Influence of Drop Viscosity and Surface Wettability on Impact Outcomes
Abstract
1. Introduction
1.1. Motivation
1.2. Non-Dimensional Parameters for Outcome
1.3. Previous Outcome Results and Models
1.4. Objectives
- “superphilic” whereby θrec < 30°
- “philic” whereby 30° < θrec < 90°
- “phobic” whereby 90° < θrec < 150°
- “superphobic” whereby θrec > 150°
2. Methods
2.1. Experimental Setup for Drop Impact
2.2. Surfaces and Liquids Employed
3. Results
3.1. Classification of Drop–Wall Outcomes
- Deposition: The drop deforms during impact and stays attached to the surface during its entire impact process, without any breakup. This outcome is considered an immediate deposition, and the highest Weber for this outcome is defined as Wecrit.
- Beaded deposition: The drop deformation includes instabilities as it spreads, which causes a beaded appearance at the outside edge, but the liquid stays attached to the surface, and the eventual outcome is the deposition of all the liquid in a single entity. This outcome was not identified in any previous studies.
- Corona splash: Occurs when fine droplets are formed around the rim of a corona, away from the solid surface (typically seen on liquid films),and followed by a breakup of the drops.
- Prompt splash: Generations of fine droplets at the contact line at the beginning of the spreading phase, followed by a breakup that leaves behind some droplets due to the receding lamella as the liquid retracts from the maximum spreading radius.
- Partial rebound: A drop detaches during the jetting phase, but some liquid stays attached to the surface.
- Full rebound: The drop bounces off the surface without leaving behind any liquid.
3.2. Influence of Viscosity for a Hydrophilic Surface and a Superhydrophobic Surface
3.3. Influence of Receding Contact Angle
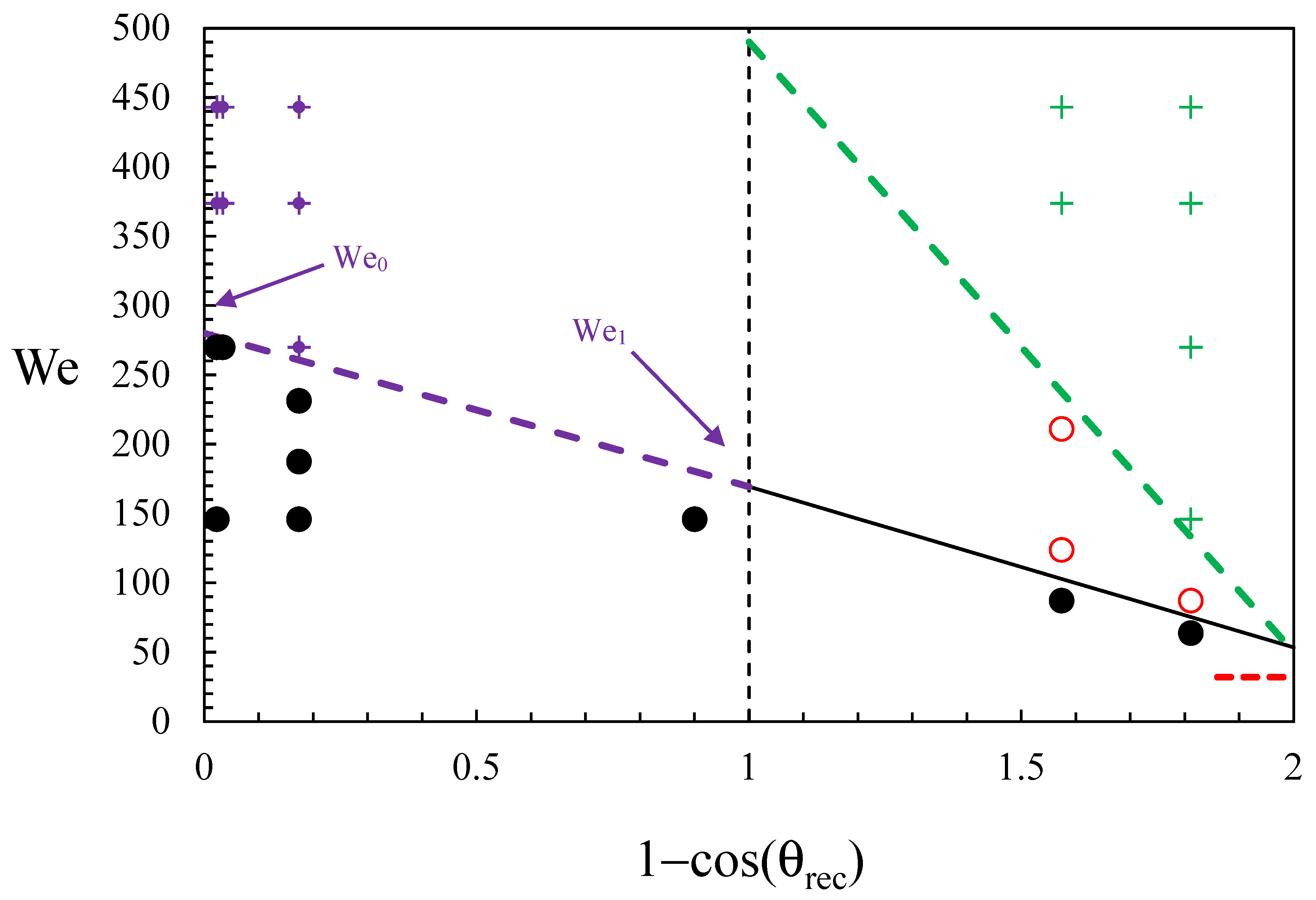
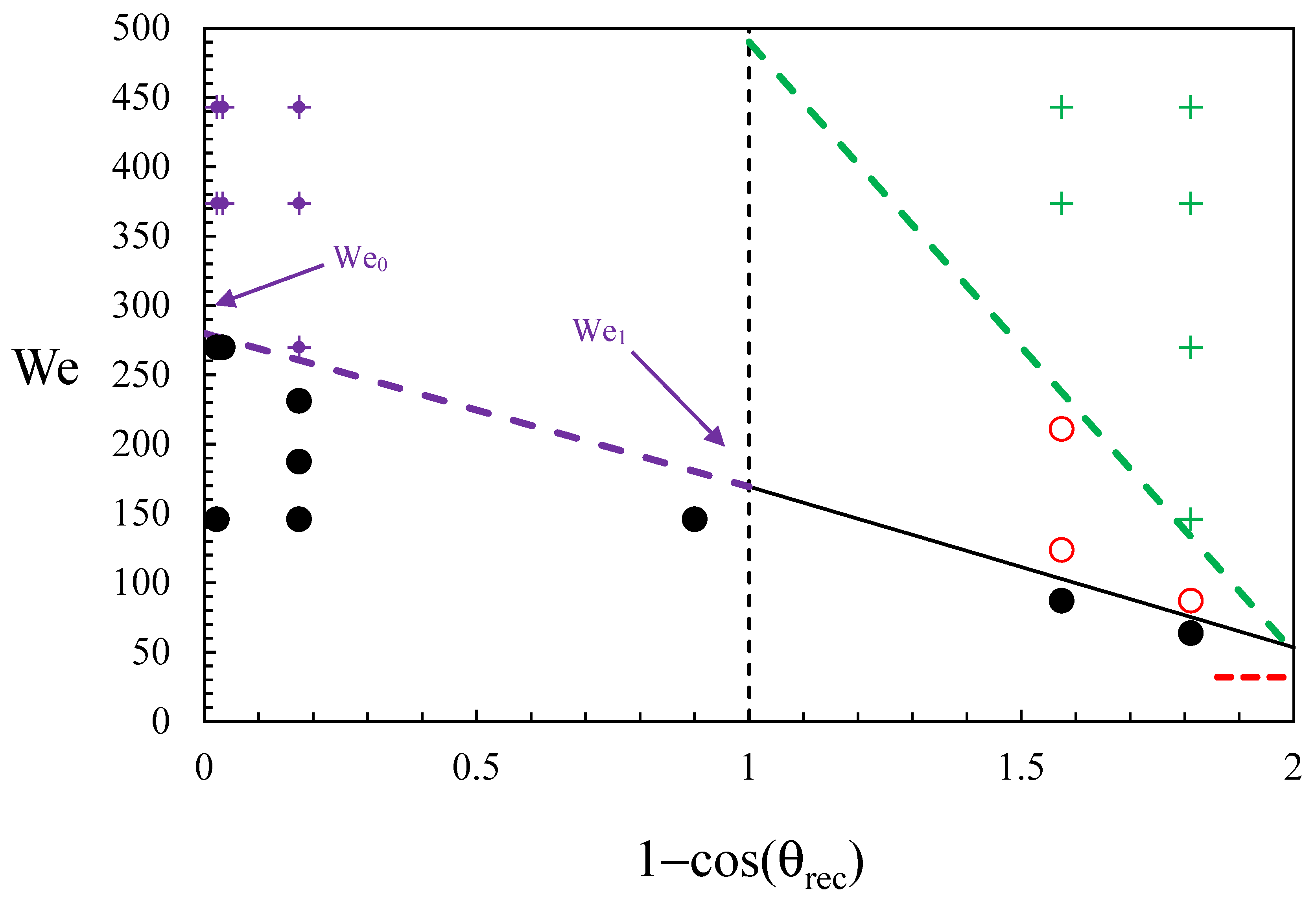
3.4. Empirical Model for Deposition Boundary
We1 = 5690 Oh
4. Conclusions and Recommendations
Supplementary Materials
Author Contributions
Funding
Institutional Review Board Statement
Informed Consent Statement
Data Availability Statement
Conflicts of Interest
Nomenclature
| v | drop velocity |
| d | drop diameter |
| σ | drop surface tension |
| μ | drop diameter |
| Re | Reynolds number |
| We | Weber number |
| Oh | Ohnesorge number |
| Ca | Capillary number |
| Bo | Bond number |
| Fr | Froude number |
| θrec | drop receding angle |
| ρ | density |
References
- Yarin, A.L. Drop Impact Dynamics: Splashing, Spreading, Receding, Bouncing. Annu. Rev. Fluid Mech. 2006, 38, 159–192. [Google Scholar] [CrossRef]
- Kalantari, D.; Tropea, C. Spray impact onto flat and rigid walls: Empirical characterization and modelling. Int. J. Multiph. Flow 2007, 33, 525–544. [Google Scholar] [CrossRef]
- Josserand, C.; Thoroddsen, S. Drop Impact on a Solid Surface. Annu. Rev. Fluid Mech. 2016, 48, 365–391. [Google Scholar] [CrossRef]
- Walzel, P. Zerteilgrenze beim Tropfenprall. Chem.-Ing.-Tech. 1980, 52, 338. [Google Scholar] [CrossRef]
- Mundo, C.; Sommerfeld, M.; Tropea, C. Droplet-wall collisions: Experimental studies of the deformation and break-up process. Int. J. Multiph. Flow 1995, 21, 151–173. [Google Scholar] [CrossRef]
- Cossali, G.E.; Coghe, A.; Marengo, M. The impact of a single drop on a wetted solid surface. Exp. Fluids 1997, 22, 463–472. [Google Scholar] [CrossRef]
- Rioboo, R.; Tropea, C.; Marengo, M. Outcomes from a drop impact on solid surfaces. At. Sprays 2001, 11, 155–165. [Google Scholar] [CrossRef]
- Vander Wal, R.; Berger, G.; Mozes, S. The splash/non-splash boundary upon a dry surface and thin fluid film. Exp. Fluids 2006, 40, 53–59. [Google Scholar]
- Palacios, J.; Gomez, P.; Zanzi, C.; Lopez, J.; Hernandez, J. Experimental study on the splash/deposition limit in drop impact onto solid surfaces. In Proceedings of the 23rd Annual Conference on Liquid Atomization and Spray Systems, Brno, Czech Republic, 6–8 September 2010. [Google Scholar]
- Campos, R.; Guenther, A.J.; Meuler, A.J.; Tuteja, A.; Cohen, R.E.; McKinley, G.H.; Haddad, T.S.; Mabry, J.M. Superoleophobic Surfaces through Control of Sprayed-on Stochastic Topography. Langmuir 2012, 28, 9834–9841. [Google Scholar] [CrossRef]
- Tsai, P.; Pacheco, S.; Pirat, C.; Lefferts, L.; Lohse, D. Drop Impact upon Micro- and Nanostructured Suerhydrophobic Surfaces. Langmuir 2009, 25, 12293–12298. [Google Scholar] [CrossRef]
- Malvasi, I.; Veronesi, F.; Caldarelli, A.; Zani, M.; Raimono, M.; Marengo, M. Is a Knowledge of Surface Topology and Contact Angles Enough to Define the Drop Impact Outcome. Langmuir 2016, 32, 6255–6262. [Google Scholar] [CrossRef] [PubMed]
- Vasileiou, T.; Schutzius, T.M.; Poulikakos, D. Imparting Icephobicity with Substrate Flexibility. Langmuir 2017, 33, 6708–6718. [Google Scholar] [CrossRef]
- Rein, M. Phenomena of liquid drop impact on solid and liquid surfaces. Fluid Dyn. Res. 1993, 12, 61–93. [Google Scholar] [CrossRef]
- Lesser, M.B.; Field, J.E. The impact of compressible liquids. Ann. Rev. Fluid Mech. 1983, 15, 97–122. [Google Scholar] [CrossRef]
- Moita, A.; Moreira, A. Drop impacts onto cold and heated rigid surfaces: Morphological comparisons, disintegration limits and secondary atomization. Int. J. Heat Fluid Flow 2007, 28, 735–752. [Google Scholar] [CrossRef]
- Yong, Y.H.; Steele, A.; Loth, E.; Bayer, I.S.; De Combarieu, G.; Lakeman, C. Temperature and humidity effects on superhydrophobicity of nanocomposite coatings. Appl. Phys. Lett. 2012, 100, 053112. [Google Scholar] [CrossRef]
- Weiss, C. The liquid deposition fraction of sprays impinging vertical walls and flowing films. Int. J. Multiph. Flow 2005, 31, 115–140. [Google Scholar] [CrossRef]
- Yong, Y.H.; Burton, J.; Loth, E.; Bayer, I.S. Drop impact and rebound dynamics on an inclined superhydrophobic surface. Langmuir 2014, 30, 12027–12038. [Google Scholar] [CrossRef]
- Hao, J.; Green, S.I. Splash Threshold of a Droplet impacting a moving surface. Phys. Fluids 2017, 29, 012103. [Google Scholar] [CrossRef]
- Qian, J.; Law, C.K. Regimes of coalescence and separation in droplet collision. J. Fluid Mech. 1997, 331, 59–80. [Google Scholar] [CrossRef]
- Krishnan, K.; Loth, E. Effects of gas and droplet characterization on drop-drop collision outcome regimes. Int. J. Multiph. Flow 2015, 77, 171–186. [Google Scholar] [CrossRef]
- Almohammed, N.; Bruer, M. Towards a deterministic composite collision model for surface-tension dominated droplets. Int. J. Multiph. Flow 2019, 110, 1–17. [Google Scholar] [CrossRef]
- Almohammadi, H.; Amirfazli, A. Droplet impact: Viscosity and wettability effects on splashing. J. Colloid. Interface Sci. 2019, 553, 22–30. [Google Scholar] [CrossRef] [PubMed]
- Schmidt, P.; Knauss, G. Prallzerstaubung von Flussigkeiten bei Nichtbenetzung. Chem. Ing. Tech. 1976, 48, 659. [Google Scholar] [CrossRef]
- Antonini, C.; Villa, F.; Bernagozzi, I.; Amirfazli, A.; Marengo, M. Drop Rebound after Impact: The Role of the Receding Contact Angle. Langmuir 2013, 29, 16045–16050. [Google Scholar] [CrossRef]
- Riboux, G.; Gordillo, J. Experiments of drops impacting a smooth solid surface: A model of the critical impact speed for drop splashing. Phys. Rev. Lett. 2014, 113, 189901. [Google Scholar] [CrossRef]
- Pierzyna, M.; Burzynski, D.A.; Bansmer, S.E.; Semaan, R. Data-driven splashing threshold model for drop impact on dry smooth surfaces. Phys. Fluids 2021, 33, 123317. [Google Scholar] [CrossRef]
- Ahamed, S.; Cho, Y.; Kong, S.C.; Kweon, C.B. Development and application of a drop-wall interaction model at high ambient pressure conditions. At. Sprays 2022, 32, 1–23. [Google Scholar] [CrossRef]
- Wu, Y.; Wang, Q.; Zhao, C.Y. A comparative study of the immiscibility effect on liquid drop impacting onto very thin films. Exp. Fluids 2021, 62, 137. [Google Scholar] [CrossRef]
- Li, L.; Yang, X.; Sohag, M.M.; Wang, X.; Liu, Q. SPH-ASR study of drop impact on a heated surface with consideration of inclined angle and evaporation. Eng. Anal. Bound. Elem. 2022, 141, 235–249. [Google Scholar] [CrossRef]
- Raiyan, A.; Mclaughlin, T.S.; Annavarapu, R.K.; Sojoudi, H. Effect of superamphiphobic macrotextures on dynamics of viscous liquid droplets. Sci. Rep. 2018, 8, 15344. [Google Scholar] [CrossRef]
- Reyssat, E.; Chevy, F.; Biance, A.-L.; Petitjean, L.; Quere, D. Shape and instability of free-falling liquid globules. Europhys. Lett. 2007, 80, 34005. [Google Scholar] [CrossRef]
- Clift, R.; Grace, J.R.; Weber, M.E. Bubbles, Drops, and Particles; Academic Press: Cambridge, MA, USA, 1978. [Google Scholar]
- Loth, E. Quasi-steady shape and drag of deformable bubbles and drops. Int. J. Multiph. Flow 2008, 34, 523–546. [Google Scholar] [CrossRef]
- Glycerin Producers’ Association. Glycerin Producers’ Association Physical Properties of Glycerin And its Solutions; Glycerin Producers’ Association: New York, NY, USA, 1963. [Google Scholar]
- Davis, A.; Yeong, Y.H.; Steele, A.; Loth, E.; Bayer, I.S. Superhydrophobic Nanocomposite Surface Topology and Ice Adhesion. Appl. Mater. Interfaces 2014, 6, 9272–9279. [Google Scholar] [CrossRef] [PubMed]
- Wenzel, R.N. Resistance of solid surfaces to wetting by water. Ind. Eng. Chem. 1936, 28, 988–994. [Google Scholar] [CrossRef]
- Wenzel, R.N. Surface Roughness and Contact Angle. Journal of Phys. Colloid Chem. 1949, 53, 1466–1467. [Google Scholar] [CrossRef]
- Cassie, A.B.D.; Baxter, S. Wetting of porous surfaces. Trans. Faraday Soc. 1944, 40, 546–551. [Google Scholar] [CrossRef]
- Sikalo, S.; Marengo, M.; Tropea, C.; Ganic, E.N. Analysis of Impact of Droplets on Horizontal Surfaces. Exp. Therm. Fluid Sci. 2002, 25, 503–510. [Google Scholar] [CrossRef]
- Clanet, C.; Begun, C.; Richard, D.; Quere, D. Maximal deformation of an Impacting Drop. J. Fluid Mech. 2004, 517, 199–2018. [Google Scholar] [CrossRef]
- Eggers, J.; Fontelos, M.A.; Josserand, C.; Zaleski, S. Drop dynamics after impact on a solid wall: Theory and simulations. Phys. Fluids 2010, 22, 062101. [Google Scholar] [CrossRef]





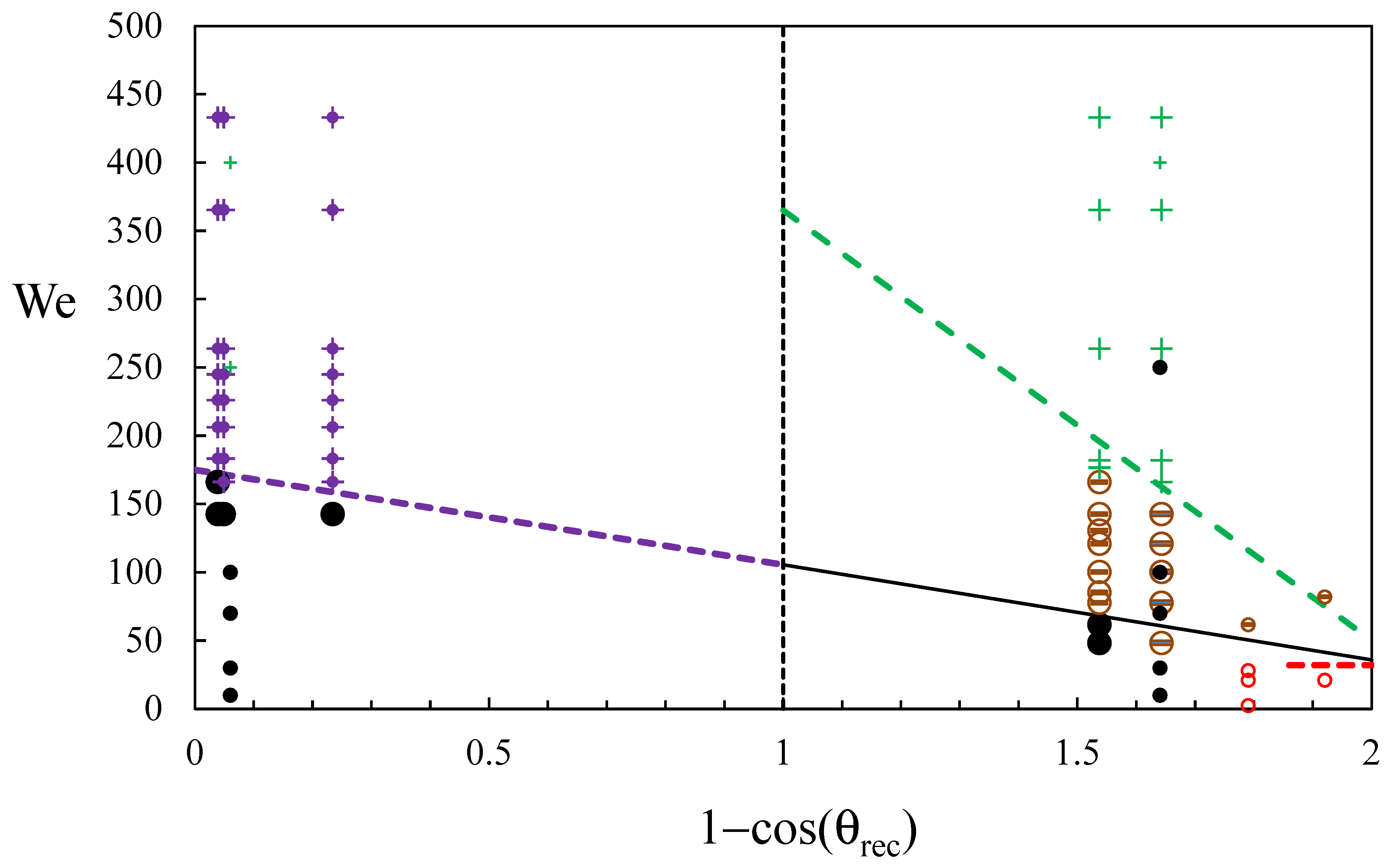
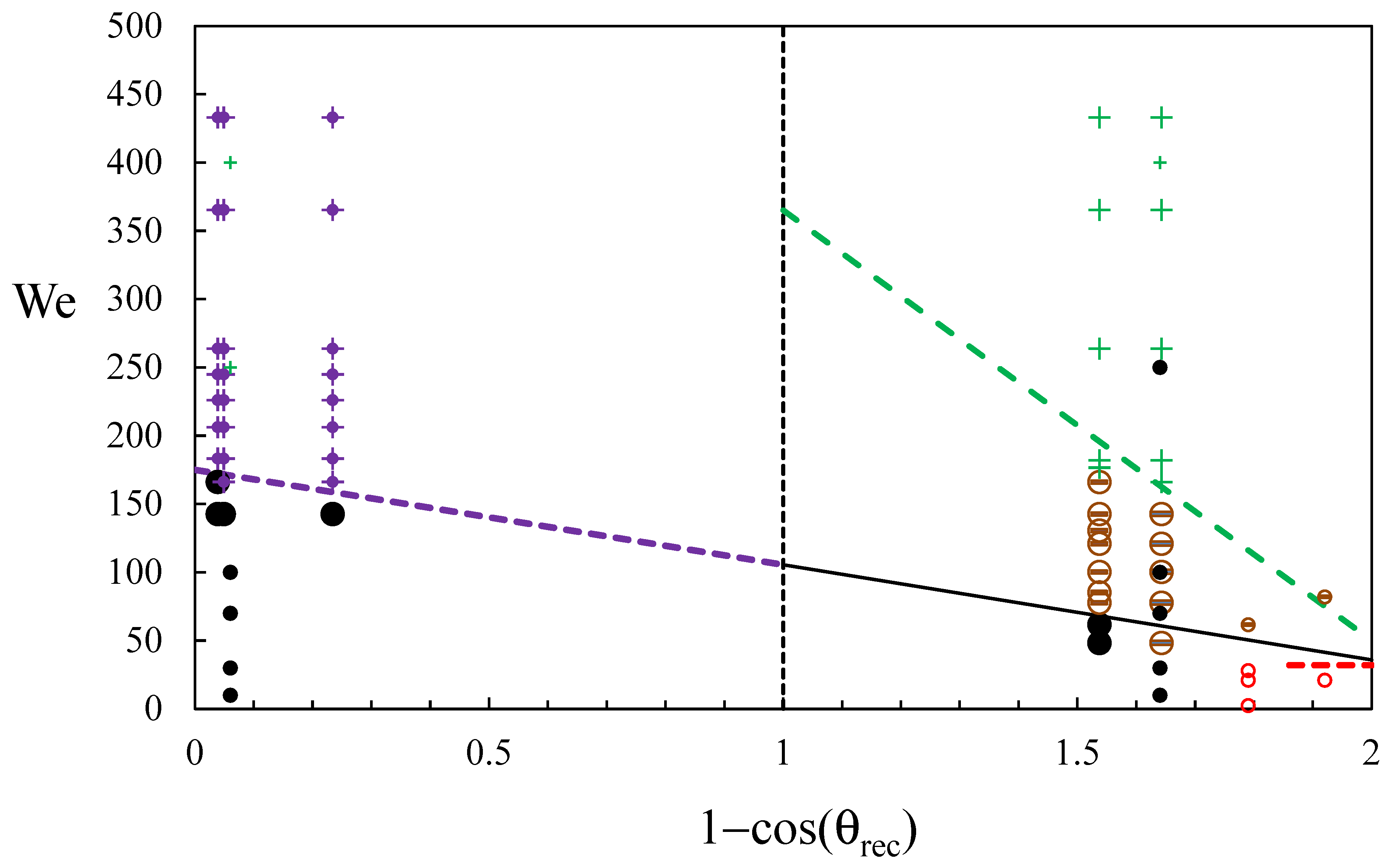
). Additionally, previous empirical models [5,6,9] for the boundary between deposition and splash (with dashed and/or dotted lines) and the present fit for the boundary between deposition and beaded deposition (as a solid line) are shown.
). Additionally, previous empirical models [5,6,9] for the boundary between deposition and splash (with dashed and/or dotted lines) and the present fit for the boundary between deposition and beaded deposition (as a solid line) are shown.








| Liquid | Fluid Properties | ||
|---|---|---|---|
| Density (kg/m3) | Viscosity (cP) | Surface Tension (mN/m) | |
| Water | 1000 | 1.00 | 72.8 |
| 40% Glycerin–Water | 1104 | 3.50 | 69.1 |
| 50% Glycerin–Water | 1130 | 6.65 | 68.4 |
| 60% Glycerin–Water | 1157 | 10.8 | 67.7 |
| 77% Glycerin–Water | 1203 | 45.3 | 65.7 |
| Liquid | Advancing and Receding Surface Contact Angles (deg) | ||||
|---|---|---|---|---|---|
| Acrylic | Aluminum | Teflon | SH-1 | NeverWetTM | |
| Water | 79, 18 | 65, 23 | 97, 51 | 155, 147 | 158, 150 |
| 40% Glycerin–Water | 64, 14 | 60, 13 | 99, 45 | 145, 120 | 151, 142 |
| 50% Glycerin–Water | 52, 16 | 64, 18 | 90, 40 | 139, 123 | 145, 130 |
| 60% Glycerin–Water | 54, 15 | 63, 12 | 89, 34 | 140, 125 | 157, 144 |
| 77% Glycerin–Water | 68, 54 | 64, 44 | 87, 55 | 150, 126 | N/A |
Disclaimer/Publisher’s Note: The statements, opinions and data contained in all publications are solely those of the individual author(s) and contributor(s) and not of MDPI and/or the editor(s). MDPI and/or the editor(s) disclaim responsibility for any injury to people or property resulting from any ideas, methods, instructions or products referred to in the content. |
© 2023 by the authors. Licensee MDPI, Basel, Switzerland. This article is an open access article distributed under the terms and conditions of the Creative Commons Attribution (CC BY) license (https://creativecommons.org/licenses/by/4.0/).
Share and Cite
Krishnan, G.H.; Fletcher, K.; Loth, E. Influence of Drop Viscosity and Surface Wettability on Impact Outcomes. Coatings 2023, 13, 817. https://doi.org/10.3390/coatings13050817
Krishnan GH, Fletcher K, Loth E. Influence of Drop Viscosity and Surface Wettability on Impact Outcomes. Coatings. 2023; 13(5):817. https://doi.org/10.3390/coatings13050817
Chicago/Turabian StyleKrishnan, Ghokulla Haran, Kevin Fletcher, and Eric Loth. 2023. "Influence of Drop Viscosity and Surface Wettability on Impact Outcomes" Coatings 13, no. 5: 817. https://doi.org/10.3390/coatings13050817
APA StyleKrishnan, G. H., Fletcher, K., & Loth, E. (2023). Influence of Drop Viscosity and Surface Wettability on Impact Outcomes. Coatings, 13(5), 817. https://doi.org/10.3390/coatings13050817

