Abstract
In this work, the corrosion inhibition effects of octadecyl trimethyl ammonium chloride (OTAC) and dioctadecyl dimethyl ammonium chloride (DDAC) on Q235 steel in a 0.5 mol/L H2SO4 solution are studied. The results of the electrochemical experiment, contact angle measurement, and scanning electron microscopy indicate that the two ionic liquids belong to mixed-type corrosion inhibitors with good anti-corrosion performance. Additionally, OTAC has a better anti-corrosion ability than DDAC, implying that the steric hindrance effect of the double alkyl chain is not conducive to the adsorption of DDAC on the electrode surface.
1. Introduction
Carbon steel has been widely employed in various fields, such as the chemical industry, marine engineering, building materials, and pipeline transport, due to its unique advantages, including its high mechanical property, low cost, and easy processing [1,2,3]. Unfortunately, during the process of use in a corrosive environment, oxidized corrosion products are prone to form on the surface of steel equipment [4]. As a result, diluted sulfuric acid is usually used as the pickling solution to remove corrosion products [5]. However, a pickling solution also corrodes the surface of carbon steel, owing to its corrosive nature [6]. Therefore, it is necessary to protect carbon steel against corrosion in sulfuric acid solution. One of the most effective strategies is to add corrosion inhibitors to reduce the corrosion rate of carbon steel in a sulfuric acid solution [7,8,9,10]. Corrosion inhibitors include inorganic and organic compounds, but some metal salts or organic compounds containing sulfur and phosphorus cause a series of environmental problems [11]. Accordingly, it is urgent and necessary to develop environment-friendly corrosion inhibitors.
In recent years, ionic liquids have attracted more attention in academic and industrial fields, owing to their excellent thermal stability, high ionic conductivity, negligible vapor pressure, non-volatility, and lower toxicity [12,13]. Compared with organic corrosion inhibitors, ionic liquids are biodegradable and environment-friendly. Many ionic liquids, such as imidazole, ammonium, pyridine, and phosphonium, have been proven to possess excellent anti-corrosion performance [14,15]. According to the literature, ionic liquids could adsorb on metal surfaces to form a protective layer [16,17]. Some reports have investigated the influence of the single alkyl chain length of ionic liquids on the corrosion inhibition performance [18,19]. For example, Zhang’s group demonstrated that the inhibition efficiency of imidazolium-type ionic liquids increased with the increase in alkyl chain length attached to an imidazolium ring [20]. However, a few reports have studied the steric hindrance effect of single and double alkyl chains on the corrosion inhibitory performance of ionic liquids.
In this work, the anti-corrosion abilities of OTAC and DDAC for Q235 steel in a 0.5 mol/L H2SO4 solution are investigated using electrochemical experiments and surface characterizations. The focus of this work is to systematically explore the steric hindrance effect of single and double alkyl chains on corrosion inhibitory performance. The molecular structures of the two ionic liquids are shown in Figure 1. The results show that OTAC and DDAC could slow down the corrosion rate of Q235 steel in a 0.5 mol/L solution. Additionally, OTAC has better corrosion inhibition performance than DDAC.
Figure 1.
The molecular structure of OTAC (a) and DDAC (b).
2. Experimental
2.1. Materials
Octadecyl trimethyl ammonium chloride and dioctadecyl dimethyl ammonium chloride were purchased from Energy Chemical (Shanghai, China). Sulfuric acid (≥98.3%) and anhydrous ethanol (≥99.7%) were purchased from Sinopharm Chemical Reagent Co., Ltd. (Shanghai, China). The 0.5 mol/L H2SO4 solution was formulated by diluting concentrated sulfuric acid. The studied metal was Q235 steel, and its chemical composition (wt.%) was Fe, 98.397; C, 0.27; Si, 0.31; Ni, 0.021; P, 0.014; Ti, 0.042; S, 0.052; Cr, 0.074; Cu, 0.82, respectively.
2.2. Preparation of Self-Assembly Monolayers (SAMs)
Ethanol was used as the solvent to prepare different concentrations of OTAC and DDAC solutions. The Q235 steel specimens were meticulously polished with 400–2000 grit sandpapers to obtain a tidy surface and then cleaned with ultrapure water and ethanol to obtain a clean surface. Finally, they were dried under a stream of cold air to acquire prepared samples. After that, the samples were immersed in 10 mM inhibitor solution for different self-assembly times (0.5, 1, 2, and 3 h) at 298 K. In addition, the samples were immersed in a different concentration (5, 8, 10, and 12 mM) of inhibitor solutions for 2 h.
2.3. Electrochemical Measurements
The electrochemical experiments were conducted on a CHI660E electrochemical workstation with a three-electrode system. The Q235 steel with a bare area of 1.00 square centimeters was used as the working electrode, the saturated calomel electrode with an area of 4 square centimeters was used as the reference electrode, and the platinum plate was used as the counter electrode. First, the Q235 steel electrodes were immersed in 0.5 mol/L H2SO4 solution for 1200 s to reach a stable open circuit potential (EOCP). Then, electrochemical impedance spectroscopy (EIS) was measured at EOCP with a ±10 mV amplitude signal in the frequency range from 100 kHz to 0.01 Hz. Finally, the polarization curves were measured from −700 mV to +200 mV at a scan rate of 1 mV/s [21,22,23]. The inhibition efficiency (η) was calculated from polarization curves and EIS according to the following equations [24]:
Herein, icorr,0 and icorr are the corrosion current densities of the Q235 steel electrodes without and with the inhibitors, respectively. Rct,0 and Rct are the charge transfer resistances of Q235 steel without and with the inhibitors, respectively.
2.4. Surface Characterizations
The Q235 steel specimens were immersed in 0.5 mol/L H2SO4 solution for 4 h, then washed with ethyl alcohol and dried under cold air. The wetting ability of the specimens’ surface was investigated by contact angle measurement (Biolin PD-200, Beijing, China). The surface morphology of the specimens was studied using scanning electron microscopy (Hitachi SU8010, Hong Kong, China).
3. Results and Discussion
3.1. Optimum Conditions for the Formation of the SAMs
3.1.1. Effect of Self-Assembly Time
The polarization curves of the Q235 steel samples measured in a 0.5 mol/L H2SO4 solution after immersion in 10 mM inhibitor solutions for different self-assembly times are exhibited in Figure 2. As compared with the blank, the cathodic and anodic current densities of the modified Q235 steel electrodes obviously decreased, owing to the studied inhibitors absorbed on the electrode surfaces to form SAMs. With the increase in self-assembly time, the current density of the specimen surfaces covered with the inhibitors presented a decreasing trend. In addition, the current density reached the minimal value when the self-assembly time was 2 h. However, the current density increased when the self-assembly time was 3 h, which was due to the adsorption of the inhibitors reaching a critical value and rearrangement on the metal. Thus, corrosive sulfate ions could easily attack the substrate surface through the interspace [25]. Furthermore, it was obvious that the polarization curves of the cathodic branch presented a parallel trend, implying that the two inhibitors did not change the cathodic reaction mechanism [26].
Figure 2.
Polarization curves of the Q235 steel specimens measured in 0.5 mol/L H2SO4 solution after immersion in 10 mM OTAC (a) or DDAC (b) solutions for different self-assembly times.
It is widely known that Bockris and Drazic exhibit the dissolution mechanism for steel in a H2SO4 medium as follows [27]:
Fe + H2O ↔ FeOHads + H+ + e−
FeOHads → FeOH+ + e−
FeOH+ + H+ ↔ Fe2+ + H2O
The expression of the process of cathodic hydrogen reduction reaction is as follows:
Fe + H+ ↔ (FeH+)ads
(FeH+)ads + e− → (FeH)ads
(FeH)ads + H+ + e− → Fe + H2O
The adsorption mechanism of the two ionic liquids on the Q235 steel surface can be described as follows:
Fe + lnh ↔ (Felnh)ads
Accordingly, it can be concluded from the above reaction formulas that the two inhibitors’ adsorption on the surface of Q235 steel can effectually slow down the dissolution of anodic Fe2+. On the other hand, the area exposed to the corrosive medium is reduced owing to the two inhibitors absorbed, thereby reducing the active sites of hydrogen ion reduction.
The polarization parameters, including corrosion potential (Ecorr), corrosion current density (icorr), cathodic slope (βc), and anodic slope (βa), were obtained through Tafel linear extrapolation, as shown in Table 1. Furthermore, the corrosion inhibition efficiency (ηp) of the Q235 steel specimens covered with the inhibitors was calculated by Equation (1) [28,29]. Compared to the blank, the corrosion potential values of the Q235 steels covered with OTAC and DDAC deviated to the negative direction, indicating that the influence of the two inhibitors on the cathodic reaction was more significant than that of the anodic reaction [6]. In addition, the moving values of corrosion potential were less than 85 mV, indicating that the two inhibitors were regarded as mixed-type inhibitors [30]. Furthermore, it was obvious that OTAC (90.18%, 2 h) presented better corrosion inhibition efficiency than DDAC (85.95%, 2 h) under the same experimental conditions because the steric hindrance effect of the double alkyl chain was not conducive to the adsorption of DDAC on the surface of the work electrodes [31].
Table 1.
Polarization parameters of Q235 steel specimens measured in 0.5 mol/L H2SO4 solution.
The anti-corrosion performance of the two molecules was further investigated using electrochemical impedance spectroscopy. Figure 3 presents the Nyquist and bode plots of the modified specimens measured in a 0.5 mol/L H2SO4 solution for different self-assembly times. As shown in Figure 3a,c, the semicircle was composed of an inductive reactance arc and a capacitive reactance arc. With the extension of the self-assembly time, the radius of the capacitive loops significantly increased, indicating an increase in the number of inhibitor molecules adsorbed on the surface of the Q235 steel electrode. On the other hand, the semicircles presented a flat shape, which was attributed to the roughness and inhomogeneity of the electrode surfaces [32]. As compared with the blank, the semi-circular shape of the modified specimens remained unchanged, implying that the adsorption of the two inhibitors on the surface of Q235 steel did not change the electrode reaction mechanism [5]. In addition, OTAC had better inhibitory performance than DDAC when the self-assembly time was the same. The results are in agreement with the polarization curves.
Figure 3.
Nyquist impedance curves and bode plots of the Q235 steel specimens measured in 0.5 mol/L H2SO4 solution after immersion in 10 mM OTAC (a,b) or DDAC (c,d) solutions for different self-assembly time.
It can be seen from Figure 3b,d, with the extension of the self-assembly time, that the values of the impedance modulus and phase angle of the steel covered with two inhibitors showed an increasing trend. Compared to the blank, the impedance modulus of the modified specimens increased up to one order of magnitude in the low-frequency region. Furthermore, it was obvious that a clear peak appeared in the phase angle, indicating the existence of a time constant. This time constant was due to the relaxation effect caused by the adsorption and desorption of the two molecules onto the surface of the work electrodes [33].
In order to determine the impedance parameters using simulations correlated with the experimental data obtained, a complex non-linear least squares (CNLS) simulation was utilized [34]. And the suitable equivalent circuit diagram was chosen to match the Nyquist plot in Figure 4. The equivalent circuit is made of solution resistance (Rs), charge transfer resistance (Rct), constant phase angle element (CPEdl), and inductive elements (L and RL). The expression of the impedance function of the CPE was as follows [35]:
where Y0 represents the value of CPE, j is the imaginary unit, ω is the angular frequency, and n is the deviation index. The value of n ranges from −1 to 1.
Figure 4.
Equivalent circuit models fitting the EIS experimental data.
The expression of the double layer capacitance is as follows [36]:
Here, the fZim-Max value is the frequency corresponding to the maximum imaginary part of the impedance.
The relevant fitting parameters of the impedance spectrum data are shown in Table 2. And the corrosion inhibition efficiency (ηE) of the Q235 steel specimens covered with the inhibitors was calculated by Equation (2). With the extension of the self-assembly time, the values of Rct presented an increasing trend, which was due to the corrosion reaction being inhibited. On the other hand, the values of Cdl presented a decreasing trend, owing to an increase in the thickness of the electrical double layer and a decrease in the local dielectric [37]. Furthermore, it was obvious that OTAC (90.44%, 1 h) presented better corrosion inhibition efficiency than DDAC (85.3%, 1 h) under the same experimental conditions, which was consistent with the results of the polarization curves.
Table 2.
Fitting parameters of impedance spectrum data of the Q235 steel specimens measured in 0.5 mol/L H2SO4 solution.
3.1.2. Effect of the Concentrations of the Inhibitor Solutions
The polarization curves of the Q235 steel specimens measured in a 0.5 mol/L H2SO4 solution after immersion in different concentration solutions of the two inhibitors for 2 h are exhibited in Figure 5. The Tafel extrapolation method was used to determine the polarization parameters, including the corrosion potential (Ecorr), corrosion current density (icorr), cathodic slope (βc), and anodic slope (βa), as shown in Table 3. The corrosion inhibition efficiency (ηp) of the Q235 steel specimens covered with the inhibitors was calculated using Equation (1).
Figure 5.
Polarization curves of the Q235 steel specimens measured in 0.5 mol/L H2SO4 solution after immersion in OTAC (a) and DDAC (b) solutions with different concentrations for 2 h, respectively.
Table 3.
Polarization parameters of the Q235 steel specimens measured in 0.5 mol/L H2SO4 solution.
Compared to the blank, the corrosion current density of the modified Q235 steel electrodes significantly decreased in Figure 5. It was demonstrated that the two ionic liquids could effectively inhibit metal corrosion. It was obvious that the corrosion potential values of the Q235 steel covered with OTAC and DDAC shifted in a negative direction. With the increase in the concentration of the solutions of the two inhibitors, the current density of the specimen surfaces covered with the inhibitors presented a decreasing trend. It was shown that the polarization curves of the cathodic branch presented a parallel trend; see Figure 5. Moreover, the current density reached the minimal value when the concentration of the studied molecules was 10 mM. It was obvious that OTAC (88.21%, 5 mM) presented a better corrosion inhibition efficiency than DDAC (81.96%, 5 mM) under the same experimental conditions, as shown in Table 3.
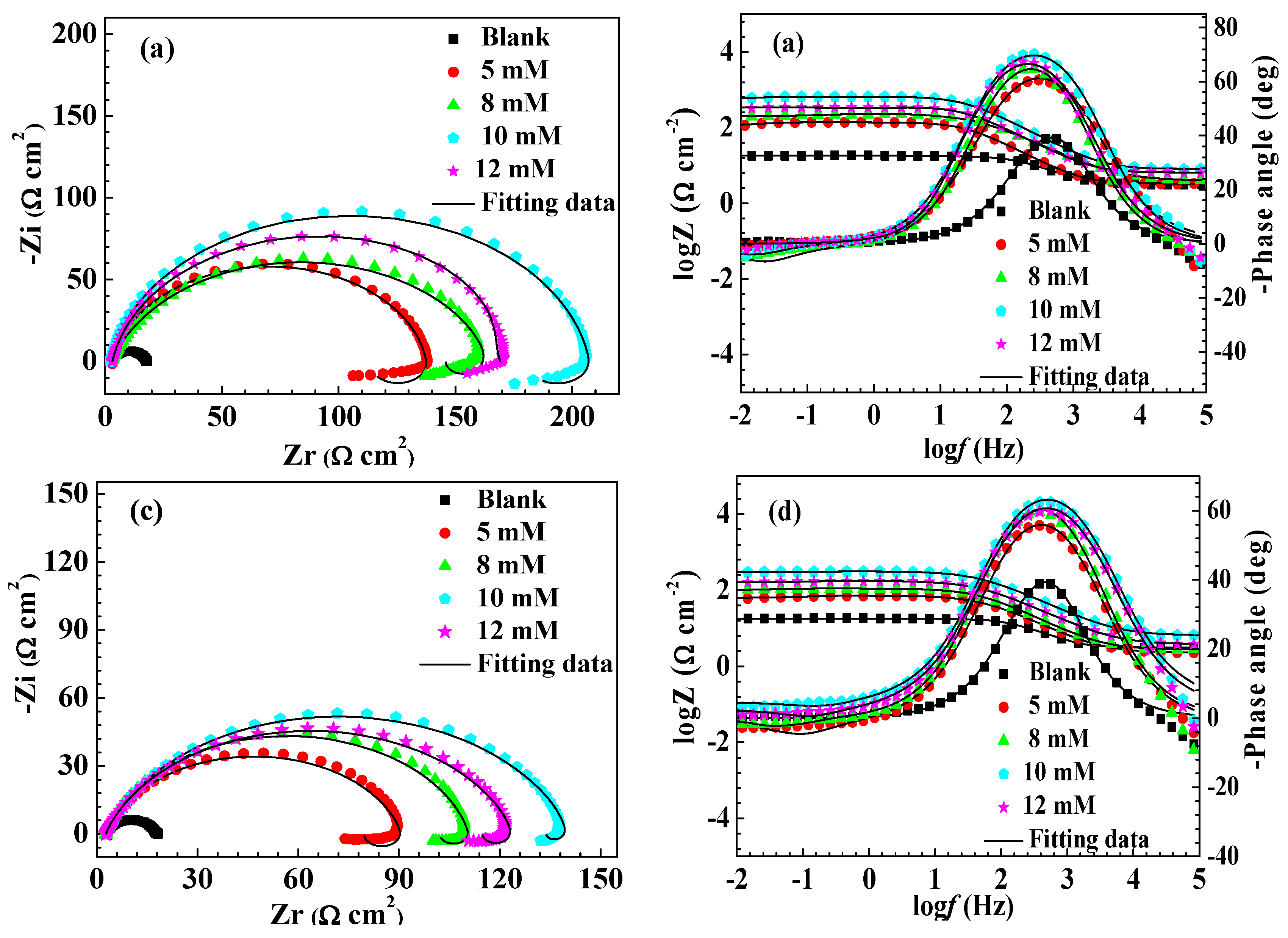
The Nyquist and bode plots of the Q235 steel specimens measured in a 0.5 mol/L H2SO4 solution after immersion in the different concentration solutions of the two inhibitors are presented in Figure 6. Compared to the blank, the diameter of the semicircle of the modified Q235 steel electrodes obviously increases in Figure 6a,c. Moreover, when the concentration solution of the two inhibitors was 10 mM, the corrosion inhibition efficiency reached a maximum. Furthermore, with the increased concentration in the two inhibitor solutions, the values of the impedance modulus and phase angle show an increasing trend in Figure 6b,d.
Figure 6.
Nyquist plots of the Q235 steel specimens measured in 0.5 mol/L H2SO4 solution after immersion in OTAC and DDAC solutions with different concentrations for 2 h, respectively.
A suitable equivalent circuit diagram was used to fit the impedance data in Figure 4. The characteristic electrochemical parameters related to the impedance plot, including the charge transfer resistance (Rct), the double layer capacitance (Cdl), the solution resistance (Rs), the modulus with capacitance (Y0), and the inductive elements (L and RL), are shown in Table 4. The corrosion inhibition efficiency (ηE) of the Q235 steel specimens covered with the inhibitors was calculated by Equation (2). With the increase in the concentration of the solutions of the two inhibitors, the corrosion inhibitory efficiency of the two inhibitors improved, indicating the formation of a protective film on the surface of the Q235 steel electrode. Additionally, it was obvious that OTAC (88.97%, 5 mM) presented better corrosion inhibition efficiency than DDAC (83.16%, 5 mM) under the same experimental condition.
Table 4.
Fitting parameters of impedance spectrum data of Q235 specimens measured in 0.5 mol/L H2SO4 solution.
3.2. Contact Angle Measurements
A contact angle measurement is applied to study the wetting ability of the surfaces of the specimens. Figure 7 shows the pictures of sessile water drops on the surfaces of polished steel and modified steel. According to the literature, a water contact angle value of <90° is associated with a hydrophilic surface, while a value of >90° is associated with a hydrophobic surface [38].
Figure 7.
Pictures of water contact angle of the polished steel (a) and the steel modified with DDAC (b) and OTAC (c).
The polished steel was affirmed to have a hydrophilic surface with a water contact angle of 32.8°, while the values for the steel surfaces covered with inhibitors were 69.1° and 80.2°, respectively. The obvious increase in the contact angle is due to the formation of a protective film by ionic liquids adsorbed onto the sample surface. Additionally, the contact angle value of steel surfaces covered with OTAC was higher than that of DDAC, implying that OTAC adsorbed on Q235 steel surfaces to form a denser protective film.
3.3. SEM Analysis
The surface morphology of the sample was observed by SEM. The images of the Q235 steel specimens before and after immersion in the 0.5 mol/L H2SO4 solution for 4 h are shown in Figure 8. The polished specimen presented a tidy surface with neat scratches because the specimen surface was worn by different sandpapers, as shown in Figure 8a. However, the polished specimen immersed in the 0.5 mol/L H2SO4 solution for 4 h showed a rough and rugged surface, which was due to the attack of corrosive ions in Figure 8b. The specimen’s surface became smooth and tidy compared with Figure 8b, which indicated that the two ionic liquids adsorbed onto the surface of the Q235 steel specimens to form a protective film in Figure 8c,d. Additionally, the specimen modified with OTAC presented a smoother surface than that of DDAC, implying that OTAC adsorbed on the Q235 steel surface to form a denser protective film. These results are consistent with electrochemical experiments.
Figure 8.
SEM images of Q235 steel specimen surfaces from polished Q235 steel (a), blank (b), Q235 steel modified with OTAC (c), and DDAC (d).
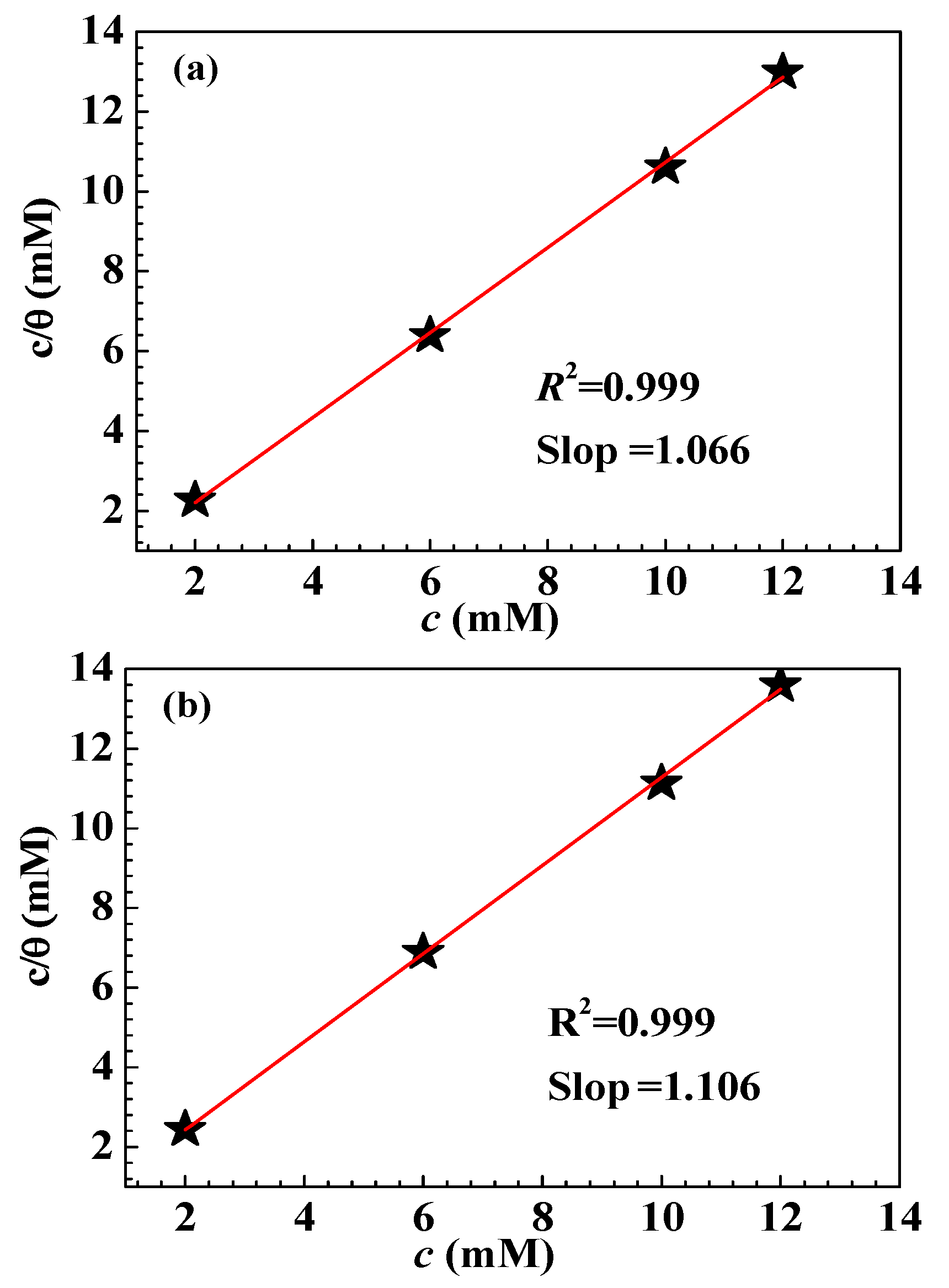
3.4. Adsorption Isotherm
In order to further investigate the adsorption information of the two inhibitors onto the metal surface, adsorption isotherms were deduced through surface coverage as a function of the concentrations of the two ionic liquids. A series of adsorption isotherm models were considered to fit the results of Tafel curve experiments. As a result, the Langmuir adsorption isotherm (Figure 9) was found to be the most suitable mode due to the linear regression coefficients (R2) closing to 1 [39]. This adsorption isotherm was calculated by the following formula:
where Kads is the equilibrium constant of the adsorption, θ is the surface coverage, and C represents the concentration of the inhibitor.
Figure 9.
Langmuir adsorption isotherm of the Q235 steel modified with OTAC (a) and the steel modified with DDAC (b).
The energy of adsorption () is calculated as follows:
where R is the universal gas constant and T is the absolute temperature.
The relevant thermodynamic parameters, such as the equilibrium constant of the adsorption (Kads) and the energy of the adsorption () are listed in Table 5. Obviously, the value of Kads for OTAC was higher than that for DDAC, indicating that OTAC presented better anti-corrosion performance than DDAC. Moreover, the adsorption of the two molecules on the Q235 steel surface was considered a spontaneous process because the values of ∆G0 were negative. The calculated values of ∆G0 were between −40 kJ/mol and −20 kJ/mol, implying that the adsorption of the studied molecules on the Q235 steel surface was physical and chemical adsorption [40].
Table 5.
Thermodynamic parameters for the adsorption of the two inhibitors.
4. Conclusions
In summary, these systematic studies provide a direction for the spatial structure of corrosion inhibitors. The findings of electrochemical measurements and surface characterizations are as follows:
- (1)
- OTAC and DDAC, as environmental-friendly inhibitors, have good corrosion inhibition effects on Q235 steel in a 0.5 mol/L H2SO4 solution. The two ionic liquids are considered to be mixed-type inhibitors whose cathodic reactions are significantly suppressed.
- (2)
- Surface characterization results are consistent with electrochemical measurement results. The two ionic liquids adsorb on a metal surface to form self-assembly monolayers, which can prevent corrosive media from contacting Q235 steel.
- (3)
- OTAC has better anti-corrosion performance than DDAC because the steric hindrance effect of the double alkyl chain is not conducive to the adsorption of DDAC on the surface of steel electrodes.
Author Contributions
Y.F. (Yangyang Feng): conceptualization, investigation, writing—original draft, project administration, funding acquisition; Y.F. (Yunxiao Feng): investigation, formal analysis; X.Z.: investigation; Q.W.: formal analysis, investigation; Y.C.: funding acquisition. All authors have read and agreed to the published version of the manuscript.
Funding
This work was supported by Pingdingshan University’s Ph.D. Research Start-up Fund Project (Grant No. PXY-BSQD-2022003) and the Key Science and Technology Project of Henan Province (222102230045).
Institutional Review Board Statement
Not applicable.
Informed Consent Statement
Not applicable.
Data Availability Statement
Not applicable.
Conflicts of Interest
The authors declare no conflict of interest.
References
- Wu, Y.D.; Guo, L.; Tan, B.C.; Li, W.P.; Zhang, F.; Zheng, X.W. 5-Mercapto-1-phenyltetrazole as a high-efficiency corrosion inhibitor for Q235 steel in acidic environment. J. Mol. Liq. 2021, 325, 115132. [Google Scholar] [CrossRef]
- Manh, T.D.; Hien, P.V.; Nguyen, Q.B.; Quyen, T.N.; Hinton, B.R.W.; Nam, N.D. Corrosion inhibition of steel in naturally-aerated chloride solution by rare-earth 4-hydroxycinnamate compound. J. Taiwan Inst. Chem. Eng. 2019, 103, 177–189. [Google Scholar] [CrossRef]
- Chen, S.J.; Zhao, H.J.; Chen, S.Y.; Wen, P.S.; Wang, H.; Li, W.P. Camphor leaves extract as a neoteric and environment-friendly inhibitor for Q235 steel in HCl medium: Combining experimental and theoretical researches. J. Mol. Liq. 2020, 312, 113433. [Google Scholar] [CrossRef]
- Liao, L.L.; Mo, S.; Luo, H.Q.; Li, N.B. Corrosion protection for mild steel by extract from the waste of lychee fruit in HCl solution: Experimental and theoretical studies. J. Colloid Interface Sci. 2018, 520, 41–49. [Google Scholar] [CrossRef] [PubMed]
- Zhang, J.; Li, W.P.; Zou, X.L.; Chen, Y.Y.; Luo, W.; Zhang, Y.; Fu, A.Q.; Tan, B.C.; Zhang, S.T. Combining experiment and theory researches to insight into anticorrosion nature of a novel thiazole derivatives. J. Taiwan Inst. Chem. Eng. 2021, 122, 190–200. [Google Scholar] [CrossRef]
- Feng, L.; Zhang, S.T.; Xu, Y.; Qiang, Y.J.; Chen, S.J. The electron donating effect of novel pyrazolo-pyrimidine inhibitors on anticorrosion of Q235 steel in picking solution. J. Mol. Liq. 2019, 286, 110893. [Google Scholar] [CrossRef]
- Liu, Y.; Guo, X.X.; Wang, B.Z.; Gong, P.X.; Liu, Y.P.; Li, H.J.; Wu, Y.C. Lentinan as an eco-friendly corrosion inhibitor for Q235 steel in acid medium: Experimental and theoretical studies. J. Mol. Liq. 2022, 360, 119513. [Google Scholar] [CrossRef]
- Zheng, T.Y.; Liu, J.Y.; Wang, M.H.; Liu, Q.; Wang, J.; Chong, Y.; Jia, G.X. Synergistic corrosion inhibition effects of quaternary ammonium salt cationic surfactants and thiourea on Q235 steel in sulfuric acid: Experimental and theoretical research. Corr. Sci. 2022, 199, 110199. [Google Scholar] [CrossRef]
- Chidiebere, M.A.; Oguzie, E.E.; Liu, L.; Li, Y.; Wang, F.H. Corrosion inhibition of Q235 mild steel in 0.5 mol/L H2SO4 solution by phytic acid and synergistic iodide additives. Ind. Eng. Chem. Res. 2014, 53, 7670–7679. [Google Scholar] [CrossRef]
- Lv, T.M.; Zhu, S.H.; Guo, L.; Zhang, S.T. Experimental and theoretical investigation of indole as a corrosion inhibitor for mild steel in sulfuric acid solution. Res. Chem. Intermediat. 2015, 41, 7073–7093. [Google Scholar] [CrossRef]
- Feng, Y.Y.; He, J.H.; Zhan, Y.L.; An, J.B.; Tan, B.C. Insight into the anti-corrosion mechanism Veratrum root extract as a green corrosion inhibitor. J. Mol. Liq. 2021, 334, 116110. [Google Scholar] [CrossRef]
- Zhang, Q.B.; Hua, Y.X. Corrosion inhibition of mild steel by alkylimidazolium ionic liquids in hydrochloric acid. Electrochim. Acta 2009, 54, 1881–1887. [Google Scholar] [CrossRef]
- Cao, S.Y.; Liu, D.; Ding, H.; Peng, K.; Yang, L.X.; Lu, H.; Gui, J.Z. Bronsted acid ionic liquid: Electrochemical passivation behavior to mild steel. J. Mol. Liq. 2016, 220, 63–70. [Google Scholar] [CrossRef]
- Zheng, X.W.; Zhang, S.T.; Li, W.P.; Gong, M.; Yin, L.L. Experimental and theoretical studies of two imidazolium-based ionic liquids as inhibitors for mild steel in sulfuric acid solution. Corros. Sci. 2015, 95, 168–179. [Google Scholar] [CrossRef]
- Sasikumar, Y.; Adekunle, A.S.; Olasunkanmi, L.O.; Bahadur, I.; Baskar, R.; Kabanda, M.M.; Obot, I.B.; Ebenso, E.E. Experimental, quantum chemical and Monte Carlo simulation studies on the corrosion inhibition of some alkyl imidazolium ionic liquids containing tetrafluoroborate anion on mild steel in acidic medium. J. Mol. Liq. 2015, 211, 105–118. [Google Scholar] [CrossRef]
- Latham, J.A.; Howlett, P.C.; MacFarlane, D.R.; Forsyth, M. Passive film formation in dilute ionic liquid solutions on magnesium alloy AZ31. Electrochem. Commun. 2012, 19, 90–92. [Google Scholar] [CrossRef]
- Efthimiadis, J.; Neil, W.C.; Bunter, A.; Howlett, P.C.; Hinton, B.R.W.; MacFarlane, D.R.; Forsyth, M. Potentiostatic control of ionic liquid surface film formation on ZE41 magnesium alloy. ACS Appl. Mater. Interfaces 2010, 2, 1317–1323. [Google Scholar] [CrossRef]
- Qiang, Y.J.; Zhang, S.T.; Guo, L.; Zheng, X.W.; Xiang, B.; Chen, S.J. Experimental and theoretical studies of four allyl imidazolium-based ionic liquids as green inhibitors for copper corrosion in sulfuric acid. Corros. Sci. 2017, 119, 68–78. [Google Scholar] [CrossRef]
- El-Katoria Emad, E.; Nessimb, M.I.; Deyabb, M.A.; Shalabic, K. Electrochemical, XPS and theoretical examination on the corrosion inhibition efficacy of stainless steel via novel imidazolium ionic liquids in acidic solution. J. Mol. Liq. 2021, 33, 116467. [Google Scholar] [CrossRef]
- Feng, L.; Zhang, S.T.; Qiang, Y.J.; Xu, S.Y.; Tan, B.C.; Chen, S.J. The synergistic corrosion inhibition study of different chain lengths ionic liquids as green inhibitors for X70 steel in acidic medium. Mater. Chem. Phys. 2018, 215, 229–241. [Google Scholar] [CrossRef]
- Duarte, T.; Meyer, Y.A.; Osório, W.R. The holes of Zn phosphate and hot dip galvanizing on electrochemical behaviors of multi-coatings on steel substrates. Metals 2022, 12, 863. [Google Scholar] [CrossRef]
- Zhang, X.L.; Jiang, Z.H.; Yao, Z.P.; Song, Y.; Wu, Z.D. Effects of scan rate on the potentiodynamic polarization curve obtained to determine the Tafel slopes and corrosion current density. Corros. Sci. 2009, 51, 581–587. [Google Scholar] [CrossRef]
- McCafferty, E. Validation of corrosion rates measured by Tafel extrapolation method. Corros. Sci. 2005, 47, 3202–3215. [Google Scholar] [CrossRef]
- Chen, H.; Bettayeb, M.; Maurice, V.; Klein, L.H.; Lapeire, L.; Verbeken, K.; Terryn, H.; Marecus, P. Local passivation of metals at grain boundaries: In situ scanning tunneling microscopy study on copper. Corros. Sci. 2016, 111, 659–666. [Google Scholar] [CrossRef]
- Guo, W.J.; Chen, S.H.; Ma, H.Y. A study of the inhibiton of copper corrosion by triethyl phosphate and triphenyl phosphate self-assembly monolayers. J. Serb. Chem. Soc. 2006, 71, 167–175. [Google Scholar] [CrossRef]
- Huang, H.J.; Wang, Z.Q.; Gong, Y.L.; Gao, F.; Luo, Z.P.; Zhang, S.T.; Li, H.R. Water soluble corrosion inhibitors for copper in 3.5 wt% sodium chloride solution. Corros. Sci. 2017, 123, 339–350. [Google Scholar] [CrossRef]
- Tan, B.C.; Zhang, S.T.; Liu, H.Y.; Guo, Y.W.; Qiang, Y.J.; Li, W.P.; Guo, L.; Xu, C.L.; Chen, S.J. Corrosion inhibition of X65 steel in sulfuric acid by two food flavorants 2-isobutylthiazole and 1-(1,3-Thiazol-2-yl) ethanone as the green environmental corrosion inhibitors: Combination of experimental and theoretical researches. J. Colloid Interface Sci. 2019, 538, 519–529. [Google Scholar] [CrossRef] [PubMed]
- Nam, N.D.; Thang, V.Q.; Hoai, N.T.; Hien, P.V. Yttrium 3-(4-nitrophenyl)-2-propenoate used as inhibitor against copper alloy corrosion in 0.1 M NaCl solution. Corros. Sci. 2016, 112, 451–461. [Google Scholar] [CrossRef]
- Wang, Z.Q.; Gong, Y.L.; Jing, C.; Huang, H.J.; Li, H.R.; Zhang, S.T.; Gao, F. Synthesis of dibenzotriazole derivatives bearing alkylene linkers as corrosion inhibitors for copper in sodium chloride solution: A new thought for the design of organic inhibitors. Corros. Sci. 2016, 113, 64–77. [Google Scholar] [CrossRef]
- Satapathy, A.K.; Gunasekaran, G.; Sahoo, S.C.; Amit, K.; Rodrigues, P.V. Corrosion inhibition by Justicia gendarussa plant extract in hydrochloric acid solution. Corros. Sci. 2009, 51, 2848–2856. [Google Scholar] [CrossRef]
- Popova, A.; Christov, M.; Raicheva, S.; Sokolova, E. Adsorption and inhibitive properties of benzimidazole derivatives in acid mild steel corrosion. Corros. Sci. 2004, 46, 1333–1350. [Google Scholar] [CrossRef]
- Tan, B.C.; Zhang, S.T.; Qiang, Y.J.; Guo, L.; Feng, L.; Liao, C.H.; Xu, Y.; Chen, S.J. A combined experimental and theoretical study of the inhibition effect of three disulfide-based flavouring agents for copper corrosion in 0.5 M sulfuric acid. J. Colloid Interface Sci. 2018, 526, 268–280. [Google Scholar] [CrossRef] [PubMed]
- Guo, L.; Zhang, R.L.; Tan, B.C.; Li, W.P.; Liu, H.Y.; Wu, S.Z. Locust Bean Gum as a green and novel corrosion inhibitor for Q235 steel in 0.5 M H2SO4 medium. J. Mol. Liq. 2020, 310, 113239. [Google Scholar] [CrossRef]
- Meyer, Y.A.; Menezes, I.; Bonatti, R.S.; Bortolozo, A.D.; Osório, W.R. EIS investigation of the corrosion behavior of steel bars embedded into modified concretes with eggshell contents. Metals 2022, 12, 417. [Google Scholar] [CrossRef]
- Tasic, Z.Z.; Antonijevic, M.M.; Petrovic Mihajlovic, M.B.; Radovanovic, M.B. The influence of synergistic effects of 5-methyl-1H-benzotriazole and potassium sorbate as well as 5-methyl-1H-benzotriazole and gelatin on the copper corrosion in sulphuric acid solution. J. Mol. Liq. 2016, 219, 463–473. [Google Scholar] [CrossRef]
- Umoren, S.A.; Solomon, M.M.; Obot, I.B.; Suleiman, R.K. A critical review on the recent studies on plant biomaterials as corrosion inhibitors for industrial metals. J. Ind. Eng. Chem. 2019, 76, 91–115. [Google Scholar] [CrossRef]
- Tan, B.C.; Zhang, S.T.; He, J.H.; Li, W.P.; Qiang, Y.J.; Wang, Q.H.; Xu, C.L.; Chen, S.J. Insight into anti-corrosion mechanism of tetrazole derivatives for X80 steel in 0.5 M H2SO4 medium: Combined experimental and theoretical researches. J. Mol. Liq. 2021, 321, 114464. [Google Scholar] [CrossRef]
- Wang, P.; Zhang, D.; Lu, Z. Advantage of super-hydrophobic surface as a barrier against atmospheric corrosion induced by salt deliquescence. Corros. Sci. 2015, 90, 23–32. [Google Scholar] [CrossRef]
- Deng, S.D.; Li, X.H.; Du, G.B. Two ditetrazole derivatives as effective inhibitors for the corrosion of steel in CH3COOH solution. J. Mater. Res. Technol. 2019, 8, 1389–1399. [Google Scholar] [CrossRef]
- Gerengi, H.; Mielniczek, M.; Gece, G.; Solomon, M.M. Experimental and quantum chemical evaluation of 8-hydroxyquinoline as a corrosion inhibitor for copper in 0.1 M HCl. Ind. Eng. Chem. Res. 2016, 55, 9614–9624. [Google Scholar] [CrossRef]
Disclaimer/Publisher’s Note: The statements, opinions and data contained in all publications are solely those of the individual author(s) and contributor(s) and not of MDPI and/or the editor(s). MDPI and/or the editor(s) disclaim responsibility for any injury to people or property resulting from any ideas, methods, instructions or products referred to in the content. |
© 2023 by the authors. Licensee MDPI, Basel, Switzerland. This article is an open access article distributed under the terms and conditions of the Creative Commons Attribution (CC BY) license (https://creativecommons.org/licenses/by/4.0/).








