Abstract
In this paper, using a self-developed silicon carbide epitaxial reactor, we obtained high-quality 6-inch epitaxial wafers with doping concentration uniformity less than 2%, thickness uniformity less than 1% and roughness less than 0.2 nm on domestic substrates, which meets the application requirements of high-quality Schottky Barrier Diode (SBD) and Metal–Oxide–Semiconductor Field-Effect Transistor (MOSFET) devices. We found that increasing the carrier gas flow rate can minimize source gas depletion and optimize the doping uniformity of the 6-inch epitaxial wafer from over 5% to less than 2%. Moreover, reducing the C/Si ratio significantly can suppress the “two-dimensional nucleation growth mode” and improve the wafer surface roughness Ra from 1.82 nm to 0.16 nm.
1. Introduction
Silicon carbide (SiC), as a representative of the third generation of wide-bandgap semiconductor materials, possesses high critical breakdown field strength, excellent thermal conductivity, rapid electron saturation drift speed, wide bandgap width, and strong radiation resistance [1,2]. These characteristics significantly enhance the energy processing capacity of power devices, enabling them to meet the demanding requirements of next-generation power electronic equipment operating under harsh conditions such as higher power outputs, reduced size and volume constraints, elevated temperatures and radiation levels [3,4]. Moreover, SiC offers advantages including size reduction, minimized power loss and decreased cooling demands. Consequently, it has brought about revolutionary advancements in various fields such as new energy vehicles, rail transit systems and smart grids [5]. Therefore, silicon carbide semiconductor materials have gained international recognition as the premier electronic materials that will lead the development of power electronics for at least the next 50 years [6].
With the rapid expansion of the new energy vehicle market, silicon carbide power devices have become highly anticipated [1,2,3,4,5,6]. Silicon carbide power devices are fabricated on the 4H-SiC epitaxial layer, making silicon carbide epitaxial wafers an indispensable foundational material for these devices [7,8,9,10]. The quality of the silicon carbide homogeneous epitaxial layer plays a pivotal role in determining the yield of silicon carbide power devices. Therefore, it is imperative to obtain high consistency and low roughness in silicon carbide epitaxial wafers to ensure the production of high-quality MOSFET devices. Currently, high-quality 4H-SiC epitaxial growth mainly adopts three forms of reactors: horizontal hot-wall, planetary warm-wall, and vertical reactors [11,12,13,14]. The epilayers prepared by the horizontal hot-wall reactor achieved good consistency under a uniform temperature field and unique flow field, which has been widely recognized and applied [14].
In this paper, based on the self-developed horizontal hot-wall reactor, we achieved 4H-SiC epitaxy doping uniformity (Doping-U) within 2% and thickness uniformity (Thickness-U) within 1% by exploring and optimizing process parameters such as the carrier gas flow rate and C/Si ratio (twice the flow rate of C2H4 divided by the flow rate of TCS). Additionally, the roughness Ra of the domestic epitaxial wafer was reduced to less than 0.2 nm, meeting the quality requirements for high-specification MOSFET devices.
2. Experiments
A homemade horizontal hot-wall epitaxial reactor was utilized for the growth of homogeneous epitaxial layers on domestic 6-inch Si-face 4° off-axis n+ 4H-SiC substrates. The schematic diagram of the reactor is described in Figure 1. Trichlorohydrosilicon (TCS), ethylene (C2H4), and nitrogen (N2) were carried by hydrogen (H2) carrier gas through three gas-flow tunnels into the reaction chamber, respectively. The 4H-SiC wafer was placed at the center of the gas-foiled rotational susceptor. The substrate was spun with the susceptor during the growth process. The exhaust vent was connected to a butterfly valve downstream of the chamber to control the reaction chamber pressure. During epitaxial growth, the TCS served as the silicon source while C2H4 acted as the carbon source. And nitrogen was used as the n-type doping source. The typical process temperature ranged from 1600 to 1650 °C, with a variable H2 carrier gas flow rate of 100–140 slm (standard liter per minute) [15,16,17], while maintaining a process pressure of 100 mbar. In addition, the 4H-SiC wafer continuously rotated at a low speed along to improve the consistency of growth conditions throughout its surface. The target values for the epitaxial wafer specification were as follows: the average doping concentration and thickness were 8 × 1015 cm−3 and 11 microns, respectively. In addition, different TCS flow rates and hydrogen flow rates were used during epitaxial growth in order to investigate the impact of the C/Si ratio, carrier gas on surface roughness and uniformity of the epitaxial layer.
Figure 1.
The structure diagram of the SiC epitaxial reactor.
The drift layer thickness trends of 6-inch 4H-SiC epitaxial wafers were characterized using Fourier transform infrared spectroscopy (FTIR iS10, Thermo Fisher Scientific Inc., Waltham, MA, USA), which calculated the thickness of the SiC epi-layer by utilizing the interference effect of difference in the infrared refractive index due to different doping concentrations between the SiC epitaxial layer and substrate. The formula for calculating the epitaxial layer thickness on the substrate is as follows [18,19]:
where d is the epitaxial thickness (μm); 1/λ2 and 1/λ1 are the wavenumbers; M is the number of wave crests between 1/λ2 and 1/λ1; n is the refractive index of 4H SiC epitaxy; θ is the incident angle of infrared ray. The doping concentrations of the epi-layer were measured by using a non-contact C-V system (FAaST 230 C-V system, Semilab Semiconductor Physics Laboratory Co. Ltd., Budapest, Hungary). The non-contact C-V measurement of dopant concentration uses corona charge biasing, ΔQC, and monitoring of surface voltage, ΔV. Differential capacitance (C = ΔQC/ΔV) was calculated and sequential charging–measuring in depletion gave the non-contact Schottky barrier C-V, C-Q, and V-Q characteristics [20,21,22,23,24,25,26,27]. These characteristics enable extraction of electrical parameters using well-established procedures, for instance, the standard 1/C2 vs. V method gives the dopant concentration, ND. The calculation formula is shown below [23,27]:
For the calculation of ND, ε is a dielectric constant, ε0 is the permittivity of free space and q is the elemental charge [23]. In order to ensure the accuracy of the testing results, the testing reliability is verified through multiple tests using standard wafers after the instrument calibration is completed. The same point test deviation of the FTIR and the non-contact C-V system on the calibration wafer are less than 0.1% and 0.5%, respectively. As depicted in Figure 2, the test points’ locations for doping concentration and thickness analysis are identical, which included selecting twenty-five test points on the wafer surface excluding a five-millimeter edge region. Each test point is equally spaced along two mutually perpendicular diameters: points one and thirteen represent edge points; points two and twelve denote sub-edge points, while point seven is positioned at the center of the wafer. The overall thickness, doping concentration, and uniformity of the whole epitaxial wafer were calculated by using the ratio of standard deviation to the average value of these twenty-five test points in Figure 2. Atomic force microscope measurements using the Bruker Dimension Icon instrument determined wafer surface roughness, whereas defects within the epitaxial layers were identified utilizing the surface inspection system (Candela8520, KLA Corporation, Milpitas, CA, USA) [28,29,30].
Figure 2.
The distribution of test points on the wafer surface.
3. Results and Discussion
3.1. The Impact of Carrier Gas Flow Rate on Doping Uniformity of Epitaxial Layers
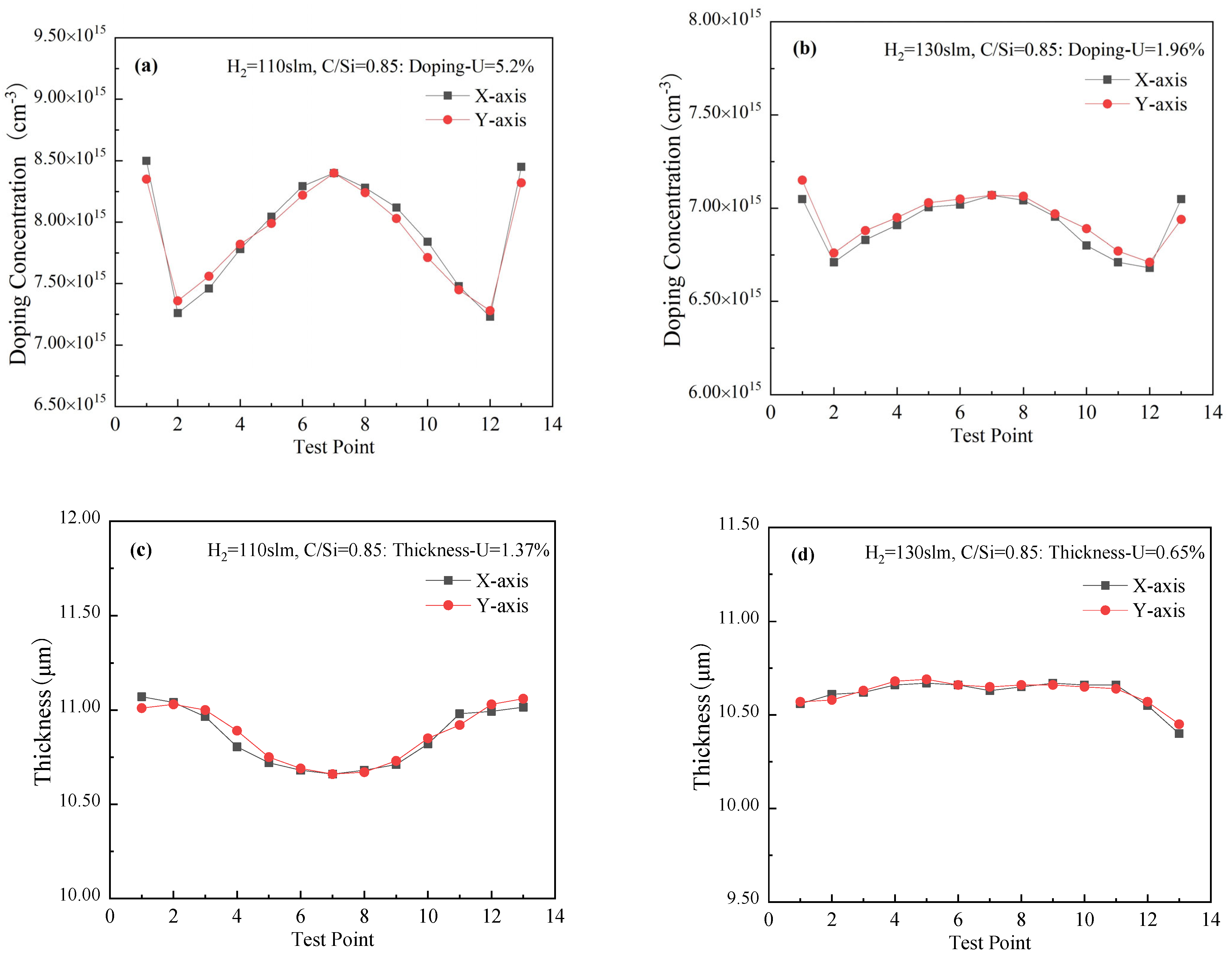
The doping concentration and thickness distribution of the SiC epitaxial wafers are presented in Figure 3 for H2 carrier gas flow rates of 110 slm and 130 slm, respectively, while maintaining a C/Si ratio of 0.85. Based on the data shown in Figure 3, it is apparent that the doping concentration curve on the epitaxial wafer exhibits a classical “W” shape, which is primarily influenced by the different along-track depletion rate of the two source gases and independently controlled dopant (N2) flow rate in three gas-flow tunnels within the horizontal hot-wall epitaxial reactor (Figure 1) [17,31,32,33,34,35]. Generally, the carbon source exhibits a higher “along-track depletion” rate compared to the silicon source, due to its decomposition and deposition at lower temperatures [36]. When the wafer rotates, it results in a lower actual C/Si ratio at the wafer center compared to its edge. In case there is no additional independent doping source present on the wafer edge within this 6-inch range, a gradual increase in doping concentration can be observed from edge to center on the wafer surface, represented by curve “A” in terms of doping concentration distribution. The inlet area of the epitaxial reactor used in this experiment is divided into three sections, allowing for independent adjustment of doping concentration at the edge and center of the wafer (by regulating nitrogen flow separately). As a result, the doping concentration on the wafer surface can be distributed in a typical “W” shape along the diameter direction. When the carrier gas flow rate is set at 110 slm (as depicted in Figure 3a), the doping concentration distribution across different points on the wafer is dispersed, and the difference between the center point and the sub-edge point of the wafer is approximately 1.3 × 1015/cm3, resulting in poor uniformity of 5.2%, which falls below the current international mainstream standards (typically ranging from 3% to 4%). It is somewhat surprising that when increasing the carrier gas flow rate to 130 slm, there is a significant improvement observed in terms of doping concentration uniformity on the epitaxial wafer with an enhanced value of 1.96% (as depicted in Figure 3b), which not only surpasses previous results but also exceeds current mainstream levels. On the other hand, as shown in Figure 3b,c, when the H2 flow rate increased from 110 slm to 130 slm, the epitaxial layer at the center of the wafer became significantly thicker compared to the edge, and the uniformity of the thickness of the epi-wafer improved from 1.37% to 0.65%. We also found that when the carrier gas flow rate increased from 110 slm to 130 slm, the average thickness of the epitaxial layer decreased from 10.86 μm to 10.62 μm, and the thickness at the center of the wafer reduced more than that close to the edge, which indicated that the growth rate of the epi-layer slowed down as the carrier gas flow increased.
Figure 3.
The doping concentration and thickness curve distribution of the epitaxial wafer at C/Si ratio of 0.85 with a carrier gas flow rate of (a,c) 110 slm and (b,d) 130 slm, respectively.
The reason for the significant improvement in doping and thickness uniformity with an increase in H2 carrier gas flow is as follows: the gas flows horizontally from the upstream to the downstream of the chamber and passes through the substrate surface in a laminar manner. Due to different decomposition and sedimentation conditions of different sources, carbon sources (C2H4) have more significant “along-track depletion” rates compared to silicon sources (TCS), resulting in less of the carbon source at the center due to wafer rotation [37]. Thus, there is a decrease in the actual C/Si ratio on the wafer from the edge to the center. According to the “site-competition epitaxy” of C and N atoms [38,39,40], the doping concentration gradually decreases from the center to the edge on the wafer (it is worth noting that a higher doping concentration at the wafer edge is due to compensation by adding N2 during the epitaxy process). When the chamber pressure remains constant and the carrier gas flow increases, it leads to an increased flow rate and reduced residence time of source gas inside the chamber, which slows down gas depletion along the gas flow direction, reducing differences in the C/Si ratio between the edge and center on the wafer [41,42]. In addition, in the SiHCl3/C2H4/H2 system, based on the numerical simulation about the 4H-SiC epitaxial chemical vapor deposition process, there are four chemical reactions, which include three gas phase reactions and one surface reaction [42,43,44,45]. These equations are shown as follows [42]:
The gas-phase reactions:
SiHCl3 → SiCl2 + HCl
C2H4 → C2H2 + H2
6SiCl2 + 3C2H2 + 3H2 →6SiC + 12HCl
The surface reaction:
2SiCl2 + C2H2 + H2 → 2SiC + 4HCl
From these equations, it can be observed that SiCl2 is the silicon intermediate, while C2H2 is the carbon inter-mediate with a concentration that is unaffected by the silicon precursor [44]. The chemical reaction of Equation (4) is reversible and the reverse rate cannot be ignored [44]. As the H2 carrier gas flow increased, the consumption of C2H4 from upstream to downstream of the reaction chamber was slowed down, which increased the true C/Si ratio at the center of the epi-wafer. Consequently, there is a decreased difference in the surface doping concentration and thickness between the sub-edge and edge of the wafer, resulting in a significantly improved doping concentration and thickness uniformity. It is worth noting that the thickness curves can also significantly influence the ratio of gas-flow distribution among the central and lateral tunnels [41].
3.2. The Influence of the C/Si Ratio on the Surface Roughness and Doping Uniformity of the SiC Epitaxial Layer
Figure 4 illustrates the defect inspection results of two SiC epitaxial wafers subjected to identical process conditions (with a C/Si ratio of 0.95 and carrier gas flow rate of 130 slm). As depicted in Figure 4a,b, it can be seen that the defects on both epitaxial wafers are unevenly distributed. The magnified image, taken from the localized anomalous region of the epitaxial wafers (Figure 4c), reveals that this area is significantly rougher and accompanied by aggregated macroscopic steps.
Figure 4.
(a,b) are the defect inspection results of the epitaxial layer when the H2 carrier gas flow rate is 130 slm and a C/Si ratio is 0.95; (c) is a localized magnified view at the edge of the epitaxial wafer.
The test results demonstrate the impact of reducing the C/Si ratio to 0.85 on surface defects observed on the epitaxial wafer. Notably, as depicted in the aforementioned figure, when employing the same process recipe, surface defects on both epitaxial wafers exhibit a uniform distribution without any localized aggregation as previously observed. Furthermore, upon closer examination at higher magnification (Figure 5c), it is evident that the macroscopic steps present on the epitaxial wafer’s surface disappeared with a decrease in the C/Si ratio.
Figure 5.
(a,b) are the defect inspection results of the epitaxial layer when the H2 carrier gas flow rate is 130 slm and the C/Si ratio is 0.85; (c) is a localized magnified view at the edge of the epitaxial wafer.
The Atomic Force Microscope (AFM) images of the epitaxial wafer surface are presented in Figure 6, illustrating the impact of different C/Si ratios while keeping other process parameters constant. It is evident that the surface roughness Ra of the wafers decreases significantly from 1.82 nm to 0.16 nm as the C/Si ratio reduces from 0.95 to 0.85, with a constant H2 carrier gas flow rate of 130 slm. A comprehensive comparison among Figure 4, Figure 5 and Figure 6 reveals that at a C/Si ratio of 0.95, the wafer surface exhibits pronounced roughness, particularly at the edge compared to the center, due to the higher actual C/Si ratio at the edge region compared to in its central part. In SiC homogeneous epitaxy, maintaining an appropriate C/Si ratio is crucial for achieving high-quality epitaxial layers. Excessively high C/Si ratios tend to promote the “two-dimensional nucleation” growth mode during epitaxial processes, which disrupts step flow growth and ultimately leads to increased surface roughness [46]. However, when reducing the C/Si ratio to 0.85, there is a more rapid decline in the actual C/Si ratio towards the wafer’s edge relative to its center region, facilitating the step flow growth mode and resulting in significant improvement in excessive edge roughness.
Figure 6.
Surface AFM morphology at a carrier gas flow rate of 130 slm with the C/Si ratio of (a) 0.95 and (b) 0.85, respectively.
3.3. Effect of C/Si Ratio on the Doping Uniformity and the Growth Rate of the Epitaxial Layer
Figure 7 shows the doping and thickness distribution curves of the two wafers in Figure 4. From Figure 7, we can see that when the C/Si ratio is 0.95, the uniformity of doping concentration on the wafer surface is 4.2% and 4.9%, respectively. Moreover, the doping distribution curves exhibit noticeable asymmetry, indicating abnormally high doping concentrations at certain edge points. By considering the results from surface defect inspection (Figure 4), surface roughness analysis (Figure 6), and test point distribution mapping (Figure 2) presented earlier, it becomes apparent that these abnormal high-doping concentrations points occur within these areas characterized by relatively large surface roughness caused by macro-step aggregation phenomena. In other words, the aggregation of macro-steps on the wafer surface causes the doping concentration measurement anomaly, resulting in edge doping concentration asymmetry, and ultimately worsens the overall doping concentration uniformity. When the C/Si ratio decreases to 0.85 (as depicted in Figure 8), a significant enhancement in the uniformity of doping concentration is observed in the epitaxial layer, optimized from over 4% to approximately 1.8% and 1.6%, respectively. Moreover, the doping concentration distribution curves exhibit evident symmetry, displaying a characteristic “W” shape. By considering Figure 5 and Figure 6 together, it becomes apparent that the reduction in overall roughness of the epitaxial layer on SiC substrates is primarily responsible for the improvement of symmetry.
Figure 7.
The doping concentration distribution curve on the surface of the epitaxial wafers with a carrier gas flow rate of 130 slm and a C/Si ratio of 0.95; the doping uniformity is (a) 4.2% and (b) 4.9%, respectively.
Figure 8.
The doping concentration distribution curve on the surface of the epitaxial wafer with a carrier gas flow rate of 130 slm and a C/Si ratio of 0.85; the doping uniformity is (a) 1.8% and (b) 1.6%, respectively.
Figure 9 shows the thickness distribution curves of the epi-layers when the C/Si ratios were kept at 0.95 and 0.85, respectively. It can be seen that the thickness curves on the wafer are basically symmetrical. However, the overall average thickness of the epi-layers deposited on the wafer decreased from 11.19 μm to 10.87 μm, indicating that the average growth rate slowed down as the C/Si ratio reduced to 0.85, which is mainly caused by the reduction in the carbon source (C2H4) flow rate.
Figure 9.
The thickness distribution curves on the surface of the epi-wafer at a carrier gas flow rate of 130 slm with different C/Si ratios at (a) 0.95 and (b) 0.85, respectively.
In summary, by optimizing the process parameters, i.e., increasing the carrier gas flow rate and reducing the C/Si ratio, the doping concentration uniformity of the epitaxial wafers was stabilized between 1 and 2%, and the thickness uniformity of the epitaxial wafers was stabilized at less than 1%. Additionally, the surface roughness Ra was significantly reduced to an impressive level of 0.2 nm, surpassing the industry standards established by reputable manufacturers specializing in epitaxial wafer production.
4. Conclusions
In this work, we successfully prepared high-quality SiC epitaxy wafers on domestic 6-inch 4H-SiC wafers using a self-developed SiC epitaxy growing reactor. Additionally, the effects of the carrier gas flow rate and C/Si ratio on doping concentration uniformity and surface roughness of the epitaxial wafers were investigated. The results demonstrate that increasing the carrier gas flow rate can minimize source gas loss during deposition and enhance the doping and thickness uniformity of the 6-inch epitaxial wafer to less than 2% and 1%, respectively. Moreover, reducing the C/Si ratio significantly suppresses the “two-dimensional nucleation growth mode” and optimizes the surface roughness Ra of the epitaxial wafer to below 0.2 nm, meeting industry standards for high-quality SBD and MOSFET devices.
Author Contributions
X.G.: Methodology, Investigation, Formal analysis, Conceptualization, Funding acquisition; Writing—original draft. T.X.: Data curation, Formal analysis; Writing—review and editing. F.H.: Formal analysis, Investigation, Methodology, Visualization; Writing—review and editing. P.L.: Software, Formal analysis; Writing—review and editing. S.B.: Validation; Writing—review and editing. L.W.: Conceptualization, Validation; Writing—review and editing. W.Z.: Supervision, Resources, Methodology; Writing—review and editing. All authors have read and agreed to the published version of the manuscript.
Funding
This research was funded by the Science and Technology Projects of Hunan Province, China (2021JK1090).
Institutional Review Board Statement
Not applicable.
Informed Consent Statement
Not applicable.
Data Availability Statement
Data are available upon reasonable request.
Conflicts of Interest
The authors declare no conflicts of interest.
References
- Veliadis, V. SiC Mass Commercialization: Present Status and Barriers to Overcome. Mater. Sci. Forum 2022, 1062, 125–130. [Google Scholar] [CrossRef]
- Gu, N.; Yang, J.; Jian, J.; Song, H.; Chen, X. Characterization and formation mechanism of short step-bunching defects on 4H-SiC thick homoepitaxial films. J. Cryst. Growth 2024, 634, 127677. [Google Scholar] [CrossRef]
- Tsunenobu, K. High-voltage SiC power devices for improved energy efficiency. Proc. Jpn. Acad. Scr. B. 2022, 98, 161–189. [Google Scholar]
- Zekentes, K.; Veliadis, V.; Ryu, S.; Vasilevskiy, K.; Pavlidis, S.; Salemi, A.; Zhang, Y. SiC and GaN Power Devices. In More-Than-Moore Devices and Integration for Semiconductors; Iacopi, F., Ed.; Springer: Cham, Switzerland, 2023; pp. 47–91. [Google Scholar]
- Lee, K.Y. The Applications of SiC Power Devices in Renewable Energy and EV. In Proceedings of the 2022 International Symposium on VLSI Design, Automation and Test (VLSI-DAT), Taiwan, China, 18–21 April 2022; p. 1. [Google Scholar]
- Ha, S.; Mieszkowski, P.; Skowronski, M.; Rowland, L.B. Dislocation conversion in 4H silicon carbide epitaxy. J. Cryst. Growth 2004, 244, 257–266. [Google Scholar] [CrossRef]
- Hiroyuki, M.; Kimoto, T. Step-controlled epitaxial growth of SiC: High quality homoepitaxy. Mat. Sci. Eng. 1997, R.20, 125–166. [Google Scholar]
- Akira, I.; Hironobu, A.; Tsunenobu, K.; Hiroyuki, M. High-quality 4H-SiC homoepitaxial layers grown by step-controlled epitaxy. Appl. Phys. Lett. 1994, 65, 1400–1402. [Google Scholar]
- Chung, G.; Loboda, M.J.; Zhang, J.; Wan, J.W.; Carlson, E.P.; Toth, T.J.; Stahlbush, R.E.; Skowronski, M.; Berechman, R.; Sundaresan, S.G.; et al. 4H-SiC epitaxy with very smooth surface and low basal plane dislocation on 4 degree off-axis wafer. Mater. Sci. Forum 2011, 679–680, 123–126. [Google Scholar] [CrossRef]
- Gu, J.; Ju, J.; Wang, R.; Li, J.; Yu, H.; Wang, K. Effects of Laser Scanning Rate and Ti Content on Wear of Novel Fe-Cr-B-Al-Ti Coating Prepared via Laser Cladding. J. Therm. Spray Technol. 2022, 31, 2609–2620. [Google Scholar] [CrossRef]
- Kordina, O.; Hallin, C.; Henry, A.; Bergman, J.P.; Ivanov, I.; Ellison, A.; Son, N.T.; Janzén, E. Growth of SiC by hot-wall CVD and HTCVD. Phys. Status Solidi B 1997, 202, 321–334. [Google Scholar] [CrossRef]
- Burk, A.A.; Tsvetkov, D.; Barnhardt, D.; O’Loughlin, M.J.; Garrett, L.; Towner, P.; Seaman, J.; Deyneka, E.; Khlebnikov, Y.; Palmour, J. SiC epitaxial layer growth in 6×150 mm warm-wall planetary reactor. Mater. Sci. Forum 2012, 717–720, 75–80. [Google Scholar] [CrossRef]
- Wang, K.; Liu, W.; Li, X.; Tong, Y.; Hu, Y.; Hu, H.; Chang, B.; Ju, J. Effect of hot isostatic pressing on microstructure and properties of high chromium K648 superalloy manufacturing by extreme high-speed laser metal deposition. J. Mater. Res. Technol. 2024, 28, 3951–3959. [Google Scholar] [CrossRef]
- Tsuchida, H.; Kamata, I.; Miyazawa, T.; Ito, M.; Zhang, X.; Nagano, M. Recent advances in 4H-SiC epitaxy for high-voltage power devices. Mat. Sci. Semicon. Proc. 2018, 78, 2–12. [Google Scholar] [CrossRef]
- Song, B.; Gao, B.; Han, P.; Yu, Y.; Tang, X. Numerical simulation of gas phase reaction for epitaxial chemical vapor deposition of silicon carbide by methyltrichlorosilane in horizontal hot-wall reactor. Materials 2021, 14, 24. [Google Scholar] [CrossRef] [PubMed]
- Tang, Z.; Gu, L.; Jin, L.; Dai, K.; Mao, C.; Wu, S.; Zhang, R.; Yang, J.; Ying, J.; Fan, J.; et al. Insights into the effect of susceptor rotational speed in CVD reactor on the quality of 4H-SiC epitaxial layer on homogeneous substrates. Mater. Today Commun. 2024, 38, 108037. [Google Scholar] [CrossRef]
- Kudou, C.; Tamura, K.; Nishio, J.; Masumoto, K.; Kojima, K.; Ohno, T. Dependence of the growth parameters on the in-plane distribution of 150 mm φ size SiC epitaxial wafer. Mater. Sci. Forum 2014, 778–780, 139–142. [Google Scholar] [CrossRef]
- Albert, M.P.; Combs, J.F. Thickness Measurement of Epitaxial Films by the Infrared Interference Method. J. Electrochem. Soc. 1962, 9, 109. [Google Scholar] [CrossRef]
- ASTM F95-89; Standard Test Method for Thickness of Lightly Doped Silicon Epitaxial Layers on Heavily Doped Silicon Substrates Using an Infrared Dispersive Spectrophotometer. ASTM: West Conshohocken, PA, USA, 2000.
- Czett, A.; Buday, C.; Savtchouk, S.; Marinskiy, D. Non-contact high precision alternative to Hg-probe for dopant profiling in SiC. Phys. Status Solidi C 2014, 11, 1601–1605. [Google Scholar] [CrossRef]
- Wilson, M.; Marinskiy, D.; Savtchouk, A.; Almeida, C.; Schrayer, B.; Lagowski, J. Characterization of gallium oxide with a novel non-contact electrical metrology, CnCV, for wide bandgap semiconductors. Meet. Abstr. MA 2022, 2022–01, 1324. [Google Scholar] [CrossRef]
- Marinskiy, D.; Savtchouk, A. A novel approach to measuring doping in SiC by micro spot corona-Kelvin method. Mater. Sci. Forum 2015, 821–823, 273–276. [Google Scholar] [CrossRef]
- Findlay, A.D.; Wilson, M.; Savtchouk, A.; D’Amico1, J.; Lagowski, J.; Hillard, R. Recent advancement in charge and photo-assisted non-contact electrical characterization of SiC, GaN, and AlGaN/GaN HEMT. ECS Trans. 2017, 80, 261. [Google Scholar] [CrossRef]
- Savtchouk, A.; Wilson; Damico, J.; Almeida, C.; Lagowski, J. Improved high precision dopant/carrier concentration profiling with corona-charge con-contact C-V (CnCV). Mater. Sci. Forum 2020, 1004, 237–242. [Google Scholar] [CrossRef]
- Pushkarev, V.; Rana, T.; Gave, M.; Sanchez, E.; Savtchouk, A.; Wilson, M.; Marinskiy, D.; Lagowski, J. Optimizing non-contact doping and electrical defect metrology for production of SiC epitaxial wafers. SSP 2023, 342, 99–104. [Google Scholar] [CrossRef]
- Savtchouk, A.; Wilson, M.; Marinskiy, D.; Schrayer, B.; Almeida, C.; Lagowski, J. Recent progress in non-nontact electrical characterization for SiC and related compounds. Mater. Sci. Forum 2023, 1089, 51–56. [Google Scholar] [CrossRef]
- Schroder, D.K. Semiconductor Material and Device Characterization; John Wiley & Sons, Inc.: Hoboken, NJ, USA, 2006; pp. 61–63. [Google Scholar]
- Imaging Update Group. KLA-Tencor has Adopted Candela Inspection System. Imaging Update 2011, 11, 22. [Google Scholar]
- Cui, Y.; Li, J.; Zhou, K.; Zhang, X.; Sun, G. Influence of extended defects and oval shaped facet on the minority carrier lifetime distribution in as-grown 4H-SiC epilayers. Diam. Relat. Mater. 2019, 92, 25–31. [Google Scholar] [CrossRef]
- Niu, Y.; Tang, X.; Wu, P.; Kong, L.; Li, Y.; Xia, J.; Tian, H.; Tian, L.; Tian, L.X.; Zhang, W.; et al. Effect of growth rate on morphology evolution of 4H-SiC thick homoepitaxial layers. J. Cryst. Growth 2018, 507, 143–145. [Google Scholar] [CrossRef]
- Kudou, C.; Tamura, K.; Aigo, T.; Ito, W.; Nishio, J.; Kojima, K.; Ohno, T. Dependence of 4H-SiC epitaxial layer quality on growth conditions with wafer size corresponding to 150 mm. Mater. Res. Soc. Symp. Proc. 2022, 1433, 59–64. [Google Scholar] [CrossRef]
- Mauceri, M.; Pecora, A.; Litrico, G.; Vecchio, C.; Puglisi, M.; Crippa, D.; Piluso, N.; Camarda, M.; Via, F.L. 4H-SiC epitaxial layer grown on 150 mm automatic horizontal hot wall reactor PE106. Mater. Sci. Forum 2014, 778–780, 121–124. [Google Scholar] [CrossRef]
- Hecht, C.; Stein, R.; Thomas, B.; Wehrhahn-Kilian, L.; Rosberg, J.; Kitahata, H.; Wischmeyer, F. High-performance multi-wafer SiC epitaxy -first results of using a 10 × 100mm reactor. Mater. Sci. Forum 2010, 645–648, 89–94. [Google Scholar] [CrossRef]
- Zhang, J.; Mazzola, J.; Hoff, C.; Koshka, Y.; Casady, J. High Growth Rate (up to 20 µm/h) SiC epitaxy in a horizontal hot-wall reactor. Mater. Sci. Forum 2005, 483–485, 77–80. [Google Scholar] [CrossRef]
- Ito, M.; Storasta, L.; Tsuchida, H. Development of a High Rate 4H-SiC Epitaxial Growth Technique Achieving Large-Area Uniformity. Mater. Sci. Forum 2009, 600–603, 111–114. [Google Scholar] [CrossRef]
- Larkin, D.J.; Neudeck, P.G.; Powell, J.A.; Lawrence, G.M. Site-competition epitaxy for superior silicon carbide electronics. Appl. Phys. Lett. 1994, 65, 1659–1661. [Google Scholar] [CrossRef]
- Ji, W.; Lofgren, P.M.; Hallin, C.; Gu, C.Y.; Zhou, G. Computational modeling of SiC epitaxial growth in a hot wall reactor. J. Cryst. Growth 2000, 220, 560–571. [Google Scholar] [CrossRef]
- Schöner, A.; Sugiyama, N.; Takeuchi, Y.; Malhan, R.K. In situ nitrogen and aluminum doping in migration enhanced embedded epitaxial growth of 4H-SiC. Mater. Sci. Forum 2009, 600–603, 175–178. [Google Scholar] [CrossRef]
- Ferro, G.; Chaussende, D. Revisiting the site-competition doping of 4H-SiC: Cases of N and Al. Mater. Sci. Forum 2020, 1004, 96–101. [Google Scholar] [CrossRef]
- Zhang, J.; Ellison, A.; Henry, A.; Linnarssonb, M.K.; Janzén, E. Nitrogen incorporation during 4H-SiC epitaxy in a chimney CVD reactor. J. Cryst. Growth 2001, 226, 267–276. [Google Scholar] [CrossRef]
- Tang, Z.; Gu, L.; Ma, H.; Mao, C.; Wu, S.; Zhang, N.; Huang, J.; Fan, J. Influence of temperature and flow ratio on the morphology and uniformity of 4H-SiC epitaxial layers growth on 150 mm 4°off-axis substrates. Crystals 2023, 13, 62. [Google Scholar] [CrossRef]
- Tang, Z.; Zhao, S.; Li, J.; Zuo, Y.; Tian, J.; Tang, H.; Fan, J.; Zhang, G. Optimizing the chemical vapor deposition process of 4H-SiC epitaxial layer growth with machine-learning-assisted multiphysics simulations. Case Stud. Therm. Eng. 2024, 59, 104507. [Google Scholar] [CrossRef]
- Fiorucci, A.; Moscatelli, D.; Masi, M. Homoepitaxial silicon carbide deposition processes via chlorine routes. Surf. Coat. Tech. 2007, 201, 22–23. [Google Scholar] [CrossRef]
- Leone, S.; Kordina, O.; Henry, A.; Nishizawa, S.; Danielsso, Ö.; Janzén, E. Gas-phase modeling of chlorine-based chemical vapor deposition of silicon carbide. Cryst. Growth Des. 2012, 12, 1977–1984. [Google Scholar] [CrossRef]
- Guan, K.; Zeng, Q.; Liu, Y.; Luan, X.; Lu, Z.; Wu, J. A multiscale model for CVD growth of silicon carbide. Comp. Mater. Sci. 2021, 196, 110512. [Google Scholar] [CrossRef]
- Ji, S.; Kosugi, R.; Kojima, K.; Adachi, K.; Kawada, Y.; Mochizuki, K.; Yonezawa, Y.; Yoshida, S.; Okumura, H. Fast-filling of 4H-SiC trenches at 10 μm/h by enhancing partial pressures of source species in chemical vapor deposition processes. J. Cryst. Growth 2020, 546, 125809. [Google Scholar] [CrossRef]
Disclaimer/Publisher’s Note: The statements, opinions and data contained in all publications are solely those of the individual author(s) and contributor(s) and not of MDPI and/or the editor(s). MDPI and/or the editor(s) disclaim responsibility for any injury to people or property resulting from any ideas, methods, instructions or products referred to in the content. |
© 2024 by the authors. Licensee MDPI, Basel, Switzerland. This article is an open access article distributed under the terms and conditions of the Creative Commons Attribution (CC BY) license (https://creativecommons.org/licenses/by/4.0/).








