Abstract
The polyurethane (PU) mixture is a zero-emission and high-performance engineering mixture that could replace traditional asphalt mixtures for pavement paving. This paper investigated the feasibility of using the 2S2P1D model to characterize the linear viscoelastic (LVE) properties of the PU mixture in comparison to the styrene–butadiene–styrene (SBS)-modified asphalt mixture with identical aggregate gradation and binder content. The PU mixture showed higher prediction precision for dynamic modulus and lower prediction precision for phase angle compared to the SBS-modified asphalt mixture. The seven constants of the 2S2P1D model for the PU mixture differed significantly from those of the SBS-modified asphalt mixture. The PU mixture exhibited higher elastic properties and lower creep properties, but the viscous properties represented by the index of η were different from the loss dynamic modulus, which reflected the mixture’s viscous properties. The index η cannot accurately characterize the viscous properties of the PU mixture. The 2S2P1D model exhibited a higher prediction accuracy than the Sigmoidal Christensen Anderson and Marasteanu (SCM) model and could accurately simulate the LVE properties of the PU- and SBS-modified asphalt mixtures. However, the 2S2P1D model should enhance the creep and dashpot elements to provide a more accurate characterization of the properties of the PU mixture.
1. Introduction
Hot mixed asphalt mixtures (HMA) exhibit LVE properties within a small strain range (<150 με) and low loading cycles [1,2,3,4,5,6,7,8], with characteristics depending on the environment temperature and loading conditions. At high temperatures and when large deformations are present, HMA exhibits a nonlinear viscoelastic plastic behavior [9]. In most working conditions, asphalt paving materials experience very small strains that can be considered approximations of LVE materials [10]. Fatigue and the low-temperature cracking of asphalt pavements have been linked to the viscoelastic characteristics of the asphalt mixture [11]. Therefore, characterizing the LVE properties of asphalt materials serves as a reference for raw material selection and the analysis of mechanical properties of the HMA [12], which is crucial for designing HMA, analyzing the dynamic response, and predicting road performance [13].
Complex modulus E* is widely recognized as a fundamental parameter to describe the LVE behavior of HMA over a limited strain range (8–100 με) and when there are limited loading cycles [14,15,16] in the frequency domain. This represents the stiffness of viscoelastic materials and is an important HMA character [17,18]. The complex modulus test, originally developed by NCHRP 9–19, is used to characterize the viscoelastic mechanical behavior of HMA.
In pavement design, the asphalt concrete layers can be classified as either elastic or viscoelastic materials. The “Mechanics–Empirical Pavement Design Guide” (MEPDG) and the Alize software (https://www.alize-lcpc.com/) classify asphalt concretes as elastic materials, and suggest using a dynamic modulus to characterize the performance of HMA at different temperatures [18]. A complex modulus is a crucial parameter for flexible pavement design and is employed to evaluate the asphalt mixture’s response to vehicle loading and thermal conditions [19]. The dynamic modulus master curve provides crucial information regarding the viscoelastic kernel functions, including relaxation modulus and creep compliance, as well as the frequency–temperature dependence required for a pavement structural analysis of responses and performances.
To characterize and simulate the LVE behavior of HMA in the temperature and frequency domains, researchers have developed various rheological models, e.g., Huet–Sayegh model, 2S2P1D model [6,7,20], Generalized Maxwell (GM) model [21], Generalized Kelvin (GK) model, Christensen–Anderson (CA) model, Sigmoidal model [22,23], Modified Christensen–Anderson–Marasteanu (CAM) model, Havriliak–Negami (HN) model [24], and machine learning models [25,26,27]. These models can be classified into three categories: physical models, mathematical shape functions, and machine learning models. Physical models provide a clearer understanding of the rate-dependent behavior of the viscoelastic materials. Therefore, they could better simulate the LVE behavior of HMA compared to the mathematical shape functions such as the power law and sigmoidal functions. Machine learning models are the most-developed methods to solve the current problems in predicting the dynamic performance of HMA.
The 2S2P1D model has a powerful ability to describe the LVE behavior, in both uni-dimensional or tri-dimensional forms, of various bituminous materials (binders, mastic, and mixtures). This model has been extensively studied in different publications, showcasing its effectiveness across a wide range of frequencies and temperatures [1,6,20,28,29,30,31,32,33,34,35,36,37].
The HN and 2S2P1D allow for the simultaneous fitting of both the modulus and phase angle, making simulations of the behavior of asphaltic materials more complex. Mathematical equations such as the CA model [38] and CAM model cannot accurately describe the phase-angle master curves, which assume an S-shaped curve, as the S-shape is the traditional shape of HMA, which has been proved in much of the literature [39,40,41]. The 2S2P1D model enhances the Huet–Sayegh model’s performance at high temperatures and low frequencies [7]. Mechanical method models (such as the 2S2P1D model) can better characterize and predict the rheological behavior of HMA compared to sigmoidal functions, CAM, and HN models [42].
The 2S2P1D model requires limited model parameters for its setup and offers a continuous relaxation spectrum for analyzing LVE properties in the time domain, thus simplifying model implementation and facilitating analytical investigation [43]. Compared to the GM model, the 2S2P1D model has fewer parameters and can more easily construct the master curves because it is less influenced by local variations in the data, and rarely yields negative parameters that lack a physical interpretation during model calibration [44].
The 2S2P1D model can be applied to various test methods, including the bending beam rheometer test [44], dynamic shear rheometer test [45], conventional cyclic tension test, and impact test [6,7,20,46], with good accuracy. By utilizing the 2S2P1D model, the master curve for the dynamic modulus of HMA can be established in the frequency domain [47,48]. Compared to the traditional complex modulus test, a new method that uses an automatic impact hammer, a load cell, and an accelerometer, is employed to measure the frequency response functions (FRFs) of HMA at various temperatures [49]. The complex modulus is then back-calculated from the measured FRFs, employing the 2S2P1D model and Williams–Landel–Ferry (WLF) function. To simulate the overall LVE behavior of HMA, the procedure was conducted to optimize the parameters of the 2S2P1D model and WLF function [50]. Thermodynamic tests were performed on HMA specimens before and after rapid freeze–thaw cycles [51], and the influence of freeze–thaw cycles on the parameters of the 2S2P1D model was analyzed. The 2S2P1D model and the second-order polynomial shift factor function were utilized in a triaxial LVE characterization framework to evaluate the pressure dependence of HMA [43].
The 2S2P1D model can be used to evaluate various types of asphalt mixtures. The 2S2P1D model is employed to evaluate the linear viscoelasticity behaviors (LVE) of hot-mix and warm-mix asphalt mixtures containing reclaimed asphalt pavement (RAP) [52,53]. Glass aggregate and hydrated lime contents’ effect on LVE behavior of HMA are investigated by the 2S2P1D model and WLF function for three glass aggregate levels and two hydrated lime levels [54]. The 2S2P1D model and WLF function were also used to fit test data for HMA with the crumb rubber (CR) (by dry process) [55]. A cold recycled asphalt mixture treated with cement and asphalt [56] was modeled by the 2S2P1D model and WLF function to represent the rheological behavior under small strain. To access heat as a primary aging factor [57], the 2S2P1D model and WLF function were employed to construct master curves for the dynamic modulus and phase angle of HMA. The 2S2P1D model accurately models a porous asphalt mixture across diverse frequency and temperature conditions [58]. Pellinen et al. previously employed the 2S2P1D model and observed good agreement between the measured and predicted data for HMA. The 2S2P1D model was utilized to evaluate the impact of oxidative aging on the LVE properties of HMA [11].
This study focuses on characterizing the linear viscoelastic behavior (especially within a small strain range and considering only a few applied loading cycles) of the PU mixture under elevated temperatures and loading frequencies. The complex modulus is a crucial parameter for accessing the response of a PU mixture to traffic loading and determining its resistance to rutting and fatigue. The primary objectives of this study were threefold: (1) to conduct an analysis comparing the LVE properties of the PU mixture to the SBS-modified asphalt mixture using 2S2P1D model simulations, (2) to validate the mechanical performances of the PU mixture, and (3) to determine the advantages of the PU mixture compared to the SBS-modified asphalt mixture. The 2S2P1D model was employed to capture the stiffness behavior of the material under any given condition and to facilitate laboratory-level extrapolations of the PU mixture’s LVE properties for temperature and frequency ranges that are not typically accessible.
2. Materials and Methods
2.1. Specimen Fabricate and Dynamic Modulus Test
Two kinds of mixtures, SBS-modified asphalt mixture and a PU mixture with identical aggregate gradation, were utilized in the paper to compare the application of the 2S2P1D model. The aggregate gradation was listed in Table 1; these aggregates were composed of limestone.
Table 1.
The aggregate gradation for the PU and SBS-modified asphalt mixtures.
The SBS-modified asphalt was provided by Shandong Hi–Speed Huarui Road Materials Technologies Co., Ltd. (Jinan, China), and the PU binder was a single-component, wet-setting-type polyurethane from Wanhua Chemical Group Co., Ltd. (Yantai, China). The optimal binder content was established through the Marshall test procedure and amounted to 4.3%. Specimens were produced by the Superpave gyratory compactor (SGC), resulting in a size of 170 mm in height and 150 mm in diameter after compacting. Subsequently, the specimens were resized to 150 mm in height and 100 mm in diameter. The recommended specimen fabricating procedure was detailed in the reference [59].
The dynamic modulus test was conducted on the specimens using the asphalt mixture performance tester (AMPT) in load-controlled uniaxial compression mode, following the AASHTO: TP–79 (2010). The maximum strain of the specimen would be maintained within the range of 75–125 με. Six recommended test temperatures (5 °C, 15 °C, 25 °C, 35 °C, 45 °C, and 55 °C), and nine loading frequencies (25, 20, 10, 5, 2, 1, 0.5, 0.2, and 0.1 Hz) were utilized for the dynamic modulus test. The average values of the dynamic modulus and phase angle from four replicates were calculated for analysis.
2.2. Methodology Background
The master curve could be constructed by fitting it to the rheological model, which can predict dynamic modulus at frequencies and temperatures not covered in the experimental condition [60]. The rheological models, which characterize the viscoelastic properties of asphalt and HMA, can be broadly classified into three categories: mathematical empirical models, constitutive models of mechanical elements [61], and machine learning models. According to the current studies, the physical meaning of parameters in the mathematical empirical model lacks a conclusive statement. To address these limitations, researchers began using the mechanical element constitutive model to characterize the dynamic viscoelastic properties of asphalt and HMA [12]. However, due to the challenge of characterizing dynamic viscoelastic properties using traditional mechanical element models composed of springs and dashpots, parabolic elements were introduced to these models to effectively characterize those properties. The most representative model is the 2S2P1D model [7], which addresses some limitations encountered with these older models at very low frequencies.
This was originally calibrated and developed at the DGCB laboratory of ENTPE [6,7,62] and was proposed by Olard and Di Benedetto [6,7,20] to: (1) characterize the dynamic viscoelastic properties [11,55,63]; (2) simulate the linear viscoelastic behavior of asphalt materials (such as mixes, mastics, and asphalt) in a complex domain [6,7,61,62]; and (3) describe the rheological behavior of viscoelastic materials in the linear domain (for small strain amplitudes) over a very wide range of frequencies and temperatures [4,5,6,7,21,33,36,62,64,65,66,67].
The 2S2P1D model is developed from the Huet–Sayegh model, which includes a linear dashpot in series, two parabolic elements, and a spring of rigidity [11]. The 2S2P1D model is a rheological analogical model and partial derivative model that combines five rheological elements: two linear elastic springs (elastic elements), two parabolic creep elements, and one Newtonian dashpot (viscous elements), as shown in the one-dimensional schematic (Figure 1a) [6,20]. The 2S2P1D model accurately characterizes the relaxation phenomenon observed in asphalt mixtures [68]. The spring represents the static modulus of HMA and is capable of predicting the dynamic modulus at a low frequency or high temperature [60]. The parabolic element, also known as the Abel model, is regarded as a rheological element between spring and dashpot that exhibits a parabolic creep function. Adding this parabolic creep element results in a more generalized form of the model, which facilitates a more accurate assessment of the AC stiffness modulus at low and high loading frequencies [68].
Figure 1.
(a) Phenomenological structure of the 2S2P1D model; (b) visualization of the parameters of the 252P1D model.
The model compositions and physical simulation of the 2S2P1D model are illustrated in Figure 1. Every element is associated with a corresponding constant.
The mathematical expression of the model is provided [7] in Equation (1):
where i is a complex number and i2 = −1; ω represents the angular frequency (rad/s), which is related to frequency f through the equation ω = 2πf; α represents the calibration parameter for the first parabolic creep element; k and h are dimensionless constants associated with the two parabolic creep element, satisfying the condition 0 < k < h < 1. when h = 0, it corresponds to elastic behavior, while h = 1, it corresponds to viscous behavior; β represents a dimensionless constant related to the newly introduced additional Newtonian dashpot to the second parabolic element, with the viscosity given by the equation β = η·τ−1/(E∞ − E0); η donates the Newtonian viscosity of the dashpot, while τ represents a characteristic time that dictates the temperature dependency of the model and denotes the time required for the system to relax [11]. When the frequency approaches a very small value (zero), corresponding to ω→0, the 2S2P1D model can be deemed an elastic model characterized by a single spring with a static modulus E0. As the frequency approaches infinity, corresponding to ω→∞, the 2S2P1D model is characterized by the glassy modulus E∞ [69]. Hence, the constants E∞ and E0 possess a distinct physical significance: E0 and E∞ donate, respectively, the minimum and maximum asymptotic values of the complex modulus of asphalt mixture at extremely low frequencies and high frequencies [7].
Figure 1b displays the physical representation of six constants (α, k, h, E∞, E0, and β) needed to characterize the linear viscoelastic behavior of HMA on the Core–Core plot [70]. In more detail, it indicates that h and k control the slope of the diagram [71]. α is linked to the slope of the master curve at low temperatures/high frequencies and the height of the Core–Core diagram [29]. Additionally, if the assumption of a simple linear viscoelastic thermo–rheological behavior can be applied to the materials (indicating that the time–temperature superposition principle holds (TTSP)), then only the parameter of τ is influenced by temperature [6].
The SCM model is described using Equation (2) and introduced for comparison with the 2S2P1D model to analyze prediction accuracy.
where Eg is the Glassy modulus of HMA, while v, w, z, and tc are constants.
The shift factor can be calculated by using the WLF [72,73] function for HMA. The WLF equation is commonly applied to the 2S2P1D model [74], which provides a more accurate description of dynamic modulus data across various models. Its formulation is provided in reference [72]:
where C1 and C2 are the constants, T is the test temperature, and Tr is the arbitrarily selected reference temperature, set as 20 °C in this paper.
2.3. Fitting Procedure
The parameter optimization process of the WLF function and the 2S2P1D model were linked. Seven constants of the 2S2P1D model (α, k, h, E∞, E0, β, and τ) and two constants of the WLF function (C1 and C2) are obtained simultaneously through optimizing the complex modulus test results. The optimization process at the reference temperature Tr was implemented using weighted least-square nonlinear multiple regression. This sought to minimize the sum of the distance between the measured complex modulus and the corresponding estimated values calculated by the 2S2P1D model across N points of the pulsation ω [6,11,75]. The following function served as a metric for calibrating the sum of errors (SOE) as minimizing method 1 [75,76]:
where E′Measured is the real part of the measured dynamic modulus; E′Predicted is the real part of the dynamic modulus predicted by the 2S2P1D model; E″Measured is the imaginary part of the measured dynamic modulus; E″Predicted is the imaginary part of the dynamic modulus predicted by the 2S2P1D model.
Equation (5) was used to minimize the difference and calibrate the sum of errors as minimizing method 2 [77]:
where E*Measured is the measured dynamic modulus; E*Predicted is the dynamic modulus predicted by the 2S2P1D model; δMeasured is the measured phase angle; δPredicted is the phase angle predicted by the 2S2P1D model.
Four statistical methods were employed to indicate the goodness of fit between the measured and predicted data, which can be demonstrated as follows [78].
The standard error of estimation and standard error of deviation are defined as follows:
where xi is the measured dynamic modulus, is the predicted dynamic modulus, and is the mean value of the measured dynamic modulus.
To evaluate the goodness of fit, the standard error ratio and coefficient of determination (R2) were used, as shown in Equation (8):
where n is the sample size, and p is the number of parameters to be calculated.
The fitting procedure employed the Sum of Square Error (SSE), which is listed in Equation (9).
As shown in Equation (10), Error2 serves as the primary criterion for assessing goodness of fit.
3. Results
3.1. 2S2P1D Model Goodness–of–Fit Statistics
The Excel program solver and two minimization methods were employed to minimize the discrepancies between the predicted values generated by the 2S2P1D model and the measured values. The estimated indexes for the fitting procedure were R2, Se/Sy, Error2, and SSE, with Error2 minimization as the primary index that should be reached during the weighted least-square nonlinear multiple regression procedure. The fitting results of the 2S2P1D model for the PU and SBS-modified asphalt mixtures are listed in Table 2 and Figure 2.
Table 2.
The fitting results of the 2S2P1D model for the PU and SBS-modified asphalt mixtures.
Figure 2.
The dynamic modulus master curves of the PU and SBS-modified asphalt mixture fitted by two minimization methods: (a) master curves of the SBS-modified asphalt mixture at a reference temperature of 20 °C; (b) master curve of the PU mixture at a reference temperature of 20 °C.
3.2. Comparison of 2S2P1D Model Fitting Parameters
The parameters of the 2S2P1D model for the PU and SBS-modified asphalt mixtures were obtained through the error-minimizing procedure, and the results are presented in Table 3.
Table 3.
The fitted parameters of the 2S2P1D model for the PU and SBS-modified asphalt mixtures.
3.3. Comparison of the Master Curves of the 2S2P1D Model
The seven parameters of the 2S2P1D model for the PU and SBS-modified asphalt mixtures were utilized to construct the corresponding master curves in the frequency range of 10−10–1010 Hz; the master curves of dynamic modulus and phase angle are plotted in Figure 3a,d, respectively. The measured data points under different test temperatures were shifted to the master curves by using the corresponding shift factors at various temperatures; the results for the PU and SBS–modified asphalt mixtures are plotted in Figure 3b,c.

Figure 3.
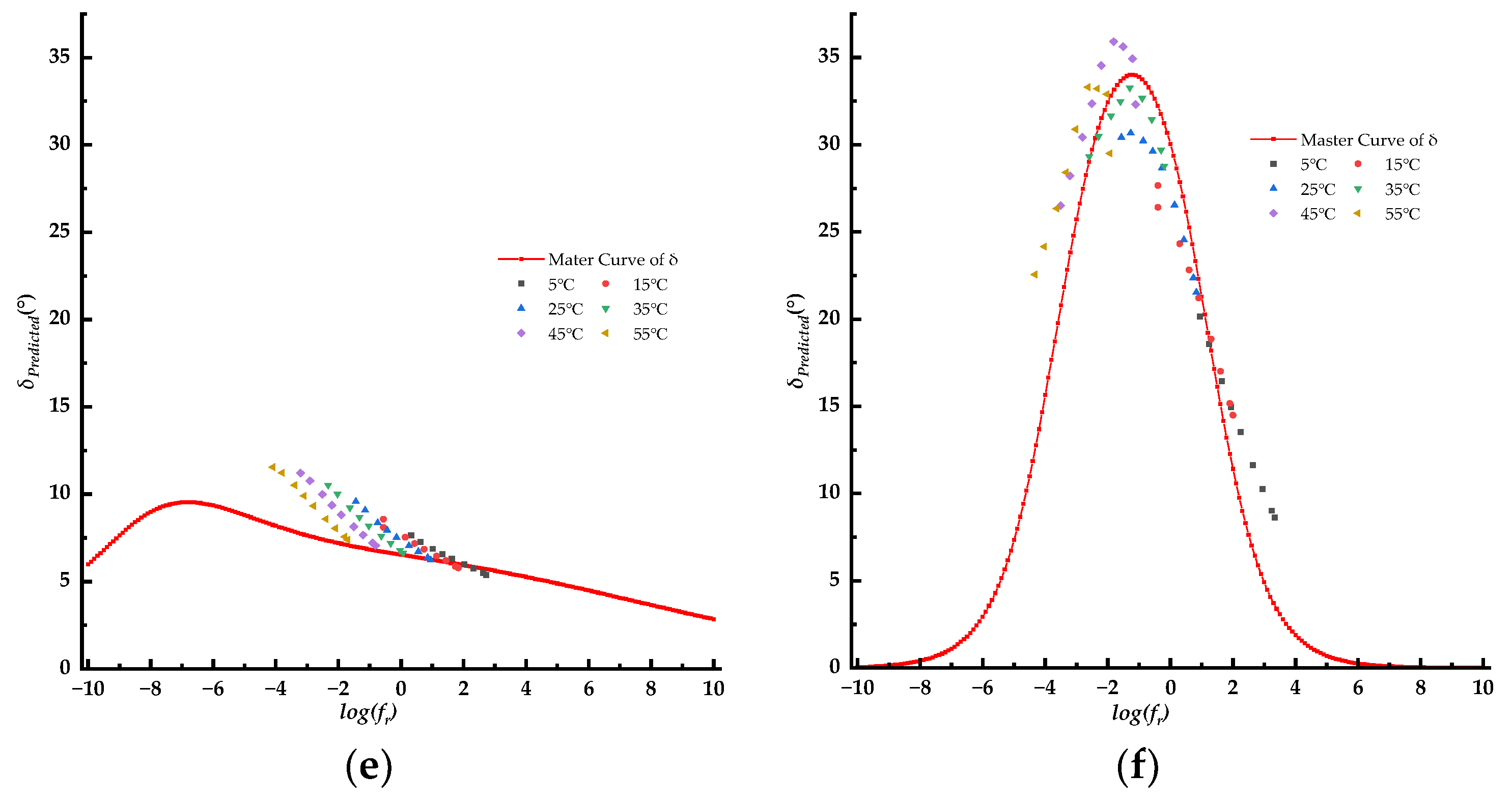
The master curves of the PU and SBS-modified asphalt mixture: (a) dynamic modulus master curves of the PU and SBS-modified asphalt mixture; (b) dynamic modulus master curve of the PU mixture with the measured data points under different temperatures; (c) dynamic modulus master curve of the SBS-modified asphalt mixture with the measured data points under different temperatures; (d) phase-angle master curves of the PU and SBS-modified asphalt mixture; (e) phase-angle master curve of the PU mixture with the measured data points under different temperatures; (f) phase-angle master curve of the SBS-modified asphalt mixture with the measured data points under different temperatures.
3.4. Comparison of Master Curve Models
The SCM model was utilized to construct the master curve of the PU mixture using the WLF function. The same error-minimizing methods were employed for the SCM model-fitting procedure. The master curves of the SCM and 2S2P1D models are presented in Figure 4a, and the measured data points were shifted to the master curve of the SCM model using WLF shift factors, which are plotted in Figure 4b. The predicted values from the SCM and 2S2P1D models versus the measured data points are plotted in Figure 4c. The linear fitting method was employed to approximate the correlation between the predicted values and measured values. The fitting results for both models are presented in Table 4.

Figure 4.
The dynamic modulus master curves of the PU mixture by using the SCM and 2S2P1D models: (a) master curves of the SCM and 2S2P1D models; (b) master curve of the SCM model with the measured data points under different temperatures; (c) predicted data points under the SCM and 2S2P1D models versus the measured data points under all test temperatures.
Table 4.
The linear fitting results of the predicted and measured dynamic modulus data points.
3.5. Comparison of Core–Core and Black Space Diagrams
The E′ represents the real part of the dynamic modulus, and corresponds to the storage modulus that characterizes the elastic properties of the mixture. Meanwhile, the E″ donates the imaginary part of the dynamic modulus and corresponds to the loss modulus, which signifies the viscous properties of the mixture. The Core–Core diagram was employed to analyze the viscoelastic properties of both mixtures: the PU and SBS-modified asphalt mixtures. The corresponding diagrams for both mixtures are plotted in Figure 5a,c with the real and imaginary modulus calculated by the frequency range of 10−10–1010 Hz. Additionally, Figure 5b displays the Core–Core diagrams for the PU mixture with the real and imaginary modulus calculated by the frequency of 10−20–1045 Hz. The black space diagrams represent both mixtures: the PU and SBS-modified asphalt, as presented in Figure 5d. In these plots, E′Predicted and E″Predicted are the real and imaginary modulus obtained by the predicted dynamic modulus, respectively.
Figure 5.
The Core–Core diagrams of the PU mixture and SBS-modified asphalt mixture: (a) the Core–Core diagram of the PU mixture calculated by the frequency range of 10−10–1010 Hz; (b) the Core–Core diagram of the PU mixture calculated by the frequency range of 10−20–1045 Hz; (c) the Core–Core diagram of the SBS-modified asphalt mixture calculated by the frequency range of 10−10–1010 Hz; (d) black space diagrams with predicted data.
3.6. Comparison of Shift Factors
The shift factors, calculated using the WLF function in the 2S2P1D model, for both PU and SBS-modified asphalt mixtures, are plotted in Figure 6.
Figure 6.
Shift factors of the PU mixture and SBS-modified asphalt mixture master curve.
4. Discussion
4.1. 2S2P1D Model Goodness of Fit Statistics
As previously stated, two types of error minimization methods were utilized during the fitting procedure for the measured dynamic modulus data. The first minimization method focused on minimizing the difference between the measured and predicted storage and loss modulus, while the second minimization method targeted the difference between the measured and predicted dynamic modulus and phase angle. Based on the fitting results presented in Table 2, it can be inferred that minimization method 2 would yield more accurate fitting results than method 1 for both the PU and SBS-modified asphalt mixtures. Due to the higher R2 values obtained for method 2 compared to method 1, the values for Se/Sy, Error2, and SSE were all smaller for method 2. As shown in Figure 3, the master curves constructed with different minimization methods displayed similar shapes; the master curves corresponding to minimization method 2 displayed smaller values at a high frequency. Therefore, minimization method 2 was chosen for the goodness of fit analysis.
Based on the fitting results and estimation indexes presented in Table 2, it can be concluded that the 2S2P1D model effectively fits the dynamic modulus results of both the PU and SBS-modified asphalt mixtures with high precision. The quality of the fit between the measured data and data predicted by the 2S2P1D model was expressed via the coefficient of determination, R2. Both mixtures have goodness of fit (R2) values greater than 0.9999, with the PU mixture’s values being slightly higher than those of the SBS-modified asphalt mixture. This indicates that the master curves of the dynamic modulus of the PU mixture exhibit superior fitting compared to those of the SBS-modified asphalt mixture. The Se/Sy, Error2, and SSE indexes of the PU mixture were lower than those of the SBS-modified asphalt mixtures, indicating that the fitting accuracy of the PU mixture was higher than that of the SBS-modified asphalt mixture. Based on the analysis, the 2S2P1D model was capable of fitting the dynamic modulus test results of both the PU and SBS-modified asphalt mixtures. This analysis revealed that the 2S2P1D model was particularly suitable for fitting the dynamic modulus test results of the PU mixture.
4.2. Comparison of 2S2P1D Model Fitting Parameters
These optimal fitting ranges of the mixture parameters for the 2S2P1D model are presented in Table 3. Based on the data presented in Table 3, the seven parameters of the 2S2P1D model differed significantly for the PU and SBS-modified asphalt mixtures. This difference implies that the performance of the PU mixture differed from that of the SBS-modified asphalt mixture. Accordingly, it suggested that the elements of the 2S2P1D model have a distinct influence on those two mixtures.
In Figure 1, the linear elastic spring symbolizes the elastic element of the 2S2P1D model, the parabolic creep element represents the creep elements, and the Newtonian dashpot represents the viscous element of the 2S2P1D model.
The first two constants have clear physical meanings: E0 and E∞ correspond to the minimum and maximum asymptotic values of the dynamic modulus of HMA, respectively, at very low frequencies and high frequencies. As reported by [6], E∞ and E0 are primarily associated with the aggregate skeleton, while k, h, and α are associated with the asphalt binder. Based on Table 3, the E0 and E∞ − E0 of the PU mixture were higher than those of the SBS-modified asphalt mixture, indicating that the asymptotic glassy modulus (limit of the complex modulus) for the sand–lone and the second spring was greater than that of the SBS-modified asphalt mixture. Therefore, compared to the SBS-modified asphalt mixture, the PU mixture would exhibit a higher limit of dynamic modulus. In other words, the PU mixture would exhibit greater strength as ω approaches infinity or zero. Therefore, the elastic elements (linear elastic springs) of the PU mixture would exhibit higher dynamic modulus, and the PU mixture would exhibit greater strength compared to the SBS-modified asphalt mixture.
Based on Table 3, kPU < kSBS, hPU < hSBS, kPU + hPU < hSBS + kSBS. The values of h and k represent the parabolic creep elements. Hence, the parabolic creep elements of the PU mixture were smaller than those of the SBS-modified asphalt mixture. The inequality kPU + hPU < hSBS + kSBS indicates that the creep property of the PU mixture is significantly lower than that of the SBS-modified asphalt mixture. As a result, the PU mixture exhibits greater resistance to creep deformation or damage compared to the SBS-modified asphalt mixture. Parameters k, h, and α are more closely associated with the rheological behavior of the asphalt binder [70]. Compared to the SBS-modified asphalt mixture, the PU mixture exhibited significantly reduced rheological behavior, or its rheological propertie were not prominent.
The behavior of ideal viscous fluids can be effectively modeled using a dashpot. The value of β is directly proportional to the viscosity of the linear dashpot in the analogical 2S2P1D model and significantly impacts its behavior [33]. A study [31] has demonstrated that asphalt with low viscosity values tends to exhibit lower β values when fitted with the 2S2P1D model. The η value for the PU mixture was significantly higher than that of the SBS-modified asphalt mixture in the formula β = η·τ−1/(E∞ − E0). This implies that the Newtonian viscosity of the dashpot for the PU mixture exceeded that of the SBS-modified asphalt mixture. In other words, the PU mixture exhibited a higher viscous property compared to the SBS-modified asphalt mixture, indicating increased resistance to flow due to the PU binder.
For the 2S2P1D model and the SBS–modified asphalt mixture, emphasis was placed on the creep element (which represents the creep property), while the dashpot element was included to reflect its viscous property. Based on the comparison results, it can be inferred that, for the PU mixture’s 2S2P1D model, reducing the emphasis on the creep element while enhancing the dashpot element would be beneficial.
4.3. Comparison of Master Curves of 2S2P1D Model
HMA is a representative material that exhibits typical thermorheological simplicity in the LVE region. Hence, the master curves for LVE material can be established by employing the time–temperature superposition principle (TTSP). The evolution of the complex modulus concerning frequency and temperature provides a comprehensive LVE characterization of the material. In this process, test data obtained at various temperatures are horizontally shifted along the logarithmic scale of the frequency or time axis, resulting in a smooth master curve representing time up to a reference temperature Tr. The angular frequency and time after translation are referred to as angular frequency (fr) and reduced time (tr). By employing the generated master curve, it is possible to predict the LVE behavior across a broader range of loading conditions than what was tested [79]. To employ the 2S2P1D model for characterizing the dynamic viscoelastic properties of the PU and SBS-modified asphalt mixtures, this subsection first introduces the TTSP. It then outlines the approach used to determine the parameters of the 2S2P1D model and WLF function. Finally, a comparison between the predicted results and the measured data is presented.
Equation (1) can be integrated with the seven parameters (α, k, h, E∞, E0, τref, and β) of the 2S2P1D model to obtain the necessary data points for constructing the master curve at the reference temperature. Figure 3 displays a comparison of simulations for the LVE behavior of PU and SBS-modified asphalt mixtures using the 2S2P1D model. Additionally, all relevant information from the complex modulus results can be integrated into the 2S2P1D model. Based on Figure 3a, it is evident that the 2S2P1D model is capable of simulating the dynamic modulus of both PU and SBS-modified asphalt mixtures. The master curves depicted in Figure 3a for both PU and SBS-modified asphalt mixtures suggest that the dynamic modulus master curve of the SBS-modified asphalt mixture follows an “S” shape, which is a classical characteristic of the asphalt mixture. The master curve for the dynamic modulus of the SBS-modified asphalt mixture is expected to exhibit maximum values at extremely high or low frequencies. The master curves for the SBS-modified asphalt mixture approach a value of zero, known as the static modulus. This parameter is thought to represent the ultimate interlocking between aggregates when the binder contribution is minimal. The static modulus likely depends on the aggregate skeleton, practically when the SBS-modified asphalt loses its viscosity. The dynamic modulus master curve of the PU mixture did not exhibit an “S” shape and displayed a non-zero ultimate value (larger than zero) at an extremely low frequency or high temperature, but did not display an ultimate value at an extremely high frequency or low temperature. This phenomenon suggested that the PU binder did not lose its viscosity at high temperatures and would be subject to the loading in combination with the aggregate skeleton, as the aggregate skeletons of the PU and SBS-modified asphalt mixture were identical. Compared to the SBS-modified asphalt mixture, the dynamic modulus master curve of the PU mixture was higher at a low frequency or high temperature and lower at a high frequency or low temperature. This explained why the PU mixture exhibited a higher dynamic modulus at high temperatures to resist high-temperature deformation and a lower dynamic modulus at low temperatures to reduce the crack risk compared to the SBS-modified asphalt mixture. The smooth master curves obtained for E* demonstrated that the TTSP can be utilized for analyzing the LVE property of both tested PU and SBS-modified asphalt mixtures. As observed in Figure 3a, the 2S2P1D model successfully simulated the complex modulus and accurately characterized the asymmetric features of dynamic viscoelasticity for both the PU and SBS-modified asphalt mixtures.
By using the WLF shift factors, the measured data points at different test temperatures could be shifted to the master curve at the reference temperature. The 2S2P1D model was then applied to fit the measured dynamic modulus data, and the shifted dynamic modulus results were plotted in Figure 3b,c for better visualization. By comparing the master curves of PU and SBS-modified asphalt mixtures with measured data points at different test temperatures, it was observed that the measured dynamic modulus data points of the PU mixture at different test temperatures smoothly shifted to the dynamic modulus master curve and were well distributed within this curve. A very good agreement was observed between the dynamic modulus master curve simulated by the 2S2P1D model and the measured dynamic modulus data. The 2S2P1D-model-predicted values obtained through the proposed estimation method successfully approximated real material behavior. As shown in Figure 3b, the 2S2P1D model provided a good simulation of the measured dynamic modulus data across a broader range of frequencies and temperatures. However, after being shifted, the measured data points of the SBS-modified asphalt mixture were distributed on both sides of the master curve, with some data points being significantly distinct from the dynamic modulus master curve. The 2S2P1D model master curve of the SBS-modified asphalt mixture showed poor agreement with the measured data points. This implies that the fitting accuracy of the 2S2P1D model for the PU mixture was higher than that of the SBS-modified asphalt mixture. Additionally, the 2S2P1D model is more suitable for modeling the dynamic modulus of the PU mixture than the SBS-modified asphalt mixture.
The predicted dynamic modulus data were used to obtain the predicted phase-angle data and to construct the master curve. The phase-angle master curves for both the PU and SBS-modified asphalt mixtures are presented in Figure 3d. The phase-angle master curve of the SBS-modified asphalt mixture displayed a “Bell” shape, indicating that the 2S2P1D model effectively simulates the phase angle and rheological property of this mixture. The peak values of the master curve of the SBS-modified asphalt mixture was approximately 35°. Although the phase-angle master curve of the PU mixture did not display the traditional “Bell” shape, it increased with increasing frequency and decreased after peaking. The peak value of the phase-angle master curve for the PU mixture was approximately 10°, which was significantly lower than that of the SBS-modified asphalt mixture. This finding suggested that the rheological properties of the PU mixture were considerably inferior to those of the SBS-modified asphalt mixture.
The measured phase-angle data of the PU and SBS-modified asphalt mixture were shifted using the shift factors to align with the master curves, as illustrated in Figure 3e,f. Based on Figure 3e, the shifted phase-angle data of the PU mixture were distinct from the master curve, suggesting that the phase-angle master curve for the PU mixture did not match the measured phase-angle data accurately. Alternatively, the 2S2P1D model was not suitable for accurately fitting the phase angle of the PU mixture. Nevertheless, the shifted phase-angle data of the SBS-modified asphalt mixture aligned along the master curve with some degree of discreteness, indicating that the 2S2P1D model could fit the phase-angle data of the SBS-modified asphalt mixture with acceptable accuracy. These results suggest that the 2S2P1D model requires improvements to better reflect the rheological properties of the PU mixture.
4.4. Comparison Master Curve Models
To fit the measured dynamic modulus of the PU mixture, the SCM model was also introduced. The fitting parameters were introduced to Equation (2) to obtain the data used to construct the master curve. To obtain a deeper understanding of their differences, Figure 4a displays the master curves of the SCM and 2S2P1D models. The master curves of the SCM and 2S2P1D models were found to be non-symmetric, exhibiting similar trends but with notable differences. Compared to the SCM model master curve, the master curve of the 2S2P1D model had lower values and smaller prediction ranges at both low and high frequencies.
By using the WLF shift factors to shift the measured dynamic modulus of the PU mixture at different test temperatures to match the master curve of the SCM model during the SCM model fitting process, the shifted data points can be distributed along the master curve of the SCM model shown in Figure 4b. However, some data points were still observed to be outside the master curve. The model demonstrates a higher prediction accuracy when the measured data points closely align with the reference line (master curve). The result further confirms that the prediction precision of the 2S2P1D model (Figure 3b) was significantly higher than that of the SCM model when using the same shift factor function.
The predicted values from the SCM and 2S2P1D models were plotted against the measured data points in Figure 4c, and the linear fitting procedure was used to determine the correlation between the predicted values from each model with the measured values. If the matching points are evenly distributed around the line of equality, this indicates that the model has a strong correlation with the measured data. Based on Table 4 and Figure 4c, when comparing both models under the same conditions, the predicted values from the 2S2P1D model were closer to the line of equality, with minimal deviation. On the other hand, the predicted values from the SCM model were slightly scattered on the line of equality compared to the 2S2P1D model. The linear fitting results demonstrated that the intercept of the 2S2P1D model was significantly smaller than that of the SCM model, while the slope of the linear fitting results of the 2S2P1D model was much closer to 1 compared to that of the SCM model. The fitting accuracy, measured by R2, of the 2S2P1D model was 0.99605, which was higher than that of the SCM model (0.9921). These fitting results unequivocally demonstrated that, compared to the SCM model, the 2S2P1D model had a superior ability to accurately predict the dynamic modulus of the PU mixture.
4.5. Comparison of Core–Core and Black Space Diagrams
The storage modulus E′ and loss modulus E″ predicted by the 2S2P1D model were plotted against each other. The loss modulus E″ was plotted as a function of the storage modulus E′. The plot represented the Core–Core diagram, which could be used to estimate the dynamic properties of the mixture. The storage modulus E′ is a crucial quantity used to calculate the viscoelastic properties (compliance and relaxation modulus) of a mixture [9]. The Core–Core plot can be used to represent the relation between the storage modulus E′ and the loss modulus E″. Since both the storage and loss modulus of the 2S2P1D models can be derived analytically from the corresponding complex-valued models, they satisfy the Kronig–Kramers relation, which theoretically connects the real and imaginary parts of the response to a harmonic load [80].
Within the frequency range of 10−10–1010 Hz, the Core–Core diagram of the SBS-modified asphalt mixture exhibited a complete and smooth curve (Figure 5c). This implies that the dynamic modulus of the SBS-modified asphalt mixture was consistent with its viscoelastic property, the Core–Core curve of the PU mixture did not form a closed loop (Figure 5a). However, within the frequency range of 10−20–1045 Hz, the Core–Core diagram of the PU mixture formed a closed and complete curve (Figure 5b). This could be explained by the fact that the PU mixture had distinct viscoelastic properties compared to the SBS-modified asphalt mixture, and the PU mixture could accommodate a broader temperature range. As the frequency decreases (f→0) or at a high temperature, as shwon in Figure 5c, the values of E″ approach zero while E′ remains small for the SBS-modified asphalt mixture. This could be attributed to the loss of viscous properties of the SBS-modified asphalt mixture and near loss of elastic effect at high temperatures. The values of E′ and E″ of the PU mixture do not approach zero at high temperatures (when f→10−10 Hz). This demonstrates that the PU mixture maintains its strength and the PU binder continues to experience force or deformation with the aggregate skeleton. Compared to the SBS-modified asphalt mixture, the PU mixture exhibits higher resistance to high-temperature deformation. With an increase in frequency or a decrease in temperature, the strength of the mixture increases, and the curves reach their peaks, indicating that the E″ attains its maximum values. After the peaks, the mixture transitions to an elastic state. The E″ value of the SBS-modified asphalt mixture is significantly bigger than that of the PU mixture, indicating that the viscous properties of the SBS-modified asphalt mixture exceed those of the PU mixture. At a constant temperature, the viscous property of the PU mixture is inferior to that of the SBS-modified asphalt mixture; thus, the PU mixture can resist permanent deformation. This observation conflicts with the results presented in Section 4.2, where the viscous property (represented by the η) of the PU mixture was considerably higher than that of the SBS-modified asphalt mixture. This suggests that either the viscous property of the PU mixture can be represented by using the η or it cannot be captured using this parameter, similar to when this parameter is applied to asphalt binders. Therefore, it is necessary to refine the viscous element of the 2S2P1D model for the PU mixture to accurately reflect its viscous properties.
At an identical loading frequency, the E′ (storage modulus or elastic modulus) of the PU mixture was significantly higher than that of the SBS-modified asphalt mixture, indicating that the PU mixture had a greater strength than the SBS-modified asphalt mixture. When the temperature decreased or the loading frequency approached 1010 Hz, the SBS-modified asphalt mixture entirely lost its viscous properties (E″ = 0), and it displayed total elasticity. At the same temperature or loading frequency, the PU mixture continued to exhibit some viscous properties and was more resistant to low-temperature cracking compared to the SBS-modified asphalt mixture.
Based on the diagram of the 2S2P1D model, the tangent lines were added to the two ends of the Core–Core diagram. The angles of the tangent lines represented the values of π*h/2 and π*k/2, respectively, as shown in Figure 5b,d. The values of π*h/2 and π*k/2 were calculated and converted into angle form based on the fitting results of the 2S2P1D model. All the results are listed in Table 5. As shown in Table 5, for the SBS-modified asphalt mixture, the values of π*h/2 and π*k/2 calculated by both methods were nearly identical. This result suggested that the 2S2P1D model was appropriate for simulating the SBS-modified asphalt mixture, especially at high and low temperatures. For the π*k/2 value of the PU mixture, there were similarities between the values obtained by both methods; however, for the π*h/2, there were significant differences between the values obtained using both methods. This comparison revealed that while the 2S2P1D model could effectively simulate the property of the PU mixture at low temperatures, its accuracy was not satisfactory at high temperatures. Therefore, it was recommended to enhance the 2S2P1D model for better simulation of high-temperature properties in the PU mixture.
Table 5.
The linear fitting results of the predicted and measured data points.
Based on Figure 5d, the predicted dynamic modulus and phase-angle data of the PU and SBS-modified asphalt mixtures presented smooth and distinct curves. This finding suggested that both the PU and SBS-modified asphalt mixtures meet the requirement of the TTSP. Although all these black space diagrams have turning points to the right of the curves, the turn points of the PU and SBS-modified asphalt mixtures were distinctly different. This indicates that the rheological or viscous properties of the PU mixture were considerably weaker than those of the SBS-modified asphalt mixtures.
4.6. Comparison of Shift Factors
The methodology used to design the master curve [81] assumes equivalence between time and temperature in the context of the stiffness modulus of the LVE materials within the linear viscoelastic response. To obtain the master curves of HMA, it is necessary to calculate the shift factor αr using the TTSP. The shift factors for the PU and SBS-modified asphalt mixtures, obtained using the 2S2P1D model and WLF function, were plotted together in Figure 6. The shift factor is a function of temperature and reflects the translation of the measured data curve at different temperatures to form the master curve. The amount of translation for different dynamic modulus isotherms tested at different temperatures suggests a correlation between frequency and temperature [82]. The time–temperature shift factor represents the distance of the measured test data shifted from various test temperatures to the reference temperature along the logarithmic axis [12]. The amount of shifting required at each temperature to form a master curve describes the temperature dependency of the mixture. A larger shift factor indicates a stronger temperature dependency [83]. Activation energy signifies the energy barrier that must be overcome when shifting the curve with reference temperature. A larger activation energy implies greater difficulty shifting the curve. Furthermore, activation energy is correlated with the shift factor [84].
Based on Figure 6, the absolute values of the shift factor obtained from the 2S2P1D model and WLF shift factor equation for the SBS-modified asphalt mixture were higher than that of the PU mixture. This indicates that the SBS-modified asphalt mixture requires more energy than the PU mixture to shift data points to the reference temperature across all test temperatures. Several studies have shown that shift factor αr is influenced by the bitumen, with different asphalt mixtures using the same bitumen exhibiting the same shift factor, αr [6,7,85]. Therefore, this difference can be attributed to the significant difference in the properties of the SBS-modified asphalt and PU binder, which could impact the LVE property of their respective mixtures. A temperature-sensitivity analysis using shift factors was conducted based on WLF theories applicable to the time–temperature superposition principle for viscoelastic materials. Therefore, the SBS-modified asphalt mixture demonstrates greater temperature sensitivity compared to the PU mixture.
The linear fitting was utilized to calculate the shift factors at various temperatures; the results are presented in Figure 6. Based on the fitting results, the accuracy (R2 = 1) of the PU mixture’s fit was slightly higher than that of the SBS-modified asphalt mixture (R2 = 0.98977). The fitting line representing the shift factors of the PU mixture almost perfectly overlapped the line of the shift factors, whereas the fitting line for the SBS-modified asphalt mixture did not align with the line of the shift factors. This indicates that the 2S2P1D model had a higher fitting accuracy for the PU mixture compared to the SBS-modified asphalt mixture and the 2S2P1D model was more suitable for use with the PU mixture.
5. Conclusions
This paper adopts PU and SBS-modified asphalt mixtures with the same aggregate gradation and binder contents to perform the complex modulus test. The complex test results were analyzed and fitted using the 2S2P1D model. The verification of the stimulating effect of the 2S2P1D model through various methods led to the following conclusions:
- (1)
- The minimization method had higher accuracy in minimizing the difference between the measured and predicted dynamic modulus and phase angle. The 2S2P1D model fits the complex modulus data for the PU mixture more precisely than the data for the SBS-modified asphalt mixture. However, the 2S2P1D model was not suitable for fitting the phase-angle data of the PU mixture.
- (2)
- Compared with the SBS-modified asphalt mixture, the PU mixture exhibited higher elastic properties, as represented by the linear spring element, smaller creep, as properties represented by the parabolic creep element, and greater viscous properties, as represented by the Newtonian dashpot element.
- (3)
- To improve the simulation of the viscous and high-temperature properties of the PU mixture, it is necessary to weaken the parabolic creep element and enhance the linear spring and dashpot in the 2S2P1D model.
- (4)
- Compared with the SCM model, the 2S2P1D model exhibited superior precision in predicting the dynamic modulus of the PU mixture.
- (5)
- Although the 2S2P1D model accurately fitted the dynamic modulus, its phase-angle fitting results were not satisfactory. This suggested that the rheological properties of the PU mixture differ significantly from those of the SBS-modified asphalt mixture. Therefore, modification is required to improve the 2S2P1D model’s ability to simulate the rheological properties of the PU mixture.
- (6)
- The 2S2P1D model successfully captures the asymmetric characteristics of the dynamic viscoelasticity of both the PU and SBS-modified asphalt mixtures across a wide range of frequencies and temperatures.
The 2S2P1D model is a highly effective mathematical equation, with all its parameters possessing clear physical meaning. It could accurately represent the LVE property of the asphalt mixture, particularly concerning the creep and viscous properties. Additionally, it can effectively fit dynamic modulus and phase-angle data with high accuracy. When it comes to the PU mixture, the accuracy of fitting dynamic modulus surpasses that of the SBS-modified asphalt mixture. However, in terms of the phase angle, the accuracy of fitting for the PU mixture falls significantly behind that of the SBS-modified asphalt mixture. This result suggests that the rheological properties of the PU mixture significantly differ from those of the SBS-modified asphalt mixture. This observation is further supported by comparing the η index with loss modulus E″. Among the parameters of the 2S2P1D model fitting, the η value of the PU mixture is significantly higher than that of the SBS-modified asphalt mixture. This implies that the viscous or rheological properties of the PU mixture exceed those of the SBS-modified asphalt mixture. As a result, the loss modulus E″ of the PU mixture is smaller than that of the SBS-modified asphalt mixture, further demonstrating that the viscous properties of the PU mixture are inferior to those of the SBS-modified asphalt mixture. The findings obtained from the index of η and loss modulus E″ conflicted, indicating that the η was not suitable for reflecting the rheological or viscous properties of the PU mixture. Therefore, the 2S2P1D model could somewhat characterize the LVE properties of the PU mixture, but further improvements are needed to more accurately reflect its creep and rheological (viscous) properties.
Author Contributions
Conceptualization, H.Z. and L.W.; methodology, S.M.; software, Z.L.; validation, H.Z. and Z.L.; formal analysis, H.Z.; investigation, H.Z. and S.C.; resources, W.Z., W.G. and P.Z.; data curation, H.Z., S.C. and P.Z.; writing—original draft preparation, H.Z.; writing—review and editing, S.M.; visualization, H.Z., S.C., C.S., Z.L. and W.G.; supervision, S.M. and L.W.; project administration, W.Z. and S.M.; funding acquisition, W.Z. All authors have read and agreed to the published version of the manuscript.
Funding
This research received no external funding.
Institutional Review Board Statement
Not applicable.
Informed Consent Statement
Not applicable.
Data Availability Statement
Data are contained within the article. Please refer to the complete guideline at https://doi.org/10.3390/coatings13071143.
Acknowledgments
We thank Gen Li for their assistance with experiments and valuable discussion.
Conflicts of Interest
Author Wensheng Zhang was employed by the company Wanhua Chemical Group Co., Ltd., auther Zhen Li was employed by the company Shandong Tongda Luqiao Planning & Design Co., Ltd. The remaining authors declare that the research was conducted in the absence of any commercial or financial relationships that could be construed as a potential conflict of interest.
References
- Di Benedetto, H.; Mondher, N.; Sauzéat, C.; Olard, F. Three-dimensional Thermo-viscoplastic Behaviour of Bituminous Materials: The DBN Model. Road Mater. Pavement Des. 2011, 8, 285–315. [Google Scholar] [CrossRef]
- Airey, G.D.; Rahimzadeh, B.; Collop, A.C. Viscoelastic linearity limits for bituminous materials. Mater. Struct. 2003, 36, 643–647. [Google Scholar] [CrossRef]
- Chailleux, E.; de La Roche, C.; Piau, J.M. Modeling of complex modulus of bituminous mixtures measured in tension/compression to estimate secant modulus in indirect tensile test. Mater. Struct. 2010, 44, 641–657. [Google Scholar] [CrossRef]
- Delaporte, B.; Di Benedetto, H.; Chaverot, P.; Gauthier, G. Linear Viscoelastic Properties of Bituminous Materials Including New Products Made with Ultrafine Particles. Road Mater. Pavement Des. 2011, 10, 7–38. [Google Scholar] [CrossRef]
- Di Benedetto, H.; Sauzéat, C.; Sohm, J. Stiffness of bituminous mixtures using ultrasonic wave propagation. Road Mater. Pavement Des. 2009, 10, 789–814. [Google Scholar] [CrossRef]
- Di Benedetto, H.; Olard, F.; Sauzéat, C.; Delaporte, B. Linear viscoelastic behaviour of bituminous materials: From binders to mixes. Road Mater. Pavement Des. 2011, 5, 163–202. [Google Scholar] [CrossRef]
- Olard, F.; Di Benedetto, H. General “2S2P1D” Model and Relation Between the Linear Viscoelastic Behaviours of Bituminous Binders and Mixes. Road Mater. Pavement Des. 2011, 4, 185–224. [Google Scholar] [CrossRef]
- Pouget, S.; Sauzéat, C.; Di Benedetto, H.; Olard, F. Numerical simulation of the five-point bending test designed to study bituminous wearing courses on orthotropic steel bridge. Mater. Struct. 2010, 43, 319–330. [Google Scholar] [CrossRef]
- Alamnie, M.; Taddesse, E.; Hoff, I. Viscoelastic characterization and comparison of Norwegian asphalt mixtures using dynamic modulus and IDT tests. In Proceedings of the Eleventh International Conference on the Bearing Capacity of Roads, Railways and Airfields, Trondheim, Norway, 8–10 June 2022; pp. 118–128. [Google Scholar]
- Levenberg, E.; Shah, A. Interpretation of complex modulus test results for asphalt-aggregate mixes. J. Test. Eval. 2008, 36, 326–334. [Google Scholar]
- Alavi, M.Z.; Hajj, E.Y.; Morian, N.E. Approach for quantifying the effect of binder oxidative aging on the viscoelastic properties of asphalt mixtures. Transp. Res. Rec. 2013, 2373, 109–120. [Google Scholar] [CrossRef]
- Liang, S.; Luo, R.; Luo, W. Fractional differential constitutive model for linear viscoelasticity of asphalt and asphalt mastic. Constr. Build. Mater. 2021, 306, 124886. [Google Scholar] [CrossRef]
- Aidara, M.L.C.; Ba, M.; Carter, A. Choice of an Advanced Rheological Model for Modeling the Viscoelastic Behavior of Hot Mixtures Asphalt (HMA) from Sénégal (West Africa). Open J. Civ. Eng. 2015, 05, 289–298. [Google Scholar] [CrossRef][Green Version]
- Liao, M.-C.; Chen, J.-S.; Tsou, K.-W. Fatigue Characteristics of Bitumen-Filler Mastics and Asphalt Mixtures. J. Mater. Civ. Eng. 2012, 24, 916–923. [Google Scholar] [CrossRef]
- Hospodka, M.; Hofko, B.; Blab, R. Introducing a new specimen shape to assess the fatigue performance of asphalt mastic by dynamic shear rheometer testing. Mater. Struct. 2018, 51, 46. [Google Scholar] [CrossRef]
- Elnasri, M.; Airey, G.; Thom, N. Experimental investigation of bitumen and mastics under shear creep and creep-recovery testing. In Proceedings of the 2013 Airfield & Highway Pavement Conference: Sustainable and Efficient Pavements, Los Angeles, CA, USA, 9–12 June 2013; pp. 921–932. [Google Scholar]
- Airey, G.D.; Rahimzadeh, B. Combined bituminous binder and mixture linear rheological properties. Constr. Build. Mater. 2004, 18, 535–548. [Google Scholar] [CrossRef]
- Di Benedetto, H.; Partl, M.N.; Francken, L.; De La Roche Saint André, C. Stiffness testing for bituminous mixtures. Mater. Struct. 2001, 34, 66–70. [Google Scholar] [CrossRef]
- Moghaddam, T.B.; Baaj, H. Rheological characterization of high-modulus asphalt mix with modified asphalt binders. Constr. Build. Mater. 2018, 193, 142–152. [Google Scholar] [CrossRef]
- Di Benedetto, H.; Delaporte, B.; Sauzéat, C. Three-Dimensional Linear Behavior of Bituminous Materials: Experiments and Modeling. Int. J. Geomech. 2007, 7, 149–157. [Google Scholar] [CrossRef]
- Tiouajni, S.; Di Benedetto, H.; Sauzéat, C.; Pouget, S. Approximation of Linear Viscoelastic Model in the 3 Dimensional Case with Mechanical Analogues of Finite Size. Road Mater. Pavement Des. 2011, 12, 897–930. [Google Scholar] [CrossRef]
- Papagiannakis, A.T.; Masad, E.A. Pavement Design and Materials; John Wiley & Sons: Hoboken, NJ, USA, 2008. [Google Scholar]
- Highway, A.A.o.S.; Officials, T. Standard Practice for Developing Dynamic Modulus Master Curves for Hot Mix Asphalt (HMA) Using the Asphalt Mixture Performance Tester (AMPT): AASHTO Designation, PP 61-10 1 2; American Association of State Highway and Transportation Officials: Washington, DC, USA, 2010. [Google Scholar]
- Havriliak, S.; Negami, S. A complex plane analysis of α-dispersions in some polymer systems. J. Polym. Sci. Part C Polym. Symp. 1966, 14, 99–117. [Google Scholar] [CrossRef]
- Ali, Y.; Hussain, F.; Irfan, M.; Buller, A.S. An Extreme Gradient Boosting model for predicting dynamic modulus of asphalt concrete mixtures. Constr. Build. Mater. 2021, 295, 123642. [Google Scholar] [CrossRef]
- Rondinella, F.; Daneluz, F.; Hofko, B.; Baldo, N. Improved predictions of asphalt concretes’ dynamic modulus and phase angle using decision-tree based categorical boosting model. Constr. Build. Mater. 2023, 400, 132709. [Google Scholar] [CrossRef]
- Liu, J.; Liu, F.; Wang, Z.; Fanijo, E.O.; Wang, L. Involving prediction of dynamic modulus in asphalt mix design with machine learning and mechanical-empirical analysis. Constr. Build. Mater. 2023, 407, 133610. [Google Scholar] [CrossRef]
- Olard, F.; Di Benedetto, H.; Dony, A.; Vaniscote, J.C. Properties of bituminous mixtures at low temperatures and relations with binder characteristics. Mater. Struct. 2005, 38, 121–126. [Google Scholar] [CrossRef]
- Riccardi, C.; Cannone Falchetto, A.; Losa, M.; Wistuba, M.P. Development of simple relationship between asphalt binder and mastic based on rheological tests. Road Mater. Pavement Des. 2016, 19, 18–35. [Google Scholar] [CrossRef]
- Lachance-Tremblay, É.; Vaillancourt, M.; Perraton, D. Evaluation of the impact of recycled glass on asphalt mixture performances. Road Mater. Pavement Des. 2016, 17, 600–618. [Google Scholar] [CrossRef]
- Lamothe, S.; Perraton, D.; Di Benedetto, H. Deterioration of HMA partially saturated with water or brine subjected to freeze-thaw cycles. In 8th RILEM International Symposium on Testing and Characterization of Sustainable and Innovative Bituminous Materials; Springer: Dordrecht, The Netherlands, 2016; pp. 705–717. [Google Scholar]
- Mangiafico, S.; Di Benedetto, H.; Sauzéat, C.; Olard, F.; Pouget, S.; Planque, L. New method to obtain viscoelastic properties of bitumen blends from pure and reclaimed asphalt pavement binder constituents. Road Mater. Pavement Des. 2014, 15, 312–329. [Google Scholar] [CrossRef]
- Yusoff, N.I.M.; Mounier, D.; Marc-Stéphane, G.; Rosli Hainin, M.; Airey, G.D.; Di Benedetto, H. Modelling the rheological properties of bituminous binders using the 2S2P1D Model. Constr. Build. Mater. 2013, 38, 395–406. [Google Scholar] [CrossRef]
- Perraton, D.; Di Benedetto, H.; Sauzéat, C.; Hofko, B.; Graziani, A.; Nguyen, Q.T.; Pouget, S.; Poulikakos, L.D.; Tapsoba, N.; Grenfell, J. 3Dim experimental investigation of linear viscoelastic properties of bituminous mixtures. Mater. Struct. 2016, 49, 4813–4829. [Google Scholar] [CrossRef]
- Pham, N.H.; Sauzéat, C.; Di Benedetto, H.; González-León, J.-A.; Barreto, G.; Nicolaï, A.; Jakubowski, M. Reclaimed asphalt pavement and additives’ influence on 3D linear behaviour of warm mix asphalts. Road Mater. Pavement Des. 2015, 16, 569–591. [Google Scholar] [CrossRef]
- Pouget, S.; Sauzéat, C.; Di Benedetto, H.; Olard, F. Modeling of viscous bituminous wearing course materials on orthotropic steel deck. Mater. Struct. 2012, 45, 1115–1125. [Google Scholar] [CrossRef]
- Ramirez Cardona, D.; Di Benedetto, H.; Sauzeat, C.; Calon, N.; Saussine, G. Use of a bituminous mixture layer in high-speed line trackbeds. Constr. Build. Mater. 2016, 125, 398–407. [Google Scholar] [CrossRef]
- Christensen, D.W.; Anderson, D.A. Interpretation of dynamic mechanical test data for paving grade asphalt cements (with discussion). J. Assoc. Asph. Paving Technol. 1992, 61, 67–116. [Google Scholar]
- Asgharzadeh, S.M.; Tabatabaee, N.; Naderi, K.; Partl, M. An empirical model for modified bituminous binder master curves. Mater. Struct. 2012, 46, 1459–1471. [Google Scholar] [CrossRef]
- Cannone Falchetto, A.; Moon, K.H.; Wang, D.; Park, H.-W. A modified rheological model for the dynamic modulus of asphalt mixtures. Can. J. Civ. Eng. 2021, 48, 328–340. [Google Scholar] [CrossRef]
- Rowe, G.M.; Khoee, S.H.; Blankenship, P.; Mahboub, K.C. Evaluation of Aspects of E* Test by Using Hot-Mix Asphalt Specimens with Varying Void Contents. Transp. Res. Rec. J. Transp. Res. Board 2009, 2127, 164–172. [Google Scholar] [CrossRef]
- Han, D.; Zhu, C.; Du, Q.; Hu, H. Establishment and verification of different fixed parameter combinations of the 2S2P1D model for asphalt mixture. Constr. Build. Mater. 2022, 345, 128379. [Google Scholar] [CrossRef]
- Cao, W.; Lacroix, A.; Kim, Y.R. A triaxial linear viscoelastic characterization framework for asphalt concrete based on the 2S2P1D model. Eur. J. Mech. A/Solids 2022, 92, 104469. [Google Scholar] [CrossRef]
- Sun, Y.; Huang, B.; Chen, J.; Jia, X.; Ding, Y. Characterizing rheological behavior of asphalt binder over a complete range of pavement service loading frequency and temperature. Constr. Build. Mater. 2016, 123, 661–672. [Google Scholar] [CrossRef]
- Blasl, A.; Khalili, M.; Canon Falla, G.; Oeser, M.; Liu, P.; Wellner, F. Rheological characterisation and modelling of bitumen containing reclaimed components. Int. J. Pavement Eng. 2017, 20, 638–648. [Google Scholar] [CrossRef]
- Carret, J.-C.; Pedraza, A.; Di Benedetto, H.; Sauzeat, C. Comparison of the 3-dim linear viscoelastic behavior of asphalt mixes determined with tension-compression and dynamic tests. Constr. Build. Mater. 2018, 174, 529–536. [Google Scholar] [CrossRef]
- Wu, Q.; Wang, C.; Liang, R.; Liu, Y.; Cheng, J.; Kang, Y. Fractional linear viscoelastic constitutive relations of anhydride-cured thermosetting rubber-like epoxy asphalt binders. Constr. Build. Mater. 2018, 170, 582–590. [Google Scholar] [CrossRef]
- Fakhari Tehrani, F.; Absi, J.; Allou, F.; Petit, C. Micromechanical modelling of bituminous materials’ complex modulus at different length scales. Int. J. Pavement Eng. 2016, 19, 685–696. [Google Scholar] [CrossRef]
- Carret, J.-C.; Di Benedetto, H.; Sauzéat, C. Characterization of Asphalt Mixes Behaviour from Dynamic Tests and Comparison with Conventional Cyclic Tension–Compression Tests. Appl. Sci. 2018, 8, 2117. [Google Scholar] [CrossRef]
- Carret, J.C.; Di Benedetto, H.; Sauzeat, C. Linear viscoelastic behavior of asphalt mixes from dynamic frequency response functions. Int. J. Numer. Anal. Methods Geomech. 2020, 44, 1019–1031. [Google Scholar] [CrossRef]
- Badeli, S.; Carter, A.; Doré, G. Complex modulus and fatigue analysis of asphalt mix after daily rapid freeze-thaw cycles. J. Mater. Civ. Eng 2018, 30, 04018056. [Google Scholar] [CrossRef]
- Pham, N.H.; Sauzéat, C.; Di Benedetto, H.; González-León, J.A.; Barreto, G.; Nicolaï, A.; Jakubowski, M. Analysis and modeling of 3D complex modulus tests on hot and warm bituminous mixtures. Mech. Time-Depend. Mater. 2015, 19, 167–186. [Google Scholar] [CrossRef]
- Pedraza, A.; Di Benedetto, H.; Sauzéat, C.; Pouget, S. 3D Linear viscoelastic behaviour of bituminous mixtures containing high content of multi-recycled RAP. Road Mater. Pavement Des. 2019, 20, 1709–1721. [Google Scholar] [CrossRef]
- Lachance-Tremblay, É.; Vaillancourt, M.; Perraton, D.; Di Benedetto, H. Linear viscoelastic (LVE) properties of asphalt mixtures with different glass aggregates and hydrated lime content. Int. J. Pavement Eng. 2018, 21, 1170–1179. [Google Scholar] [CrossRef]
- Mahmoudi, Y.; Mangiafico, S.; Sauzéat, C.; Di Benedetto, H.; Pouget, S.; Faure, J.-P. Tridimensional linear viscoelastic properties of bituminous mixtures produced with crumb rubber added by dry process. Road Mater. Pavement Des. 2020, 22, 2086–2096. [Google Scholar] [CrossRef]
- Raschia, S.; Di Benedetto, H.; Lamothe, S.; Carter, A.; Graziani, A.; Perraton, D. Thermo-rheological modelling of cement-bitumen treated materials in the small strain domain. Transp. Geotech. 2021, 31, 100647. [Google Scholar] [CrossRef]
- Azimi Alamdary, Y.; Singh, S.; Baaj, H. Laboratory simulation of the impact of solar radiation and moisture on long-term age conditioning of asphalt mixes. Road Mater. Pavement Des. 2019, 20, S521–S532. [Google Scholar] [CrossRef]
- Pronk, A.C. The Huet-Sayegh model: A simple and excellent rheological model for master curves of asphaltic mixes. In Asphalt Concrete: Simulation, Modeling, and Experimental Characterization; American Society of Civil Engineers: Reston, VA, USA, 2006; pp. 73–82. [Google Scholar]
- Zhao, H.; Zhang, W.; Cui, S.; Ma, S.; Miao, B.; Di, E.; Wang, X.; Su, C.; Wei, J.; Liu, S. Study on the Influence Factors of Dynamic Modulus and Phase Angle of Dense Gradation Polyurethane Mixture. Coatings 2023, 13, 474. [Google Scholar] [CrossRef]
- Azimi Alamdary, Y.; Singh, S.; Baaj, H. Toward a realistic asphalt mix ageing protocol. Road Mater. Pavement Des. 2022, 23, 2317–2333. [Google Scholar] [CrossRef]
- Yusoff, N.I.M.; Shaw, M.T.; Airey, G.D. Modelling the linear viscoelastic rheological properties of bituminous binders. Constr. Build. Mater. 2011, 25, 2171–2189. [Google Scholar] [CrossRef]
- Olard, F.; Di Benedetto, H.; Eckmann, B.; Triquigneaux, J.-P. Linear Viscoelastic Properties of Bituminous Binders and Mixtures at Low and Intermediate Temperatures. Road Mater. Pavement Des. 2011, 4, 77–107. [Google Scholar] [CrossRef]
- Lamothe, S.; Perraton, D.; Di Benedetto, H. Degradation of hot mix asphalt samples subjected to freeze-thaw cycles and partially saturated with water or brine. Road Mater. Pavement Des. 2017, 18, 849–864. [Google Scholar] [CrossRef]
- Mounier, D.; Di Benedetto, H.; Sauzéat, C. Determination of bituminous mixtures linear properties using ultrasonic wave propagation. Constr. Build. Mater. 2012, 36, 638–647. [Google Scholar] [CrossRef]
- Pouget, S.; Sauzéat, C.; Di Benedetto, H.; Olard, F. From the Behavior of Constituent Materials to the Calculation and Design of Orthotropic Bridge Structures. Road Mater. Pavement Des. 2011, 11, 111–144. [Google Scholar] [CrossRef]
- Pouget, S.; Sauzéat, C.; Di Benedetto, H.; Olard, F. Effect of Vehicle Speed on the Millau Viaduct Response. J. Test. Eval. 2012, 40, 1270–1276. [Google Scholar] [CrossRef]
- Pouget, S.; Sauzéat, C.; Di Benedetto, H.; Olard, F. Viscous Energy Dissipation in Asphalt Pavement Structures and Implication for Vehicle Fuel Consumption. J. Mater. Civ. Eng. 2012, 24, 568–576. [Google Scholar] [CrossRef]
- Mazurek, G.; Iwański, M. Modelling of asphalt concrete stiffness in the linear viscoelastic region. IOP Conf. Ser. Mater. Sci. Eng. 2017, 245, 032029. [Google Scholar] [CrossRef]
- Nguyen, Q.T.; Bui, V.P.; Nguyen, Q.P. 3D creep behaviour of asphalt mixtures: Experiment and modelling from complex modulus tests. Constr. Build. Mater. 2023, 384, 131414. [Google Scholar] [CrossRef]
- Brondani, C.; Menezes Vestena, P.; Faccin, C.; Lisboa Schuster, S.; Pivoto Specht, L.; da Silva Pereira, D. Moisture susceptibility of asphalt mixtures: 2S2P1D rheological model approach and new index based on dynamic modulus master curve changes. Constr. Build. Mater. 2022, 331, 127316. [Google Scholar] [CrossRef]
- Ma, X.; Zhang, X.; Hou, J.; Song, S.; Chen, H.; Kuang, D. Predicting Dynamic Properties of Asphalt Mastic Considering Asphalt-Filler Interaction Based on 2S2P1D Model. Materials 2022, 15, 5688. [Google Scholar] [CrossRef]
- Williams, M.L.; Landel, R.F.; Ferry, J.D. The Temperature Dependence of Relaxation Mechanisms in Amorphous Polymers and Other Glass-forming Liquids. J. Am. Chem. Soc. 2002, 77, 3701–3707. [Google Scholar] [CrossRef]
- Fesko, D.; Tschoegl, N. Time-temperature superposition in thermorheologically complex materials. J. Polym. Sci. Part C Polym. Symp. 1971, 35, 51–69. [Google Scholar] [CrossRef]
- Mangiafico, S.; Sauzéat, C.; Di Benedetto, H. 2S2P1D Model Calibration Error from User Panel for One Bitumen and One Bituminous Mixture. Adv. Mater. Sci. Eng. 2019, 2019, 6547025. [Google Scholar] [CrossRef]
- Bi, Y.; Guo, F.; Zhang, J.; Pei, J.; Li, R. Correlation analysis between asphalt binder/asphalt mastic properties and dynamic modulus of asphalt mixture. Constr. Build. Mater. 2021, 276, 122256. [Google Scholar] [CrossRef]
- Azimi Alamdary, Y.; Singh, S.; Baaj, H. Effect of aggregates containing iron sulphide on asphalt ageing. Road Mater. Pavement Des. 2019, 22, 623–638. [Google Scholar] [CrossRef]
- Tanakizadeh, A.; Shafabakhsh, G. Viscoelastic characterization of aged asphalt mastics using typical performance grading tests and rheological-micromechanical models. Constr. Build. Mater. 2018, 188, 88–100. [Google Scholar] [CrossRef]
- Kobayashi, T.; Mikami, T.; Fujikawa, M. Application of Abaqus for Advanced Inelastic Analysis (I: Linear Viscoelastic Materials). In Proceedings of the 2008 Abaqus Users’ Conference, Newport, RI, USA, 19–22 May 2008; pp. 360–373. [Google Scholar]
- Zhang, Y.; Sun, Y. Fast-Acquiring High-Quality Prony Series Parameters of Asphalt Concrete through Viscoelastic Continuous Spectral Models. Materials 2022, 15, 716. [Google Scholar] [CrossRef] [PubMed]
- Tschoegl, N.W. The Phenomenological Theory of Linear Viscoelastic Behavior: An Introduction; Springer Science & Business Media: Pasadena, CA, USA, 2012. [Google Scholar]
- Medani, T.; Huurman, M. Constructing the Stiffness Master Curves for Asphaltic Mixes; CITG Section Road & Railroad Engineering: Delft, The Netherlands, 2003; p. 17. [Google Scholar]
- Huang, Y. Pavement Analysis and Design; Pearson Education, Inc.: Upper Saddle River, NJ, USA, 1993. [Google Scholar]
- Solatifar, N.; Kavussi, A.; Abbasghorbani, M.; Katicha, S.W. Development of dynamic modulus master curves of in-service asphalt layers using MEPDG models. Road Mater. Pavement Des. 2017, 20, 225–243. [Google Scholar] [CrossRef]
- Zhang, X. Principle and Application of Viscoelastic Mechanics of Asphalt and Asphalt Mixture; China Communications Press: Beijing, China, 2006. [Google Scholar]
- Perraton, D.; Di Benedetto, H.; Sauzéat, C.; Nguyen, Q.T.; Pouget, S. Three-Dimensional Linear Viscoelastic Properties of Two Bituminous Mixtures Made with the Same Binder. J. Mater. Civ. Eng. 2018, 30, 04018305. [Google Scholar] [CrossRef]
Disclaimer/Publisher’s Note: The statements, opinions and data contained in all publications are solely those of the individual author(s) and contributor(s) and not of MDPI and/or the editor(s). MDPI and/or the editor(s) disclaim responsibility for any injury to people or property resulting from any ideas, methods, instructions or products referred to in the content. |
© 2023 by the authors. Licensee MDPI, Basel, Switzerland. This article is an open access article distributed under the terms and conditions of the Creative Commons Attribution (CC BY) license (https://creativecommons.org/licenses/by/4.0/).







