Structural and Electrical Properties of Si-Doped β-Ga2O3 Thin Films Deposited by RF Sputtering: Effects of Oxygen Flow Ratio and Post-Annealing Temperature
Abstract
1. Introduction
2. Materials and Methods
3. Results
3.1. Structural Properties
3.1.1. XRD Results
3.1.2. SEM Results
3.1.3. XPS Results
- •
- OI is attributed to lattice oxygen (O2−) bound in Ga–O–Ga networks.
- •
- OII is attributed to oxygen vacancies (VO), indicative of non-stoichiometric regions or local disorder.
- •
- OIII is attributed to chemisorbed species such as hydroxyl groups or adsorbed oxygen molecules on the film surface.


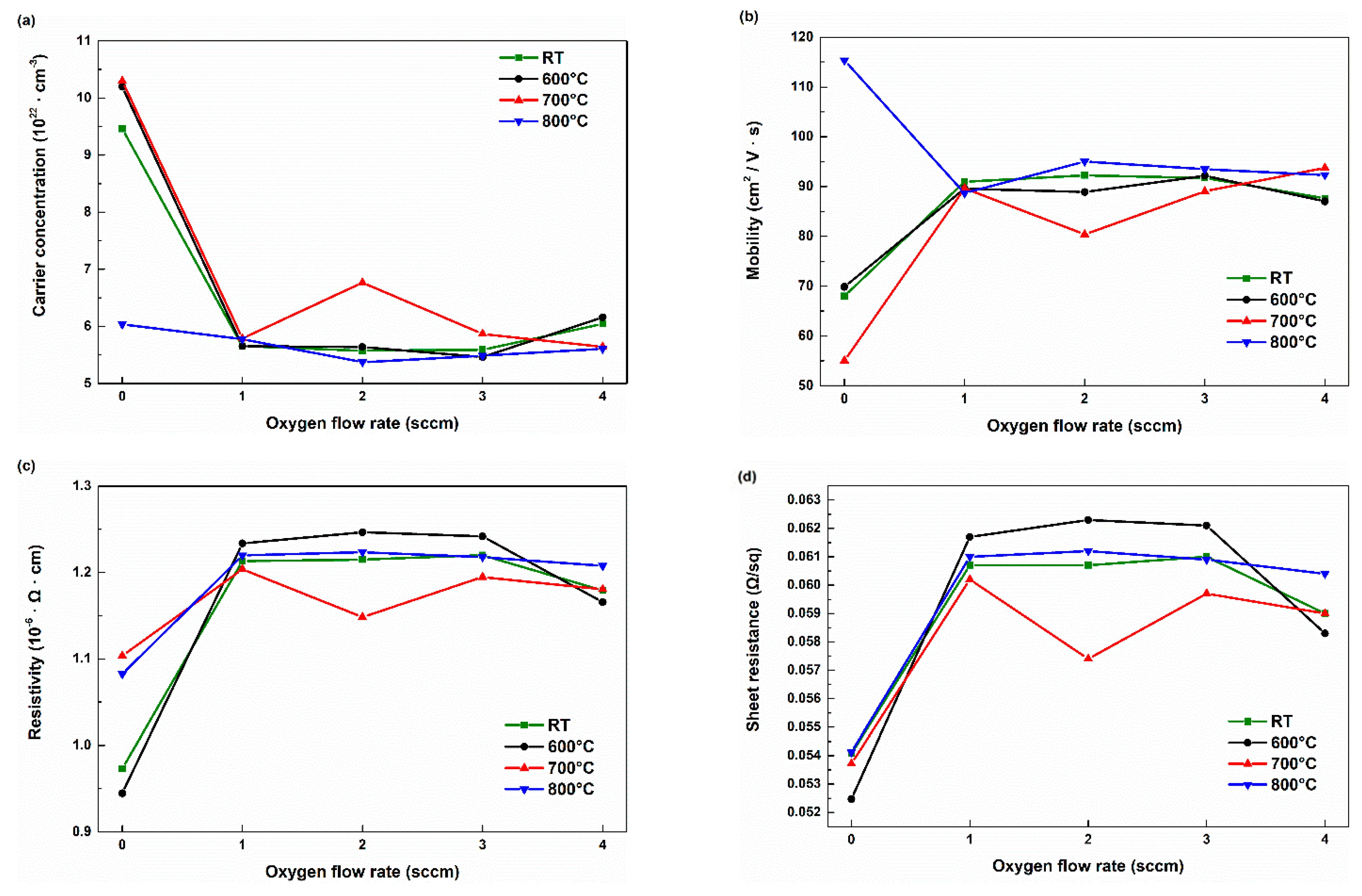
3.2. Electrical Properties
4. Conclusions
Author Contributions
Funding
Institutional Review Board Statement
Informed Consent Statement
Data Availability Statement
Conflicts of Interest
References
- Millan, J.; Godignon, P.; Perpiñà, X.; Pérez-Tomás, A.; Rebollo, J. A survey of wide bandgap power semiconductor devices. IEEE Trans. Power Electron. 2013, 29, 2155–2163. [Google Scholar] [CrossRef]
- Wan, X.; Xu, Y.; Guo, H.; Shehzad, K.; Ali, A.; Liu, Y.; Yang, J.; Dai, D.; Lin, C.T.; Liu, L.; et al. A self-powered high-performance graphene/silicon ultraviolet photodetector with ultra-shallow junction: Breaking the limit of silicon? NPJ 2D Mater. Appl. 2017, 1, 4. [Google Scholar] [CrossRef]
- Zhuo, Y.; Chen, Z.; Tu, W.; Ma, X.; Pei, Y.; Wang, G. β-Ga2O3 versus ε-Ga2O3: Control of the crystal phase composition of gallium oxide thin film prepared by metal-organic chemical vapor deposition. Appl. Surf. Sci. 2017, 420, 802–807. [Google Scholar] [CrossRef]
- Hou, Y.; Wu, L.; Wang, X.; Ding, Z.; Li, Z.; Fu, X. Photocatalytic performance of α-, β-, and γ-Ga2O3 for the destruction of volatile aromatic pollutants in air. J. Catal. 2007, 250, 12–18. [Google Scholar] [CrossRef]
- Irmscher, K.; Galazka, Z.; Pietsch, M.; Uecker, R.; Fornari, R. Electrical properties of β-Ga2O3 single crystals grown by the Czochralski method. J. Appl. Phys. 2011, 110, 063720. [Google Scholar] [CrossRef]
- Higashiwaki, M.; Sasaki, K.; Murakami, H.; Kumagai, Y.; Koukitu, A.; Kuramata, A.; Masui, T.; Yamakoshi, S. Recent progress in Ga2O3 power devices. Semicond. Sci. Technol. 2016, 31, 034001. [Google Scholar] [CrossRef]
- Galazka, Z.; Uecker, R.; Klimm, D.; Irmscher, K.; Naumann, M.; Pietsch, M.; Kwasniewski, A.; Bertram, R.; Ganschow, S.; Bickermann, M. Scaling-up of bulk β-Ga2O3 single crystals by the Czochralski method. ECS J. Solid State Sci. Technol. 2017, 6, Q3007–Q3011. [Google Scholar] [CrossRef]
- Aida, H.; Nishiguchi, K.; Takeda, H.; Aota, N.; Sunakawa, K.; Yaguchi, Y. Growth of β-Ga2O3 single crystals by the edge-defined, film fed growth method. Jpn. J. Appl. Phys. 2008, 47, 8506. [Google Scholar] [CrossRef]
- Yang, J.; Ren, F.; Tadjer, M.; Pearton, S.J.; Kuramata, A. 2300V reverse breakdown voltage Ga2O3 Schottky rectifiers. ECS J. Solid State Sci. Technol. 2018, 7, Q92–Q96. [Google Scholar] [CrossRef]
- Gong, H.H.; Yu, X.X.; Xu, Y.; Chen, X.H.; Kuang, Y.; Lv, Y.J.; Yang, Y.; Ren, F.F.; Feng, Z.H.; Gu, S.L.; et al. β-Ga2O3 vertical heterojunction barrier Schottky diodes terminated with p-NiO field limiting rings. Appl. Phys. Lett. 2021, 118, 202102. [Google Scholar] [CrossRef]
- Yen, C.-C.; Singh, A.K.; Wu, P.-W.; Chou, H.-Y.; Wuu, D.-S. Interface engineering in epitaxial growth of sputtered β-Ga2O3 films on Si substrates via TiN (111) buffer layer for Schottky barrier diodes. Mater. Today Adv. 2023, 17, 100348. [Google Scholar] [CrossRef]
- Guo, D.; Guo, Q.; Chen, Z.; Wu, Z.; Li, P.; Tang, W. Review of Ga2O3-based optoelectronic devices. Mater. Today Phys. 2019, 11, 100157. [Google Scholar] [CrossRef]
- Galazka, Z. β-Ga2O3 for wide-bandgap electronics and optoelectronics. Semicond. Sci. Technol. 2018, 33, 113001. [Google Scholar] [CrossRef]
- Nguyen, T.M.H.; Tran, M.H.; Bark, C.W. Growth of low-defect Si-doped Ga2O3 film on fluorine-doped tin oxide substrate for self-powered and high-performance ultraviolet photodetector. ACS Appl. Electron. Mater. 2023, 5, 6459–6468. [Google Scholar] [CrossRef]
- Zhang, Y.; Zhang, M.; Hu, W.; Hou, L.; Jiang, S.; Wang, Y.; Sun, J. Performance enhancement of solar-blind UV photodetector by doping silicon in β-Ga2O3 thin films prepared using radio frequency magnetron sputtering. Vacuum 2024, 227, 113399. [Google Scholar] [CrossRef]
- Wang, C.; Fan, W.H.; Cao, R.J.; Fan, H.C.; Xu, Y.H.; Kang, P.C.; Zhu, W.Z.; Kuo, H.-C.; Lien, S.-Y.; Zhu, W.-Z. Sputtered Sn-doped Ga2O3 films under balance controlled of energy supply and ion bombardment for solar-blind detection application. Vacuum 2024, 225, 113246. [Google Scholar] [CrossRef]
- Higashiwaki, M.; Murakami, H.; Kumagai, Y.; Kuramata, A. Current status of Ga2O3 power devices. Jpn. J. Appl. Phys. 2016, 55, 1202A1. [Google Scholar] [CrossRef]
- Li, K.-H.; Alfaraj, N.; Kang, C.H.; Braic, L.; Hedhili, M.N.; Guo, Z.; Ng, T.K.; Ooi, B.S. Deep-ultraviolet photodetection using single-crystalline β-Ga2O3/NiO heterojunctions. ACS Appl. Mater. Interfaces 2019, 11, 35095–35104. [Google Scholar] [CrossRef]
- Usseinov, A.; Platonenko, A.; Koishybayeva, Z.; Akilbekov, A.; Zdorovets, M.; Popov, A.I. Pair vacancy defects in β-Ga2O3 crystal: Ab initio study. Opt. Mater. X 2022, 16, 100200. [Google Scholar] [CrossRef]
- Dong, L.; Jia, R.; Xin, B.; Peng, B.; Zhang, Y. Effects of oxygen vacancies on the structural and optical properties of β-Ga2O3. Sci. Rep. 2017, 7, 40160. [Google Scholar] [CrossRef]
- Zhang, C.; Wu, X.; Xing, Y.; Zhou, L.; Zhou, H.; Li, S.; Xu, N. A first-principles study of hydrostatic strain engineering on the electronic properties of β-Ga2O3. Phys. B: Condens. Matter 2023, 660, 414851. [Google Scholar] [CrossRef]
- Zeng, H.; Ma, C.; Wu, M. High electron mobility in Si-doped two-dimensional β-Ga2O3 tuned using biaxial strain. Materials 2024, 17, 4008. [Google Scholar] [CrossRef]
- Chen, A.; Weigand, M.; Bi, Z.; Zhang, W.; Lü, X.; Dowden, P.; MacManus-Driscoll, J.L.; Wang, H.; Jia, Q. Evolution of microstructure, strain and physical properties in oxide nanocomposite films. Sci. Rep. 2014, 4, 5426. [Google Scholar] [CrossRef]
- Sun, Y.; Thompson, S.E.; Nishida, T. Physics of strain effects in semiconductors and metal–oxide–semiconductor field-effect transistors. J. Appl. Phys. 2007, 101, 104503. [Google Scholar] [CrossRef]
- Fu, B.; Jia, Z.; Mu, W.; Yin, Y.; Zhang, J.; Tao, X. A review of β-Ga2O3 single crystal defects, their effects on device performance and their formation mechanism. J. Semicond. 2019, 40, 011804. [Google Scholar] [CrossRef]
- Choi, C.G.; No, K.; Lee, W.J.; Kim, H.G.; Jung, S.O.; Lee, W.J.; Kim, W.S.; Kim, S.J.; Yoon, C. Effects of oxygen partial pressure on the microstructure and electrical properties of indium tin oxide film prepared by dc magnetron sputtering. Thin Solid Films 1995, 258, 274–278. [Google Scholar] [CrossRef]
- Reddy, A.M.; Reddy, A.S.; Lee, K.S.; Reddy, P.S. Effect of oxygen partial pressure on the structural, optical and electrical properties of sputtered NiO films. Ceram. Int. 2011, 37, 2837–2843. [Google Scholar] [CrossRef]
- Mote, V.; Purushotham, Y.; Dole, B. Williamson-Hall analysis in estimation of lattice strain in nanometer-sized ZnO particles. J. Theor. Appl. Phys. 2012, 6, 6. [Google Scholar] [CrossRef]
- Röll, K. Analysis of stress and strain distribution in thin films and substrates. J. Appl. Phys. 1976, 47, 3224–3229. [Google Scholar] [CrossRef]
- Janssen, G.C.A.M. Stress and strain in polycrystalline thin films. Thin Solid Films 2007, 515, 6654–6664. [Google Scholar] [CrossRef]
- Qu, L.; Ji, J.; Liu, X.; Shao, Z.; Cui, M.; Zhang, Y.; Fu, Z.; Huang, Y.; Yang, G.; Feng, W. Oxygen-vacancy-dependent high-performance α-Ga2O3 nanorods photoelectrochemical deep UV photodetectors. Nanotechnology 2023, 34, 225203. [Google Scholar] [CrossRef]
- An, Y.; Dai, L.; Wu, Y.; Wu, B.; Zhao, Y.; Liu, T.; Hao, H.; Li, Z.; Niu, G.; Zhang, J.; et al. Epitaxial growth of β-Ga2O3 thin films on Ga2O3 and Al2O3 substrates by using pulsed laser deposition. J. Adv. Dielect. 2019, 9, 1950032. [Google Scholar] [CrossRef]
- Kyrtsos, A.; Matsubara, M.; Bellotti, E. Migration mechanisms and diffusion barriers of vacancies in Ga2O3. Phys. Rev. B 2017, 95, 245202. [Google Scholar] [CrossRef]
- Geller, S. Crystal structure of β-Ga2O3. J. Chem. Phys. 1960, 33, 676–684. [Google Scholar] [CrossRef]
- Pishkenari, H.N.; Rezaei, S. Characterization of silicon surface elastic constants based on different interatomic potentials. Thin Solid Films 2017, 626, 104–109. [Google Scholar] [CrossRef]
- Aliev, R.; Rashidov, B.; Mirzaalimov, A.; Mirzaalimov, N.; Aliev, S.; Gulomova, I.; Gulomov, J. The effect of uniaxial mechanical stress on electronic and dynamic properties of silicon. Dig. J. Nanomater. Biostruct. 2024, 19, 1243–1253. [Google Scholar] [CrossRef]
- Zhang, J.; Shi, J.; Qi, D.C.; Chen, L.; Zhang, K.H.L. Recent progress on the electronic structure, defect, and doping properties of Ga2O3. APL Mater. 2020, 8, 020906. [Google Scholar] [CrossRef]
- Varley, J.B.; Weber, J.R.; Janotti, A.; Van de Walle, C.G. Oxygen vacancies and donor impurities in β-Ga2O3. Appl. Phys. Lett. 2010, 97, 142106. [Google Scholar] [CrossRef]
- Kim, J.; Kubota, Y.; Matsushita, N.; Lee, G.; Kyoung, S.; Kim, K.; Hong, J. Effect of Post-Annealing and Oxygen on the Properties of Sn-Doped β-Ga2O3 Thin Film. Trans. Electr. Electron. Mater. 2025, 26, 746–756. [Google Scholar] [CrossRef]
- Liu, L.; Mei, Z.; Tang, A.; Azarov, A.; Kuznetsov, A.; Xue, Q.K.; Du, X. Oxygen Vacancies: The Origin of n-Type Conductivity in ZnO. Phys. Rev. B 2016, 93, 235305. [Google Scholar] [CrossRef]
- Madkhali, O. A Review of Novel Methods to Improve the Optical and Electrical Properties of n-Type and p-Type Sulphides and Oxides: Leading the Frontiers of Semiconductor Technology. Phys. Scr. 2024, 99, 022004. [Google Scholar] [CrossRef]
- McCluskey, M.D. Point Defects in Ga2O3. J. Appl. Phys. 2020, 127, 101101. [Google Scholar] [CrossRef]
- Polyakov, A.Y.; Nikolaev, V.I.; Yakimov, E.B.; Ren, F.; Pearton, S.J.; Kim, J. Deep Level Defect States in β-, α-, and ɛ-Ga2O3 Crystals and Films: Impact on Device Performance. J. Vac. Sci. Technol. A 2022, 40, 020804. [Google Scholar] [CrossRef]
- Wang, Z.; Chen, X.; Ren, F.F.; Gu, S.; Ye, J. Deep-Level Defects in Gallium Oxide. J. Phys. D Appl. Phys. 2020, 54, 043002. [Google Scholar] [CrossRef]
- Hosono, H. Ionic amorphous oxide semiconductors: Material design, carrier transport, and device application. J. Non-Cryst. Solids 2006, 352, 851–858. [Google Scholar] [CrossRef]
- Leedy, K.D.; Chabak, K.D.; Vasilyev, V.; Look, D.C.; Boeckl, J.J.; Brown, J.L.; Jessen, G.H. Highly conductive homoepitaxial Si-doped Ga2O3 films on (010) β-Ga2O3 by pulsed laser deposition. Appl. Phys. Lett. 2017, 111, 012103. [Google Scholar] [CrossRef]
- Zhang, F.; Arita, M.; Wang, X.; Chen, Z.; Saito, K.; Tanaka, T.; Guo, Q. Toward controlling the carrier density of Si-doped Ga2O3 films by pulsed laser deposition. Appl. Phys. Lett. 2016, 109, 102105. [Google Scholar] [CrossRef]
- Juárez-Amador, L.I.; Galván-Arellano, M.; Andraca-Adame, J.A.; Romero-Paredes, G.; Kennedy-Magos, A.; Peña-Sierra, R. Electrical, optical and structural characteristics of gallium oxide thin films deposited by RF-sputtering. J. Mater. Sci. Mater. Electron. 2018, 29, 15726–15731. [Google Scholar] [CrossRef]
- Mandal, P.; Roy, S.; Singh, U.P. Optimization of RF sputtering parameters for improving the optical and electrical properties of β-gallium oxide thin films. Bull. Mater. Sci. 2023, 46, 64. [Google Scholar] [CrossRef]







| Parameters | Set Values | ||||
|---|---|---|---|---|---|
| Target | Si-doped Ga2O3 (4N, 99.99%) (wt% Ga2O3:SiO2 99:1) | ||||
| Substrate | (100) Si substrate | ||||
| Base pressure | 1.5 × 10−6 Torr | ||||
| Working pressure | 4 mTorr | ||||
| Ar:O2 ratio [sccm:sccm] | 20:0 | 19:1 | 18:2 | 17:3 | 16:4 |
| Deposition rate [nm/min] | 14.7 | 12.3 | 9.6 | 9.2 | 6.5 |
| Substrate temperature | Room temperature | ||||
| Input power | 200 W | ||||
| Film thickness | 180 nm | ||||
| Substrate rotation speed | 3 rpm | ||||
| Parameters | Set Values | ||
|---|---|---|---|
| Process time | 1 h | ||
| Ambient | Air | ||
| Working pressure | Atmospheric pressure | ||
| Annealing temperature | 600 °C | 700 °C | 800 °C |
| Post-Annealing Temperature | 2 Theta [°] | Peak Height [cps] | FWHM [°] | Crystallite Size [nm] | Strain ε |
|---|---|---|---|---|---|
| 600 °C | 64.06 | 201.2 | 0.84345 | 7.98 | 0.07439 |
| 700 °C | 64.21 | 332.7 | 0.99654 | 6.75 | 0.04853 |
| 800 °C | 64.42 | 343.0 | 0.96399 | 6.97 | −0.00517 |
| Condition | O/Ga Ratio | OI/(fI + OII) [%] |
|---|---|---|
| Undoped Ga2O3 | 2.04 | 51.47 |
| As fabricated | 1.90 | 41.54 |
| 600 °C | 1.78 | 14.37 |
| 700 °C | 1.78 | 9.05 |
| 800 °C | 1.85 | 13.60 |
| Post-Annealing Temperature | Carrier Concentration [cm−3] | Mobility [cm2/V⋅s] | Resistivity [Ω⋅cm] | Sheet Resistance [Ω/sq] |
|---|---|---|---|---|
| As fabricated | 9.46 × 1022 | 68.0 | 9.73 × 10−7 | 0.05407 |
| 600 °C | 1.02 × 1023 | 69.9 | 9.45 × 10−7 | 0.05247 |
| 700 °C | 1.03 × 1023 | 55.0 | 1.10 × 10−6 | 0.05372 |
| 800 °C | 6.04 × 1022 | 115.4 | 1.08 × 10−6 | 0.05412 |
| Ref. | Deposition | Substrate | Doping Con. of Target | n (cm−3) | μ (cm2/V⋅s) | ρ (Ω⋅cm) |
|---|---|---|---|---|---|---|
| [46] | PLD | Fe-doped β-Ga2O3, Al2O3 | Si, 1 wt% | 1.74 × 1020 | 26.5 | 1.37 × 10−3 |
| [47] | PLD | Al2O3 | Si, 0.01 to 0.3 wt% | 1 × 1015–2.4 × 1020 | 0.02–0.04 | 0.76 to 2.13 × 104 |
| [48] | Sputtering | Glass | Cu, below 3 at% | 1 × 1021–5 × 1022 | 0.38–9.7 | 3.52 × 10−3–6 × 10−6 |
| [49] | Sputtering | Quartz | Undoped | 3.077 × 1013 | 19.01 | 1.07 × 104 |
| This work | Sputtering | Si | Si, 1 wt% | 6.04 × 1022–1.03 × 1023 | 55–115.4 | 9.45 × 10−7–1.1 × 10−6 |
Disclaimer/Publisher’s Note: The statements, opinions and data contained in all publications are solely those of the individual author(s) and contributor(s) and not of MDPI and/or the editor(s). MDPI and/or the editor(s) disclaim responsibility for any injury to people or property resulting from any ideas, methods, instructions or products referred to in the content. |
© 2025 by the authors. Licensee MDPI, Basel, Switzerland. This article is an open access article distributed under the terms and conditions of the Creative Commons Attribution (CC BY) license (https://creativecommons.org/licenses/by/4.0/).
Share and Cite
Kim, H.; Kubota, Y.; Matsushita, N.; Lee, G.; Hong, J. Structural and Electrical Properties of Si-Doped β-Ga2O3 Thin Films Deposited by RF Sputtering: Effects of Oxygen Flow Ratio and Post-Annealing Temperature. Coatings 2025, 15, 1181. https://doi.org/10.3390/coatings15101181
Kim H, Kubota Y, Matsushita N, Lee G, Hong J. Structural and Electrical Properties of Si-Doped β-Ga2O3 Thin Films Deposited by RF Sputtering: Effects of Oxygen Flow Ratio and Post-Annealing Temperature. Coatings. 2025; 15(10):1181. https://doi.org/10.3390/coatings15101181
Chicago/Turabian StyleKim, Haechan, Yuta Kubota, Nobuhiro Matsushita, Gonjae Lee, and Jeongsoo Hong. 2025. "Structural and Electrical Properties of Si-Doped β-Ga2O3 Thin Films Deposited by RF Sputtering: Effects of Oxygen Flow Ratio and Post-Annealing Temperature" Coatings 15, no. 10: 1181. https://doi.org/10.3390/coatings15101181
APA StyleKim, H., Kubota, Y., Matsushita, N., Lee, G., & Hong, J. (2025). Structural and Electrical Properties of Si-Doped β-Ga2O3 Thin Films Deposited by RF Sputtering: Effects of Oxygen Flow Ratio and Post-Annealing Temperature. Coatings, 15(10), 1181. https://doi.org/10.3390/coatings15101181

