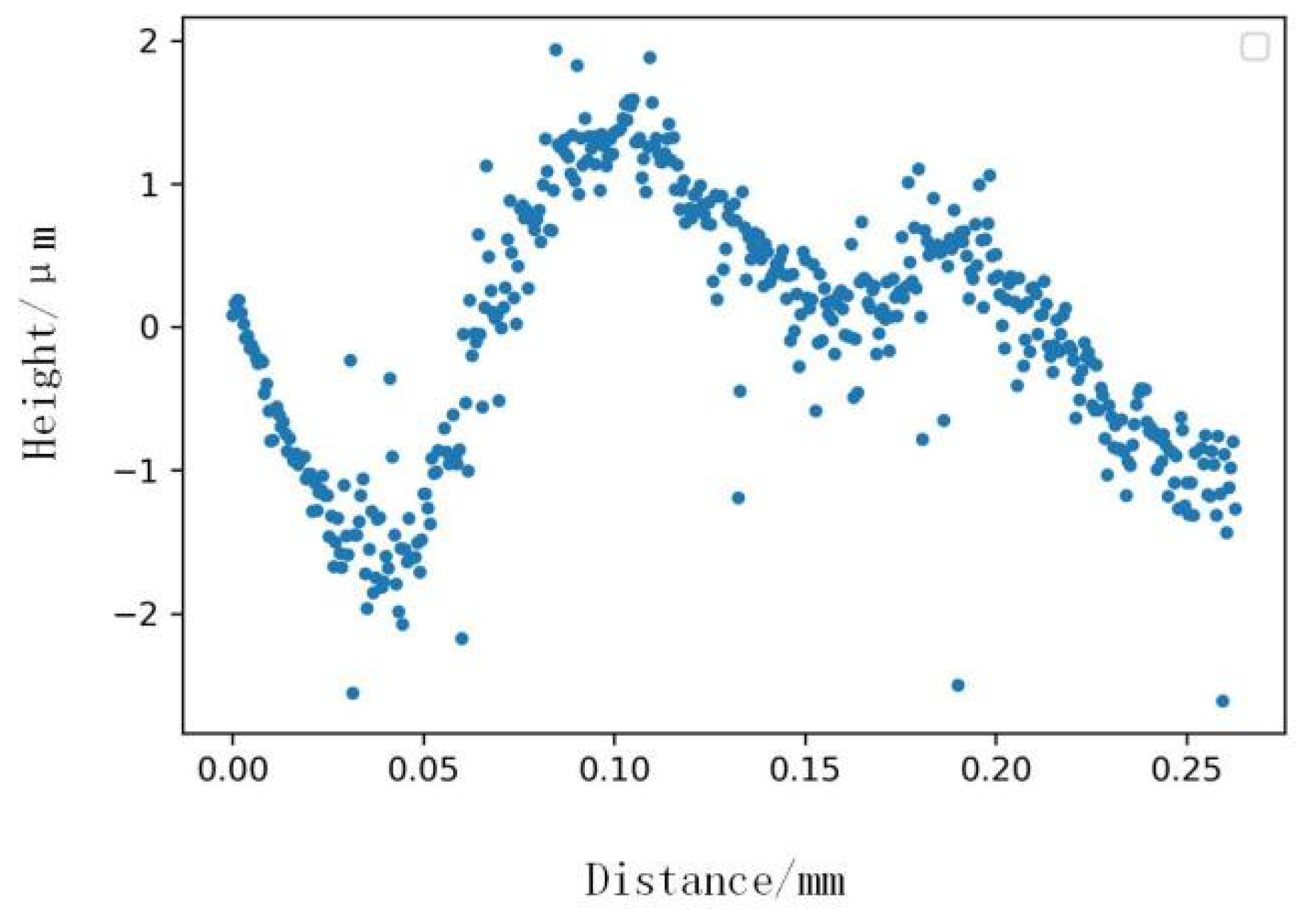
Figure 10 shows the surface morphology drawing results, where the local height of the worn surface is distinguished by color. The elongated groove in Figure 10a is the area of abrasive wear and tear damage. The wavy area with a height of 0 μm is the area of abrasion and wear damage. Figure 10b is an enlarged view of Figure 2a, with densely packed pits distributed due to adhesive wear. We drew a straight line K with fixed horizontal and vertical coordinates in Figure 10a and collected the local height values of the worn surface on line K. Figure 11 is based on the vertical axis data in Figure 10a and the surface height data on line K in Figure 10a (depicting the height changes in the worn surface observed from a lateral perspective).
Figure 11.
Height curve of section K.
The horizontal axis of Figure 11 is the vertical axis position value of Figure 10a. When the horizontal axis of Figure 11 is 0.00 to 0.10, a pit is formed where the surface height decreases from 0 μm to −2 μm and then increases to 1 μm. This locally deep gully is formed by abrasive wear and cutting. The area in Figure 11 where the average height fluctuation of the local region is at a certain stable value is the abrasion and wear area. The scattered low-height pits in the figure are the areas of adhesive wear and tear damage. The above discussion proves the existence of abrasive wear, adhesive wear, and abrasion wear between sections and also serves as evidence for our analysis of the three wear mechanisms.
3.5. Calculate Surface Roughness
According to Figure 11, the height difference in the worn surface is about 4 μm in section K. According to the surface roughness Formula (3), the roughness Ra of the worn surface is 0.77 μm and the standard deviation is 0.96 μm. The standard deviation of this wear surface is greater than the roughness value, and the height difference of the wear surface is large. It is inferred that abrasive wear is the main form of damage and has a large area and depth of influence.
3.6. Wear Accuracy Testing Experiment
According to the experimental results, the wear results for the 51CrV4 (ISO 683-2-2016) material and L555Q (ISO 3183:2012) under different coatings and experimental conditions are shown in Figure 12 and Figure 13. All the tested coatings, including Ni-P, EPOXY, and TEFLON, can reduce the wear rate of the leaf springs and effectively protect the substrate. Of these, PTFE had the most significant anti-wear effect, attributed to its better chemical stability and lower coefficient of friction. Through comparative analysis, we observe that the lower the speed and the higher the load, the higher the wear rate, while the effect of speed on the coating wear rate is significantly greater than the effect of load on the coating wear rate. In actual pipeline inspection operations, the operating speed of the leaf spring caliper inside the pipeline is affected by various factors, for example, the pressure inside the pipe and the skin bowl resistance. This causes the caliper speed to vary constantly within a certain range, making it difficult to achieve precise control. However, as long as the operating speed of the leaf spring caliper varies within a reasonable range, its effect on the inspection process is relatively small within the error allowance and can be approximated as a uniform motion. In addition, the caliper is equipped with a triaxial accelerometer inside to monitor the operating speed. These speed data are only used as a reference for monitoring the condition of the pipe cleaner and are not used as a basis for accurate wear calculation.
Figure 12.
Wear results of leaf springs with different coatings. (a) A graph of the same experimental mileage; (b) A graph of the same experimental time.
Figure 13.
Experimental results of wear accuracy testing under different experimental conditions.
This experiment was carried out to investigate the effect of different speeds on wear, investigate the relationship between speed and wear, and provide a reference range for the operating speed of the leaf spring caliper during actual testing. The experiments running the same time with different sliding speeds, as shown in Figure 12, and the experiments running the same mileage with different sliding speeds, as shown in Figure 13, both show that the smaller the sliding speed, the greater the wear. The reason for this is twofold: the increase in sliding speed reduces the wear of the leaf springs as the friction enters the “friction crater in the Stribeck curve” phase, and the increase in sliding speed increases the frequency of vibration of the leaf spring calipers and reduces their amplitude, thus reducing the wear of the leaf springs.
The mixed lubrication zone is characterized by a certain oil film and a small amount of surface contact, and the coefficient of friction is very small. The “friction pits” in the curve refer to the areas where the coefficient of friction is minimized under certain conditions, which are often found in the transition from boundary lubrication to mixed lubrication. At high sliding speeds (2 r/s), despite dry friction without a lubricant medium, the material strain rate is high. The material undergoes rapid deformation in a short period. The high strain rate causes the internal atomic structure of the material to rearrange itself to make it more compact. This structural change increases the strength and hardness of the material. As the strength and hardness of the material increases, so does its resistance to wear. At low sliding speeds (0.5 r/s), the strain rate is low, the change in the internal atomic structure of the material is small, and the strength and hardness are relatively low. This makes the material more susceptible to deformation and wear. As speed increases, the vibration frequency of the leaf spring caliper increases and its amplitude decreases. First, the number of times the leaf spring comes into contact with L555Q (ISO 3183:2012) per unit of time decreases and the duration of the contact is shortened, with a corresponding reduction in wear. At the same time, the long contact time makes it easier for heat to accumulate, resulting in a decrease in the hardness of the 51CrV4 (ISO 683-2-2016) and the coating material and a decrease in the resistance to wear. Secondly, while the vibration frequency of the leaf spring caliper increases, its amplitude decreases. This leads to a reduction in the relative displacement at each contact, which reduces wear.
Therefore, during the actual inspection, although the speed of the leaf spring caliper cannot be precisely controlled, the average speed can be changed by adjusting the pipe pressure so that it fluctuates within the acceptable speed range. A higher running speed can effectively reduce the wear and tear of the calipers, which helps to improve detection efficiency and equipment lifetime.
According to the experimental results, the wear results of 51CrV4 (ISO 683-2-2016) material and L555Q (ISO 3183:2012) under different coatings are shown in Figure 12 and Figure 13. The highly fluctuating phenomenon presented in the figure is due to the combined effect of the undulation of the surface morphology and the tool’s vibration. Specifically, the tool generates vibrations of a specific intrinsic frequency during operation, which will influence the measurement results. The vibration signal must also be removed from the tool’s own vibration by modal analysis in the later data processing to remove the interference caused by the vibration. The experimental results shown in Figure 12 and Figure 13 also indicate that the uncoated leaf spring vibrates extensively during travel, which causes a lot of clutter, affecting our detection results and making it difficult to identify small defects.
When a coating is added to the surface of the leaf spring, the vibration amplitude of the leaf spring is smaller than that of the leaf spring without coating protection. The reason for this is threefold: the energy dissipation mechanism, the modulus of elasticity, and the damping coefficient. The rebound displacement of the uncoated leaf spring is greatest when it collides with the pipe (51CrV4 (ISO 683-2-2016) material vs. L555Q (ISO 3183:2012) material), which is due to a combination of factors. Firstly, the uncoated leaf spring has a single path of energy dissipation, which mainly relies on the friction of the internal microstructure of the material, and its own damping coefficient is lower than that of the rest of the coated material, which makes its energy loss in the collision process lower. Secondly, the elastic modulus values of the 51CrV4 (ISO 683-2-2016) material and L555Q (ISO 3183:2012) are similar; in the collision instant, the material will efficiently convert kinetic energy into elastic potential energy, and in the leaf spring rebound stage, the elastic potential energy is converted into kinetic energy. The special physical properties of the material provide favorable energy conversion conditions for the rebound of the leaf spring. Ultimately, this effect results in the largest signal amplitude for the uncoated leaf spring.
The nickel-phosphorus, polytetrafluoroethylene, and epoxy-acrylic resin coatings significantly changed the energy dissipation mechanism and physical properties compared to the uncoated leaf springs. On the one hand, the coatings increased the pathways of energy dissipation, for example, the friction between the coating and the leaf spring and the slip and fracture of the coating molecular chain during the deformation process. This results in part of the energy being dissipated during the collision contact process. On the other hand, the elastic modulus of the coating differs from that of the 51CrV4 (ISO 683-2-2016) material, which reduces the efficiency of storage and release of elastic potential energy at the moment of collision, and the energy of rebound is greatly reduced. In addition, the damping coefficients of the coatings are high, and this damping further exacerbates the energy loss. This is ultimately reflected in the leaf springs coated with nickel-phosphorus, polytetrafluoroethylene, and epoxy-acrylic resin, having smaller vibration amplitudes and more stable wear curves.
3.6.1. Polynomial-Based Wear Curve Fitting Analysis
According to Figure 14, it can be observed that the change in height of the leaf spring specimen shows a clear phase difference. In the half-wear state, the smaller contact area under the same pre-pressure results in a larger contact pressure, which in turn causes the wear rate to increase. As shown in Figure 1, we can calculate the value of the height decrease required to reach the full wear state by using Equation (4). According to the data from this experiment, a height drop of at least 0.707 mm is required to enter the full wear state. In the half-wear state, the height of the leaf spring specimen decreases from 0 mm to −0.71 mm, with a total decrease in height of 0.71 mm. After 8000 m of operation, the leaf spring specimen enters the full-wear state when the wear rate decreases. The mileage of the half-wear state accounted for 47.1% of the entire test mileage. At this stage, the height of the leaf spring specimen further decreases from −0.71 mm to −1.08 mm, with a total decrease of 0.37 mm. By fitting the curves of these two stages, we obtain Equations (5) and (6). Since the fixture angle is fixed, the angle between the leaf spring specimen and the pipe specimen is basically kept constant during the experimental test. However, in actual working conditions, the angle between the leaf spring and the pipe changes due to the shortening of the leaf spring detector pen as a result of wear and tear. Therefore, we can calculate the angle between the leaf spring and the pipe based on the wear height of the spring specimen. Equation (7) can be obtained according to Figure 2, where h is the height from the fixed end of the leaf spring to the pipe surface and L is the horizontal length from the fixed end of the leaf spring to the end of the leaf spring. When the leaf spring becomes shorter by wear, the formula becomes (8), where αm represents the angle after wear and Lm represents the length of the leaf spring after wear, which leads to Formula (9). In Equation (10), ht represents the amount of height wear in the wear test and αt represents the angle between the leaf spring specimen and the pipe specimen in the wear test, ultimately leading to Equation (11).
Figure 14.
Height wear curve of leaf spring sample.
Figure 15a shows the nickel-phosphorus-coated leaf spring specimen height wear curve, with obvious changes in curve smoothness with mileage of 500 m, indicating wear in the 0–500 m mileage range for the complete nickel-phosphorus coating and complete wear in the coating at 500 m after the leaf spring metal is exposed to contact with the surface of the pipe specimen, leading to the formation of a new wear surface. The nickel-phosphorus coating shows wear to a height of 0.15 mm and the rear leaf spring shows wear to 0.63 mm, still in the half-wear stage. Fitting the curve yields the nickel-phosphorus coating wear Function (12). The nickel-phosphorus coating can effectively reduce the coefficient of friction and reduce the amount of wear. However, the thickness of nickel-phosphorus coating is not easy to control, and a too-thick coating leads to a low bonding force, a loose structure, too-rapid wear, and other problems. It is also not suitable for long-distance wear reduction.
Figure 15.
High-wear curve of leaf springs coated with nickel-phosphorus, epoxy acrylic resin, and polytetrafluoroethylene. (a) Wear fitting curve of nickel phosphorus coating; (b) Wear fitting curve of Epoxy Acrylic Resin coating; (c) Wear fitting curve of PTFE coating.
Figure 15b shows the epoxy acrylic resin coating leaf spring specimen height wear curve, with curve smoothness in the mileage of 1000 m, for which there are obvious changes, indicating wear in the 0–1000 m mileage for the epoxy acrylic resin coating wear, complete wear and tear for the coating at 1000 m, and contact between the leaf spring metal and pipe specimen. The wear height is 0.3 mm for the epoxy acrylic resin coating and 0.58 mm for the rear leaf spring, which is still in the half-wear stage. The epoxy acrylic resin coating wear Function (13) was obtained by fitting the curve.
Figure 15c shows the height wear curve of the PTFE-coated leaf spring specimen. The smoothness of the curve changes significantly at a mileage of 400 m, indicating that the wear is PTFE-coated wear at a mileage of 0–400 m. The coating is completely worn at 400 m, and the metal of the rear leaf spring makes contact with the surface of the pipe specimen, forming a new wear surface, but the overall wear height is still superior to that of the uncoated state. The epoxy acrylic resin coating’s wear height was 0.17 m, and that of the rear leaf spring was 0.5 mm, still in the half-wear stage. A curve was fitted to obtain the PTFE coating wear Function (14).
Without changing the coating, we varied the experimental speed and pressure to obtain leaf spring wear data. When fitting the wear data, we found that the cubic function had a higher accuracy, so we used the cubic function to fit the new experimental data b fitting Equation (15) through (24).
Figure 16a,d,g,j shows the test results derived from nickel-phosphorus coatings under the experimental conditions of 5 N 1 r/s, 15 N 1 r/s, 10 N 2 r/s, and 10 N 0.5 r/s. Figure 16b,e,h,k shows the test results derived from epoxy-acrylic coatings under the experimental conditions of 5 N 1 r/s, 15 N 1 r/s, 10 N 2 r/s, and 10 N 0.5 r/s. Figure 16c,f,i,l shows the test results derived from polytetrafluoroethylene coatings under the experimental conditions of 5 N 1 r/s, 15 N 1 r/s, 10 N 2 r/s, and 10 N 0.5 r/s.
Figure 16.
High-wear curve of leaf spring samples coated with nickel plating, epoxy acrylic resin, and polytetrafluoroethylene under different experimental conditions. (a) The fitting curve of nickel phosphorus coating under 1 r/s and 5N experimental conditions; (b) The fitting curve of epoxy acrylic resin coating under 1 r/s and 5N experimental conditions; (c) The fitting curve of polytetrafluoroethylene coating under 1 r/s and 5N experimental conditions; (d) The fitting curve of nickel phosphorus coating under experimental conditions of 1 r/s and 15N; (e) The fitting curve of epoxy acrylic resin coating under experimental conditions of 1 r/s and 15N; (f) The fitting curve of polytetrafluoroethylene coating under experimental conditions of 1 r/s and 15N; (g) The fitting curve of nickel phosphorus coating under experimental conditions of 2 r/s and 10N; (h) The fitting curve of epoxy acrylic resin coating under experimental conditions of 2 r/s and 10N; (i) The fitting curve of polytetrafluoroethylene coating under experimental conditions of 2 r/s and 10N; (j) The fitting curve of nickel phosphorus coating under experimental conditions of 0.5 r/s and 10N; (k) The fitting curve of epoxy acrylic resin coating under 0.5 r/s and 10N experimental conditions; (l) The fitting curve of polytetrafluoroethylene coating under experimental conditions of 0.5 r/s and 10N.
Comparing the experiments with the same coated material at different loads, it was found that the effect of load on the wear rate is significant; the nickel-plated material increased the wear length from 5 N to 10 N by 0.21 mm (an increase of 36.84%) and from 10 N to 15 N by 0.21 mm (an increase of 26.92%); the epoxy acrylic resin material increased the wear length from 5 N to 10 N by 0.25 mm (an increase of 39.68%) and from 10 N to 15 N by 0.20 mm (a 22.73% increase); and the PTFE material increased the wear length from 5 N to 10 N by 0.21 mm (a 45.65% increase) and from 10 N to 15 N by 0.12 mm (a 17.91% increase). The total increase of 0.45 mm in the epoxy acrylic material was the most affected by load, the increase of 0.42 mm in the nickel-plated material was the second most affected by load, and the increase of 0.33 mm in the PTFE material was the least affected by load.
Comparing the experiments of the same coated materials at different speeds, the nickel-plated material showed a change in wear length from 0.5 r/s to 1 r/s by 0.53 mm (40.46%) and from 1 r/s to 2 r/s by 0.41 mm (52.56%). The epoxy acrylic resin material changed from 0.5 r/s to 1 r/s by 0.58 mm (39.73%) and from 1 r/s to 2 r/s by 0.47 mm (53.41%). The polytetrafluoroethylene material changed 0.40 mm (37.38%) from 0.5 r/s to 1 r/s and changed 0.38 mm (56.72%) from 1 r/s to 2 r/s. The total increase of 1.05 mm for the epoxy acrylic material was the most affected by loading, the increase of 0.94 mm for the nickel-plated material was the second most affected by loading, and the increase of 0.78 mm for the PTFE material was the least affected by loading.
By comparing the experimental results and fitting functions of the same material at different loads, we found functional relationships between the fitting functions at different loads, called the load correction function. When the leaf spring is coated with nickel plating, epoxy acrylic resin, and PTFE, the rest of the conditions remain unchanged. There is a functional relationship between the wear rate at 5 N load and the wear rate at 10 N load as primary Function (27); there is a functional relationship between the wear rate at 15 N load and 10 N as primary Function (28); the formula for calculating the load correction function was obtained by using the method of quadratic interpolation (29), (30), where k1 is the intercept correction coefficient in the load correction coefficient, k2 is the slope correction coefficient in the load correction coefficient, and f1 is the load at work (unit: N).
When the leaf spring is coated with nickel plating, epoxy acrylic resin, and PTFE, the rest of the conditions remain unchanged. Regarding the wear velocity of 2 r/s (0.1884 m/s) load and 1 r/s (0.0942 m/s) load, there is a functional relationship between the wear velocity as primary Function (31); for the wear velocity of 0.5 r/s (0.0471 m/s) load and 1 r/s (0.0942 m/s), there exists a functional relationship between primary Function (32). We used the method of quadratic interpolation to obtain the formula for the speed correction Function (33), (34), where k3 is the speed correction coefficient in the intercept correction coefficient, k4 is the slope correction coefficient in the speed correction coefficient, and v1 is the speed of the work (unit: m/s).
In the wear error correction function, x1 is the distance traveled by the detector (in m) and y1 is the amount of wear on the detector arm (in mm). The leaf spring is coated with nickel-phosphorus, epoxy acrylic resin, and polytetrafluoroethylene, and the wear functions for different speeds and different loads in the working environment are shown in Equations (39)–(41), where k1k2k3k4 are the intercept and slope correction coefficients for the load correction function and the speed correction function, respectively. f1 is the load in the current working environment (unit: N), v1 is the current working speed (unit: m/s), and x1 is the running mileage (unit: m).
Engineers can precisely adjust the wear error correction function based on the detector’s real-time detection speed and pre-pressure in real-world engineering applications. Through this process, the correction function can be customized to match the current operating environment to optimize accuracy. In short, the user only needs to input the speed and pressure parameters under their working conditions to obtain an accurate correction function for wear error, improving the detection system’s accuracy.
3.6.2. Wear Curve-Fitting Analysis Based on Reye–Archard Wear Model Fitting
The Reye–Archard model is one of the classical theories describing wear behavior. At its core is the assumption that the wear rate is proportional to the power of friction, an assumption that coincides with the actual wear mechanism. The model describes the relationship between the wear value and the path as h(s) = Δ(1 − xp(−ks)), where Δ represents the maximum wear value, reflecting the ultimate wear degree of the material under long-term abrasion; k is the wear coefficient, which is related to the material’s physical properties such as hardness and contact stress; and s denotes the wear length.
In this experiment, a nonlinear curve-fitting function was used to fit the function to obtain a fitting function in which the wear rate is proportional to the power of the friction force (i.e., the fitting function of h(s) = Δ(1 − exp(−ks))). The fitting results are shown in Figure 17. The results show that the wear curves obtained based on the Reye–Archard model fitting are extremely close to the curves obtained from the polynomial fitting. The closeness of the wear curves obtained from the Reye–Archard model fitting to the curves obtained from the polynomial fitting is expressed using the mean squared error, the mean absolute error, the maximum error, and the coefficient of determination, as shown in Table 4, which shows that the leaf spring caliper wear law is consistent with the Reye–Archard model theory. The function of the wear curve obtained by fitting based on the Reye–Archard model is shown in Equations (42)–(59).
Figure 17.
Wear curve-fitting diagram based on Reye–Archard wear model. (a) Under experimental conditions of 1 r/s and 5 N, the Reye Archard model fitting curve of nickel phosphorus coating was obtained; (b) The Reye Archard model fitting curve of epoxy acrylic resin coating under experimental conditions of 1 r/s and 5 N; (c) Under experimental conditions of 1 r/s and 5 N, the Reye Archard model fitting curve of polytetrafluoroethylene coating was obtained; (d) Under experimental conditions of 1 r/s and 10 N, the Reye Archard model fitting curve of nickel phosphorus coating was obtained; (e) The Reye Archard model fitting curve of epoxy acrylic resin coating under experimental conditions of 1 r/s and 10 N; (f) Under experimental conditions of 1 r/s and 10 N, the Reye Archard model fitting curve of polytetrafluoroethylene coating was obtained; (g) Under experimental conditions of 1 r/s and 15 N, the Reye Archard model fitting curve of nickel phosphorus coating was obtained; (h) The Reye Archard model fitting curve of epoxy acrylic resin coating under experimental conditions of 1 r/s and 15 N; (i) Under experimental conditions of 1 r/s and 15 N, the Reye Archard model fitting curve of polytetrafluoroethylene coating was obtained; (j) Under experimental conditions of 2 r/s and 10 N, the Reye Archard model fitting curve of nickel phosphorus coating was obtained; (k) The Reye Archard model fitting curve of epoxy acrylic resin coating under experimental conditions of 2 r/s and 10 N; (l) Under experimental conditions of 2 r/s and 10 N, the Reye Archard model fitting curve of PTFE coating was obtained; (m) Under experimental conditions of 0.5 r/s and 10 N, the Reye Archard model fitting curve of nickel phosphorus coating was obtained; (n) The Reye Archard model fitting curve of epoxy acrylic resin coating under experimental conditions of 0.5 r/s and 10 N; (o) Under experimental conditions of 0.5 r/s and 10 N, the Reye Archard model fitting curve of PTFE coating was obtained.
Table 4.
Curve similarity comparison.
The experimental results show that the nonlinear curve-fitting function fits the obtained function model for the same coating material when different values of load and speed have different parameters of A and k, where A represents the maximum wear value (i.e., Δ) and k is the wear coefficient. Our objective is to determine the pattern of variation of A and k with load and velocity.
This experiment was analyzed using multiple linear regression to obtain Equations (60), (61), (63), (64), (66), and (67), where A(x1,x2) is the maximum wear depth in the Reye–Archard wear model and k(x1,x2) is the wear coefficient in the Reye–Archard wear model. x1 is the velocity (unit: m/s) and x2 is the pressure (unit: N). In applying the actual wear function, it is only necessary to calculate the values of the functions A(x1,x2) and k(x1,x2) according to x1 and x2. Finally, the wear value h (unit: mm) can be obtained by adding the values of A(x1,x2), k(x1,x2), and the traveling course s (unit: m) to the Equations (62), (65), and (68).
3.7. Research on Coating Wear Prediction Algorithm Based on Least-Squares Support Vector Machine LS-SVM Approach
The LS-SVM algorithm was used to train the leaf spring wear regression prediction. The inputs of this experiment were the coating material, coating thickness, friction coefficient, speed, load, and mileage, the output was wear height, and the number of trainings was 5000. The error evaluation indexes of the prediction model include the mean absolute error (MAE), root mean square error (RMSE), mean square error (MSE), and coefficient of determination (R2), which reflect the deviation of the predicted value from the actual value. The MSE reflects the mean of the squared difference of the two, whereby the larger the value, the worse the prediction effect is. R2 measures the degree of fit of the predicted value with the actual value, and the value is taken from 0 to 1, as shown in Table 5.
Table 5.
Wear prediction error evaluation index table.
The training model curve is shown in Figure 18. The “MV” in the figure represents the actual data of this experiment, while “PV” represents the predicted data of this experiment.
Figure 18.
Model curves of wear prediction under different coatings.
The prediction model predicts the wear of 17,000 m, 18,000 m, 19,000 m, 20,000 m, and 21,000 m of the epoxy acrylic resin coating with 1.5 mm thickness at 1 r/s speed and 10 N load and compares it with the experimental data, as shown in Figure 19 and Table 6.
Figure 19.
Comparison of experimental wear values and algorithm predictions under 1 r/s 10 N loaded epoxy acrylic resin (EAR) coating.
Table 6.
Comparison of experimental wear values and algorithm prediction values under 10 N load epoxy acrylic resin (EAR) coating at 1 r/s velocity.
As can be seen from the figure, the average error of prediction is 0.28%, which meets the requirement of prediction accuracy.
4. Conclusions
In this paper, friction coefficients between leaf springs with different coatings and pipeline steel were tested using a tribometer. The test results show that each coating material significantly reduces the coefficient of friction, for which the epoxy acrylic resin coating and PTFE coating are particularly outstanding. In the actual pipeline inspection work, adding the coating on the probe surface of the mechanical pipeline detector can effectively reduce the running resistance of the detector in the pipeline, thus reducing the risk of the pipeline detector clogging the pipeline, and at the same time, a reduction in the running resistance can reduce the energy loss to improve the work efficiency.
A homemade wear detection system was used to investigate the wear mechanism of leaf springs under different coating material conditions. The damage on the friction pair’s surface includes adhesive wear, abrasive wear, and fretting wear. The uncoated leaf springs were observed under an optical microscope to show many parallel groove-like defects on the wear surface due to abrasive grain scratches on the metal surface during the movement process. Abrasive wear has the greatest damage to the metal surface due to its direct cutting on the metal surface and the greatest direct loss of material. Dense pockmarked craters appear on the abraded surface, caused by adhesive wear that removes metal from the surface. It is surrounded by wavy defects due to adhesive wear. Material transfers due to localized adhesion, and this form of wear can lead to metal surface fatigue and material loss, usually slower than abrasive wear. However, its pitted craters and wavy defects are widely distributed and affect a large area. Friction vice surface reflection has more obvious defects for the abrasion wear area; the leaf spring type material is soft, and high-hardness material will be squeezed and scraped, leading to plastic deformation, pile-up, and fall-off. The irregularities are filled in with metal buildup, resulting in smooth areas of defective metal. The uncoated leaf spring wear surface damage is mixed wear, with a high percentage of abrasive wear.
The wear mechanism of the nickel-phosphorus coating is that parallel grooves, reflections, and pockmarked craters appear on the wear surface at the same time, which indicates that abrasive wear, scuffing wear, and adhesive wear exist at the same time, but scuffing wear and adhesive wear account for a smaller area. The main reason is that leaf springs treated with nickel-phosphorus coating have high wear resistance. Before the coating was completely worn out, the nickel-phosphorus coating provided significant protection and friction reduction to the leaf springs. However, as the experiment progressed, the nickel-phosphorus coating was destroyed and the leaf spring pattern came into direct contact with the pipe pattern. When the two metals are in direct contact, the wear pattern is the same as in the unprotected condition, with abrasive wear as the main form of damage.
The wear mechanism of the epoxy acrylic resin coating is a large area of parallel groove defect reflections, and pitting is not obvious, which indicates that the degree of abrasion wear and adhesive wear is low. The main reason for this situation is that the hardness of the epoxy acrylic resin is less than L555Q (ISO 3183:2012). In the operation process of the L555Q (ISO 3183:2012), surface spikes and surface abrasive particles will scratch the epoxy acrylic resin. The epoxy acrylic resin’s plasticity is poor and does not easily withstand abrasion wear. As a thermosetting plastic, epoxy acrylic resin does not have a definite melting point and has a low degree of adhesive wear during the experiment. Eventually, the epoxy acrylic resin coating was completely destroyed by the two metals’ direct contact and was unprotected under the same wear law; abrasive wear is the main form of damage.
The wear mechanism of PTFE coatings is mainly abrasive wear with a small amount of abrasive and adhesive wear. There is no reflective area caused by abrasion wear on the edges treated with PTFE because PTFE is the most non-adhesive substance in nature, and the edge area was not abraded and was still protected by PTFE. The PTFE coating has high abrasion resistance, and the nickel-phosphorus coating effectively protected the leaf spring specimen at the beginning of the experiment. However, as the coating was destroyed, the leaf spring specimen directly interacted with the pipe specimen. When the two metals are in direct contact, the wear pattern is the same as the unprotected wear pattern described above, and abrasive wear is the main form of damage. The coating is similar to the nickel-phosphorus coating, and the friction reduction effect is better than that of the nickel-phosphorus coating. The three-dimensional morphology of the wear surface is reconstructed with data as support, thus proving that our analysis of the wear mechanism is correct.
The wear data were analyzed and fitted to obtain wear curves and the various coatings showed better wear resistance at the initial stage, but their wear patterns were not stable enough. After about 400 m to 500 m of wear, the leaf spring enters the half-wear stage; although the wear resistance of the half-wear stage is lower than that of the initial performance, its wear law is very stable. So, we choose the fitting function of the half-wear stage as the wear function. Without changing the coating, we changed the speed and pressure of the experiment and re-ran it to obtain the wear data for the leaf spring. When fitting the wear data, we found that the cubic function had a higher fitting accuracy, so we used the cubic function to fit the new experimental data. By comparing the experimental results and fitting functions of the same material under different loads, we found a functional relationship between the fitting functions of different loads called the load correction function. Similarly, there is a functional relationship between the fitting functions of different speeds. We use the quadratic interpolation method to obtain the formula for the load correction function and finally arrive at a wear correction function that can cope with different loads at different speeds. The user only needs to input the speed and pressure parameters under the operating conditions to obtain an accurate correction function for wear error, which improves the inspection system’s accuracy. We used the Reye–Archard wear model in subsequent experiments to conduct a nonlinear curve-fitting analysis of the wear data. The results show that the polynomial fitting function of the leaf spring caliper shows a high degree of similarity with the fitting function based on the Reye–Archard model. From this, it can be inferred that the wear pattern of the leaf spring caliper matches the Reye–Archard wear model. Further utilizing the nonlinear curve fitting function to construct the function model, we found that for the same coating material, the maximum wear value and wear coefficient, which are two parameters, differed under different load and speed conditions. In order to obtain a generalized wear function formula applicable to the same coating material in any working environment, we applied multiple linear regression analysis to process these data. The generalized formula was finally determined successfully.
To verify the feasibility and accuracy of this wear function, we extended the test mileage to 21,000 m. The regression algorithm trained the LS-SVM algorithm for wear regression prediction of leaf springs with coatings. The average error of prediction is 0.28%, which meets the requirement of prediction accuracy.
In summary, by adding a coating to the leaf spring caliper’s surface, the detection arm’s wear can be effectively reduced while reducing the amplitude of the signal vibration, thus extending the service life of the caliper and improving the detection accuracy. This paper verifies the feasibility and accuracy of using the wear error correction function to compensate for the wear error. For the wear error problem of leaf spring calipers in the working process, the polynomial fitting function obtained from experiments or the Reye–Archard wear model fitting function can be directly used to compensate. This method, based on the wear law, effectively reduces the influence of the wear of the inspection arm on the calculation of the inner diameter of the pipe and improves the inspection accuracy. This study provides a reference for future improvement of pipeline detection accuracy. The detection structure used in the experiment has high sensitivity and can detect defects such as cracks on the pipe surface. There is a significant difference in the vibration signals fed back by the leaf spring when detecting normal surfaces and cracked surfaces. Although this experiment only applied the sensor to the specific condition of pipeline inspection, the leaf spring detection principle is suitable for detecting the shape and roughness of any object surface, which shows broad application prospects and can be expanded to other surface measurement fields. There are some limitations to this study: the detector arm is made of a single material; the velocity range is small (0.0471 m/s to 0.1884 m/s); the load range is small (5 N to 20 N); and the leaf springs protected by a coating on the leaf spring calipers need to be polished before they are mounted onto the machine.
Author Contributions
Conceptualization, H.W.; methodology, H.W.; software, H.W. and L.D.; validation, H.W. and L.D.; formal analysis, H.W., L.D. and X.G.; investigation, H.W., L.D. and X.G.; resources, H.W. and L.D.; data curation, H.W. and L.D.; writing—original draft preparation, H.W. and L.D.; writing—review and editing, H.W. and L.D.; visualization, H.W. and L.D.; supervision, H.W.; project administration, H.W.; funding acquisition, H.W. All authors have read and agreed to the published version of the manuscript.
Funding
This work was supported by the Natural Science Foundation of Tianjin—Youth Project [Project Number 23JCQNJC01170] and the National Natural Science Foundation of China [Approval No. 62403356].
Institutional Review Board Statement
Not applicable.
Informed Consent Statement
Not applicable.
Data Availability Statement
Data are contained within the article.
Conflicts of Interest
The authors declare no conflicts of interest.
References
- Han, P.; Zhang, Q.X.; He, W.; Chen, Y.W.; Zhao, B.Y.; Li, Y.M.; Zhou, G.H. A double inference engine belief rule base for oil pipeline leakage. Expert Syst. Appl. 2024, 240, 122587. [Google Scholar] [CrossRef]
- Alsehaimi, A.; Waqar, A.; Radu, D.; Bratu, C.; Almujibah, H.; Benjeddou, O. A framework for enhancing safety planning in oil and gas construction projects. Ain Shams Eng. J. 2025, 16, 103257. [Google Scholar] [CrossRef]
- Huang, J.; Chen, P.; Li, R.; Fu, K.; Wang, Y.; Duan, Y.; Li, Z. Systematic evaluation of ultrasonic in-line inspection techniques for oil and gas pipeline defects based on bibliometric analysis. Sensors 2024, 24, 2699. [Google Scholar] [CrossRef]
- Eze, J.; Nwagboso, C.; Georgakis, P. Framework for integrated oil pipeline monitoring and incident mitigation systems. Robot. Comput.-Integr. Manuf. 2017, 47, 44–52. [Google Scholar] [CrossRef]
- Azzam, M.; Khalifa, W. Investigation of subsea oil pipeline rupture. Eng. Fail. Anal. 2023, 152, 107415. [Google Scholar] [CrossRef]
- Zhu, X.; Zhang, S.; Li, X.; Wang, D.; Yu, D. Numerical simulation of contact force on bi-directional pig in gas pipeline: At the early stage of pigging. J. Nat. Gas Sci. Eng. 2015, 23, 127–138. [Google Scholar] [CrossRef]
- Zhang, H.; Zhang, S.; Liu, S.; Wang, Y.; Lin, L. Measurement and analysis of friction and dynamic characteristics of PIG’s sealing disc passing through girth weld in oil and gas pipeline. Measurement 2015, 64, 112–122. [Google Scholar] [CrossRef]
- Meng, Y.; Han, B.; Wang, J.; Chu, J.; Yao, H.; Zhao, J.; Zhang, L.; Li, Q.; Song, Y. Hydrate Blockage in Subsea Oil/Gas Pipelines: Characterization, Detection, and Engineering Solutions. Engineering 2024, in press. [Google Scholar] [CrossRef]
- Zhu, X.; Zhang, S.; Tan, G.; Wang, D.; Wang, W. Experimental study on dynamics of rotatable bypass-valve in speed control pig in gas pipeline. Measurement 2014, 47, 686–692. [Google Scholar] [CrossRef]
- Song, H.; Gao, L.; Song, J. Sswt-uunet++ submarine oil pipeline spill detection approach. IEEE Geosci. Remote Sens. Lett. 2023, 20, 1501605. [Google Scholar] [CrossRef]
- Singh, R.; Baz, M.; Narayana, C.L.; Rashid, M.; Gehlot, A.; Akram, S.V.; Alshamrani, S.S.; Prashar, D.; AlGhamdi, A.S. Zigbee and long-range architecture based monitoring system for oil pipeline monitoring with the internet of things. Sustainability 2021, 13, 10226. [Google Scholar] [CrossRef]
- Zhang, H.; Liang, Y.; Ma, J.; Shen, Y.; Yan, X.; Yuan, M. An improved PSO method for optimal design of subsea oil pipelines. Ocean. Eng. 2017, 141, 154–163. [Google Scholar] [CrossRef]
- Marques Ferreira, A.D.; Motta, R.S.; Afonso, S.M.B.; Willmersdorf, R.B.; Lyra, P.R.M.; Andrade, E.Q.; Cunha, D.J.S. Stochastic assessment of burst pressure for corroded pipelines. J. Braz. Soc. Mech. Sci. Eng. 2021, 43, 193. [Google Scholar] [CrossRef]
- Gao, J.; Yang, P.; Li, X.; Zhou, J.; Liu, J. Analytical prediction of failure pressure for pipeline with long corrosion defect. Ocean. Eng. 2019, 191, 106497. [Google Scholar] [CrossRef]
- Cayeux, E.; Leulseged, A. The effect of thixotropy on pressure losses in a pipe. Energies 2020, 13, 6165. [Google Scholar] [CrossRef]
- Abdulla, M.B.; Herzallah, R. Probabilistic multiple model neural network based leak detection system: Experimental study. J. Loss Prev. Process Ind. 2015, 36, 30–38. [Google Scholar] [CrossRef]
- Hou, Q.; Jiao, W.; Ren, L.; Cao, H.; Song, G. Experimental study of leakage detection of natural gas pipeline using FBG based strain sensor and least square support vector machine. J. Loss Prev. Process Ind. 2014, 32, 144–151. [Google Scholar] [CrossRef]
- Dai, L.; Zhang, S.; Zhu, X. Research development of pipeline caliper tool technology. Oil Gas Storage Transp. 2012, 31, 808–813. [Google Scholar]
- Kim, D.K.; Cho, S.H.; Park, S.S.; Yoo, H.R.; Rho, Y.W.; Kho, Y.T.; Park, G.S.; Park, S.H. Development of the caliper system for a geometry pig based on magnetic field analysis. KSME Int. J. 2003, 17, 1835–1843. [Google Scholar] [CrossRef]
- Zhu, X.; Jiao, Q.; Li, X.; Zhang, S.; Liu, S. Experimental research on the precision of wheeled caliper arm for measuring pipeline deformation. Measurement 2018, 127, 15–20. [Google Scholar] [CrossRef]
- Yu, J.; Lee, J.G.; Park, C.G.; Han, H.S. An off-line navigation of a geometry PIG using a modified nonlinear fixed-interval smoothing filter. Control. Eng. Pract. 2005, 13, 1403–1411. [Google Scholar] [CrossRef]
- Li, X.; Zhang, S.; Liu, S.; Jiao, Q.; Dai, L. An experimental evaluation of the probe dynamics as a probe pig inspects internal convex defects in oil and gas pipelines. Measurement 2015, 63, 49–60. [Google Scholar] [CrossRef]
- Canavese, G.; Scaltrito, L.; Ferrero, S.; Pirri, C.F.; Cocuzza, M.; Pirola, M.; Corbellini, S. A novel smart caliper foam pig for low-cost pipeline inspection—Part A: Design and laboratory characterization. J. Pet. Sci. Eng. 2015, 127, 311–317. [Google Scholar] [CrossRef]
- Wang, H.; Gao, X.; Zhou, J.; Ding, L. Establishment of rigid-flexible coupling model of leaf spring detector detection arm and the optimization of its accuracy. Measurement 2024, 229, 114370. [Google Scholar] [CrossRef]
- Qiu, C.; Meng, L.; Shuxian, C. Anti-icing characteristics of PTFE super hydrophobic coating on titanium alloy surface. J. Alloys Compd. 2021, 860, 157907. [Google Scholar]
- Fang, R.; Liu, R.; Zhi-Hui, E.; Wu, L.; Ouyang, Y.; Li, M. Corrosion-resistant and superhydrophobic nickel phosphorus/nickel/PFDTMS triple-layer coating on magnesium alloy. Surf. Coat. Technol. 2022, 432, 128054. [Google Scholar] [CrossRef]
- Wu, Z.; Liu, M.; Ma, G. A machine learning-based two-stage integrated framework for cost reasonableness prediction of green building projects. J. Build. Eng. 2025, 100, 111733. [Google Scholar] [CrossRef]
- Wang, H.; Ding, L.; Zhao, C.; Gao, X.; Zhou, J. Study on the Wear Performance and Wear Prediction of Leaf Spring Calipers under Lubricating Medium Conditions. Lubricants 2024, 12, 41. [Google Scholar] [CrossRef]
- Dhakal, D.R.; Han, Y.U.; Lee, B.G.; Kim, T.H.; Jang, G.B.; Cho, S.Y. Wear Resistance Behavior of Low-, Mid-, and High-Phosphorus Electroless Ni-P Coatings Heat-Treated in the Air Environment. Coatings 2024, 14, 648. [Google Scholar] [CrossRef]
- Hajebi, S.; Payamani, M.; Fattahi, H.; Mortezaei, M.; Jalilolghadr, S. Dual-Curing Epoxy Thermosets: Design, Curing, Properties and Applications. Polym. Rev. 2025, 65, 250–280. [Google Scholar] [CrossRef]
- Mansour, M.; Trari, M. Structural and mechanical properties of UV-C irradiated polytetrafluoroethylene films. Radiat. Phys. Chem. 2025, 229, 112527. [Google Scholar] [CrossRef]
- Ma, Z.; Huang, R.; Yuan, X.; Shen, Y.; Xu, J. Tribological performance and scuffing behaviors of several automobile piston rings mating with chrome-plated cylinder liner. Friction 2022, 10, 1245–1257. [Google Scholar] [CrossRef]
- Wang, Y.; Song, C.; Song, R.; Ma, Z.; Taylor, T. Size effect of impact abrasive particles on wear and surface hardening behavior of high-manganese steel. Acta Metall. Sin. Engl. Lett. 2023, 36, 906–916. [Google Scholar] [CrossRef]
- Stephan, S.; Schmitt, S.; Hasse, H.; Urbassek, H.M. Molecular dynamics simulation of the Stribeck curve: Boundary lubrication, mixed lubrication, and hydrodynamic lubrication on the atomistic level. Friction 2023, 11, 2342–2366. [Google Scholar] [CrossRef]
Disclaimer/Publisher’s Note: The statements, opinions and data contained in all publications are solely those of the individual author(s) and contributor(s) and not of MDPI and/or the editor(s). MDPI and/or the editor(s) disclaim responsibility for any injury to people or property resulting from any ideas, methods, instructions or products referred to in the content. |
© 2025 by the authors. Licensee MDPI, Basel, Switzerland. This article is an open access article distributed under the terms and conditions of the Creative Commons Attribution (CC BY) license (https://creativecommons.org/licenses/by/4.0/).


















