Modeling the Dynamic Properties of the Polyurethane Mixture with Dense Gradation Using the 2S2P1D Model
Abstract
1. Introduction
2. Materials and Methods
2.1. Specimen Fabricate and Dynamic Modulus Test
2.2. Methodology Background
2.3. Fitting Procedure
3. Results
3.1. 2S2P1D Model Goodness–of–Fit Statistics
3.2. Comparison of 2S2P1D Model Fitting Parameters
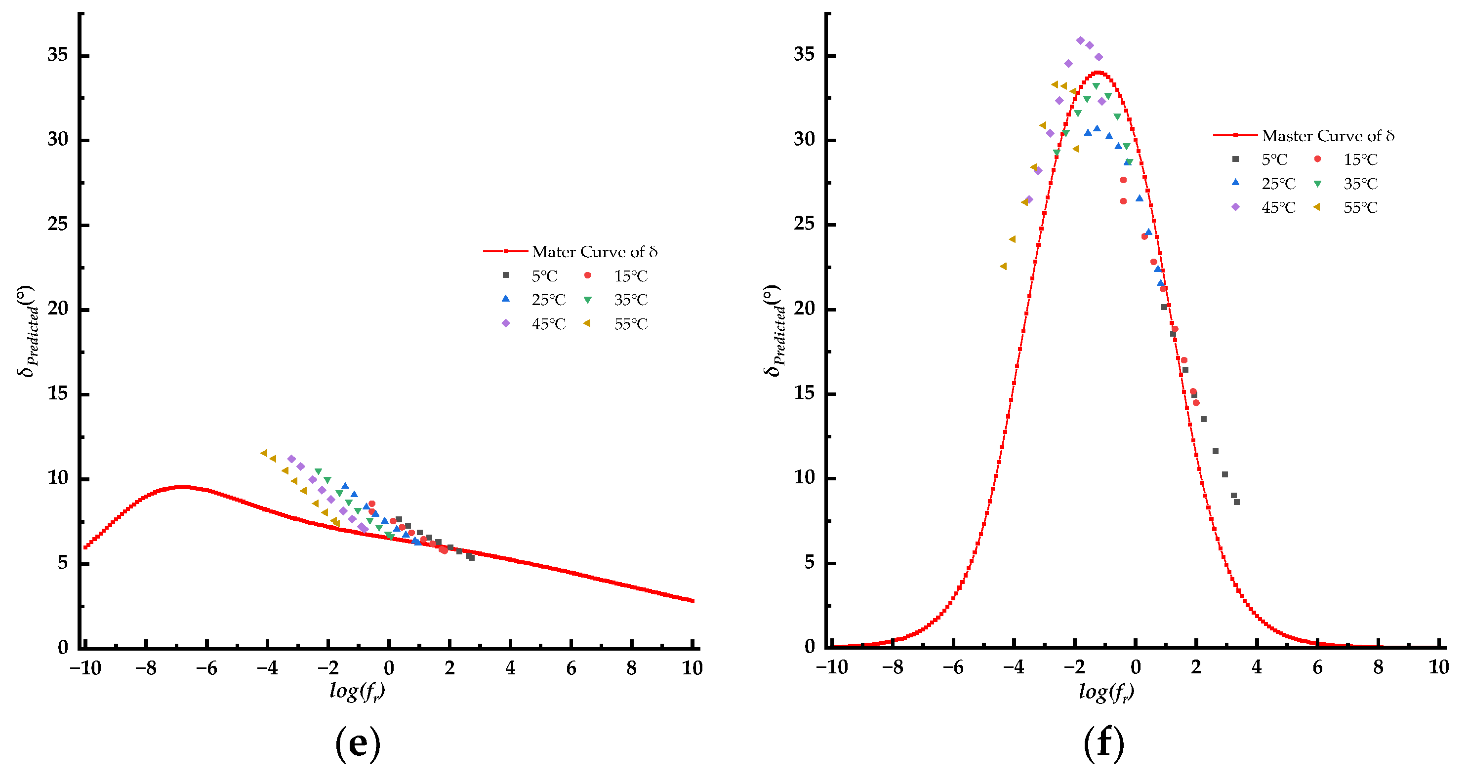
3.3. Comparison of the Master Curves of the 2S2P1D Model
3.4. Comparison of Master Curve Models
3.5. Comparison of Core–Core and Black Space Diagrams
3.6. Comparison of Shift Factors
4. Discussion
4.1. 2S2P1D Model Goodness of Fit Statistics
4.2. Comparison of 2S2P1D Model Fitting Parameters
4.3. Comparison of Master Curves of 2S2P1D Model
4.4. Comparison Master Curve Models
4.5. Comparison of Core–Core and Black Space Diagrams
4.6. Comparison of Shift Factors
5. Conclusions
- (1)
- The minimization method had higher accuracy in minimizing the difference between the measured and predicted dynamic modulus and phase angle. The 2S2P1D model fits the complex modulus data for the PU mixture more precisely than the data for the SBS-modified asphalt mixture. However, the 2S2P1D model was not suitable for fitting the phase-angle data of the PU mixture.
- (2)
- Compared with the SBS-modified asphalt mixture, the PU mixture exhibited higher elastic properties, as represented by the linear spring element, smaller creep, as properties represented by the parabolic creep element, and greater viscous properties, as represented by the Newtonian dashpot element.
- (3)
- To improve the simulation of the viscous and high-temperature properties of the PU mixture, it is necessary to weaken the parabolic creep element and enhance the linear spring and dashpot in the 2S2P1D model.
- (4)
- Compared with the SCM model, the 2S2P1D model exhibited superior precision in predicting the dynamic modulus of the PU mixture.
- (5)
- Although the 2S2P1D model accurately fitted the dynamic modulus, its phase-angle fitting results were not satisfactory. This suggested that the rheological properties of the PU mixture differ significantly from those of the SBS-modified asphalt mixture. Therefore, modification is required to improve the 2S2P1D model’s ability to simulate the rheological properties of the PU mixture.
- (6)
- The 2S2P1D model successfully captures the asymmetric characteristics of the dynamic viscoelasticity of both the PU and SBS-modified asphalt mixtures across a wide range of frequencies and temperatures.
Author Contributions
Funding
Institutional Review Board Statement
Informed Consent Statement
Data Availability Statement
Acknowledgments
Conflicts of Interest
References
- Di Benedetto, H.; Mondher, N.; Sauzéat, C.; Olard, F. Three-dimensional Thermo-viscoplastic Behaviour of Bituminous Materials: The DBN Model. Road Mater. Pavement Des. 2011, 8, 285–315. [Google Scholar] [CrossRef]
- Airey, G.D.; Rahimzadeh, B.; Collop, A.C. Viscoelastic linearity limits for bituminous materials. Mater. Struct. 2003, 36, 643–647. [Google Scholar] [CrossRef]
- Chailleux, E.; de La Roche, C.; Piau, J.M. Modeling of complex modulus of bituminous mixtures measured in tension/compression to estimate secant modulus in indirect tensile test. Mater. Struct. 2010, 44, 641–657. [Google Scholar] [CrossRef]
- Delaporte, B.; Di Benedetto, H.; Chaverot, P.; Gauthier, G. Linear Viscoelastic Properties of Bituminous Materials Including New Products Made with Ultrafine Particles. Road Mater. Pavement Des. 2011, 10, 7–38. [Google Scholar] [CrossRef]
- Di Benedetto, H.; Sauzéat, C.; Sohm, J. Stiffness of bituminous mixtures using ultrasonic wave propagation. Road Mater. Pavement Des. 2009, 10, 789–814. [Google Scholar] [CrossRef]
- Di Benedetto, H.; Olard, F.; Sauzéat, C.; Delaporte, B. Linear viscoelastic behaviour of bituminous materials: From binders to mixes. Road Mater. Pavement Des. 2011, 5, 163–202. [Google Scholar] [CrossRef]
- Olard, F.; Di Benedetto, H. General “2S2P1D” Model and Relation Between the Linear Viscoelastic Behaviours of Bituminous Binders and Mixes. Road Mater. Pavement Des. 2011, 4, 185–224. [Google Scholar] [CrossRef]
- Pouget, S.; Sauzéat, C.; Di Benedetto, H.; Olard, F. Numerical simulation of the five-point bending test designed to study bituminous wearing courses on orthotropic steel bridge. Mater. Struct. 2010, 43, 319–330. [Google Scholar] [CrossRef]
- Alamnie, M.; Taddesse, E.; Hoff, I. Viscoelastic characterization and comparison of Norwegian asphalt mixtures using dynamic modulus and IDT tests. In Proceedings of the Eleventh International Conference on the Bearing Capacity of Roads, Railways and Airfields, Trondheim, Norway, 8–10 June 2022; pp. 118–128. [Google Scholar]
- Levenberg, E.; Shah, A. Interpretation of complex modulus test results for asphalt-aggregate mixes. J. Test. Eval. 2008, 36, 326–334. [Google Scholar]
- Alavi, M.Z.; Hajj, E.Y.; Morian, N.E. Approach for quantifying the effect of binder oxidative aging on the viscoelastic properties of asphalt mixtures. Transp. Res. Rec. 2013, 2373, 109–120. [Google Scholar] [CrossRef]
- Liang, S.; Luo, R.; Luo, W. Fractional differential constitutive model for linear viscoelasticity of asphalt and asphalt mastic. Constr. Build. Mater. 2021, 306, 124886. [Google Scholar] [CrossRef]
- Aidara, M.L.C.; Ba, M.; Carter, A. Choice of an Advanced Rheological Model for Modeling the Viscoelastic Behavior of Hot Mixtures Asphalt (HMA) from Sénégal (West Africa). Open J. Civ. Eng. 2015, 05, 289–298. [Google Scholar] [CrossRef][Green Version]
- Liao, M.-C.; Chen, J.-S.; Tsou, K.-W. Fatigue Characteristics of Bitumen-Filler Mastics and Asphalt Mixtures. J. Mater. Civ. Eng. 2012, 24, 916–923. [Google Scholar] [CrossRef]
- Hospodka, M.; Hofko, B.; Blab, R. Introducing a new specimen shape to assess the fatigue performance of asphalt mastic by dynamic shear rheometer testing. Mater. Struct. 2018, 51, 46. [Google Scholar] [CrossRef]
- Elnasri, M.; Airey, G.; Thom, N. Experimental investigation of bitumen and mastics under shear creep and creep-recovery testing. In Proceedings of the 2013 Airfield & Highway Pavement Conference: Sustainable and Efficient Pavements, Los Angeles, CA, USA, 9–12 June 2013; pp. 921–932. [Google Scholar]
- Airey, G.D.; Rahimzadeh, B. Combined bituminous binder and mixture linear rheological properties. Constr. Build. Mater. 2004, 18, 535–548. [Google Scholar] [CrossRef]
- Di Benedetto, H.; Partl, M.N.; Francken, L.; De La Roche Saint André, C. Stiffness testing for bituminous mixtures. Mater. Struct. 2001, 34, 66–70. [Google Scholar] [CrossRef]
- Moghaddam, T.B.; Baaj, H. Rheological characterization of high-modulus asphalt mix with modified asphalt binders. Constr. Build. Mater. 2018, 193, 142–152. [Google Scholar] [CrossRef]
- Di Benedetto, H.; Delaporte, B.; Sauzéat, C. Three-Dimensional Linear Behavior of Bituminous Materials: Experiments and Modeling. Int. J. Geomech. 2007, 7, 149–157. [Google Scholar] [CrossRef]
- Tiouajni, S.; Di Benedetto, H.; Sauzéat, C.; Pouget, S. Approximation of Linear Viscoelastic Model in the 3 Dimensional Case with Mechanical Analogues of Finite Size. Road Mater. Pavement Des. 2011, 12, 897–930. [Google Scholar] [CrossRef]
- Papagiannakis, A.T.; Masad, E.A. Pavement Design and Materials; John Wiley & Sons: Hoboken, NJ, USA, 2008. [Google Scholar]
- Highway, A.A.o.S.; Officials, T. Standard Practice for Developing Dynamic Modulus Master Curves for Hot Mix Asphalt (HMA) Using the Asphalt Mixture Performance Tester (AMPT): AASHTO Designation, PP 61-10 1 2; American Association of State Highway and Transportation Officials: Washington, DC, USA, 2010. [Google Scholar]
- Havriliak, S.; Negami, S. A complex plane analysis of α-dispersions in some polymer systems. J. Polym. Sci. Part C Polym. Symp. 1966, 14, 99–117. [Google Scholar] [CrossRef]
- Ali, Y.; Hussain, F.; Irfan, M.; Buller, A.S. An Extreme Gradient Boosting model for predicting dynamic modulus of asphalt concrete mixtures. Constr. Build. Mater. 2021, 295, 123642. [Google Scholar] [CrossRef]
- Rondinella, F.; Daneluz, F.; Hofko, B.; Baldo, N. Improved predictions of asphalt concretes’ dynamic modulus and phase angle using decision-tree based categorical boosting model. Constr. Build. Mater. 2023, 400, 132709. [Google Scholar] [CrossRef]
- Liu, J.; Liu, F.; Wang, Z.; Fanijo, E.O.; Wang, L. Involving prediction of dynamic modulus in asphalt mix design with machine learning and mechanical-empirical analysis. Constr. Build. Mater. 2023, 407, 133610. [Google Scholar] [CrossRef]
- Olard, F.; Di Benedetto, H.; Dony, A.; Vaniscote, J.C. Properties of bituminous mixtures at low temperatures and relations with binder characteristics. Mater. Struct. 2005, 38, 121–126. [Google Scholar] [CrossRef]
- Riccardi, C.; Cannone Falchetto, A.; Losa, M.; Wistuba, M.P. Development of simple relationship between asphalt binder and mastic based on rheological tests. Road Mater. Pavement Des. 2016, 19, 18–35. [Google Scholar] [CrossRef]
- Lachance-Tremblay, É.; Vaillancourt, M.; Perraton, D. Evaluation of the impact of recycled glass on asphalt mixture performances. Road Mater. Pavement Des. 2016, 17, 600–618. [Google Scholar] [CrossRef]
- Lamothe, S.; Perraton, D.; Di Benedetto, H. Deterioration of HMA partially saturated with water or brine subjected to freeze-thaw cycles. In 8th RILEM International Symposium on Testing and Characterization of Sustainable and Innovative Bituminous Materials; Springer: Dordrecht, The Netherlands, 2016; pp. 705–717. [Google Scholar]
- Mangiafico, S.; Di Benedetto, H.; Sauzéat, C.; Olard, F.; Pouget, S.; Planque, L. New method to obtain viscoelastic properties of bitumen blends from pure and reclaimed asphalt pavement binder constituents. Road Mater. Pavement Des. 2014, 15, 312–329. [Google Scholar] [CrossRef]
- Yusoff, N.I.M.; Mounier, D.; Marc-Stéphane, G.; Rosli Hainin, M.; Airey, G.D.; Di Benedetto, H. Modelling the rheological properties of bituminous binders using the 2S2P1D Model. Constr. Build. Mater. 2013, 38, 395–406. [Google Scholar] [CrossRef]
- Perraton, D.; Di Benedetto, H.; Sauzéat, C.; Hofko, B.; Graziani, A.; Nguyen, Q.T.; Pouget, S.; Poulikakos, L.D.; Tapsoba, N.; Grenfell, J. 3Dim experimental investigation of linear viscoelastic properties of bituminous mixtures. Mater. Struct. 2016, 49, 4813–4829. [Google Scholar] [CrossRef]
- Pham, N.H.; Sauzéat, C.; Di Benedetto, H.; González-León, J.-A.; Barreto, G.; Nicolaï, A.; Jakubowski, M. Reclaimed asphalt pavement and additives’ influence on 3D linear behaviour of warm mix asphalts. Road Mater. Pavement Des. 2015, 16, 569–591. [Google Scholar] [CrossRef]
- Pouget, S.; Sauzéat, C.; Di Benedetto, H.; Olard, F. Modeling of viscous bituminous wearing course materials on orthotropic steel deck. Mater. Struct. 2012, 45, 1115–1125. [Google Scholar] [CrossRef]
- Ramirez Cardona, D.; Di Benedetto, H.; Sauzeat, C.; Calon, N.; Saussine, G. Use of a bituminous mixture layer in high-speed line trackbeds. Constr. Build. Mater. 2016, 125, 398–407. [Google Scholar] [CrossRef]
- Christensen, D.W.; Anderson, D.A. Interpretation of dynamic mechanical test data for paving grade asphalt cements (with discussion). J. Assoc. Asph. Paving Technol. 1992, 61, 67–116. [Google Scholar]
- Asgharzadeh, S.M.; Tabatabaee, N.; Naderi, K.; Partl, M. An empirical model for modified bituminous binder master curves. Mater. Struct. 2012, 46, 1459–1471. [Google Scholar] [CrossRef]
- Cannone Falchetto, A.; Moon, K.H.; Wang, D.; Park, H.-W. A modified rheological model for the dynamic modulus of asphalt mixtures. Can. J. Civ. Eng. 2021, 48, 328–340. [Google Scholar] [CrossRef]
- Rowe, G.M.; Khoee, S.H.; Blankenship, P.; Mahboub, K.C. Evaluation of Aspects of E* Test by Using Hot-Mix Asphalt Specimens with Varying Void Contents. Transp. Res. Rec. J. Transp. Res. Board 2009, 2127, 164–172. [Google Scholar] [CrossRef]
- Han, D.; Zhu, C.; Du, Q.; Hu, H. Establishment and verification of different fixed parameter combinations of the 2S2P1D model for asphalt mixture. Constr. Build. Mater. 2022, 345, 128379. [Google Scholar] [CrossRef]
- Cao, W.; Lacroix, A.; Kim, Y.R. A triaxial linear viscoelastic characterization framework for asphalt concrete based on the 2S2P1D model. Eur. J. Mech. A/Solids 2022, 92, 104469. [Google Scholar] [CrossRef]
- Sun, Y.; Huang, B.; Chen, J.; Jia, X.; Ding, Y. Characterizing rheological behavior of asphalt binder over a complete range of pavement service loading frequency and temperature. Constr. Build. Mater. 2016, 123, 661–672. [Google Scholar] [CrossRef]
- Blasl, A.; Khalili, M.; Canon Falla, G.; Oeser, M.; Liu, P.; Wellner, F. Rheological characterisation and modelling of bitumen containing reclaimed components. Int. J. Pavement Eng. 2017, 20, 638–648. [Google Scholar] [CrossRef]
- Carret, J.-C.; Pedraza, A.; Di Benedetto, H.; Sauzeat, C. Comparison of the 3-dim linear viscoelastic behavior of asphalt mixes determined with tension-compression and dynamic tests. Constr. Build. Mater. 2018, 174, 529–536. [Google Scholar] [CrossRef]
- Wu, Q.; Wang, C.; Liang, R.; Liu, Y.; Cheng, J.; Kang, Y. Fractional linear viscoelastic constitutive relations of anhydride-cured thermosetting rubber-like epoxy asphalt binders. Constr. Build. Mater. 2018, 170, 582–590. [Google Scholar] [CrossRef]
- Fakhari Tehrani, F.; Absi, J.; Allou, F.; Petit, C. Micromechanical modelling of bituminous materials’ complex modulus at different length scales. Int. J. Pavement Eng. 2016, 19, 685–696. [Google Scholar] [CrossRef]
- Carret, J.-C.; Di Benedetto, H.; Sauzéat, C. Characterization of Asphalt Mixes Behaviour from Dynamic Tests and Comparison with Conventional Cyclic Tension–Compression Tests. Appl. Sci. 2018, 8, 2117. [Google Scholar] [CrossRef]
- Carret, J.C.; Di Benedetto, H.; Sauzeat, C. Linear viscoelastic behavior of asphalt mixes from dynamic frequency response functions. Int. J. Numer. Anal. Methods Geomech. 2020, 44, 1019–1031. [Google Scholar] [CrossRef]
- Badeli, S.; Carter, A.; Doré, G. Complex modulus and fatigue analysis of asphalt mix after daily rapid freeze-thaw cycles. J. Mater. Civ. Eng 2018, 30, 04018056. [Google Scholar] [CrossRef]
- Pham, N.H.; Sauzéat, C.; Di Benedetto, H.; González-León, J.A.; Barreto, G.; Nicolaï, A.; Jakubowski, M. Analysis and modeling of 3D complex modulus tests on hot and warm bituminous mixtures. Mech. Time-Depend. Mater. 2015, 19, 167–186. [Google Scholar] [CrossRef]
- Pedraza, A.; Di Benedetto, H.; Sauzéat, C.; Pouget, S. 3D Linear viscoelastic behaviour of bituminous mixtures containing high content of multi-recycled RAP. Road Mater. Pavement Des. 2019, 20, 1709–1721. [Google Scholar] [CrossRef]
- Lachance-Tremblay, É.; Vaillancourt, M.; Perraton, D.; Di Benedetto, H. Linear viscoelastic (LVE) properties of asphalt mixtures with different glass aggregates and hydrated lime content. Int. J. Pavement Eng. 2018, 21, 1170–1179. [Google Scholar] [CrossRef]
- Mahmoudi, Y.; Mangiafico, S.; Sauzéat, C.; Di Benedetto, H.; Pouget, S.; Faure, J.-P. Tridimensional linear viscoelastic properties of bituminous mixtures produced with crumb rubber added by dry process. Road Mater. Pavement Des. 2020, 22, 2086–2096. [Google Scholar] [CrossRef]
- Raschia, S.; Di Benedetto, H.; Lamothe, S.; Carter, A.; Graziani, A.; Perraton, D. Thermo-rheological modelling of cement-bitumen treated materials in the small strain domain. Transp. Geotech. 2021, 31, 100647. [Google Scholar] [CrossRef]
- Azimi Alamdary, Y.; Singh, S.; Baaj, H. Laboratory simulation of the impact of solar radiation and moisture on long-term age conditioning of asphalt mixes. Road Mater. Pavement Des. 2019, 20, S521–S532. [Google Scholar] [CrossRef]
- Pronk, A.C. The Huet-Sayegh model: A simple and excellent rheological model for master curves of asphaltic mixes. In Asphalt Concrete: Simulation, Modeling, and Experimental Characterization; American Society of Civil Engineers: Reston, VA, USA, 2006; pp. 73–82. [Google Scholar]
- Zhao, H.; Zhang, W.; Cui, S.; Ma, S.; Miao, B.; Di, E.; Wang, X.; Su, C.; Wei, J.; Liu, S. Study on the Influence Factors of Dynamic Modulus and Phase Angle of Dense Gradation Polyurethane Mixture. Coatings 2023, 13, 474. [Google Scholar] [CrossRef]
- Azimi Alamdary, Y.; Singh, S.; Baaj, H. Toward a realistic asphalt mix ageing protocol. Road Mater. Pavement Des. 2022, 23, 2317–2333. [Google Scholar] [CrossRef]
- Yusoff, N.I.M.; Shaw, M.T.; Airey, G.D. Modelling the linear viscoelastic rheological properties of bituminous binders. Constr. Build. Mater. 2011, 25, 2171–2189. [Google Scholar] [CrossRef]
- Olard, F.; Di Benedetto, H.; Eckmann, B.; Triquigneaux, J.-P. Linear Viscoelastic Properties of Bituminous Binders and Mixtures at Low and Intermediate Temperatures. Road Mater. Pavement Des. 2011, 4, 77–107. [Google Scholar] [CrossRef]
- Lamothe, S.; Perraton, D.; Di Benedetto, H. Degradation of hot mix asphalt samples subjected to freeze-thaw cycles and partially saturated with water or brine. Road Mater. Pavement Des. 2017, 18, 849–864. [Google Scholar] [CrossRef]
- Mounier, D.; Di Benedetto, H.; Sauzéat, C. Determination of bituminous mixtures linear properties using ultrasonic wave propagation. Constr. Build. Mater. 2012, 36, 638–647. [Google Scholar] [CrossRef]
- Pouget, S.; Sauzéat, C.; Di Benedetto, H.; Olard, F. From the Behavior of Constituent Materials to the Calculation and Design of Orthotropic Bridge Structures. Road Mater. Pavement Des. 2011, 11, 111–144. [Google Scholar] [CrossRef]
- Pouget, S.; Sauzéat, C.; Di Benedetto, H.; Olard, F. Effect of Vehicle Speed on the Millau Viaduct Response. J. Test. Eval. 2012, 40, 1270–1276. [Google Scholar] [CrossRef]
- Pouget, S.; Sauzéat, C.; Di Benedetto, H.; Olard, F. Viscous Energy Dissipation in Asphalt Pavement Structures and Implication for Vehicle Fuel Consumption. J. Mater. Civ. Eng. 2012, 24, 568–576. [Google Scholar] [CrossRef]
- Mazurek, G.; Iwański, M. Modelling of asphalt concrete stiffness in the linear viscoelastic region. IOP Conf. Ser. Mater. Sci. Eng. 2017, 245, 032029. [Google Scholar] [CrossRef]
- Nguyen, Q.T.; Bui, V.P.; Nguyen, Q.P. 3D creep behaviour of asphalt mixtures: Experiment and modelling from complex modulus tests. Constr. Build. Mater. 2023, 384, 131414. [Google Scholar] [CrossRef]
- Brondani, C.; Menezes Vestena, P.; Faccin, C.; Lisboa Schuster, S.; Pivoto Specht, L.; da Silva Pereira, D. Moisture susceptibility of asphalt mixtures: 2S2P1D rheological model approach and new index based on dynamic modulus master curve changes. Constr. Build. Mater. 2022, 331, 127316. [Google Scholar] [CrossRef]
- Ma, X.; Zhang, X.; Hou, J.; Song, S.; Chen, H.; Kuang, D. Predicting Dynamic Properties of Asphalt Mastic Considering Asphalt-Filler Interaction Based on 2S2P1D Model. Materials 2022, 15, 5688. [Google Scholar] [CrossRef]
- Williams, M.L.; Landel, R.F.; Ferry, J.D. The Temperature Dependence of Relaxation Mechanisms in Amorphous Polymers and Other Glass-forming Liquids. J. Am. Chem. Soc. 2002, 77, 3701–3707. [Google Scholar] [CrossRef]
- Fesko, D.; Tschoegl, N. Time-temperature superposition in thermorheologically complex materials. J. Polym. Sci. Part C Polym. Symp. 1971, 35, 51–69. [Google Scholar] [CrossRef]
- Mangiafico, S.; Sauzéat, C.; Di Benedetto, H. 2S2P1D Model Calibration Error from User Panel for One Bitumen and One Bituminous Mixture. Adv. Mater. Sci. Eng. 2019, 2019, 6547025. [Google Scholar] [CrossRef]
- Bi, Y.; Guo, F.; Zhang, J.; Pei, J.; Li, R. Correlation analysis between asphalt binder/asphalt mastic properties and dynamic modulus of asphalt mixture. Constr. Build. Mater. 2021, 276, 122256. [Google Scholar] [CrossRef]
- Azimi Alamdary, Y.; Singh, S.; Baaj, H. Effect of aggregates containing iron sulphide on asphalt ageing. Road Mater. Pavement Des. 2019, 22, 623–638. [Google Scholar] [CrossRef]
- Tanakizadeh, A.; Shafabakhsh, G. Viscoelastic characterization of aged asphalt mastics using typical performance grading tests and rheological-micromechanical models. Constr. Build. Mater. 2018, 188, 88–100. [Google Scholar] [CrossRef]
- Kobayashi, T.; Mikami, T.; Fujikawa, M. Application of Abaqus for Advanced Inelastic Analysis (I: Linear Viscoelastic Materials). In Proceedings of the 2008 Abaqus Users’ Conference, Newport, RI, USA, 19–22 May 2008; pp. 360–373. [Google Scholar]
- Zhang, Y.; Sun, Y. Fast-Acquiring High-Quality Prony Series Parameters of Asphalt Concrete through Viscoelastic Continuous Spectral Models. Materials 2022, 15, 716. [Google Scholar] [CrossRef] [PubMed]
- Tschoegl, N.W. The Phenomenological Theory of Linear Viscoelastic Behavior: An Introduction; Springer Science & Business Media: Pasadena, CA, USA, 2012. [Google Scholar]
- Medani, T.; Huurman, M. Constructing the Stiffness Master Curves for Asphaltic Mixes; CITG Section Road & Railroad Engineering: Delft, The Netherlands, 2003; p. 17. [Google Scholar]
- Huang, Y. Pavement Analysis and Design; Pearson Education, Inc.: Upper Saddle River, NJ, USA, 1993. [Google Scholar]
- Solatifar, N.; Kavussi, A.; Abbasghorbani, M.; Katicha, S.W. Development of dynamic modulus master curves of in-service asphalt layers using MEPDG models. Road Mater. Pavement Des. 2017, 20, 225–243. [Google Scholar] [CrossRef]
- Zhang, X. Principle and Application of Viscoelastic Mechanics of Asphalt and Asphalt Mixture; China Communications Press: Beijing, China, 2006. [Google Scholar]
- Perraton, D.; Di Benedetto, H.; Sauzéat, C.; Nguyen, Q.T.; Pouget, S. Three-Dimensional Linear Viscoelastic Properties of Two Bituminous Mixtures Made with the Same Binder. J. Mater. Civ. Eng. 2018, 30, 04018305. [Google Scholar] [CrossRef]








| Sive/mm | 0.075 | 0.15 | 0.3 | 0.6 | 1.18 | 2.36 | 4.75 | 9.5 | 13.2 | 16 | 19 | 26.5 |
| Passing/% | 6.3 | 9.2 | 11.3 | 15.8 | 23.1 | 31.8 | 38.2 | 59.7 | 72.3 | 81.2 | 95.7 | 100 |
| Mixture | Method | R2 | Se/Sy | Error2 | SSE |
|---|---|---|---|---|---|
| PU mixture | Method 1 | 0.9999999 | 0.0200000 | 0.1339559 | 0.0346523 |
| Method2 | 1 | 0.0000614 | 0.0224544 | 0.0199999 | |
| SBS–modified asphalt mixture | Method 1 | 0.9999529 | 0.0200000 | 0.3998602 | 0.4160927 |
| Method 2 | 0.9999999 | 0.0004482 | 0.0288021 | 0.3601372 |
| Parameter | E∞ | E0 | δ | k | h | β | τref |
|---|---|---|---|---|---|---|---|
| PU mixture | 39,546.72 | 743.39 | 8.93 | 0.09 | 0.30 | 916184.16 | 220.31 |
| SBS–modified asphalt mixture | 23,087.16 | 177.54 | 3.17 | 0.45 | 0.45 | 45219.02 | 0.28 |
| Model | Formula | R2 |
|---|---|---|
| SCM model | Y = 674.7193 + 0.9386X | 0.9921 |
| 2S2P1D model | Y =12.2869 + 0.9978X | 0.9960 |
| Mixture Type | Origin | π*h/2 | π*k/2 |
|---|---|---|---|
| PU mixture | 2S2P1D model fitting | 27.5° | 8.3° |
| angle of the tangent line | 16.4° | 171.7° | |
| SBS-modified asphalt mixture | 2S2P1D model fitting | 40.0° | 40.0° |
| angle of the tangent line | 39.9° | 140.2° |
Disclaimer/Publisher’s Note: The statements, opinions and data contained in all publications are solely those of the individual author(s) and contributor(s) and not of MDPI and/or the editor(s). MDPI and/or the editor(s) disclaim responsibility for any injury to people or property resulting from any ideas, methods, instructions or products referred to in the content. |
© 2023 by the authors. Licensee MDPI, Basel, Switzerland. This article is an open access article distributed under the terms and conditions of the Creative Commons Attribution (CC BY) license (https://creativecommons.org/licenses/by/4.0/).
Share and Cite
Zhao, H.; Gao, W.; Cui, S.; Li, Z.; Zhang, P.; Wang, L.; Zhang, W.; Su, C.; Ma, S. Modeling the Dynamic Properties of the Polyurethane Mixture with Dense Gradation Using the 2S2P1D Model. Coatings 2023, 13, 2060. https://doi.org/10.3390/coatings13122060
Zhao H, Gao W, Cui S, Li Z, Zhang P, Wang L, Zhang W, Su C, Ma S. Modeling the Dynamic Properties of the Polyurethane Mixture with Dense Gradation Using the 2S2P1D Model. Coatings. 2023; 13(12):2060. https://doi.org/10.3390/coatings13122060
Chicago/Turabian StyleZhao, Haisheng, Wenbin Gao, Shiping Cui, Zhen Li, Peiyu Zhang, Lin Wang, Wensheng Zhang, Chunhua Su, and Shijie Ma. 2023. "Modeling the Dynamic Properties of the Polyurethane Mixture with Dense Gradation Using the 2S2P1D Model" Coatings 13, no. 12: 2060. https://doi.org/10.3390/coatings13122060
APA StyleZhao, H., Gao, W., Cui, S., Li, Z., Zhang, P., Wang, L., Zhang, W., Su, C., & Ma, S. (2023). Modeling the Dynamic Properties of the Polyurethane Mixture with Dense Gradation Using the 2S2P1D Model. Coatings, 13(12), 2060. https://doi.org/10.3390/coatings13122060

