Abstract
This study takes the wooden components of the different parts of the ancient buildings at the site of the Zhuangzishang Conference as the object of study, and investigates the deterioration state of the different wood components. To assess their degree of degradation, the wood anatomy, basic density (BD), maximum water content (MWC), cell wall major components, X-ray diffraction (XRD), infrared spectroscopy (IR), and thermogravimetry (TG) were used to compare the samples of new and old wood from the same species. The window (W) was identified by microscopic characterization as cypress (Cupressus sp.), the footing beam (FB) and the weatherboard (WB) as pine (Pinus spp.), the purlin (P) and the column (C) as Chinses fir (Cunninghamia spp.), and the floor (F) as spruce (Picea sp.). In terms of their physical properties, the old wood had a lower basic density of 2.58%–38.19%, a lower air-dry density of 2.87%–39.81%, and a higher maximum moisture content of 8.52%–41.38% compared to the reference wood. The degradation of the FB, which has been subjected to moisture and sunlight, and the P, which has been subjected to termite damage, was greater than that of their conspecifics. The integrated holocellulose of the ancient wood was 3.34%–16.48% less, and the hemicellulose was 1.6%–21.92% less compared to that of the reference wood, and the lignin was 1.32%–25.07% more. The XRD results showed that the crystallinity of the cellulose was greater in the different species of ancient wood compared to the control wood, which was caused by the decrease in the amorphous zones of the hemicellulose and cellulose in the ancient wood. The IR indicated that the degradation of cellulose and hemicellulose occurred in the old wood of all species, from the new lignin uptake peaks in the UV-exposed W, FB, and WB compared to the control timber. The pyrolytic behavior of the ancient and control timber is mainly related to the degradation of the tree species and the ancient wood holocellulose. These results show that the differences in the wooden components of the different parts of the ancient buildings at the Zhuangzishang Conference site are mainly related to the species of trees used in the components, and are secondly related to the location of the ancient wood members, which provides useful information for the protection and repair of the ancient buildings at the site.
1. Introduction
The entire span of human existence and development has consistently revolved around the processing and utilization of wood. Wooden remains from archaeological excavations contain information about human activity. The identification of wood species in archaeological contexts not only provides insight into the structural, physical, and chemical properties of the material itself, but also sheds light on ancient peoples’ knowledge of wood [1,2,3,4], as well as the climatic conditions and vegetation distribution during that time period [5,6]. These natural and social attributes are crucial for understanding the significance of archaeological wood.
The wooden structures of ancient Chinese architectural cultural relics not only serve as significant representatives of China’s architectural and national culture, but also constitute an indispensable component of the world’s architectural cultural heritage. The use of wood as the load-bearing member was the mainstay of traditional Chinese architecture. However, wood, being a natural renewable polymer material, is susceptible to biotic environmental factors (such as insects and microorganisms) and abiotic environmental factors (including sunlight, moisture, and temperature) [7,8,9,10]. Wood construction timber is more susceptible to insects, fungi, moisture, and UV light than buried timber [11,12,13,14]. These factors can lead to damage to and degradation of the wood cell walls, resulting in a decline in the physical and mechanical properties of the wood, or even permanent catastrophic failures. Among them, fungal decay and insects are no less capable of destroying wood than fire, such as soil termites that gnaw on wood and consume the cellulose in wood, and fungal growth consumes cellulose, hemicellulose, starch, monosaccharides, and other carbon compounds in wood, resulting in the degradation of the wood cell walls. Meanwhile, UV light from sunlight causes changes in the chemical groups of lignin, which ultimately leads to lignin degradation [15,16,17]. Furthermore, assessing the condition of archaeological wood degradation should also take into account key factors, such as moisture content and temperature, as crucial factors [18]. Rain falling upon unprotected wood surfaces washes away water-soluble photodegradation products, causing surface erosion. High temperatures accelerate weathering.
Specifically, there are significant differences in the state of the preservation of wood in different parts of ancient buildings. These differences stem from differences in the material properties, including their physical, chemical, and processing properties. Secondly, there are environmental variations based on the location of the components in the building. For instance, areas such as the windows, eaves, and exterior siding are more susceptible to ultraviolet radiation and rain exposure, while the wooden elements of the foundation face potential mold and rot due to water absorption and humidity [19,20]. According to the ‘Technical standard for maintenance and strengthening of historic timber building’ [21] in China, the repair and preservation of the original wooden frames of ancient architectural structures not only aim to maintain the structural integrity of these cultural relics, but also strive to safeguard their original form, materials, and technological practices. The basic provisions propose that when it is necessary to repair or replace the original wood, the wood used is of the same tree species as the original member; when there are difficulties with this, similar tree species should also be used. Therefore, a comprehensive understanding of the morphological characteristics of the original wooden frame materials, as well as the extent and causes of the damage to these cultural relics, is essential for developing targeted and effective repair programs for ancient building restoration operations.
The Zhuangzishang Conference site is one of the primary locations associated with the Zhaxi Conference, which holds significant historical significance. The site of the old wooden building was originally built in the 15th year of the Qing dynasty Daoguang (1835), and the main room of the old site faces south, and there are two compartments composed of a triple courtyard, which is the traditional residential building style of the south of Sichuan. As one of the traditional dwelling types in China, the southern Sichuan dwellings used local bamboo and wood as the main building materials, and the effect of the building materials on the environment during the construction and use of the dwellings was environmentally friendly. Due to the lack of regular maintenance and repairs, the wooden buildings at the old Zhuangzi Shang site have been subjected to erosion by rain, sunlight, and insects for a long period of time, and in order to protect their historical, cultural, and artistic value, they are going to need repair, before which a survey of the species and preservation of the wooden buildings needs to be carried out. In this paper, we firstly identified the tree species of the wooden components of the different parts of the main house, and then analyzed them in comparison to contemporary wood specimens, in terms of their physical properties and chemical composition. This study means that we can understand the differences that exist in the different parts of the ancient buildings on the site of the old Zhuangzishang Conference and, at the same time, develop a scientific and reasonable maintenance program for the site of the old Zhuangzishang Conference, and hopefully provide a scientific basis for the maintenance of other wooden buildings.
2. Materials and Methods
2.1. Samples of Ancient Wooden Components
The study area is Weixin County, Zhaotong City, Yunnan Province, which is located between longitudes 104°41′15″~105°18′45″ E and latitudes 27°42′30″~28°07′30″ N, with a maximum east–west transverse distance of 57 km, and a maximum north–south longitudinal distance of 36.6 km. Weixin County is located in a cloudy area, along with Guizhou and Sichuan Provinces, referred to as the “chicken three provinces”. Weixin County has a complex and varied topography, with mountainous areas with an obvious three-dimensional climate; the climate belongs to the northern subtropical monsoon hot and humid climate, with no dry and only wet seasons. The four seasons are not obvious, with summer being short and winter long, spring is longer than autumn, summer is not hot, winter is not cold, spring and autumn are warm, and the rain dictates winter’s climatic characteristics.
In this study, we primarily focus on six distinct sections of the wooden components within the main room of the wooden structure located at the Zhuangzishang Conference site. These sections include the W, FB, P, WB, F, and C (Figure 1); the experimental materials were taken from discarded materials that had been replaced by professional carpenters in damaged places. The results of wood identification tests were used to find the reference wood, which were used with the ancient wood to carry out the following experiments. The reference timber used in this experiment was sourced from the Wood Herbarium of Southwest Forestry University.
Figure 1.
Samples of ancient wooden components at different locations.
The W was from the front façade window frame of the main house; the FB was situated at the western base of the main house, precisely on the stone foundation of the catchment pier and adjacent to the drainage ditch (here, those without mycorrhizae are denoted as FB1, and those with pink mycorrhizae are denoted as FB2); the C was extracted from the facade of the primary residence; the P was situated within the building’s interior, serving as partitions between the upper and lower spaces; the WB was situated at the rear gable of the primary residence, positioned on the edge of the roof rafter bar; and the F was situated within the building’s interior lapped on the beam.
2.2. Wood Anatomy
Traditional wood identification technology is based on wood anatomy, using a combination of macro and micro methods for species identification. A macroscopic judgment with the naked eye or a magnifying glass to identify the species’ heart sapwood color and texture; a combined judgment to determine the smell, fluorescence, and basic density size, etc.; and a microscopic observation of the transverse, diameter, and chord sections through an optical microscope to observe the characteristics of the wood needs to be conducted. That is, to observe the composition of the various types of wood cells and tissues regarding their morphology and arrangement of their characteristics; the more characteristics are identified and involved, the more accurate the results will be [22]. In accordance with the national standard general rules for wood identification methods (GB/T 29894-2013) [23], three permanent sections of each sample were made for easy observation and subsequently examined under a microscope (LEICA DM2000LED, Germany) to analyze the microstructural characteristics of the three cross-sectional surfaces, enabling the identification of the wood species through a comparative analysis.
2.3. Physical Properties and Chemical Composition
2.3.1. Measurement of Physical Properties
The air-dry density (AD) and the basic density (BD) were determined by the Chinese standard GB/T 1927.5-2021 [24] Method for Determination of Wood Density. We calculated the maximum water content (MWC) of the wood components following the guidelines outlined in the Chinese standard GB/T 1927.4-2021 [25] Method for Determination of Wood Moisture Content.
The BD (g/cm3) and MWC (%) were determined using the following Equations (1)–(3).
where M denotes the air-dry weight of the samples, V denotes the air-dry volume of the samples, M0 represents the oven-dry weight of the samples, Vmax represents the oven-dry volume of the samples, and Mmax indicates the waterlogged weight of the samples.
AD = M/V
BD = M0/Vmax
MWC = (Mmax − M0)/M0
2.3.2. Main Chemical Components Analysis
The primary chemical composition (cellulose, hemicellulose, and lignin) of the old wood samples and control lumber was analyzed using the NREL method, as recommended by the U.S. Department of Energy for renewable energy research. The analysis of ach set of samples was repeated 3 times. (1) Weigh 0.3 g of a 60-mesh sample, followed by the addition of 3 mL of sulfuric acid (72% concentration). (2) Allow the reaction to proceed at a controlled temperature of 30 ± 3 °C for a duration of 60 min. (3) Subsequently, introduce 84 mL of ultrapure water into an autoclave and maintain it at a temperature of 121 °C for another hour. (4) Filter the resulting mixture using a G3 glass sand core and record the weight as G2. (5) Proceed to dry the G2 in an oven set at 105 °C for four hours before weighing it again to determine the mass of the acid-insoluble lignin. The filtrates are analyzed for the relative proportions of cellulose, hemicellulose, and lignin using an ultraviolet spectrophotometer (UV1900, China) and an ultra-performance liquid chromatograph (ACQUITY UPLC H-Class, USA).
2.3.3. X-ray Diffraction
Cellulose, as a structural component of plant cell walls, is composed of basic filaments formed by the arrangement of multiple chain-like cellulose molecules of varying lengths. The cellulose molecular chains in the basic filaments are arranged in an orderly manner along their length, forming a densely packed region known as the cellulose crystalline zone. The percentage of cellulose occupied by this crystalline zone is referred to as the cellulose crystallinity, which serves as an important indicator reflecting the physical and chemical properties of wood cellulose and its impact on wood strength [26,27,28].
The experimental setup employed for this study was a Rigaku Ultimate IV X-ray diffractometer, manufactured by Rigaku Corp. The X-ray tube employed a copper target with a wavelength of 0.154 nm, while the voltage applied to the radiation tube was set at 40 kV and the current at 30 mA. The 100-mesh sample was compressed into thin slices at an ambient temperature, and the samples were subjected to scanning from 10° to 40° at a rate of 5°/min. The provided spectrum was the average of three measurements for the new and ancient woods.
The relative crystallinity of the different specimens was determined using Equation (4) [29].
where CrI is the percentage of relative crystallinity, I002 is the great intensity of (002) lattice diffraction (arbitrary unit), Iam is the scattering intensity representing the background diffraction from the noncrystalline region when 2θ is close to 18°, and I002 has the same unit as Iam.
Crl = (I002 − Iam)/I002 × 100%
2.3.4. Infrared Spectral Analysis
The 100-mesh samples were ground and blended with potassium bromide to produce thin slices. The experimental setup employed a Nicolet i50 infrared spectrometer from Thermo Scientific (Waltham, MA, USA), featuring a wave number range of 500–4000 cm−1 and a resolution of 4 cm−1. Sub-scans were conducted 32 times for each specimen, and the resulting data were subsequently normalized.
2.3.5. Thermogravimetric Analysis
The thermogravimetric analysis was conducted using a STA449F3 (Nike Scientific Instrument Trading Co., Ltd, Shanghai, China) synchronous thermal analyzer as the experimental equipment. Each test utilized approximately 8 mg of raw material, and was repeated 3 times, with nitrogen serving as the protective gas with an equilibrium gas flow rate of 40 mL/min. The temperature was increased from room temperature to 900 °C at a rate of 10 °C/min.
3. Results
3.1. Wood Identification Results
For the six ancient wood samples, it was found that the wood of sample W was brown in color, the surface was heavily weathered, the growth ring boundary was obvious after sanding, the transition between the early- and latewood types was gradual, and a faint cypress aroma appeared. The FB samples had a brown surface color, a white-to-light-yellow interior color with a turpentine aroma, clear annual rings, the transition between the early- and latewood types was gradual, and there was the presence of axial intercellular resin canals and pink mycorrhizae. The surface color of the P was brown, the internal color after sanding was white with a woody aroma, the growth ring was clear, the transition between the early- and latewood types was abrupt and without a special smell. The WB had a brown surface color and a white interior, with well-demarcated annual rings, the transition between the early- and latewood types was gradual, and there was the presence of axial intercellular canals, overflowing with resin and accompanied by a turpentine aroma. The F had a tan surface, a white-to- pale-yellow color when polished, clear growth rings, the transition between the early- and latewood types was gradual, and there was the presence of axial intercellular canals, and no special smell. The C had a white-to-light-yellow internal color, with a woody aroma, distinct growth rings, and a sharp change in the early- to latewood transition.
By comparing the microstructural characteristics with the analyses of the relevant information [30,31,32,33], the tree species of the six samples were determined to be Cupressus funebris Endl. (Figure 2), Pinus yunnanensis Franch. (Figure 3 and Figure 4), Cunninghamia lanceolata (Lamb.) Hook (Figure 5 and Figure 6), and Picea brachytyla var complanata (Mast) Cheng (Figure 7), based on a wood anatomy analysis, with the identification results presented in Table 1.
Figure 2.
Microscopic pictures from the W sample: (a) a cross section, the arrows point to the longitudinal parenchyma; (b) a radial section, the arrows point to the cupressoid cross field; and (c) a tangential section.
Figure 3.
Microscopic pictures from the FB sample: (a) a cross section, the arrows point to the axial resin canals; (b) a radial section, the arrows point to the window-like cross field; and (c) a tangential section, the arrows point to the radical resin canals.
Figure 4.
Microscopic pictures from the WB samples: (a) a cross section, the arrows point to the axial resin canals; (b) a radial section, the arrows point to the window-like cross field; and (c) a tangential section, the arrows point to the radical resin canals.
Figure 5.
Microscopic pictures from the P sample: (a) a cross section, the arrows point to the longitudinal parenchyma; (b) a radial section, the arrows point to the taxodioid cross field; and (c) a tangential section.
Figure 6.
Microscopic pictures from the C sample: (a) a cross section, the arrows point to the longitudinal parenchyma; (b) a radial section, the arrows point to the taxodioid cross field; (c) a tangential section.
Figure 7.
Microscopic pictures from the F sample: (a) a cross section, the arrows point to the axial resin canals; (b) a radial section, the arrows point to the piceoid cross field; and (c) a tangential section, the arrows point to the radical resin canals.
Table 1.
Results of species identification of ancient wood components.
3.2. Physical Property Analysis
Jensen and Gregory [34] highlighted that the fundamental density and maximum moisture content essentially mirror the extent of the degradation of ancient wood, and could serve as prominent physical assessment metrics with which to gauge the degree of degradation of such wood. The comparison of the data in Table 2 reveals that the basic and air-dry densities of most of the different wood species are lower than those of the control timber. The W was 15.07%–19.34% lower in basic density, 15.49%–19.74% lower in air-dry density, and 23.32%–29.00% higher in maximum water content than the reference cypress. The FB was 34.34%–38.19% lower in basic density, 35.89%–39.81% lower in air-dry density, and 35.81%–41.38% higher in maximum water content than the reference pine. The WB was 28.31%–32.51% lower in basic density, 29.55%–33.86% lower in air-dry density, and 33.71%–39.46% higher in maximum water content than the reference pine. The P was 11.81%–24.13% lower in basic density, 25.75%–30.89% lower in air-dry density, and 21.75%–34.93% higher in maximum water content than the reference Chinese fir. The C was 2.58%–16.19% lower in basic density, 2.87%–17.34% lower in air-dry density, and 11.96%–26.79% higher in maximum water content than the reference Chinese fir. The F was −13.95%–29.03% lower in basic density, 30.51%–33.67% lower in air-dry density, and 8.52%–14.26% higher in maximum water content than the reference spruce. These numbers indicate parenchyma degradation and significant internal voids [35,36]. There was an increase in the maximum water content, surpassing that observed in the reference timber. The basic density of the FB was lower than that of the WB for the same species, while its maximum saturated water content exceeded that of the WB, indicating a greater degree of degradation in the FB compared to the WB. This may be related to the environment of the FB’s location, which was on top of the foundation stone, heavily affected by moisture and sunlight, and subjected to long-term loading that made its preservation condition lower than that of the WB. The basic density of the P was lower than that of the C, while the maximum saturated moisture content of the P was higher, which is indicative of more severe deterioration in the P. The macroscopic photos also show that the P was more seriously infested by termites.
Table 2.
Comparison of physical properties of ancient wood components with reference wood *.
3.3. Main Chemical Composition Analysis
The chemical composition of both the ancient wood components and the reference lumber are presented in Table 3. As illustrated in Table 3, the majority of the ancient wood specimens exhibited little change in their lignin content and a lower hemicellulose content in comparison to the reference timber [37,38]. The W was 7.19% lower in holocellulose content, 20.81% lower in hemicellulose content, and 1.98% lower in lignin content than the reference cypress. The FB1 was 15.68% lower in holocellulose content, 21.92% lower in hemicellulose, and 25.07% higher in lignin content than the reference pine. The FB2 was 12.96% lower in holocellulose content, 18.04% lower in hemicellulose, and 20.97% higher in lignin content than the reference pine. The WB was 16.48% lower in holocellulose content, 21.92% lower in hemicellulose, and 22.85% higher in lignin content than the reference pine. The P was 12.09% lower in holocellulose content, 9.84% lower in hemicellulose, and 11.62% higher in lignin content than the reference Chinese fir. The C was 8.45% lower in holocellulose content, 5.09% lower in hemicellulose, and 12.94% higher in lignin content than the reference Chinese fir. The F was 3.34% lower in holocellulose content, 1.06% lower in hemicellulose, and 1.32% higher in lignin content than the reference spruce. The disparity between the relative lignin and hemicellulose contents of the ancient and reference timbers is particularly prominent for the FB1, FB2, WB, P, and C. The lower cellulose and hemicellulose content observed in the ancient wood specimens, as compared to the reference wood, can be attributed to the degradation of holocellulose within the former. Among the microbial organisms affecting the ancient wood members, bacteria and brown rot fungi exhibit a higher capacity for degrading syntaxic cellulose, particularly hemicellulose, than lignin. This results in severe hemicellulose degradation while preserving intact the lignin content, thereby altering the relative proportions of these three major elements [7]. Among them, the FB and WB, both of which belong to the Yunnan pine species, exhibited minimal disparity in terms of their cellulose content. The degradation of cellulose, hemicellulose, and lignin did not differ much between the FB1, FB2, and WB. The degradation of the FB2 in the FB occurred at the same location as that of the FB1, and it is postulated that these pink splotches exerted a negligible influence on the structural integrity of the wooden components. The C and P, compared to the reference material, exhibited a lower hemicellulose content and a relatively higher lignin content. The difference between the two is not too obvious. The ratio of the relative content of holocellulose to lignin (H/L) represents the magnitude of the disparity between the relative contents of hemicellulose and lignin in the wood, the higher the value, the greater the proportion of hemicellulose in the wood and the better the preservation of the ancient wood. Among the different species, the H/L values of the pine and fir were significantly different from those of the control timber, indicating that the preservation of the corresponding ancient timber in the weatherboard and purlin was poor.
Table 3.
Chemical composition content of ancient wood components and reference wood *.
3.4. XRD Analysis
The X-ray diffraction analysis of the different ancient wood and reference wood samples reveals that the intensity curves of both types exhibit a similar shape (Figure 8). The positions of three crystallographic diffraction peaks at 18°, 22.5°, and 35° remained consistent, while only the diffraction intensities exhibited variations, implying the preservation of the ancient wood component samples’ crystalline structure [3]. The trough observed near 2θ = 18° in the figure represents the scattering intensity of the diffraction from the amorphous zone in the wood cellulose [39]. Notably, all the ancient wood members exhibited a more pronounced and distinct signal at this position compared to the reference timber, suggesting a reduction in the amorphous zone of cellulose within the ancient wood samples. The cellulose crystallization diffraction peaks of the W exhibited a higher absorption intensity compared to the reference cypress, and the relative content of the cellulose crystalline region was also elevated in comparison to the control wood. These findings suggest that there was a substantial increase in the relative crystalline content of the cellulose crystalline region in the W. The underlying cause for this phenomenon lies in the substantial reduction in the hemicellulose and cellulose amorphous regions within this wooden component, resulting in the intensified diffraction peaks and elevated relative crystallinity of the cellulose [40]. The cellulose crystalline zone of the WB wood members exhibited the highest level for pine, surpassing that of the control wood (the FB1 and FB2). This indicates a more significant reduction in the hemicellulose and cellulose amorphous content in the WB compared to the FB1 and FB2. In contrast, the absorption intensity of the crystallographic diffraction peaks was comparatively lower for the FB1 than FB2, suggesting a greater reduction in the hemicellulose and cellulose amorphous regions content in the FB2 compared to the FB1. The absorption Intensity of the cellulose crystalline diffraction peaks in the P and C samples exhibited higher values compared to those observed for the reference fir. Additionally, the relative content of the cellulose crystalline zone was also found to be greater than that of the control wood. Moreover, a more pronounced decrease in the hemicellulose and cellulose amorphous zone content was observed in the P sample compared to the C sample. The absorption intensity of the cellulose crystallization diffraction peak in the F sample exhibited a slight elevation compared to that of the reference spruce, while the relative content of its cellulose crystalline region also demonstrated a higher proportion than that observed for the control material.
Figure 8.
2θ diffraction intensity curves of ancient wood members and reference wood: (a,b) cypress samples; (c,d) pine samples; (e,f) Chinese fir samples; and (g,h) spruce samples.
3.5. FTIR Spectroscopy Analysis
Cellulose, hemicellulose, and lignin in wood exhibit distinct absorption peaks in FTIR infrared absorption spectra. The shape, position, and intensity of these peaks undergo changes as the three major components of wood age and degrade, leading to alterations in their elemental content [41,42]. The infrared spectra of the ancient wood members compared to the reference lumber are depicted in Figure 9. The absorption peak at 3400 cm−1 is ascribed to the O-H telescopic vibrational absorption in the hydroxyl group, while the peak at 2925 cm−1 corresponds to the C-H telescopic vibrational absorption, which are considered the pivotal characteristic peaks in wood’s infrared spectra [43]. The comparison between the ancient wood members and the reference lumber indicates that the strength of all the ancient wood members are comparatively lower than those of the reference lumber at these two characteristic peak positions, implying a certain level of degradation of the ancient wood members. The absorption peaks of the O-H surface vibration (1425 cm−1), the C-H expansion vibration (1375 cm−1), and the C-H bending vibration of cellulose near 898 cm−1 [3], which are indicative of holocellulose, exhibit a comparatively subdued nature in the ancient wood members when compared to the reference timber. This observation suggests a noticeable degradation of holocellulose. The absorption peak observed at approximately 1735 cm−1 is indicative of the expansion vibration of C=O in hemicellulose, with the reference lumber exhibiting a distinct absorption peak at this specific position, while the ancient wood samples only exhibit weak additional absorption vibrations alongside the LB. The findings reveal that the LB exhibited the superior preservation of hemicellulose, whereas the other components of the ancient wood experienced a higher degree of hemicellulose degradation. The intensity of the ancient wood members is significantly attenuated in the absorption peaks corresponding to the C=O stretching vibration in the conjugated carbonyl group of lignin (1635 cm−1) and the C-O stretching vibration in lignin (1265 cm−1) [44], while the signals from the W, FB1, FB2, and WB are nearly indiscernible in both spectral regions. The exposure of these wood members to sunlight indicates a higher degree of lignin degradation, as the ultraviolet rays in sunlight induce the photodegradation of lignin [45]. It is noteworthy to mention the identification of a novel absorption peak at 1104 cm−1 in the W, FB1, FB2, and WB samples, corresponding to a C-H vibration in carbohydrates. This finding aligns with the observations made by COGULET et al. [16] during their investigation of UV-aged wood specimens.
Figure 9.
Infrared spectra of ancient wood components and reference wood: (a) cypress samples; (b) pine samples; (c) Chinese fir samples; and (d) spruce samples.
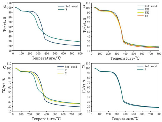
3.6. Thermogravimetric Analysis
A thermogravimetric performance analysis reflects the flammability of polymer materials and the thermal stability of their molecular structure. The graphs in Figure 10 and Figure 11 depict the weight loss rates, TG, and the rate of weight loss, DTG, for the ancient wood members and the reference lumber. According to the inflection points of the TG curves obtained from the ancient wood members and reference lumber, the pyrolysis process under a nitrogen atmosphere can be classified into two distinct stages [46,47]. The initial step involves a temperature below 140 °C, resulting in a weight reduction ranging from 6.12% to 8.10%. This decrease in mass can be attributed to the evaporation of moisture within the sample, as well as the softening and dissolution of wood extractives. The second process, which is the primary mechanism for thermal weight loss, can be attributed to the pyrolysis of the key constituents of wood, such as cellulose, hemicellulose, and lignin [48,49]. This leads to a reduction in mass within a temperature range of 180 to 510 °C, with a weight loss rate ranging from 61.13% to 78.97%. The lower pyrolysis onset temperature in the second stage of pyrolysis is due to the severe degradation of the hemicellulose in the ancient wood members, which is easy to decompose, while lignin is the most difficult to decompose in the second stage [31,50], resulting in a lower temperature requirement for the start of degradation in the second stage. In terms of the degradation rates, the W and P exhibited accelerated pyrolysis rates, likely attributable to the pronounced degradation of hemicellulose in both the W and P. The degradation rates for the Yunnan Pine reference lumber and the ancient wood members exhibited only a marginal disparity, while no significant distinction was observed between the WB and FB1 and FB2. The comparison of the second stage’s pyrolysis completion temperatures indicates that the C exhibited a higher combustibility compared to the P, C, FB1, FB2, WB and F. This suggests that the wood members of the same species experience a decrease in pyrolysis completion temperatures with an increasing severity of the deterioration. The thermal stability is enhanced, with an increase in the peak value observed in the DTG graph. Compared to the reference materials, the peak values for the W, P, and C exhibit a significant decrease, suggesting a greater degree of degradation in the main components of these three materials. The peak values of the FB1, FB2, WB, and F exhibit no significant decrease, suggesting their superior thermal stability compared to the W, P, and C.
Figure 10.
TG curves of ancient wood members and reference wood: (a) cypress samples; (b) pine samples; (c) Chinese fir samples; and (d) spruce samples.
Figure 11.
DTG curves of ancient wood members vs. reference wood: (a) cypress samples; (b) pine samples; (c) Chinese fir samples; and (d) spruce samples.
4. Conclusions
Ancient wood members from six different parts of the wooden building at the Zhuangzishang Conference site were identified as cypress, pine, Chinese fir, and spruce, which are the main species of the local forest resources and the main timber used for the building materials of local houses. Compared to the modern control wood, the cellulose and hemicellulose of the ancient wood of the different species were degraded, but the crystalline form of the cellulose had not changed, and the lignin content had not changed much, but new absorption peaks had appeared in the wood members subjected to ultraviolet light. The worse the preservation condition of the ancient wood, as determined by its pyrolysis characteristics, the faster its pyrolysis rate. Therefore, the degradation of different parts of the old wood is firstly related to the timber properties of the species used, and secondly to the location and environment of the members. For the same species, the degradation of the FB, which was more affected by moisture, is greater than that of the WB, and the preservation of the P, which was more affected by termites, is worse than that of the C.
The primary task for the subsequent restoration and protection of the Zhaxi Conference site is the prevention and control of soil termites, followed by the implementation of light-resistant aging treatments to vulnerable wood components susceptible to sunlight, such as the windows, the weatherboards, and other peripheral wood components. Lastly, it is crucial to maintain timely cleaning and drainage maintenance around the building, ensuring thorough drainage and emphasizing ventilation.
Author Contributions
Conceptualization, X.Y., C.L. and J.Q.; methodology, X.Y. and C.L.; software, S.Z. and C.L.; validation, C.Y.; investigation, L.W., X.Y. and C.L.; resources, J.Q.; data curation, X.Y. and C.L.; writing—original draft preparation, X.Y.; writing—review and editing, J.Q. and J.G.; supervision, J.Q.; project administration, J.Q. All authors have read and agreed to the published version of the manuscript.
Funding
This research was funded by the Yunnan Provincial Natural Science Foundation Special Program for Basic Research (202001AS070044).
Institutional Review Board Statement
Not applicable.
Informed Consent Statement
Not applicable.
Data Availability Statement
Data will be made available on request.
Conflicts of Interest
Author Liang Wang was employed by the company Jianwei Cultural Heritage Conservation Co., Ltd. The remaining authors declare that the research was conducted in the absence of any commercial or financial relationships that could be construed as a potential conflict of interest.
References
- Dinulică, F.; Stanciu, M.D.; Savin, A. Correlation between Anatomical Grading and Acoustic–Elastic Properties of Resonant Spruce Wood Used for Musical Instruments. Forests 2021, 12, 1122. [Google Scholar] [CrossRef]
- Zhenzhong, G.; Mengjie, C.; Shuqi, C.; Jin, S. Investigation into the Deterioration of Castanopsis Hystrix Buried Wood by Anatomical, Chemical and Thermal Analysis. Mater. Res. Express 2022, 9, 095602. [Google Scholar] [CrossRef]
- Wang, J.; Ning, L.; Gao, Q.; Zhang, S.; Chen, Q. The Identification and Characteristics of Phoebe Zhennan Buried Wood. IAWA J. 2019, 40, 804–819. [Google Scholar] [CrossRef]
- Haag, V.; Koch, G.; Richter, H.-G.; Evans, R.; Guzmán, J.A.S.; Schmitt, U. Wood Anatomical and Topochemical Analyses to Characterize Juvenile and Adult Wood of Lesser-Known Species from Central America (Mexico). IAWA J. 2019, 40, 785–803. [Google Scholar] [CrossRef]
- Meko, D.; Touchan, R.; Kherchouche, D.; Slimani, S. Direct Versus Indirect Tree Ring Reconstruction of Annual Discharge of Chemora River, Algeria. Forests 2020, 11, 986. [Google Scholar] [CrossRef]
- Liu, J.; Yang, B.; Huang, K.; Sonechkin, D. Annual Regional Precipitation Variations from a 700 Year Tree-ring Record in South Tibet, Western China. Clim. Res. 2012, 53, 25–41. [Google Scholar] [CrossRef]
- Dong, G.; Zhang, B.; Qi, J.; Yuan, H.; Zhou, Y.; Luo, B.; Deng, S.; Xia, Y. The Deterioration State and Degradation Mechanism of Historical Timber Structures from the Yunnan Military Academy. Wood Mater. Sci. Eng. 2023, 18, 1878–1887. [Google Scholar] [CrossRef]
- Han, L.; Xi, G.; Dai, W.; Zhou, Q.; Sun, S.; Han, X.; Guo, H. Influence of Natural Aging on the Moisture Sorption Behaviour of Wooden Structural Components. Molecules 2023, 28, 1946. [Google Scholar] [CrossRef] [PubMed]
- Kim, J.S.; Kim, M.; Lim, J.W.; Cha, M.Y.; Lee, K.H.; Yoon, Y.H.; Kim, Y.S. Characterization of Microbial Decay and Microbial Communities in Waterlogged Archaeological Rosewood (Dalbergia Species). Forests 2023, 14, 1992. [Google Scholar] [CrossRef]
- Macchioni, N.; Sozzi, L.; Fidanza, G.B. The Relationship between Carving Work and Timber Features: A Database for the Italian Wooden Statuary. Forests 2022, 13, 517. [Google Scholar] [CrossRef]
- Lee, S.-B.; Tong, R.L.; Kim, S.-H.; Im, I.G.; Su, N.-Y. Potential Pest Status of the Formosan Subterranean Termite, Coptotermes Formosanus Shiraki (Blattodea: Isoptera: Rhinotermitidae), in Response to Climate Change in the Korean Peninsula. Fla. Entomol. 2021, 103, 431–437. [Google Scholar] [CrossRef]
- Im, I.-G.; Cha, H.-S.; Kang, W.-C.; Lee, S.-B.; Han, G.-S. The Status of Damage and Monitoring of Subterranean Termite (Reticulitermes Spp.) (Blattodea: Rhinotermitidae) for Wooden Cultural Heritage in Korea. J. Conserv. Sci. 2021, 37, 191–208. [Google Scholar] [CrossRef]
- Novita, N.; Amiruddin, H.; Ibrahim, H.; Jamil, T.M.; Syaukani, S.; Oguri, E.; Eguchi, K. Investigation of Termite Attack on Cultural Heritage Buildings: A Case Study in Aceh Province, Indonesia. Insects 2020, 11, 385. [Google Scholar] [CrossRef]
- Zukowski, J.; Su, N.-Y. A Comparison of Morphology among Four Termite Species with Different Moisture Requirements. Insects 2020, 11, 262. [Google Scholar] [CrossRef] [PubMed]
- Svora, P.; Pawelkowicz, S.S.; Prošek, Z. Microscopic Studies of Irradiated Wood by UV Light. Microsc. Microanal. 2019, 25, 2408–2409. [Google Scholar] [CrossRef]
- Cogulet, A.; Blanchet, P.; Landry, V. Wood Degradation under UV Irradiation: A Lignin Characterization. J. Photochem. Photobiol. B Biol. 2016, 158, 184–191. [Google Scholar] [CrossRef]
- Mattonai, M.; Watanabe, A.; Shiono, A.; Ribechini, E. Degradation of Wood by UV Light: A Study by EGA-MS and Py-GC/MS with online Irradiation System. J. Anal. Appl. Pyrolysis 2019, 139, 224–232. [Google Scholar] [CrossRef]
- Guo, J.; Zhou, H.; Stevanic, J.S.; Dong, M.; Yu, M.; Salmén, L.; Yin, Y. Effects of Ageing on the Cell Wall and Its Hygroscopicity of Wood in Ancient Timber Construction. Wood Sci. Technol. 2018, 52, 131–147. [Google Scholar] [CrossRef]
- Liu, X.; Xu, X.; Tu, X.; Ma, W.; Huang, H.; Varodi, A.M. Characteristics of Ancient Ship Wood from Taicang of the Yuan Dynasty. Materials 2022, 16, 104. [Google Scholar] [CrossRef]
- Bernabei, M.; Brunetti, M.; Macchioni, N.; Nocetti, M.; Micheloni, M. Surveying and Dating the Wooden Roof Structure of St Francis of Assisi Church in Valletta, Malta. Int. J. Archit. Herit. 2021, 15, 1886–1894. [Google Scholar] [CrossRef]
- GB/T 50165—2020; Ministry of Housing and Urban Rural Development of the People’s Republic of China. Technical Standard for Maintenance and Strengthening of Historic Timber Building. China Architecture and Building Press: Beijing, China, 2020.
- Kolář, T.; Dobrovolný, P.; Szabó, P.; Mikita, T.; Kyncl, T.; Kyncl, J.; Sochová, I.; Rybníček, M. Wood Species Utilization for Timber Constructions in the Czech Lands over the Period 1400–1900. Dendrochronologia 2021, 70, 125900. [Google Scholar] [CrossRef]
- GB/T 29894—2013; State Administration of Quality Supervision, Inspection and Quarantine, Standardization Administration of China. General Principles of Wood Identification Methods. Standards Press of China: Beijing, China, 2014.
- GB/T 1927.5—2021; State Administration of Quality Supervision, Inspection and Quarantine, Standardization Administration of China. Test Methods for Physical and Mechanical Properties of Small Clear Wood Specimens—Part 5: Determinarion of Density. Standards Press of China: Beijing, China, 2021.
- GB/T 1927.4—2021; State Administration of Quality Supervision, Inspection and Quarantine, Test Methods for Physical and Mechanical Properties of Small Clear Wood Specimens—Part 4: Determinarion of Moisture Content. Standards Press of China: Beijing, China, 2021.
- Mertz, M.; Gupta, S.; Hirako, Y.; Azevedo, P.D.; Sugiyama, J. Wood Selection of Ancient Temples in the Sikkim Himalayas. IAWA J. 2014, 35, 444–462. [Google Scholar] [CrossRef]
- Zhao, C.; Zhang, X.; Liu, L.; Yu, Y.; Zheng, W.; Song, P. Probing Chemical Changes in Holocellulose and Lignin of Timbers in Ancient Buildings. Polymers 2019, 11, 809. [Google Scholar] [CrossRef]
- Andersson, S.; Serimaa, R.; Paakkari, T.; SaranpÄÄ, P.; Pesonen, E. Crystallinity of Wood and the Size of Cellulose Crystallites in Norway Spruce (Picea Abies). J. Wood Sci. 2003, 49, 531–537. [Google Scholar] [CrossRef]
- de Almeida, T.H.; Sardela, M.; Lahr, F.A.R. X-Ray Diffraction on Aged Brazilian Wood Species. Mater. Sci. Eng. B 2019, 246, 96–103. [Google Scholar] [CrossRef]
- Lentz, D.L.; Hockaday, B. Tikal Timbers and Temples: Ancient Maya Agroforestry and the End of Time. J. Archaeol. Sci. 2009, 36, 1342–1353. [Google Scholar] [CrossRef]
- Xu, Y.; Chen, B. Investigation of Thermodynamic Parameters in the Pyrolysis Conversion of Biomass and Manure to Biochars Using Thermogravimetric Analysis. Bioresour. Technol. 2013, 146, 485–493. [Google Scholar] [CrossRef] [PubMed]
- Inside Wood. Available online: https://insidewood.lib.ncsu.edu (accessed on 24 October 2022).
- EyeWood. Available online: http://woodlab.swfu.edu.cn/#/ (accessed on 24 October 2022).
- Jensen, P.; Gregory, D.J. Selected Physical Parameters to Characterize the State of Preservation of Waterlogged Archaeological Wood: A Practical Guide for Their Determination. J. Archaeol. Sci. 2006, 33, 551–559. [Google Scholar] [CrossRef]
- Lionetto, F.; Quarta, G.; Cataldi, A.; Cossa, A.; Auriemma, R.; Calcagnile, L.; Frigione, M. Characterization and Dating of Waterlogged Woods from an Ancient Harbor in Italy. J. Cult. Herit. 2014, 15, 213–217. [Google Scholar] [CrossRef]
- Babiński, L.; Izdebska-Mucha, D.; Waliszewska, B. Evaluation of the State of Preservation of Waterlogged Archaeological Wood Based on Its Physical Properties: Basic Density vs. Wood Substance Density. J. Archaeol. Sci. 2014, 46, 372–383. [Google Scholar] [CrossRef]
- Mi, X.; Li, Y.; Qin, X.; Li, J. Effects of Natural Weathering on Aged Wood from Historic Wooden Building: Diagnosis of the Oxidative Degradation. Herit. Sci. 2023, 11, 109. [Google Scholar] [CrossRef]
- Lionetto, F.; Del Sol, R.; Cannoletta, D.; Vasapollo, G.; Maffezzoli, A. Monitoring Wood Degradation during Weathering by Cellulose Crystallinity. Materials 2012, 5, 1910–1922. [Google Scholar] [CrossRef]
- Akgül, M.; Gümüşkaya, E.; Korkut, S. Crystalline Structure of Heat-Treated Scots Pine [Pinus Sylvestris L.] and Uludağ Fir [Abies Nordmanniana (Stev.) Subsp. Bornmuelleriana (Mattf.)] Wood. Wood Sci. Technol. 2007, 41, 281–289. [Google Scholar] [CrossRef]
- Howell, C.; Steenkjær Hastrup, A.C.; Goodell, B.; Jellison, J. Temporal Changes in Wood Crystalline Cellulose during Degradation by Brown Rot Fungi. Int. Biodeterior. Biodegrad. 2009, 63, 414–419. [Google Scholar] [CrossRef]
- Yang, Y.; Sun, H.; Li, B.; Han, L.; Wang, A.; Wang, W.; He, Y.; Zhao, R. Study on the Identification and the Extent of Decay of the Wooden Components in the Xichuan Guild Hall Ancient Architectures. Int. J. Archit. Herit. 2022, 16, 405–414. [Google Scholar] [CrossRef]
- Burgert, I.; Fratzl, P. Plants Control the Properties and Actuation of Their Organs through the Orientation of Cellulose Fibrils in Their Cell Walls. Integr. Comp. Biol. 2009, 49, 69–79. [Google Scholar] [CrossRef] [PubMed]
- Müller, U.; Rätzsch, M.; Schwanninger, M.; Steiner, M.; Zöbl, H. Yellowing and IR-Changes of Spruce Wood as Result of UV-Irradiation. J. Photochem. Photobiol. B Biol. 2003, 69, 97–105. [Google Scholar] [CrossRef] [PubMed]
- Pandey, K.K.; Pitman, A.J. FTIR Studies of the Changes in Wood Chemistry Following Decay by Brown-Rot and White-Rot Fungi. Int. Biodeterior. Biodegrad. 2003, 52, 151–160. [Google Scholar] [CrossRef]
- Thygesen, L.G.; Beck, G.; Nagy, N.E.; Alfredsen, G. Cell Wall Changes during Brown Rot Degradation of Furfurylated and Acetylated Wood. Int. Biodeterior. Biodegrad. 2021, 162, 105257. [Google Scholar] [CrossRef]
- García, E.L.; García, F.F.; Guindeo, A.C.; De Palacios, P.; Gril, J. Comparison of the Hygroscopic Behaviour of 205-Year-Old and Recently Cut Juvenile Wood from Pinus Sylvestris L. Ann. For. Sci. 2006, 63, 309–317. [Google Scholar] [CrossRef]
- Adeleke, A.A.; Odusote, J.K.; Lasode, O.A.; Ikubanni, P.P.; Madhurai, M.; Paswan, D. Evaluation of Thermal Decomposition Characteristics and Kinetic Parameters of Melina Wood. Biofuels 2022, 13, 117–123. [Google Scholar] [CrossRef]
- Tomassetti, M.; Campanella, L.; Tomellini, R. Thermogravimetric Analysis of Ancient and Fresh Woods. Thermochim. Acta 1990, 170, 51–65. [Google Scholar] [CrossRef]
- Burhenne, L.; Messmer, J.; Aicher, T.; Laborie, M.-P. The Effect of the Biomass Components Lignin, Cellulose and Hemicellulose on TGA and Fixed Bed Pyrolysis. J. Anal. Appl. Pyrolysis 2013, 101, 177–184. [Google Scholar] [CrossRef]
- Müller-Hagedorn, M.; Bockhorn, H.; Krebs, L.; Müller, U. A Comparative Kinetic Study on the Pyrolysis of Three Different Wood Species. J. Anal. Appl. Pyrolysis 2003, 68–69, 231–249. [Google Scholar] [CrossRef]
Disclaimer/Publisher’s Note: The statements, opinions and data contained in all publications are solely those of the individual author(s) and contributor(s) and not of MDPI and/or the editor(s). MDPI and/or the editor(s) disclaim responsibility for any injury to people or property resulting from any ideas, methods, instructions or products referred to in the content. |
© 2024 by the authors. Licensee MDPI, Basel, Switzerland. This article is an open access article distributed under the terms and conditions of the Creative Commons Attribution (CC BY) license (https://creativecommons.org/licenses/by/4.0/).










