Abstract
Hydrogen energy attracts an amount of attention as an environmentally friendly and sustainable energy source. However, hydrogen is also flammable. Hydrogen fires and explosions might occur in wet-dust-removal systems if accumulated aluminum dust reacts with water. Hydrogen inhibition is a safe method to address these issues. For this purpose, we used sodium citrate, a renewable and nontoxic raw material to inhibit H2 formation. Specifically, hydrogen inhibition experiments with sodium citrate were carried out using custom-built equipment developed by our research group. When the concentration of sodium citrate solution was in the range of 0.4–4.0 g/L, a protective coating was formed on the surface of the Al particles, which prevented them from contacting with water. The inhibitory effect was achieved when the concentration of sodium citrate was in a certain range, and too much or too little addition may reduce the inhibitory effect. In this paper, we also discuss the economic aspects of H2 inhibition with this method because it offers excellent safety advantages and could be incorporated on a large scale. Such an intrinsic safety design of H2 inhibition to control explosions in wet-dust-removal systems could be applied to ensure the safety of other systems, such as nuclear reactors.
1. Introduction
A large amount of dust forms during the grinding and polishing of Al and its alloys. This dust is considered combustible and explosible in air. For example, an explosion occurred in 2014 in Jiangsu Kunshan Zhongrong Metal Products Company, which killed 146 people and caused 351 million yuan of damage [1]. The use of a wet-dust-removal system could mitigate such explosions. The structure of a typical wet-dust collector is shown in Figure 1. The dust-laden air is sucked into the collector through an inlet. After the dusty air is filtered by water, and most of the Al dust remains in the water and gradually settles at the bottom of the wet-dust collector. An explosion can occur if Al dust (for example, from metal grinding and polishing) reacts with water producing H2. In 2011, accumulated H2 exploded at the Al-Mg alloy processing facility in Zhenjiang (Jiangsu Province, China), which used water spraying for dust suppression. The accumulated static electricity in the pipeline ignited the accumulated H2, which exploded, and injured 21 people [2]. Both American and Chinese standards (NFPA 484-2019 and AQ 4272-2016, respectively) require a continuous fan operation (if H2 formation in the wet-dust collector is anticipated) to prevent H2 accumulation. Additionally, both standards require the installation of H2 detectors and sensors in the locations where H2 can be generated. However, even these safety measures cannot entirely prevent H2 explosions. Therefore, intrinsic H2 inhibition methods are required to address the H2 explosion risks in wet-dust-removal systems. If the reaction of Al particles with water in these systems can be controlled, the H2 explosion risks could be mitigated and even prevented.
Figure 1.
Diagram showing the structure of a wet-dust collector.
Al particles reaction with water can be stopped or minimized (1) by preventing H2 formation by shifting Al reaction with water towards the formation of an insoluble film on the Al surface by adding corresponding inhibiting ions and (2) by using adsorption-type inhibitors, which are typically organic materials (in this case, polar groups attach to the metal surface, leaving exposed hydrophobic nonpolar groups, which act as a water barrier preventing the metal contact with the corrosive solutions). Wang et al. used K2Cr2O7, Na2Cr2O7·2H2O, Cr(NO3)3·9H2O, and CrK(SO4)2·12H2O to inhibit Al/water reaction in wet-dust-removal systems [3,4,5]. CeCl3 also inhibited H2 formation in the wet-dust-removal system [6]. Zheng et al., applied L-phenylalanine, xNa2O·ySiO2, and calcium lignosulfonate to inhibit the Al and water reaction [7,8,9], while Wang et al., and Zhang et al., used sodium D-gluconate [10] and sodium tungstate [11], respectively. These inhibitors are summarized in Table 1. However, some inhibitors are toxic and expensive. For example, chrome-based compounds cause cancer [12]. CeCl3 emits poisonous gas at high temperatures. If a fire and an explosion occur, secondary disasters will also occur due to toxic gases produced. Some other disadvantages (in addition to cost and toxicity) also exist. For instance, the high viscosity of calcium lignosulfonate solution might cause equipment blockage if used in a wet-dust collector for a long time. Thus, only a few currently-developed inhibitors are suitable for future large-scale applications. Therefore, safer and more environmentally friendly inhibitors are still needed.
Table 1.
Comparison of inhibitors capable of preventing the reaction between water and Al particles.
Citric acid metal chelates were reported to be excellent corrosion inhibitors for Zn-based pigments [13]. Citric acid also inhibits the corrosion of steel in parts used in water-cooling equipment [14]. Some scientists believe that corrosion of aluminum pigments can be inhibited by chelating them with citric acid [15]. For example, Li et al., demonstrated that sodium citrate inhibits the corrosion of Al alloys [16]. Zhong et al. [17] used sodium citrate-modified activated carbon to efficiently complex and adsorb copper ions at 30 °C. Liu et al. [18] showed that citric acid inhibits equipment and pipeline corrosion at 95 ± 2 °C. Typically, sodium citrate forms a protective film on the metal particle surfaces, and the temperature will not affect the formation of protective film. Sodium citrate is inexpensive and nontoxic, and is used as a food additive. Thus, its usage for industrial applications can make them more eco-friendly.
Therefore, in this work, we tested sodium citrate as an inhibitor of the Al/water reaction. The objectives of this study were:
- Analysis of the inhibitory effect and the optimum concentration of sodium citrate with regards to 1.5 g of aluminum powder.
- Experimental confirmation (by scanning electron microscopy (SEM) and energy-dispersive X-ray spectroscopy (EDS)) of the inhibition film formation on the Al particles surface.
- Investigation of the inhibition mechanism (with the help of Fourier transform infrared (FTIR) spectroscopy) of the reaction between Al and water by sodium citrate.
2. Experimental Section
2.1. Setup
We used the Al/water reaction tester described previously [7]. Airtightness tests were performed before the experiments [5]. The hydrogen inhibition tests were conducted after the adequate airtightness was confirmed. We also installed the temperature sensors in the Al alloy wet-dust precipitators to record its working temperatures (which were in the 28–35 °C range). However, to promote the reaction and to observe the results quicker, the experimental temperature and pressure were set at 50 °C and 100 kPa, respectively. A total 200 mL of sodium citrate solution with different concentrations and 1.5 g of Al powder were added to the reactor in each test. The accumulated H2 (or hydrogen evolution, α) produced in different stages were then calculated using Equation (1). The pressure change was monitored through the reaction.
where: α-is hydrogen evolution; P-reactor gas pressure, kPa; Pinitial-initial reactor pressure, kPa; V-reactor volume, L; Vsolution-volume of the solution added into the reactor, L; n0-amount of Al particles added into the reactor, mol; R-ideal gas constant equal to 8.314 J/(mol·K); T-gas temperature, K.
Each experiment lasted 9 h. After the tests, the reaction products were air-dried in the oven and then analyzed by SEM, EDS, and FTIR.
2.2. Materials
Al dust powder was obtained from an Al processing company in Shanghai (China). The chemical composition of this powder was 95.15% Al and 3.72% Mg. These particles showed an oval geometry and smooth surfaces (see Figure 2). A laser diffraction analyzer (Mastersizer 3000, Malvern, Malvern city, UK) was used to obtain the particle size distribution. The majority of the particles were around 5 µm.
Figure 2.
SEM micrograph of the purchased Al dust particles used for the tests in this work.
Sodium citrate was of analytical grade and purchased from the Damao Chemical Reagent Co. (Shenyang, China). Deionized water was used to prepare all solutions. Sodium citrate solutions (0.005, 0.025, 0.4, 2, 4, 10, and 20 g/L) were prepared by adding corresponding salt amounts into 200 mL of deionized water.
2.3. Characterization
Morphologies of the Al particles surfaces were analyzed using ULTRA PLUS SEM instrument (Zeiss Microscope Company, Jena, Germany) operated at voltages up to 30 kV. It was coupled with the EDS (Shimadzu Corporation, Shanghai, China).
FTIR spectroscopy (performed by a Nicolet Nexus 470 operated at 200 mW and 5145 nm laser wavelength, Nicolet, Madison, WI, USA) was applied to analyze the inhibitor and Al particle surface functional groups. The corresponding spectra were recorded in the 450–4000 cm−1 range at 16 s−1 scanning rate and 4 cm−1 resolution.
3. Results and Discussion
3.1. Influence of Sodium Citrate Content
3.1.1. Results of Hydrogen Inhibition Tests
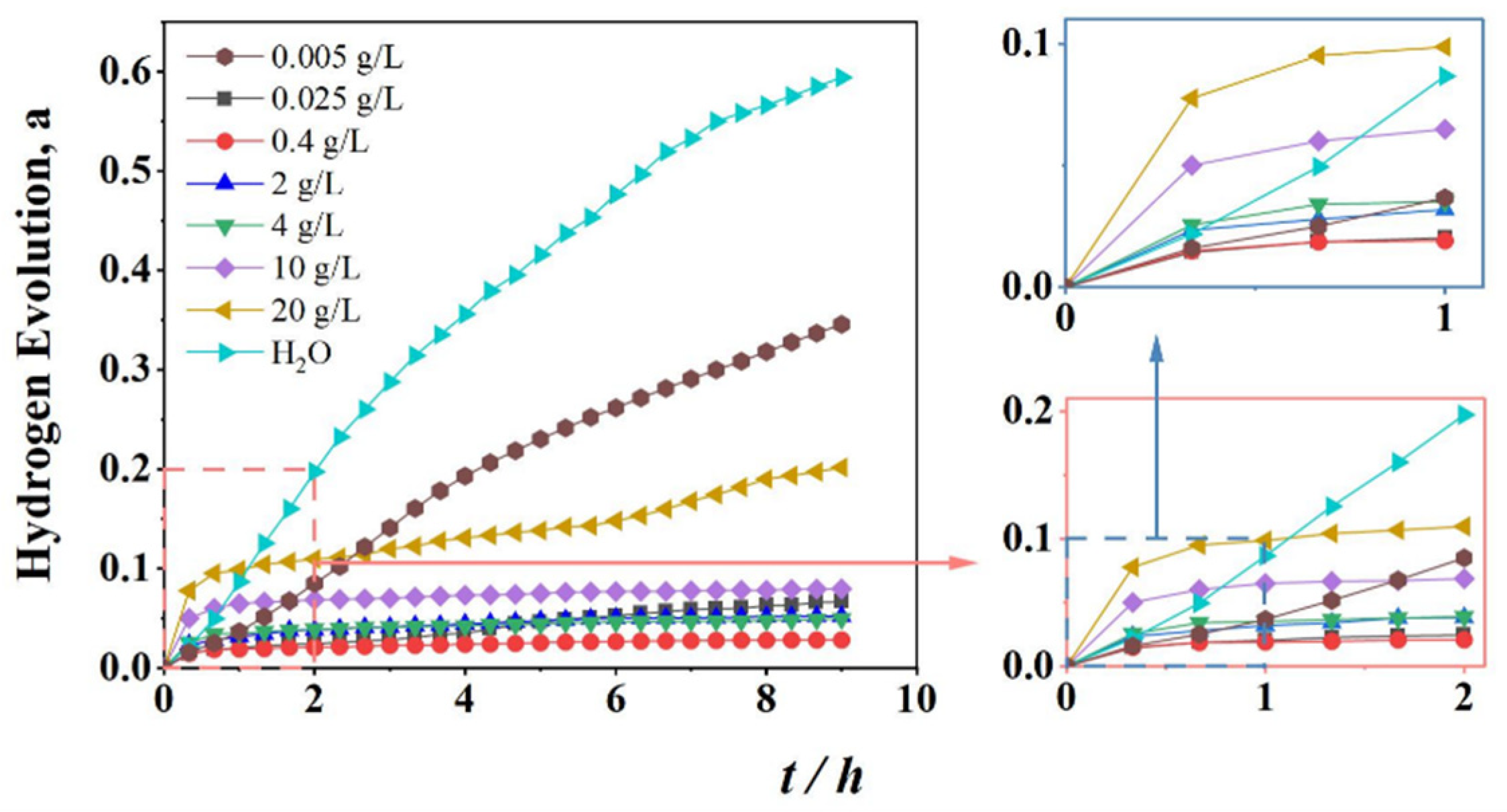
The H2 evolution curves for the tests performed at various sodium citrate concentrations (0,0.005, 0.025, 0.4, 2, 4, 10, and 20 g/L) are shown in Figure 3. When no sodium citrate was present, a continuous H2 production was observed. At sodium citrate content equal to 0.005 g/L, the inhibition (which was judged by the absence of the H2 in the test chamber) lasted for only one hour, after which H2 started to form. We also did not observe a formation of an inhibitory film on the Al particle surfaces. At sodium citrate content equal to 0.025 g/L, α was below 0.05 during the first 6 h but increased afterward. At sodium citrate content in the 0.4–4 g/L range, the α values were below 0.05. The H2 amounts formed during these tests were very small, which indicates a strong inhibition of Al reaction with water. The inhibitory effect weakened at sodium citrate contents equal to 10 and 20 g/L: the amounts of H2 released in the first 30 min of the tests were even above those observed for the tests performed without sodium citrate. It is likely that sodium citrate and Al3+ reacted forming soluble ionic compounds, which would accelerate the Al/water reaction rate and, consequently, H2 production [19]. When excessive amounts of citric acid were present, a complete protective film did not form on the Al particle surfaces because the chemical properties of the adsorption layer changed. This, in turn, resulted in decreased inhibition efficiency and increased risk of Al pitting corrosion [20]. We found that the sodium citrate could well prevent the reaction between aluminum and water in a certain concentration range, and adding too much or too little sodium citrate would weaken the inhibitory effect.
Figure 3.
Hydrogen evolution curves for the Al particles submerged in water under the presence of sodium citrate at different concentrations.
3.1.2. SEM and EDS Results
SEM demonstrated that Al particles treated with the 0.005 g/L sodium citrate solution agglomerated (see Figure 4a). This was very likely because the sodium citrate layer formed on the Al particle surface was not dense enough and could not protect Al from its reaction with water. However, when Al particles were treated with the 0.4 g/L sodium citrate solution, their surfaces became very smooth and compact (see and Figure 4b), which indicates that an inhibiting film formed on the Al particles.
Figure 4.
SEM data for the Al particles submerged in (a) 0.005 g/L and (b) 0.4 g/L sodium citrate solution.
Compositions of the Al particles treated with 0.005 and 0.4 g/L sodium citrate solutions analyzed by EDS are shown in Table 2. When the Al particles were treated with 0.005 g/L sodium citrate solution, the Al and O contents were to 58.2 wt.% and 38.8 wt.%, respectively. These values correspond to aluminum hydroxide (see Table 2). However, when Al particles were treated with the 0.4 g/L sodium citrate solution, Al content was 95.1 wt% (see Table 2), which indicates that it did not react with water. Thus, 0.4 g/L sodium citrate provided an excellent inhibiting effect for Al particles submerged in water.
Table 2.
Elemental compositions obtained by EDS for the samples treated with 0.005 and 0.4 g/L sodium citrate solutions.
3.1.3. Type of Protective Coating
Processes preventing the Al surface from reacting with water by a protective coating formed on the particle surface typically involve precipitation and adsorption. Most inhibitors adsorbed by Al are polar organic materials attracted to Al by its surface charges. The Langmuir adsorption isotherm for such processes is shown in Equation (2). Equation (3) can be used to obtain θ. An intercept of the linear relationship between C/θ and C is reciprocal to K. If the slope and the correlation coefficient are both close to 1, the adsorption model follows the Langmuir mechanism [21]. The slope and the correlation coefficient of our data fitted using the Langmuir formula were equal to 1.13 and 0.998, respectively. Thus, the adsorption of sodium citrate by Al is indeed mono-layer adsorption.
where: C—inhibitor concentration, in g/L; K—adsorption equilibrium constant, in L/g; θ—surface coverage.
where α—hydrogen evolution.
3.1.4. FTIR Data
The structure of sodium citrate is shown in Figure 5. The FTIR data recorded for pure sodium citrate and for the reaction product of aluminum submerged into 0.4 g/L sodium citrate solution are shown in Figure 6. The vibration frequencies for sodium citrate are shown in Table 3. All FTIR data was interpreted using corresponding literature data [17,22,23,24,25,26].
Figure 5.
Structure of sodium citrate: white—H, red—O, green—C, yellow—Na.
Figure 6.
FTIR spectra of sodium citrate and the reaction product of Al particles submerged in 0.4 g/L sodium citrate solution.
Table 3.
Major IR absorption bands of pure sodium citrate.
The FTIR spectrum of pure sodium citrate showed all expected vibration bands. The 1156.58 cm−1 peak belonged to the C–C reverse stretching vibration accompanied by a –C–ONa stretching vibration [24], and the peak disappeared after reaction. However, after the reaction with Al powder (at 0.4 g/L level) the FTIR spectrum was different (see Figure 6): the absorption peak at 1616.37 cm−1 was the carboxylic-acid-forming salt absorption peak [27]. We observed carbonyl (at 3442.5, 1616.4 and 1316.6 cm−1) and methylene (at 777.8, 1385.0, 2921.9, and 2851.9 cm−1) vibrations. Additionally, fewer vibrational peaks were observed compared to the unmodified sodium citrate, very likely because some of the vibrations became suppressed by Al interaction with the sodium citrate. Typical and expected reactions of sodium citrate and Al3+ are shown in Figure 7. The presence of methylene peaks indicates that the protective coating on Al particles contained organic carbon chains. The structure of the resulting product (which is shown in Figure 8) very likely contained an Al citrate complex attached to the Al particles. These products formed a protective coating (attached to the Al surface by its hydrophilic groups) while the free-dangling hydrophobic methylene groups acted as a water-repulsive layer.
Figure 7.
Schematics of the complexation reactions between sodium citrate and Al3+.
Figure 8.
Structure of aluminum citrate: white—H, red—O, green—C, and blue—Al.
3.2. Influence of Al Particles Content
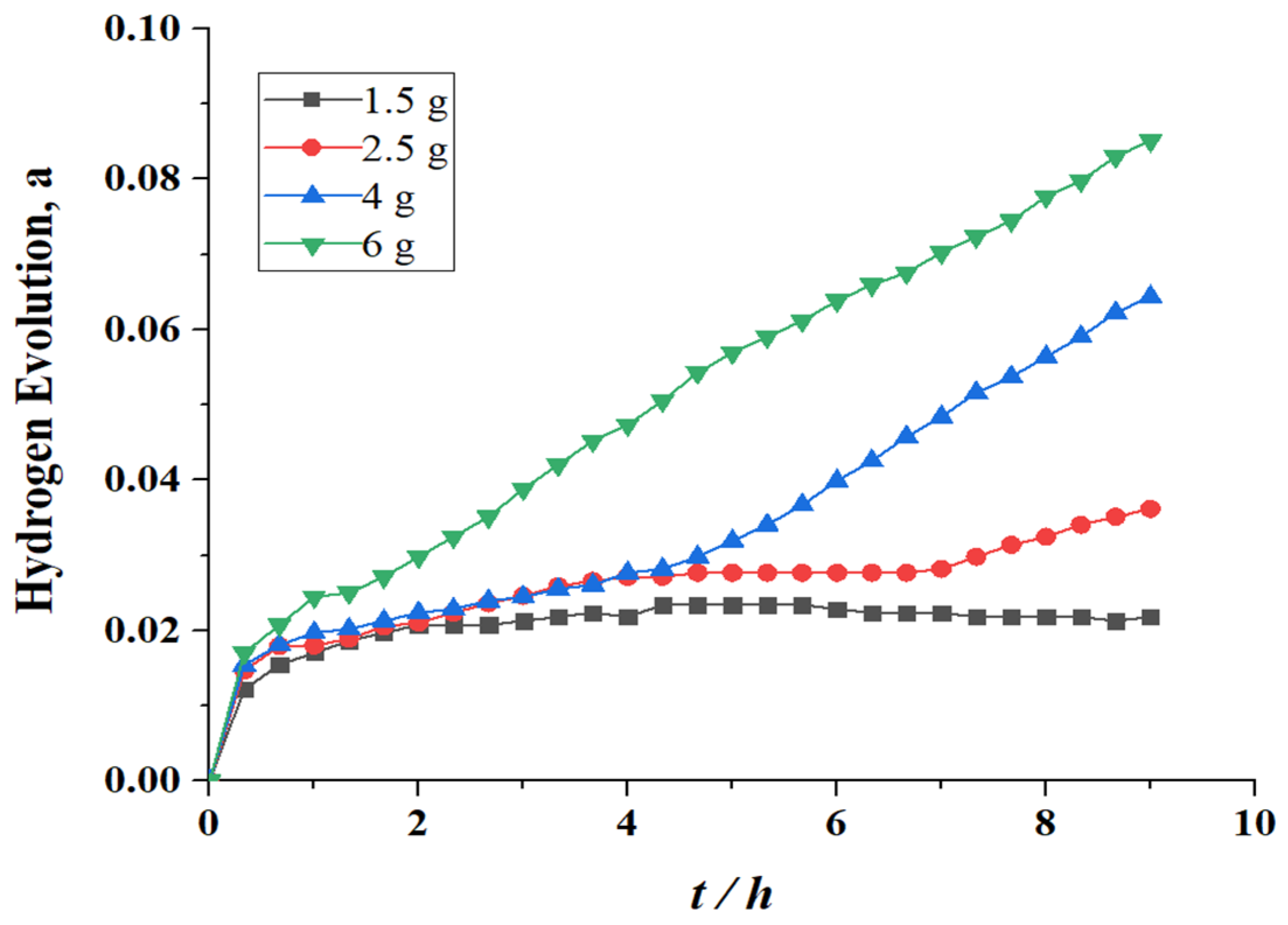
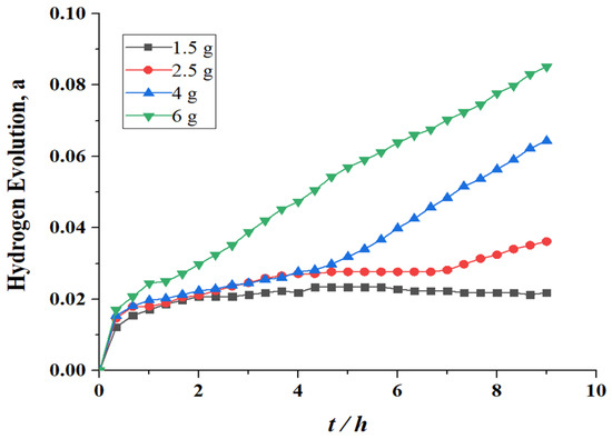
The curves showing H2 released from the reactors containing 0.4 g/L of sodium citrate solution and 1.5, 2.5, 4, and 6 g of Al powder are produced in Figure 9. As the Al amount was increased, the amount of H2 produced also increased, which indicates a weakening inhibition effect of sodium citrate. Thus, during the design and development of practical applications, the optimum concentration of sodium citrate to prevent the reaction between aluminum and water needed to be optimized based on the amount of Al powder present in the dust collector.
Figure 9.
Hydrogen evolution from the reactors containing 0.4 g/L of sodium citrate solution and 1.5, 2.5, 4, and 6 g of Al particles.
3.3. Economic Feasibility Analysis
Current methods of avoiding H2 explosions in wet-dust-removal systems include installation of explosion-proof fans and their electrical components, H2 sensors, as well as alarms, and explosion relief devices. The installation, daily maintenance, and annual calibration and testing of such equipment and facilities require significant investments. The economic input of the traditional safety measures mentioned above is estimated to be significant (see details of this assessment in [8]). A total of 865.5 kg of Al dust will be sucked into the wet-dust-removal system over a 10-year period [4]. The price of sodium citrate is $850 per ton. The investment needed to incorporate sodium-citrate-based suppression of H2 explosion and accident reduction in wet-dust-removal systems over the 10-year period would present a saving—the detailed analysis results are shown in Table 4. Thus, our sodium-citrate-based method offers significant economic advantages over traditional methods.
Table 4.
Economic inputs of sodium citrate hydrogen inhibition methods in wet-dust-removal systems (over 10 years).
4. Conclusions
This work reports a novel method of H2 formation inhibition based on sodium citrate. Inhibition of H2 formation is needed to prevent H2 explosions in wet aluminum dust-removal systems. Our work experimentally demonstrated that the reaction between aluminum dust and water can be inhibited. At sodium citrate and Al powder contents equal to 0.4 g/L and 1.5 g, the hydrogen production rate was below 0.05 for 9 h. The H2 release inhibition occurred due to a formation of a film on the Al particles. We performed extensive analyses (by SEM, EDS, and FTIR) to establish the mechanism of this inhibition. Sodium citrate is adsorbed by Al particles, preventing their reaction with water. Thus, no H2 forms. However, the inhibitory effect of sodium citrate (tested at 0.4 g/L) becomes weaker as the Al dust amount increases. However, sodium citrate amount needs to be optimized according to the system-specific details and the generated Al dust amount.
The method developed in this work can be easily expanded to an industrial scale to prevent H2 formation in wet Al dust removal systems. Another significant advantage of our method is its environmental friendliness, which can be extended not only to H2 explosion prevention in wet-dust-removal systems but also to the safety of nuclear reactors. For example, the zirconium alloy cladding in the Fukushima nuclear reactor core (Japan) reacted with high-temperature steam in 2011. The released water corroded Al in the containment system, producing large H2 amounts and heat, which melted the core and caused an H2 explosion [28]. We believe that the sodium citrate inhibition method could be extended to prevent such accidents as well.
Author Contributions
Data curation, X.Z., H.W. and T.H.; Funding acquisition, X.Z. and K.X.; Investigation, X.Z. and Y.W.; Methodology, X.Z. and Y.W.; Visualization, H.W. and T.H.; Writing—original draft, X.Z. All authors have read and agreed to the published version of the manuscript.
Funding
The work was supported by the National Key R & D Project (Grant No. 2021YFC3001303) and the Fundamental Research Funds for the Central Universities (Grant No. N180104018).
Institutional Review Board Statement
Not applicable.
Informed Consent Statement
Not applicable.
Data Availability Statement
Data sharing is not applicable to this article.
Conflicts of Interest
The authors declare no conflict of interest.
References
- Li, G.; Yang, H.-X.; Yuan, C.-M.; Eckhoff, R. A catastrophic aluminium-alloy dust explosion in China. J. Loss Prev. Process. Ind. 2016, 39, 121–130. [Google Scholar] [CrossRef]
- Zhong, S.-J.; Miao, N.; Liu, H.-Y. Analysis and protection of dust explosion accident in aluminum magnesium polishing process. Mod. Occup. Saf. 2014, 10, 26–29. [Google Scholar] [CrossRef]
- Wang, Y.-T.; Xu, K.-L.; Wang, B.; Zhang, J.-J. Hydrogen inhibition in a wet aluminum dust collection system using dichromate solution. RSC Adv. 2017, 7, 47867–47876. [Google Scholar] [CrossRef] [Green Version]
- Wang, Y.-T.; Xu, K.-L.; Li, L. Inhibition of the reaction between aluminium dust and water based on the HIM. RSC Adv. 2017, 7, 33327–33334. [Google Scholar] [CrossRef] [Green Version]
- Wang, Y.-T.; Xu, K.-L.; Wang, B.B.; Wang, Q.-S. Hydrogen inhibition by using Cr(NO3)3·9H2O in the wet dust removal system for the treatment of aluminum dust. Int. J. Hydrogen Energy 2018, 43, 2514–2523. [Google Scholar] [CrossRef]
- Xu, K.-L.; Wang, Y.-T.; Shen, R.-Q.; Wang, Q.-S. Inhibition of hydrogen production reactions in the wet dust removal system using CeCl3solutions. Int. J. Hydrogen Energy 2018, 43, 14859–14865. [Google Scholar] [CrossRef]
- Zheng, X.; Xu, K.-L.; Wang, Y.-T.; Shen, R.-Q.; Wang, Q.-S. Study of hydrogen explosion control measures by using l-phenylalanine for aluminum wet dust removal systems. RSC Adv. 2018, 8, 41308–41316. [Google Scholar] [CrossRef] [Green Version]
- Zheng, X.; Xu, K.-L.; Shen, R.-Q.; Wang, Q.-S.; Wang, Y.-T. Hydrogen inhibition in wet dust removal systems by using calcium lignosulfonate (CLS). Int. J. Hydrogen Energy 2019, 44, 25091–25100. [Google Scholar] [CrossRef]
- Zheng, X.; Xu, K.-L.; Wang, Y.-T.; Wang, Q.-S. Hydrogen inhibition method for preventing hydrogen explosion accident in wet dust removal systems. Int. J. Hydrogen Energy 2019, 44, 17195–17201. [Google Scholar] [CrossRef]
- Wang, B.; Xu, K.-L.; Wang, Y.-T. Using sodium D-gluconate to suppress hydrogen production in wet aluminium waste dust collection system. J. Hazard. Mater. 2020, 397, 122780. [Google Scholar] [CrossRef]
- Zhang, B.-H.; Xu, K.-L.; Zheng, X.; Yao, X.-W.; Wang, Y.-T.; Ge, J. Study of a Hydrogen Inhibition Method with Sodium Tungstate for Wet Aluminum Dust Removal Systems. Coatings 2020, 10, 431. [Google Scholar] [CrossRef]
- Wang, Y.; Su, H.; Gu, Y.; Song, X.; Zhao, J. Carcinogenicity of chromium and chemoprevention: A brief update. Onco. Targets Ther. 2017, 10, 4056–4079. [Google Scholar] [CrossRef] [PubMed] [Green Version]
- Muller, B.; Klager, W.; Kubitzki, G. Metal Chelates of citric zcid as corrosion inhibitors for Zinc pigment. Corros. Sci. 1997, 39, 1481–1485. [Google Scholar] [CrossRef]
- Ashassi-Sorkhabi, H.; Asghari, E.; Mohammadi, M. Effects of solution hydrodynamics on corrosion inhibition of steel by citric acid in cooling water. J. Mater. Eng. Perform. 2014, 23, 2992–3000. [Google Scholar] [CrossRef]
- Muller, B. Citric acid as corrosion inhibitor for aluminium pigment. Corros. Sci. 2004, 46, 159–167. [Google Scholar] [CrossRef]
- Li, G.-Y.; Zhang, M.-M.; Wang, W. Study on corrosion inhibition performances of inhibitors on 7075 aluminum alloy. Plat. Finish. 2015, 37, 34–37. [Google Scholar] [CrossRef]
- Zhong, K.-K.; Huang, Z.-G.; Han, X.-J.; Zhang, C.-M. Modification of activated carbon using sodium citrate and its effect on the adsorption of copper ions. New Carbon Mater. 2013, 28, 156–160. Available online: http://www.cnki.com.cn/Article/CJFDTotal-XTCL201302012.htm (accessed on 24 February 2022). [CrossRef]
- Liu, Y.-F.; He, C.-C.; Liu, S.-C.; Wang, X.-H.; Ren, H.-J.; Chen, Q.; Ren, Y. Research on the performance of new citric acid corrosion inhibitor. Appl. Chem. Ind. 2015, 44, 466–469. Available online: http://www.cnki.com.cn/Article/CJFDTotal-SXHG201503021.htm (accessed on 24 February 2022).
- Zhou, N. Study of Corrosion Inhibitors for AZ31 Magnesium in NaCl Solution. Master’s Thesis, Taiyuan University of Technology, Taiyuan, China, May 2014. [Google Scholar]
- Wysocka, J.; Krakowiak, S.; Ryl, J. Evaluation of citric acid corrosion inhibition efficiency and passivation kinetics for aluminium alloys in alkaline media by means of dynamic impedance monitoring. Electrochim. Acta 2017, 258, 1463–1475. [Google Scholar] [CrossRef]
- Li, W.-H.; He, Q.; Pei, C.-L.; Hou, B.-R. Experimental and theoretical investigation of the adsorption behaviour of new triazole derivatives as inhibitors for mild steel corrosion in acid media. Electrochim. Acta 2001, 52, 6386–6394. [Google Scholar] [CrossRef]
- Yang, K.; Zhang, L.-B.; Lv, C.; Peng, J.-H.; Li, S.-W.; Ma, A.-Y.; Chen, W.-H.; Xie, F. Role of sodium citrate in leaching of low-grade and multiphase zinc oxide ore in ammonia–Ammonium sulfate solution. Hydrometallurgy 2017, 169, 534–541. [Google Scholar] [CrossRef]
- Zhang, Q.; Chen, M.; Sun, X.-Y.; Pan, Y.-S. Preparation of CaCO3 under the presence of sodium citrate. J. Synth. Cryst. 2012, 41, 539–543. Available online: http://www.cnki.com.cn/Article/CJFDTotal-RGJT201202064.htm (accessed on 24 February 2022).
- Rao, S.-X.; Liu, R.-M.; Zhang, D.-Q.; Liu, Z.-Q.; Si, M.-Z. NIR-SERS studies of sodium citrate and chloride hematin based on NIR-SERS substrate. J. Light Scatt. 2011, 23, 114–119. Available online: http://www.cnki.com.cn/Article/CJFDTotal-GSSX201102005.htm (accessed on 24 February 2022).
- Wang, Y.-B.; Liu, F.-L.; Wang, X.; Yang, L.-Q.; Yuan, Z.-T.; Han, Y.-X. Effect of sodium citrate on the crysta1 shape of hemihydrate calcium sulfate whiskers. Ind. Miner. Process. 2010, 39, 8–10. [Google Scholar] [CrossRef]
- Soliwoda, K.-R.; Tomaszewska, E.; Socha, E.; Krzyczmonik, P.; Ignaczak, A.; Orlowski, P.; Krzyzowska, M.; Celichowski, G.; Grobelny, J. The role of tannic acid and sodium citrate in the synthesis of silver nanoparticles. J. Nanopart Res. 2017, 19, 273. [Google Scholar] [CrossRef]
- Li, X. Synthesis of Aluminum Citrate and Kinetics of Crosslinking System between Aluminum Citrate and HPAM. Master’s Thesis, East China University of Science and Technology, Shanghai, China, May 2001. [Google Scholar]
- Hu, J.-J. Calculation research of hydrogen production amount in containment after LOCAL in PWR Nuclear Power Plants. Nucl. Power Eng. 2013, 34, 95–98. [Google Scholar] [CrossRef]
Publisher’s Note: MDPI stays neutral with regard to jurisdictional claims in published maps and institutional affiliations. |
© 2022 by the authors. Licensee MDPI, Basel, Switzerland. This article is an open access article distributed under the terms and conditions of the Creative Commons Attribution (CC BY) license (https://creativecommons.org/licenses/by/4.0/).








