Abstract
Biobased nanomaterials have gained growing interest in recent years for the sustainable development of composite films and coatings, providing new opportunities and high-performance products. In particular, chitin and cellulose nanocrystals offer an attractive combination of properties, including a rod shape, dispersibility, outstanding surface properties, and mechanical and barrier properties, which make these nanomaterials excellent candidates for sustainable reinforcing materials. Until now, most of the research has been focused on cellulose nanomaterials; however, in the last few years, chitin nanocrystals (ChNCs) have gained more interest, especially for biomedical applications. Due to their biological properties, such as high biocompatibility, biodegradability, and antibacterial and antioxidant properties, as well as their superior adhesive properties and promotion of cell proliferation, chitin nanocrystals have emerged as valuable components of composite biomaterials and bioactive materials. This review attempts to provide an overview of the use of chitin nanocrystals for the development of bioactive composite films in biomedical and packaging systems.
1. Introduction
Chitin is the second most abundant biopolymer after cellulose, with an estimated annual production of approximately 1010 to 1011 tons [1,2]. Chitin is found in the exoskeletons of arthropods, cuticles of insects, and in certain fungi and seaweed algae, having principally a supporting function. In addition to its structural properties, high strength, and abundance, chitin has bioactive benefits, such as biodegradability, biocompatibility, hemostatic ability, and antioxidant and antimicrobial properties. In comparison with cellulose, chitin has a richer chemistry, with more chemical functionalities accessible. For all these reasons, chitin and chitosan (its main derivative)-based materials have found applications in multiple industrial sectors [3], with special interest as green components in sustainable materials and in the biomaterials field. In spite of this, in certain applications, their use is restricted, principally due to their limited solubility. In the last few years, the research on nanoscale chitin [4,5,6] has gained growing interest regarding the avoidance of such limitations and also the extension of its applicability because it combines the advantages of neat chitin with the characteristics of nanomaterials, such as a high aspect ratio, high surface area, and low density. In particular, chitin nanocrystals (ChNCs) have shown great potential as sustainable and bioactive nanomaterials in many uses. ChNCs are defined as nano-rod-shaped structures that are highly crystalline (even more than 80%), with a wide aspect ratio between 5 and 20 nm in width and hundreds of nm in length, depending on the source and treatment [7]. The source and treatment used during their synthesis also influence the surface chemistry of the nanocrystals, mainly hydroxyl, amine, carboxyl, and acetamide, which provide improved dispersibility of ChNCs and facilitate surface functionalization. Due to these attractive features, ChNCs have been postulated in many applications previously studied for cellulose nanocrystals, including coatings. The incorporation of ChNCs and cellulose nanocrystals in coatings improves the mechanical performance while maintaining optical transparency. Moreover, in packaging materials, such nanocrystals impart biodegradability and barrier properties, and they can help in the development of biobased packaging materials for the gradual replacement of petroleum-based plastics [8]. Chitin and chitosan nanocrystals also provide additional functionalities that make these materials especially interesting for the preparation of bioactive coatings and films, including adhesion, antioxidant, and antimicrobial properties. In this review, we will focus on the latest research carried out in the development of bioactive coatings and films based on chitin nanocrystals, mostly for potential biomedical and packaging applications. In Section 2, various synthetic procedures to obtain chitin nanocrystals will be outlined; Section 3 will provide an overview of the surface functionalization and chemical modification possibilities offered by ChNCs; Section 4 will describe the recent advances in the preparation of composite films based on ChNCs; Section 5 will highlight the main applications in bioactive coatings; and, finally, Section 6 will provide a future outlook.
2. Synthesis of Chitin Nanocrystals (ChNCs)
Chitin is a linear polysaccharide containing N-acetyl-D-glucosamine units linked through β-1,4 glycosidic bonds, with typically over 70% of crystalline phase in the form of three polymorphs, namely α-, β-, and γ-chitin depending on the sources [9]. In the native form, chitin is assembled by strong hydrogen bond interactions into nanofibrils of 2–5 nm wide and around 300 nm long; these crystalline regions alternate with amorphous regions (Figure 1). The efficient elimination of these amorphous domains typically leads to the formation of chitin nanocrystals. Several methods have been developed to obtain chitin nanocrystals from the degradation of the amorphous domains of native chitin, including acid hydrolysis, oxidation, and mechanical treatment [5,10].
Figure 1.
Schematic illustrations for chitin structures and polymorphs, and for the preparation process of chitin nanocrystals.
2.1. Acid Hydrolysis
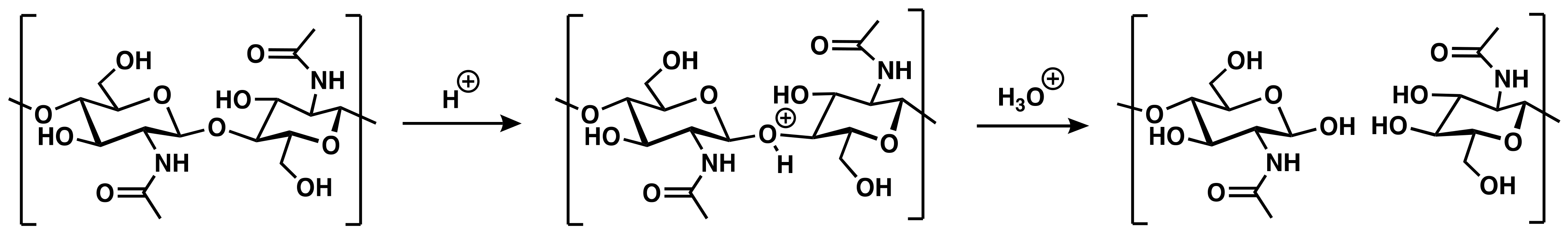
Acidolysis can effectively destroy the amorphous regions while keeping the highly crystalline regions almost intact, remaining as segments. By controlling the reaction conditions, the acid can predominantly attack the β-1,4-glycosidic bond (Figure 2) of the amorphous regions as the polymer chains are in a random coil assembly. Therefore, precise control of the hydrolysis process is essential for high yields, quality, and aspect ratio of ChNCs. Primarily, mineral acids, such as sulfuric acid and hydrochloric acid, are used for the isolation of chitin nanocrystals. Briefly, in this method, purified chitin is added in an aqueous acid solution (i.e., 3 M HCl) and the suspension is stirred at a high temperature (90–100 °C) for a certain time (1.5–6 h) [11,12,13,14,15]. After this, the reaction is stopped by adding water and the suspension is centrifuged several times. To ensure the elimination of the acid solution, the suspension is dialyzed with deionized water and usually an ultrasound treatment is further carried out to improve dispersibility [16,17]. The morphology of the obtained chitin nanocrystals is found to be rod-like or whisker-like. When sulfuric acid is used in the hydrolysis, the presence of sulfate groups on the surfaces of ChNCs is typically found, resulting in negatively charged crystals, whereas the crystals obtained by HCl hydrolysis only have hydroxyls groups at the surface. Moreover, partial deacetylation at the C2 position can occur during the purification process [18].
Figure 2.
Acidolysis reaction of the β-1,4-glycosidic bond of chitin.
Although this method is very effective in the preparation of chitin nanocrystals, it is, however, a non-environmentally friendly process, hazardous, toxic, and corrosive as it employs a highly concentrated acid. Alternatively, in the last few years, deep eutectic solvents (DESs) have emerged as very promising hydrolytic media for the preparation of chitin nanocrystals. Previously, DESs as well as ionic liquids have been used as media for the preparation of chitin nanocrystals [19,20,21], and, recently, acidic deep eutectic solvents have been demonstrated to be also useful as hydrolytic media for chitin nanocrystal production [22,23]. For instance, chitin nanocrystals with high crystallinity were obtained by using DESs derived from choline chloride and different organic acids (oxalic acid, lactic acid, malonic acid, citric acid, and DL-malic acid) as hydrolytic media [23]. DES based on p-toluenesulfonic acid–choline chloride also produced high-quality crystals, maintaining the functional groups of chitin during the process [22].
2.2. Oxidation Method
In essence, there are two main methods, 2,2,6,6-tetramethylpiperidin-1-yloxyl (TEMPO)-mediated oxidation and ammonium persulfate (APS) oxidation [10]; both methods enable the oxidation of hydroxyl groups into carboxylic form together with the formation of nanocrystals, which improves the dispersibility in water and transparency.
TEMPO-mediated oxidation is one of the most employed methods for producing chitin nanocrystals, as it can be performed in milder and better controlled conditions than acid hydrolysis, leading also to higher yields [24]. The degree of deacetylation of chitin is modified to a low extent during the oxidation process, while the hydroxyl groups at the C6 position of chitin are selectively oxidized to carboxyl groups. Ultimately, in this method, TEMPO and co-oxidants are required. Common systems such as TEMPO/NaClO/NaBr and TEMPO/NaClO2/NaClO systems are mainly used (Figure 3). In the method published by Fan et al. [24], chitin is suspended in an aqueous solution at pH 10 containing TEMPO and NaBr; then, NaClO is added to initiate the reaction at room temperature, maintaining the pH at 10. The reaction is ended by adding ethanol to the mixture when no consumption of the alkali is observed. The pH is adjusted to 7, and the sample is centrifuged and washed several times. Typically, a sonication process is required. Under these alkaline conditions, depolymerization and other side reactions occur to some extent. On the other hand, Pang et al. [25] used a TEMPO/NaClO2/NaClO system under weakly acidic conditions (pH = 6.8) at 60 °C to prevent such undesired reactions (Figure 3).
Figure 3.
Schematic representation of TEMPO-mediated oxidation under alkaline and acidic conditions.
In addition to these common strategies, the O2/laccase/TEMPO oxidation system has been applied for the preparation of chitin nanocrystals at pH 6.8 at 30 °C [26]. This system can successfully and selectively oxidize the C6-hydroxyl groups to C6-carboxyl groups, with a limited deacetylation reaction and good quality of crystal dimensions and shape.
In the APS oxidation approach, ammonium persulfate is employed as a strong oxidizing reagent with low toxicity and high solubility in water. APS is decomposed with temperature, i.e., 60–75 °C, into hydrogen sulfate (), hydrogen peroxide (H2O2), and free radicals () [27], causing hydrolysis and the oxidation of C6 to carboxyl groups. Since this oxidation is stronger than that mediated by TEMPO, higher carboxyl content is obtained and the amino groups can be also oxidized to nitro groups [28]. In a typical procedure, chitin is added to an aqueous solution of APS (1 M) under stirring at 60–75 °C for around 16 h. The reaction is stopped by adding water and the mixture is centrifuged several times for purification. As in previous methods, a sonication step is usually needed [29].
2.3. Mechanical Treatment
This treatment is mainly based on a mechanical shear force applied by an ultrasonic, grinding, high-pressure water jet system, or high-pressure homogenization, with the aim of separating chitin microfibers. Usually, such treatments are combined with other treatments, since, in general, the nanocrystals obtained by mechanical treatments retain some of the amorphous regions. In contrast to hydrolytic methods, in which there is a transversal cleavage through the amorphous domains, the mechanical forces provide the cleavage along the fibers; thus, a much larger aspect ratio can be produced. Ultrasonication is probably the most popular mechanical treatment and is also applied as the last step in the chemical approaches described above [30,31]. Such treatment is able to break the inter-fibril hydrogen bonds, leading the formation of nanomaterials. The time of application and intensity of the ultrasound have an important effect on the size, morphology, and properties of the fibers [32,33]. However, in chitin samples with high crystallinity and greater intermolecular interactions, ultrasonication alone is not able to disintegrate the fibers [34]. Ultrasonication has been applied after previous deacetylation of chitin, which facilitates the destruction of the interactions by electrostatic repulsion [35]. High-pressure homogenization is another mechanical treatment successfully employed for chitin nanocrystal preparation. In this approach, the aqueous suspension of chitin under high pressure (100–150 MPa) produces strong shears, cavitation, and impact effects, leading to the formation of thin fibers [36,37,38,39]. This technique produces nanofibers with a large aspect ratio and narrow diameter distribution. Likewise, high-pressure water jet systems are used to treat fibers and achieve nanometric diameters [40,41]. Moreover, chitin nanofibers can be obtained by a simple grinding process, typically at a rotation speed of 1500 rpm, using −1.5 as the gap height, although acidic conditions are necessary to increase electrostatic repulsions and facilitate the disintegration [42,43,44].
3. Surface Functionalization by Chemical Modification
Surface and chemical modification of ChNCs can impart new and specific properties, expanding the potential applications of these materials. The surfaces of ChNCs comprise reactive groups, namely hydroxyl, acetamide, and amine groups, available for modification (Figure 4) [45].
Figure 4.
Schematic representation of some of the most used chemical modification reactions of chitin nanocrystals.
Above all, the most obvious and employed surface modification of chitin nanocrystals is the deacetylation reaction of acetamide to increase the presence of amine groups on the surface, affording chitosan nanocrystals [4]. The amine groups, which lead to a more positively charged surface, confer improved dispersibility in polar solvents and antibacterial, antifungal, and antioxidant properties to the nanocrystals [46,47]. Moreover, this deacetylation process, leading to larger amounts of amine groups, could be the first step in the successive chemical modifications of the amine groups—for instance, by alkylation, quaternization, or grafting, among others. However, only a few investigations have been carried out so far on chitin/chitosan nanocrystals. Initial approaches to the deacetylation of chitin nanocrystals and preparation of chitosan nanocrystals used strong basic media, which normally causes a molecular weight reduction. Moreover, these severe conditions typically lead to the destruction of the nanorod morphology and the nanocrystalline structure. Chirachanchi et al. [48] first studied the deacetylation reaction of chitin nanocrystals using a concentrated aqueous solution of NaOH (40% w/v) at a high temperature (100 to 180 °C) for a long period of time. Although a high degree of deacetylation (DDA) was achieved, up to 98%, drastic changes in the crystallinity and morphology took place during the process. Milder conditions were explored by other groups in order to preserve the crystal structure. Hsieh’s group [49] described deacetylation in basic media at a low temperature of 50 °C. Under these conditions, a 40% DDA was reached, while the crystal structure was changed only to a low extent. It seems that this milder treatment provides the chemical modification of the nanocrystal surface and only the surfaces of the ChNCs were deacetylated [50]. Recently, other strategies have been developed with the purpose of obtaining chitosan nanocrystals by the deacetylation reaction. Lam et al. [51] incorporated 10% (w/w) NaBH4 into an aqueous solution of NaOH to prevent depolymerization and nanorod degradation. This reaction, carried out at 117 °C for 18 h, provided crystalline nano-rod shaped particles with a DDA above 80%. This group also investigated a solid-state aging process starting from chitin nanocrystals, which afforded good results and a high degree of deacetylation at the surfaces of the nanorod crystals [52].
On the other hand, hydroxyl groups present at the surfaces of chitin nanocrystals also offer the possibility of chemical modification through various reactions, mainly with the aim of reaching a reduction in the surface energy by introducing hydrophobic groups [53]. These modifications, in contrast to the deacetylation reactions, improve the dispersibility in nonpolar solvents, and the adhesion and compatibility within hydrophobic matrices in composite materials, and they reduce hygroscopicity. For instance, in a recent publication, ChNCs have been functionalized with thiol groups by a sequence of hydrolysis and co-condensation reactions of tetraethyl orthosilicate (TEOS) and (3-mercaptopropyl) trimethoxysilane. Subsequently, fluorinated long chains were incorporated through a thiol-ene click reaction, leading to superamphiphobic ChNCs [54]. The surface properties of ChNCs have been also modified through the hydroxyl groups by a coupling reaction with phenyl isocyanate, alkenyl succinic anhydride, and 3-isopropenyl-α,α‘-dimethylbenzyl isocyanate, leading to a reduction in the surface energy. These modifications provide better compatibility when nanocrystals are added in a natural rubber matrix as the particle–matrix interactions increase [55]. In another publication related to the preparation of polymer composites, ChNCs were modified by various types of silane coupling agents with different lengths in order to regulate their surface properties and improve the particle–polymer interactions in the poly(hydroxy butyrate) (PHB) matrix and, thus, the performance of the composite materials [56]. The acylation of chitin nanocrystals using, for example, acetic anhydride or dodecanoyl chloride acid is also a simple method to improve the compatibility with common thermoplastic matrices such as poly(lactic acid) (PLA) [57]. The primary hydroxyl group at the C6 position of chitin nanocrystals can be also selectively oxidized to carboxylic groups to produce carboxylated ChNCs. As described in the previous section, this oxidation reaction is directly obtained during the synthesis of chitin nanocrystals by the oxidation method using TEMPO [58] or other oxidation agents such as ammonium persulfate [51]. The presence of carboxyl groups enhances the aqueous dispersibility of the crystals and makes them amenable to conjugation or further chemical reactions. For instance, carboxylated ChNCs oxidized by TEMPO were simultaneously conjugated by means of EDC/NHS chemistry with a fluorescent imidazoisoquinolinone dye and with carbohydrate ligands both carrying amine groups. The resulting functional nanomaterials demonstrated biorecognition properties with lectins and bacteria [59].
In addition to the chemical modification of chitin nanocrystals through their functional groups, other strategies have been followed to functionalize the surfaces of ChNCs. Mussel-inspired catecholic chemistry was used to modify chitin nanocrystals by coating with a polydopamine layer, which provided adhesion properties; it can also act as a reducing agent for the formation and immobilization of silver nanoparticles (Ag NPs) [60].
4. Development of Biocomposite Films Based on Chitin Nanocrystals
The development of nanocomposite films has great technological potential in diverse areas; however, the use of inorganic fillers has a high carbon footprint, environmental effects, and, in many cases, a lack of biocompatibility. For this reason, biomass-derived nanofillers, including chitin nanocrystals and nanofibers, have great advantages from these perspectives. Chitin nanofibers have been introduced in (meth)acrylic resins to improve their transparency and also mechanical and barrier properties [61,62,63,64,65]. In spite of these facts, the main drawback is their matrices, which are fossil-fuel-dependent and are not biodegradable. Therefore, in this work, we have focused on the use of chitin nanocrystals in biobased or natural polymeric materials and therefore on the preparation of biocomposite films for biomedical and environmental applications.
The main challenge of using ChNCs as nanofillers in composites is to address their strong tendency to aggregate, which limits the processing and the final properties of the composite. The preparation of biocomposites based on chitin nanocrystals is mainly performed via a solution casting method; then, adequate dispersibility is essential for the successful generation of homogeneous composites. Typically, the complete characterization of the ChNCs and their interparticle and particle–solvent interactions is needed before the preparation of biocomposite films, including morphological analysis by scanning electron microscopy (SEM), transmission electron microscopy (TEM), and atomic force microscopy (AFM), measurement of the surface charges by zeta potential, and rheological studies. As mentioned before, chitin nanocrystals are usually chemically modified in order to improve the dispersibility and compatibility with the biopolymeric matrix in the preparation of composites. For instance, chitin nanocrystals were modified to graft poly(3-hydroxybutirate-co-3-hydroxyvalerate) (PHBV) [66] before incorporation into neat PHBV. The researchers expected a positive effect on the crystallization of PHBV, as ChNCs have attracted significant attention as nucleating agents. However, the crystallization was hindered by the incorporation of chitin nanocrystals, a fact that was attributed to the presence of intermolecular hydrogen bonds between the carbonyls of PHBV and the unmodified hydroxyl groups still at the surface of the nanocrystals. In a subsequent work, these authors treated nanocrystals with glacial acetic acid to replace hydroxyl groups with acetyl groups on the surfaces of the chitin nanocrystals [67]. Then, PHBV/ChNCs films with various chitin nanocrystal concentrations (from 1.0 to 5.0 wt%) were prepared via a solution casting method in chloroform. In this case, the intermolecular hydrogen bonds were considerably reduced and the crystallization of PHBV was favored concomitantly with an enhancement in mechanical properties. Very recently, the crystallization behavior of PHB was also analyzed in the presence of unmodified and modified chitin nanocrystals with sulfhydryl silane and amino silane [56]. Films were also produced by solvent casting using chloroform as a solvent, followed by a subsequent compression molding step at 190 °C under 10 MPa to further remove residual solvents. The amino silane modification was found to be more effective in improving the compatibility between ChNCs and PHB, which seriously affects the nucleating activity in comparison with the unmodified nanocrystals. Nevertheless, this modification helps to reduce the occurrence of cracks in the nanocomposite.
When ChNC is blended with water-soluble polymers, its dispersibility in water needs to be improved. TEMPO-oxidized chitin nanocrystals, with improved dispersibility in water, were blended with chitosan in a weight percentage of 10:90, also using 1 wt% of curcumin [68]. The components were dispersed in an aqueous solution by ultrasonic and stirring treatment, before pouring the mixture into a petri dish and drying. It was clear that the resulting nanocomposite films had better mechanical properties than chitosan with or without curcumin films. The shear viscosity is strongly dependent on the amount of oxidized chitin nanocrystals, increasing when the nanocrystal content rises to reach a specific amount (~10–15%), from which it starts to decrease. Moreover, the water vapor permeation of these composites decreases with the increment in nanofiller. On the contrary, the transparency is negatively affected by their incorporation. Very recently, curcuma oil was added to chitosan with chitin nanocrystals [69] and the resulting nanocomposites presented, likewise, enhanced mechanical properties and hydrophobicity, while their water solubility and moisture content decreased. Moreover, they provide a barrier to UV light, with excellent antioxidant properties and halochromic capacity to both pH and volatile ammonia changes. Surface-deacetylated chitin nanofibers were also used to reinforce chitosan films [70]. The incorporation of a nanofiller increases the transparency, Young’s modulus, and tensile strength. Moreover, the thermal expansion significantly decreases and inhibits the spore germination of Alternaria alternata fungi. These chitin nanofibers were also blended with glycerol in different ratios [71]. The plasticizing effect of glycerol provoked a decrease in Young’s modulus and tensile strength but an increase in the fracture strain was appreciated, which was dependent on the glycerol content. Moreover, the composites maintained their transparency and low thermal expansion. Chitin nanocrystals were also used as a reinforcing material in electrospun chitosan/polyethylene oxide-based randomly oriented fiber mats obtained from aqueous acetic acid [72]. The 50 wt% nanocrystal incorporation provoked an improvement in the moisture stability and facilitated crosslinking processes with genipin. The tensile strength and modulus were higher in the reinforced and crosslinked mats than unreinforced and uncrosslinked materials.
Chitin nanofibers with either a low or high degree of acetylation were blended with cellulose nanocrystals by the solution casting of aqueous suspension mixtures [73]. The nanocomposites had oxygen permeability that was an order of magnitude lower than nanocrystalline cellulose films. Nanowhiskers of chitin were introduced in another widely used natural polymer, gelatin, to improve its mechanical properties, such as hardness, stress at fracture, fracture strain, and recovery properties (gelatin is a thermo-sensitive network) [74]. The addition of a low amount of ChNCs, up to 1%, led to the formation of a rigid, dense network due to the presence of hydrogen bonding and electrostatic interactions, providing better stability under high salt concentrations or a strongly acidic environment. Chitin nanowhiskers were introduced into carboxymethyl chitosan and dextran dialdehyde to create Schiff base crosslinking hydrogels [75]. As happened before, the incorporation of nanocrystals produced a short gelation time, increased the compressive stress, and also reinforced the bonding efficacy.
Another natural polymer, carrageenan, was used as a matrix for nanocomposite films [76]. Carrageenan/ChNC nanocomposite films with different concentrations of chitin nanocrystals (3, 5, and 10 wt%) were prepared using the solvent casting method. The resulting materials were smooth and flexible, improving the tensile strength and modulus. However, the elongation at break, water vapor permeability, and transparency decreased slightly with respect to the matrix alone.
Solvent casting has been also employed to prepare layers of chitin nanocrystal on surfaces. PLA films were successfully coated with cationic chitin nanofibers and anionic cellulose nanocrystal suspensions using layer-by-layer deposition through spray coating [77]. The multilayer material presented lower oxygen permeability and lower water vapor transmission than those coated with chitin nanofibers or cellulose nanocrystals alone. TEMPO-oxidized α-chitin nanowhisker, a partially deacetylated α-chitin nanowhisker/nanofiber mixture, HCl-hydrolyzed chitin nanowhisker, and squid-pen α-chitin nanofiber solutions were also coated with an aqueous solution on plasma-treated (i.e., surface-hydrophilized) PLA films [78]. They presented similar values for oxygen permeability but, in the case of deacetylated nanofiller, the tensile strength, Young’s modulus, and light transmittance were higher than in the other nanocomposites. In contrast, when the squid-pen α-chitin nanofiber was incorporated, it presented the lowest values.
Although commonly used, the solvent casting method is difficult to upscale and, in many cases, organic solvents are required when non-water-soluble polymers are used as the matrix. Therefore, other processing methods have been evaluated. Composites based on ChNCs have been also prepared by melt extrusion and compression processes; therefore, previous thermal characterization of the ChNCs is typically needed. In some cases, such processes were performed from mixtures previously prepared in solution and dried. For instance, PLA composites were prepared from modified chitin nanocrystals with anhydride acetic and posterior dodecanoyl chloride acid [57]. This modification improved the compatibility and almost maintained the crystalline characteristics, and did not produce negative effects on the mechanical properties. Melt compounding via liquid-assisted extrusion has been also employed to prepare biocomposites of PLA and ChNCs. Nanocrystals were also incorporated into PLA with triethyl citrate plasticizers in weight percentages of 1:79:20, and their effects on the crystallization behavior and the properties of PLA were analyzed [18]. The good dispersion of nanocrystals and their nucleating effect improve the water and oxygen barrier properties of PLA. Moreover, they cause the PLA hydrolytic degradation to take place faster than without nanocrystals. The chitin nanofillers were also incorporated into thermoplastic starch by melt mixing [37]. The nanocomposites exhibited better thermal stability, mechanical properties, and storage modulus than thermoplastic starch alone. In this case, the crystal structure of chitin is maintained and it seems that the nanofillers act as nucleating agents and favor the retrogradation process of thermoplastic starch.
5. Applications of Bioactive Composite Films Based on Chitin Nanocrystals
Owing to the attractive properties of chitin nanocrystals and the emergence and evolution of sustainable development, these nanomaterials are gaining increasing interest in a multitude of applications, particularly in biomedicine, agricultural and food applications, water treatment, and catalysis [4,51,79]. Above all, chitin nanocrystals are attracting particular importance for the preparation of bioactive films, mainly due to their biocompatibility, biodegradability, antifungal or antibacterial properties, and their multiple functionalities available for bioconjugation. Moreover, their crystallinity provides enhanced mechanical properties, such as high stiffness and strength, and barrier properties. In this section, we discuss the potential applications of chitin nanocrystal-based bioactive films.
5.1. Antimicrobial and Antifouling Films
Microbial adhesion, especially bacterial adhesion to the surface, followed by bacterial growth and colonization, can form complex multicellular communities, known as biofilms, which are very difficult to treat [80]. The control of biofilm infections on the surfaces of medical devices, biomaterials, and implants is essential as the infections acquired in hospitals are mainly associated with infected material surfaces [81,82]. Currently, there is an increasing demand for the development of coatings able to prevent infections, not only in biomedical applications but also in other areas, such as cosmetics, water treatment, and food packaging applications [83,84,85]. Due to their antibacterial and antifungal properties, chitin and chitosan nanocrystals have been extensively studied for the preparation of antimicrobial films, fabrics, and textiles. The antimicrobial activity of chitin and chitosan nanocrystals is ascribed to charged amine groups that can strongly interact with negatively charged sites on the cell walls of microorganisms, provoking the disruption and permeability of the membrane and the leakage of intracellular content, and finally cell death. However, negatively charged carboxylic groups could screen the positively charged groups and reduce the antibacterial effect [86]. Nevertheless, the nanocrystals also diminish cell adhesion and can delay the growth of microorganisms [87].
Chitin nanocrystals have been extensively evaluated as antimicrobial components of packaging films. For instance, ChNCs have been incorporated into biobased PLA films to impart antifungal activity and develop sustainable packaging films [57]. The resulting bioactive nanocomposite films were tested against Aspergillus niger, which is one of the most common molds contaminating foods, demonstrating a considerable decrease in the fungal activity of the films. ChNCs have been used in other biobased polymer films, e.g., maize starch films, with the purpose of prolonging the shelf-life of packaged foods [14]. In this case, in addition to antimicrobial properties, the ChNCs (0.5–5 wt%) provided higher tensile strength, higher thermal properties, and lower water vapor permeability. The nanocomposite films showed strong antimicrobial activity against Gram-positive Listeria monocytogenes. Polypropylene and poly(ethylene terephthalate) films are still commonly used in food packaging due to their outstanding properties. In recent publications, their properties have been improved by coating layers of biorenewable nanocelullose and nanochitin films through layer-by-layer (LbL) deposition [88,89]. The resulting films exhibited transparency and excellent gas barrier properties towards oxygen and water vapors. Related to their antimicrobial properties, the incorporation of chitin nanocrystals limited bacterial adhesion, as tested against Gram-negative Escherichia coli and Gram-positive Staphylococcus aureus or Bacillus subtilis. This bacterial growth inhibition was affected principally by the content of nanochitin, although mildly inhibited bacterial growth on the surface was also observed in films coated with nanocellulose, which was attributed to the repulsion of the bacterial membrane by the negative charges of nanocellulose, which limit the settlement of bacteria on the surface.
Antimicrobial films based on chitin nanocrystals have found applications also in water filtration systems, mainly made from non-woven fabrics and fibers. Core–shell nanofibers with PLA as the core and polyacrylonitrile/chitin nanocrystals as the shell were prepared by coaxial electrospinning and tested as microfiltration membranes [90]. The composite membranes with chitin nanocrystals were superhydrophilic due to the positive charges of the crystals, in contrast to the hydrophobic PLA core, and demonstrated much higher antimicrobial activity against E. coli, and resistance to bacterial colonization and biofilm formation. These results suggest that the high hydrophilicity of membranes with ChNCs, together with the presence of positively charged groups able to impair cell membranes, would be the factors explaining the low bacterial colonization and biofilm formation. Bioactive electrospun fibers for water treatment applications can be also prepared by a two-step process. Cellulose non-woven fabrics were coated with chitin nanocrystals by casting to prepare microfiltration membranes for water purification [91]. The ChNC coating provided a positive charge to the surface, improving its hydrophilicity and wettability, and thus imparting antimicrobial and antifouling activities. Likewise, electrospun cellulose acetate mats were surface-coated with ChNCs via Buchner funnel filtration [92]. Figure 5 displays SEM images of the cellulose acetate mats coated with ChNCs, in which it is clearly shown that the ChNC coating on the fibers was highly homogeneous. The resulting membranes presented significant resistance to colonization by E. coli, with a 87.7% decrease in biofilm formation after 24 h of incubation. The formation of a biofilm involves several steps, with the initial adhesion of bacterial cells to a surface, which is affected by various physico-chemical factors, including hydrophobicity and surface charge. Although the surface coated with ChNCs presented less negative charges, and then less electrostatic repulsion with the negative surface charge of the bacterial outer membrane, the bacterial colonization is considerably reduced in comparison with uncoated mats. In the images displayed in Figure 5, one can observe this decrease in the biofilm formation, as well as a high number of nonviable and dead bacterial cells.
Figure 5.
Scanning electron microscopy (SEM) images of electrospun cellulose acetate fibers alone (a) and coated with ChNCs (b). Fluorescent images of E. coli CECT 516 bacteria on surface cellulose acetate fibers alone (c) and coated with ChNCs (d) after 24 h of biofilm incubation and live/dead staining (green: live cells; red: dead cells). Adapted from Ref. [92]. Copyright 2016 Elsevier.
Chitin nanocrystals’ surface functionalization of polyvinylidene fluoride (PVDF) membranes also improves drastically the surface hydrophilicity and roughness, and consequently enhances their antifouling performance [93]. In effect, the roughness is a crucial factor affecting the wettability of the surface and the bacterial adhesion, in addition to the chemical surface composition and charge [94]. The needle-like morphology of ChNCs can provide hierarchical macro-/nanostructured surface coatings, increasing the surface roughness and modulating the surface wetting properties, with the purpose of fabricating antifouling coatings [54].
The development of antibacterial textiles for medical and hygienic products such as wound dressing is another area that has drawn attention to chitin nanocrystals as antimicrobial agents [95]. For instance, chitin nanofibers have been used for the preparation of antibacterial finishing cotton fabrics. In comparison with chitosan-treated cotton fabric, the fabrics treated with ChNCs showed higher antibacterial activity against S. aureus bacteria, which was attributed to the better compatibility between the cotton fabric and ChNCs [33]. Antibacterial finishing of cotton textiles has been also performed by using chitin nanocrystals as carriers of antibiotics, e.g., methylparabens. The resulting coating demonstrated good activity for at least 20 washing cycles [96].
5.2. Pickering Stabilizers
Pickering emulsions, in which particles stabilize emulsions, have gained increasing attention in coating applications. Compared to conventional surfactants, Pickering stabilizers provide better long-term stability, irreversible adsorption at interfaces, and prevent droplet coalescence and, therefore, a minimal amount of stabilizer is typically required. This is important as the residual surfactant often induces negative effects on the final coatings, such as low brightness, water sensitivity, or low resistance. Due to these excellent properties, Pickering emulsions are promising systems for the development of green waterborne solvent-free coatings prepared by the emulsion of binders in water. Chitin nanocrystals have been proposed as biocompatible and biodegradable Pickering stabilizers [97,98,99] with other advantages, such as a large specific surface and rich surface chemistry, available for a wide range of chemical surface modifications. These Pickering stabilizers have been employed to form biocomposite films for environmentally friendly products, cosmetics, and healthcare [17,35,100,101].
5.3. Tissue Engineering
Tissue engineering aims to repair and regenerate damaged biological tissues and materials and must combine some requirements, such as biodegradability, high porosity, biocompatibility, mechanical properties, and biologically active molecules that promote cell adhesion and proliferation. Chitin nanocrystals have great potential in composite materials for this application as they fulfill many of the needed properties [17,102]. As commented above, ChNCs can be employed as filling materials for reinforcing polymeric materials, and have gained particular attention in tissue engineering due to their non-toxicity, biocompatibility, and biodegradability. In principle, chitin materials could be considered poor substrates for cell attachment as they lack cell recognition signals. Nevertheless, ChNCs can provide to the scaffolds bioactivity through their unique chemical characteristics, which could promote cell attachment and spreading, including human osteosarcoma, osteoblast, fibroblast, mesenchymal stem, and keratinocyte cells [103,104,105,106,107]. Different parameters affect cell spreading, such as surface free energy, surface chemistry, and charge, among others. Cells have negative charges and adhere more strongly to substrates with cationic groups. Thus, the inhibitory or stimulatory effects of ChNCs on cells’ adhesion might depend on the different chemical composition, i.e., degree of deacetylation [108,109,110]. It was shown that a high degree of deacetylation provides strong cell adhesion (e.g., in fibroblasts) [109], whereas low degrees lead to low adhesion—for instance, in human fibroblast or human mesenchymal stem cells (HMSCs) [108,109]. Moreover, cell adhesion to biomaterials may depend on the absorption of different proteins on the surface, such as collagen, which can be also mediated by the surface chemistry, e.g., electrostatic interactions [111]. To promote this, the functional groups present in chitin and chitosan nanocrystals can be accessible for the conjugation of cell-adhesive compounds such as peptides or proteins [108]. Roughness is another factor that also could influence cell adhesion. In a composite scaffold of chitosan with 20% of ChNCs, the increased viability of MC3T3-E1 osteoblast cells was observed after a few days and was attributed to the increase in the surface roughness by the incorporation of the crystals [103]. The mechanical properties of substrates may affect cell spreading as well. In silk fibroin films, the strong enhancement of the cell spreading by the incorporation of ChNCs was attributed to the associated increased in rigidity [105].
5.4. Adhesives
Chitosan nanocrystals have been also explored for the development of new adhesives for biomedical applications due to their biocompatibility and biodegradability. Chitin nanocrystal aqueous suspensions have demonstrated high adhesive strength and good performance as eco-friendly and water-based adhesives [112]. During water evaporation, a long-range ordered structure is formed by the self-assembly of nanocrystals in parallel alignment nanoparticles, leading to high internal cohesion and adhesion between surfaces by van der Waals forces, capillary adhesion, and hydrogen bonding. This orientation results in higher adhesion in-plane, in comparison with the out-of-plane adhesion, which provides reversibility (Figure 6a). Xu et al. [113] incorporated ChNCs into a citrate-based tissue adhesive to evaluate its effects on the adhesion properties. ChNCs, well dispersed in the adhesive, improved the bulk cohesion by extra crosslinks, e.g., hydrogen bonds, as well as other chemical interactions through the carboxylic and amine groups (Figure 6b). As a result, the tensile strength and the modulus of the cured adhesives increased, while the elongation was not affected. The incorporation of ChNCs also lowered the swelling ratio, which reduces the medical complications associated with in vivo conditions
Figure 6.
Schematic illustrations of the proposed mechanism of (a) adhesive effect of ChNCs (adapted with permission from Ref. [112]. Copyright 2021 American Chemical Society) and (b) of improved adhesion caused by incorporation of ChNCs on citrate-based tissue adhesive (adapted with permission from Ref. [113]. Copyright 2018 Elsevier).
6. Conclusions and Remarks
ChNCs have demonstrated great potential in the fabrication of bioactive films and coatings due to their unique properties. Recently, research efforts have been directed towards the development of biobased polymeric materials due to the increasing demand for sustainability and environmental safety. Therefore, the use of environmentally friendly, biodegradable, and biocompatible fillers for the preparation of composite films has gained significance in the last few years. Cellulose nanocrystals have been, so far, the biobased nanomaterials that have received the most attention, in terms of the number of publications and applications. However, due to their rich chemical functionalities, ChNCs are proposed as substitutes for cellulose nanocrystals in many uses, and their applications could be extended to other fields. These unique functionalities and their biological activities, such as antibacterial and antioxidative actions, have attracted the attention of researchers for the preparation of biological functional films and coatings with applications in medicine, the food packaging industry, and cosmetics. Despite the progress that has been made in the application of ChNCs in biocomposite films, many challenges still exist. The synthetic method, chemical modification reactions, and purifications have a strong influence on the morphology and surface chemistry of the crystals and thus on the final properties of the ChNCs. Therefore, good control of these processes is essential to achieve nanomaterials with specific and enhanced properties. The incorporation and dispersibility of the nanocrystals in the polymeric matrix are also crucial to achieve improved performance. Current research is focusing on addressing the agglomeration problems of ChNCs and their compatibility with the polymer matrix, as well as reducing degradation during the production of composites, mainly by surface modification treatments and physical dispersion strategies. In addition, more efficient, sustainable, and low-cost synthetic methods such as the use of deep eutectic solvents need to be further explored in the future to translate the success at lab scale to large-scale industrial production.
Author Contributions
Writing—review and editing, C.M.-N., M.F.-G. and A.M.-B. All authors have read and agreed to the published version of the manuscript.
Funding
This work was funded by the MICINN (PID2019-104600RB-I00), the Spanish State Research Agency (AEI, Spain), and the European Regional Development Fund). C. Muñoz-Núñez acknowledges MICINN for his FPI fellowship: PRE2020-093596.
Conflicts of Interest
The authors declare no conflict of interest.
References
- Nair, K.G.; Dufresne, A. Crab Shell Chitin Whisker Reinforced Natural Rubber Nanocomposites. 1. Processing and Swelling Behavior. Biomacromolecules 2003, 4, 657–665. [Google Scholar] [CrossRef]
- Pillai, C.K.S.; Paul, W.; Sharma, C.P. Chitin and chitosan polymers: Chemistry, solubility and fiber formation. Prog. Polym. Sci. 2009, 34, 641–678. [Google Scholar] [CrossRef]
- Shamshina, J.L.; Berton, P.; Rogers, R.D. Advances in Functional Chitin Materials: A Review. ACS Sustain. Chem. Eng. 2019, 7, 6444–6457. [Google Scholar] [CrossRef]
- Jin, T.; Liu, T.; Lam, E.; Moores, A. Chitin and chitosan on the nanoscale. Nanoscale Horiz. 2021, 6, 505–542. [Google Scholar] [CrossRef]
- Yang, X.; Liu, J.; Pei, Y.; Zheng, X.; Tang, K. Recent Progress in Preparation and Application of NanoChitin Materials. Energy Environ. Mater. 2020, 3, 492–515. [Google Scholar] [CrossRef]
- Kumar, S.; Foroozesh, J. Chitin nanocrystals based complex fluids: A green nanotechnology. Carbohydr. Polym. 2021, 257, 117619. [Google Scholar] [CrossRef] [PubMed]
- Salaberria, A.M.; Labidi, J.; Fernandes, S.C.M. Different routes to turn chitin into stunning nano-objects. Eur. Polym. J. 2015, 68, 503–515. [Google Scholar] [CrossRef]
- Yu, Z.; Ji, Y.; Bourg, V.; Bilgen, M.; Meredith, J.C. Chitin- and cellulose-based sustainable barrier materials: A review. Emergent Mater. 2020, 3, 919–936. [Google Scholar] [CrossRef]
- Cárdenas, G.; Cabrera, G.; Taboada, E.; Miranda, S.P. Chitin characterization by SEM, FTIR, XRD, and 13C cross polarization/mass angle spinning NMR. J. Appl. Polym. Sci. 2004, 93, 1876–1885. [Google Scholar] [CrossRef]
- Yang, T.; Qi, H.; Liu, P.; Zhang, K. Selective Isolation Methods for Cellulose and Chitin Nanocrystals. ChemPlusChem 2020, 85, 1081–1088. [Google Scholar] [CrossRef]
- Mincea, M.; Negrulescu, A.; Ostafe, V. Preparation, modification, and applications of chitin nanowhiskers: A review. Rev. Adv. Mater. Sci. 2012, 30, 225–242. [Google Scholar]
- Druzian, S.P.; Zanatta, N.P.; Cortes, L.N.; Streit, A.F.M.; Dotto, G.L. Preparation of chitin nanowhiskers and its application for crystal violet dye removal from wastewaters. Environ. Sci. Pollut. Res. 2019, 26, 28548–28557. [Google Scholar] [CrossRef] [PubMed]
- Jung, H.-S.; Kim, M.H.; Park, W.H. Preparation and Structural Investigation of Novel β-Chitin Nanocrystals from Cuttlefish Bone. ACS Biomater. Sci. Eng. 2019, 5, 1744–1752. [Google Scholar] [CrossRef] [PubMed]
- Qin, Y.; Zhang, S.; Yu, J.; Yang, J.; Xiong, L.; Sun, Q. Effects of chitin nano-whiskers on the antibacterial and physicochemical properties of maize starch films. Carbohydr. Polym. 2016, 147, 372–378. [Google Scholar] [CrossRef] [PubMed]
- Larbi, F.; Garcia, A.; Del Valle, L.J.; Hamou, A.; Puiggali, J.; Belgacem, N.; Bras, J. Comparison of nanocrystals and nanofibers produced from shrimp shell alpha-chitin: From energy production to material cytotoxicity and Pickering emulsion properties. Carbohydr. Polym. 2018, 196, 385–397. [Google Scholar] [CrossRef]
- Salaberria, A.M.; Diaz, R.H.; Labidi, J.; Fernandes, S.C.M. Role of chitin nanocrystals and nanofibers on physical, mechanical and functional properties in thermoplastic starch films. Food Hydrocoll. 2015, 46, 93–102. [Google Scholar] [CrossRef]
- Wang, X.; Liang, K.; Tian, Y.; Ji, Y. A facile and green emulsion casting method to prepare chitin nanocrystal reinforced citrate-based bioelastomer. Carbohydr. Polym. 2017, 157, 620–628. [Google Scholar] [CrossRef]
- Singh, S.; Patel, M.; Schwendemann, D.; Zaccone, M.; Geng, S.; Maspoch, M.L.; Oksman, K. Effect of Chitin Nanocrystals on Crystallization and Properties of Poly(lactic acid)-Based Nanocomposites. Polymers 2020, 12, 726. [Google Scholar] [CrossRef] [Green Version]
- Hong, S.; Yuan, Y.; Yang, Q.; Chen, L.; Deng, J.; Chen, W.; Lian, H.; Mota-Morales, J.D.; Liimatainen, H. Choline chloride-zinc chloride deep eutectic solvent mediated preparation of partial O-acetylation of chitin nanocrystal in one step reaction. Carbohydr. Polym. 2019, 220, 211–218. [Google Scholar] [CrossRef]
- Kadokawa, J.-I.; Takegawa, A.; Mine, S.; Prasad, K. Preparation of chitin nanowhiskers using an ionic liquid and their composite materials with poly(vinyl alcohol). Carbohydr. Polym. 2011, 84, 1408–1412. [Google Scholar] [CrossRef]
- Khajavian, M.; Vatanpour, V.; Castro-Munoz, R.; Boczkaj, G. Chitin and derivative chitosan-based structures—Preparation strategies aided by deep eutectic solvents: A review. Carbohydr. Polym. 2022, 275, 118702. [Google Scholar] [CrossRef]
- Cao, S.-L.; Gu, W.-M.; Ou-Yang, W.-D.; Chen, D.-C.; Yang, B.-Y.; Lai, L.-H.; Wu, Y.-D.; Liu, Y.-J.; Zhu, J.; Chen, W.-J.; et al. Preparation, characterization and application of rod-like chitin nanocrystal by using p-toluenesulfonic acid/choline chloride deep eutectic solvent as a hydrolytic media. Carbohydr. Polym. 2019, 213, 304–310. [Google Scholar] [CrossRef] [PubMed]
- Yuan, Y.; Hong, S.; Lian, H.; Zhang, K.; Liimatainen, H. Comparison of acidic deep eutectic solvents in production of chitin nanocrystals. Carbohydr. Polym. 2020, 236, 116095. [Google Scholar] [CrossRef]
- Fan, Y.; Saito, T.; Isogai, A. Chitin Nanocrystals Prepared by TEMPO-Mediated Oxidation of α-Chitin. Biomacromolecules 2008, 9, 192–198. [Google Scholar] [CrossRef]
- Pang, K.; Ding, B.; Liu, X.; Wu, H.; Duan, Y.; Zhang, J. High-yield preparation of a zwitterionically charged chitin nanofiber and its application in a doubly pH-responsive Pickering emulsion. Green Chem. 2017, 19, 3665–3670. [Google Scholar] [CrossRef]
- Jiang, J.; Ye, W.; Yu, J.; Fan, Y.; Ono, Y.; Saito, T.; Isogai, A. Chitin nanocrystals prepared by oxidation of α-chitin using the O2/laccase/TEMPO system. Carbohydr. Polym. 2018, 189, 178–183. [Google Scholar] [CrossRef] [PubMed]
- Zhang, K.; Sun, P.; Liu, H.; Shang, S.; Song, J.; Wang, D. Extraction and comparison of carboxylated cellulose nanocrystals from bleached sugarcane bagasse pulp using two different oxidation methods. Carbohydr. Polym. 2016, 138, 237–243. [Google Scholar] [CrossRef] [PubMed]
- Oun, A.A.; Rhim, J.-W. Effect of isolation methods of chitin nanocrystals on the properties of chitin-silver hybrid nanoparticles. Carbohydr. Polym. 2018, 197, 349–358. [Google Scholar] [CrossRef]
- Oun, A.A.; Rhim, J.W. Effect of oxidized chitin nanocrystals isolated by ammonium persulfate method on the properties of carboxymethyl cellulose-based films. Carbohydr. Polym. 2017, 175, 712–720. [Google Scholar] [CrossRef] [PubMed]
- Guo, C.; Li, C.; Mu, X.; Kaplan, D.L. Engineering Silk Materials: From Natural Spinning to Artificial Processing. Appl. Phys. Rev. 2020, 7, 011313. [Google Scholar] [CrossRef]
- Lu, Y.; Sun, Q.; She, X.; Xia, Y.; Liu, Y.; Li, J.; Yang, D. Fabrication and characterisation of alpha-chitin nanofibers and highly transparent chitin films by pulsed ultrasonication. Carbohydr. Polym. 2013, 98, 1497–1504. [Google Scholar] [CrossRef] [PubMed]
- Bamba, Y.; Ogawa, Y.; Saito, T.; Berglund, L.A.; Isogai, A. Estimating the Strength of Single Chitin Nanofibrils via Sonication-Induced Fragmentation. Biomacromolecules 2017, 18, 4405–4410. [Google Scholar] [CrossRef] [PubMed]
- Zou, H.; Lin, B.; Xu, C.; Lin, M.; Zhan, W. Preparation and characterization of individual chitin nanofibers with high stability from chitin gels by low-intensity ultrasonication for antibacterial finishing. Cellulose 2017, 25, 999–1010. [Google Scholar] [CrossRef]
- Fan, Y.; Saito, T.; Isogai, A. Preparation of Chitin Nanofibers from Squid Pen β-Chitin by Simple Mechanical Treatment under Acid Conditions. Biomacromolecules 2008, 9, 1919–1923. [Google Scholar] [CrossRef]
- Bai, L.; Huan, S.; Xiang, W.; Liu, L.; Yang, Y.; Nugroho, R.W.N.; Fan, Y.; Rojas, O.J. Self-Assembled Networks of Short and Long Chitin Nanoparticles for Oil/Water Interfacial Superstabilization. ACS Sustain. Chem. Eng. 2019, 7, 6497–6511. [Google Scholar] [CrossRef] [PubMed]
- Salaberria, A.M.; Fernandes, S.C.; Diaz, R.H.; Labidi, J. Processing of alpha-chitin nanofibers by dynamic high pressure homogenization: Characterization and antifungal activity against A. niger. Carbohydr. Polym. 2015, 116, 286–291. [Google Scholar] [CrossRef] [PubMed]
- Salaberria, A.M.; Labidi, J.; Fernandes, S.C.M. Chitin nanocrystals and nanofibers as nano-sized fillers into thermoplastic starch-based biocomposites processed by melt-mixing. Chem. Eng. J. 2014, 256, 356–364. [Google Scholar] [CrossRef]
- Wu, J.; Zhang, K.; Girouard, N.; Meredith, J.C. Facile route to produce chitin nanofibers as precursors for flexible and transparent gas barrier materials. Biomacromolecules 2014, 15, 4614–4620. [Google Scholar] [CrossRef]
- Peng, C.; Xu, J.; Chen, G.; Tian, J.; He, M. The preparation of alpha-chitin nanowhiskers-poly (vinyl alcohol) hydrogels for drug release. Int. J. Biol. Macromol. 2019, 131, 336–342. [Google Scholar] [CrossRef]
- Aklog, Y.F.; Egusa, M.; Kaminaka, H.; Izawa, H.; Morimoto, M.; Saimoto, H.; Ifuku, S. Protein/CaCO3/Chitin Nanofiber Complex Prepared from Crab Shells by Simple Mechanical Treatment and Its Effect on Plant Growth. Int. J. Mol. Sci. 2016, 17, 1600. [Google Scholar] [CrossRef]
- Aklog, Y.F.; Nagae, T.; Izawa, H.; Morimoto, M.; Saimoto, H.; Ifuku, S. Effect of Grinder Pretreatment for Easy Disintegration of Chitin into Nanofiber. J. Nanosci. Nanotechnol. 2017, 17, 5037–5041. [Google Scholar] [CrossRef]
- Ifuku, S.; Nogi, M.; Abe, K.; Yoshioka, M.; Morimoto, M.; Saimoto, H.; Yano, H. Preparation of Chitin Nanofibers with a Uniform Width as r-Chitin from Crab Shells. Biomacromolecules 2009, 10, 1584–1588. [Google Scholar] [CrossRef] [PubMed]
- Riehle, F.; Hoenders, D.; Guo, J.; Eckert, A.; Ifuku, S.; Walther, A. Sustainable Chitin Nanofibrils Provide Outstanding Flame-Retardant Nanopapers. Biomacromolecules 2019, 20, 1098–1108. [Google Scholar] [CrossRef] [PubMed]
- Ifuku, S.; Nomura, R.; Morimoto, M.; Saimoto, H. Preparation of Chitin Nanofibers from Mushrooms. Materials 2011, 4, 1417–1425. [Google Scholar] [CrossRef] [PubMed] [Green Version]
- El Knidri, H.; Belaabed, R.; Addaou, A.; Laajeb, A.; Lahsini, A. Extraction, chemical modification and characterization of chitin and chitosan. Int. J. Biol. Macromol. 2018, 120, 1181–1189. [Google Scholar] [CrossRef] [PubMed]
- Benhabiles, M.S.; Salah, R.; Lounici, H.; Drouiche, N.; Goosen, M.F.A.; Mameri, N. Antibacterial activity of chitin, chitosan and its oligomers prepared from shrimp shell waste. Food Hydrocoll. 2012, 29, 48–56. [Google Scholar] [CrossRef]
- Sathiyabama, M.; Parthasarathy, R. Biological preparation of chitosan nanoparticles and its in vitro antifungal efficacy against some phytopathogenic fungi. Carbohydr. Polym. 2016, 151, 321–325. [Google Scholar] [CrossRef] [PubMed]
- Phongying, S.; Aiba, S.-I.; Chirachanchai, S. Direct chitosan nanoscaffold formation via chitin whiskers. Polymer 2007, 48, 393–400. [Google Scholar] [CrossRef]
- Pereira, A.G.; Muniz, E.C.; Hsieh, Y.L. Chitosan-sheath and chitin-core nanowhiskers. Carbohydr. Polym. 2014, 107, 158–166. [Google Scholar] [CrossRef] [Green Version]
- Pereira, A.G.; Muniz, E.C.; Hsieh, Y.L. (1)H NMR and (1)H-(13)C HSQC surface characterization of chitosan-chitin sheath-core nanowhiskers. Carbohydr. Polym. 2015, 123, 46–52. [Google Scholar] [CrossRef] [Green Version]
- Jin, T.; Kurdyla, D.; Hrapovic, S.; Leung, A.C.W.; Regnier, S.; Liu, Y.; Moores, A.; Lam, E. Carboxylated Chitosan Nanocrystals: A Synthetic Route and Application as Superior Support for Gold-Catalyzed Reactions. Biomacromolecules 2020, 21, 2236–2245. [Google Scholar] [CrossRef] [PubMed]
- Jin, T.; Liu, T.; Jiang, S.; Kurdyla, D.; Klein, B.A.; Michaelis, V.K.; Lam, E.; Li, J.; Moores, A. Chitosan nanocrystals synthesis via aging and application towards alginate hydrogels for sustainable drug release. Green Chem. 2021, 23, 6527–6537. [Google Scholar] [CrossRef]
- Huang, Y.; He, M.; Lu, A.; Zhou, W.; Stoyanov, S.D.; Pelan, E.G.; Zhang, L. Hydrophobic modification of chitin whisker and its potential application in structuring oil. Langmuir 2015, 31, 1641–1648. [Google Scholar] [CrossRef] [PubMed]
- Ou, X.; Cai, J.; Tian, J.; Luo, B.; Liu, M. Superamphiphobic Surfaces with Self-Cleaning and Antifouling Properties by Functionalized Chitin Nanocrystals. ACS Sustain. Chem. Eng. 2020, 8, 6690–6699. [Google Scholar] [CrossRef]
- Nair, K.G.; Dufresne, A. Crab Shell Chitin Whiskers Reinforced Natural Rubber Nanocomposites. 3. Effect of Chemical Modification of Chitin Whiskers. Biomacromolecules 2003, 4, 1835–1842. [Google Scholar] [CrossRef] [PubMed]
- Li, J.; Wang, Y.; Wang, Z.; Wang, J.; Wu, D. Surface chain engineering of chitin nanocrystals towards tailoring the nucleating capacities for poly(β-hydroxybutyrate). Int. J. Biol. Macromol. 2021, 166, 967–976. [Google Scholar] [CrossRef]
- Salaberria, A.M.; Diaz, R.H.; Andrés, M.A.; Fernandes, S.C.M.; Labidi, J. The Antifungal Activity of Functionalized Chitin Nanocrystals in Poly (Lactid Acid) Films. Materials 2017, 10, 546. [Google Scholar] [CrossRef] [Green Version]
- Ifuku, S.; Hori, T.; Izawa, H.; Morimoto, M.; Saimoto, H. Preparation of zwitterionically charged nanocrystals by surface TEMPO-mediated oxidation and partial deacetylation of alpha-chitin. Carbohydr. Polym. 2015, 122, 1–4. [Google Scholar] [CrossRef]
- Zhou, J.; Butchosa, N.; Jayawardena, H.S.N.; Zhou, Q.; Yan, M.; Ramström, O. Glycan-Functionalized Fluorescent Chitin Nanocrystals for Biorecognition Applications. Bioconjugate Chem. 2014, 25, 640–643. [Google Scholar] [CrossRef]
- Wang, Y.; Zhu, L.; You, J.; Chen, F.; Zong, L.; Yan, X.; Li, C. Catecholic Coating and Silver Hybridization of Chitin Nanocrystals for Ultrafiltration Membrane with Continuous Flow Catalysis and Gold Recovery. ACS Sustain. Chem. Eng. 2017, 5, 10673–10681. [Google Scholar] [CrossRef]
- Ifuku, S.; Nogi, M.; Yoshioka, M.; Morimoto, M.; Yano, H.; Saimoto, H. Fibrillation of dried chitin into 10–20nm nanofibers by a simple grinding method under acidic conditions. Carbohydr. Polym. 2010, 81, 134–139. [Google Scholar] [CrossRef]
- Ifuku, S.; Morooka, S.; Nakagaito, A.N.; Morimoto, M.; Saimoto, H. Preparation and characterization of optically transparent chitin nanofiber/(meth)acrylic resin composites. Green Chem. 2011, 13, 1708. [Google Scholar] [CrossRef]
- Ifuku, S.; Morooka, S.; Morimoto, M.; Saimoto, H. Acetylation of Chitin Nanofibers and their Transparent Nanocomposite Films. Biomacromolecules 2010, 11, 1326–1330. [Google Scholar] [CrossRef]
- Shams, M.I.; Ifuku, S.; Nogi, M.; Oku, T.; Yano, H. Fabrication of optically transparent chitin nanocomposites. Appl. Phys. A 2011, 102, 325–331. [Google Scholar] [CrossRef]
- Zhong, T.; Wolcott, M.P.; Liu, H.; Wang, J. Developing chitin nanocrystals for flexible packaging coatings. Carbohydr. Polym. 2019, 226, 115276. [Google Scholar] [CrossRef] [PubMed]
- Wang, J.; Wang, Z.; Li, J.; Wang, B.; Liu, J.; Chen, P.; Miao, M.; Gu, Q. Chitin nanocrystals grafted with poly(3-hydroxybutyrate-co-3-hydroxyvalerate) and their effects on thermal behavior of PHBV. Carbohydr. Polym. 2012, 87, 784–789. [Google Scholar] [CrossRef] [PubMed]
- Wang, B.; Li, J.; Zhang, J.; Li, H.; Chen, P.; Gu, Q.; Wang, Z. Thermo-mechanical properties of the composite made of poly (3-hydroxybutyrate-co-3-hydroxyvalerate) and acetylated chitin nanocrystals. Carbohydr. Polym. 2013, 95, 100–106. [Google Scholar] [CrossRef]
- Wu, C.; Sun, J.; Chen, M.; Ge, Y.; Ma, J.; Hu, Y.; Pang, J.; Yan, Z. Effect of oxidized chitin nanocrystals and curcumin into chitosan films for seafood freshness monitoring. Food Hydrocoll. 2019, 95, 308–317. [Google Scholar] [CrossRef]
- Fernández-Marín, R.; Fernandes, S.C.M.; Sánchez, M.Á.A.; Labidi, J. Halochromic and antioxidant capacity of smart films of chitosan/chitin nanocrystals with curcuma oil and anthocyanins. Food Hydrocoll. 2022, 123, 107119. [Google Scholar] [CrossRef]
- Ifuku, S.; Ikuta, A.; Egusa, M.; Kaminaka, H.; Izawa, H.; Morimoto, M.; Saimoto, H. Preparation of high-strength transparent chitosan film reinforced with surface-deacetylated chitin nanofibers. Carbohydr. Polym. 2013, 98, 1198–1202. [Google Scholar] [CrossRef]
- Ifuku, S.; Ikuta, A.; Izawa, H.; Morimoto, M.; Saimoto, H. Control of mechanical properties of chitin nanofiber film using glycerol without losing its characteristics. Carbohydr. Polym. 2014, 101, 714–717. [Google Scholar] [CrossRef] [PubMed]
- Naseri, N.; Algan, C.; Jacobs, V.; John, M.; Oksman, K.; Mathew, A.P. Electrospun chitosan-based nanocomposite mats reinforced with chitin nanocrystals for wound dressing. Carbohydr. Polym. 2014, 109, 7–15. [Google Scholar] [CrossRef] [PubMed]
- Satam, C.C.; Irvin, C.W.; Coffey, C.J.; Geran, R.K.; Ibarra-Rivera, R.; Shofner, M.L.; Meredith, J.C. Controlling Barrier and Mechanical Properties of Cellulose Nanocrystals by Blending with Chitin Nanofibers. Biomacromolecules 2020, 21, 545–555. [Google Scholar] [CrossRef]
- Ge, S.; Liu, Q.; Li, M.; Liu, J.; Lu, H.; Li, F.; Zhang, S.; Sun, Q.; Xiong, L. Enhanced mechanical properties and gelling ability of gelatin hydrogels reinforced with chitin whiskers. Food Hydrocoll. 2018, 75, 1–12. [Google Scholar] [CrossRef]
- Pang, J.; Bi, S.; Kong, T.; Luo, X.; Zhou, Z.; Qiu, K.; Huang, L.; Chen, X.; Kong, M. Mechanically and functionally strengthened tissue adhesive of chitin whisker complexed chitosan/dextran derivatives based hydrogel. Carbohydr. Polym. 2020, 237, 116138. [Google Scholar] [CrossRef]
- Shankar, S.; Reddy, J.P.; Rhim, J.W.; Kim, H.Y. Preparation, characterization, and antimicrobial activity of chitin nanofibrils reinforced carrageenan nanocomposite films. Carbohydr. Polym. 2015, 117, 468–475. [Google Scholar] [CrossRef] [PubMed]
- Satam, C.C.; Irvin, C.W.; Lang, A.W.; Jallorina, J.C.R.; Shofner, M.L.; Reynolds, J.R.; Meredith, J.C. Spray-Coated Multilayer Cellulose Nanocrystal—Chitin Nanofiber Films for Barrier Applications. ACS Sustain. Chem. Eng. 2018, 6, 10637–10644. [Google Scholar] [CrossRef]
- Fan, Y.; Fukuzumi, H.; Saito, T.; Isogai, A. Comparative characterization of aqueous dispersions and cast films of different chitin nanowhiskers/nanofibers. Int. J. Biol. Macromol. 2012, 50, 69–76. [Google Scholar] [CrossRef]
- Muzzarelli, R.A.A.; Mehtedi, M.E.; Mattioli-Belmonte, M. Emerging Biomedical Applications of Nano-Chitins and Nano-Chitosans Obtained via Advanced Eco-Friendly Technologies from Marine Resources. Mar. Drugs 2014, 12, 5468–5502. [Google Scholar] [CrossRef] [Green Version]
- De la Fuente-Nunez, C.; Reffuveille, F.; Fernandez, L.; Hancock, R.E. Bacterial biofilm development as a multicellular adaptation: Antibiotic resistance and new therapeutic strategies. Curr. Opin. Microbiol. 2013, 16, 580–589. [Google Scholar] [CrossRef]
- Stoica, P.; Chifiriuc, M.C.; Rapa, M.; Lazăr, V. 1—Overview of biofilm-related problems in medical devices. In Biofilms and Implantable Medical Devices; Deng, Y., Lv, W., Eds.; Woodhead Publishing: Sawston, UK, 2017; pp. 3–23. [Google Scholar] [CrossRef]
- Arciola, C.R.; Campoccia, D.; Montanaro, L. Implant infections: Adhesion, biofilm formation and immune evasion. Nat. Rev. Microbiol. 2018, 16, 397–409. [Google Scholar] [CrossRef] [PubMed]
- Malhotra, B.; Keshwani, A.; Kharkwal, H. Antimicrobial food packaging: Potential and pitfalls. Front. Microbiol. 2015, 6, 611. [Google Scholar] [CrossRef] [PubMed] [Green Version]
- Fierascu, R.C.; Fierascu, I.; Chican, I.E. Natural Ingredients in Functional Coatings—Recent Advances and Future Challenges. Coatings 2021, 11, 429. [Google Scholar] [CrossRef]
- Aranaz, I.; Acosta, N.; Civera, C.; Elorza, B.; Mingo, J.; Castro, C.; Gandia, M.L.L.; Heras Caballero, A. Cosmetics and Cosmeceutical Applications of Chitin, Chitosan and Their Derivatives. Polymers 2018, 10, 213. [Google Scholar] [CrossRef] [Green Version]
- Tran, T.H.; Nguyen, H.L.; Hwang, D.S.; Lee, J.Y.; Cha, H.G.; Koo, J.M.; Hwang, S.Y.; Park, J.; Oh, D.X. Five different chitin nanomaterials from identical source with different advantageous functions and performances. Carbohydr. Polym. 2019, 205, 392–400. [Google Scholar] [CrossRef]
- Biji, K.B.; Ravishankar, C.N.; Mohan, C.O.; Srinivasa Gopal, T.K. Smart packaging systems for food applications: A review. J. Food Sci. Technol. 2015, 52, 6125–6135. [Google Scholar] [CrossRef]
- Nguyen, H.L.; Tran, T.H.; Hao, L.T.; Jeon, H.; Koo, J.M.; Shin, G.; Hwang, D.S.; Hwang, S.Y.; Park, J.; Oh, D.X. Biorenewable, transparent, and oxygen/moisture barrier nanocellulose/nanochitin-based coating on polypropylene for food packaging applications. Carbohydr. Polym. 2021, 271, 118421. [Google Scholar] [CrossRef]
- Kim, T.; Tran, T.H.; Hwang, S.Y.; Park, J.; Oh, D.X.; Kim, B.S. Crab-on-a-Tree: All Biorenewable, Optical and Radio Frequency Transparent Barrier Nanocoating for Food Packaging. ACS Nano 2019, 13, 3796–3805. [Google Scholar] [CrossRef]
- Jalvo, B.; Mathew, A.P.; Rosal, R. Coaxial poly(lactic acid) electrospun composite membranes incorporating cellulose and chitin nanocrystals. J. Membr. Sci. 2017, 544, 261–271. [Google Scholar] [CrossRef]
- Jalvo, B.; Aguilar-Sanchez, A.; Ruiz-Caldas, M.X.; Mathew, A.P. Water Filtration Membranes Based on Non-Woven Cellulose Fabrics: Effect of Nanopolysaccharide Coatings on Selective Particle Rejection, Antifouling, and Antibacterial Properties. Nanomaterials 2021, 11, 1752. [Google Scholar] [CrossRef]
- Goetz, L.A.; Jalvo, B.; Rosal, R.; Mathew, A.P. Superhydrophilic anti-fouling electrospun cellulose acetate membranes coated with chitin nanocrystals for water filtration. J. Membr. Sci. 2016, 510, 238–248. [Google Scholar] [CrossRef]
- Qin, A.; Li, X.; Zhao, X.; Liu, D.; He, C. Preparation and characterization of nano-chitin whisker reinforced PVDF membrane with excellent antifouling property. J. Membr. Sci. 2015, 480, 1–10. [Google Scholar] [CrossRef]
- Echeverria, C.; Torres, M.T.; Fernandez-Garcia, M.; de la Fuente-Nunez, C.; Munoz-Bonilla, A. Physical methods for controlling bacterial colonization on polymer surfaces. Biotechnol. Adv. 2020, 43, 107586. [Google Scholar] [CrossRef] [PubMed]
- Nguyen, V.Q.; Ishihara, M.; Kinoda, J.; Hattori, H.; Nakamura, S.; Ono, T.; Miyahira, Y.; Matsu, T. Development of antimicrobial biomaterials produced from chitin-nanofiber sheet/silver nanoparticle composites. J. Nanobiotechnol. 2014, 12, 49. [Google Scholar] [CrossRef] [PubMed] [Green Version]
- Villanueva, M.E.; Salinas, A.; Díaz, L.E.; Copello, G.J. Chitin nanowhiskers as alternative antimicrobial controlled release carriers. New J. Chem. 2015, 39, 614–620. [Google Scholar] [CrossRef]
- Pang, B.; Liu, H.; Zhang, K. Recent progress on Pickering emulsions stabilized by polysaccharides-based micro/nanoparticles. Adv. Colloid Interface Sci. 2021, 296, 102522. [Google Scholar] [CrossRef]
- Ben Cheikh, F.; Mabrouk, A.B.; Magnin, A.; Putaux, J.L.; Boufi, S. Chitin nanocrystals as Pickering stabilizer for O/W emulsions: Effect of the oil chemical structure on the emulsion properties. Colloids Surf. B Biointerfaces 2021, 200, 111604. [Google Scholar] [CrossRef] [PubMed]
- Watanabe, R.; Izaki, K.; Yamamoto, K.; Kadokawa, J.-I. Preparation of Nanochitin/Polystyrene Composite Particles by Pickering Emulsion Polymerization Using Scaled-Down Chitin Nanofibers. Coatings 2021, 11, 672. [Google Scholar] [CrossRef]
- Ben Cheikh, F.; Ben Mabrouk, A.; Magnin, A.; Lancelon-Pin, C.; Putaux, J.L.; Boufi, S. Honeycomb Organization of Chitin Nanocrystals (ChNCs) in Nanocomposite Films of UV-Cured Waterborne Acrylated Epoxidized Soybean Oil Emulsified with ChNCs. Biomacromolecules 2021, 22, 3780–3790. [Google Scholar] [CrossRef]
- Jimenez-Saelices, C.; Trongsatitkul, T.; Lourdin, D.; Capron, I. Chitin Pickering Emulsion for Oil Inclusion in Composite Films. Carbohydr. Polym. 2020, 242, 116366. [Google Scholar] [CrossRef]
- Maeda, Y.; Jayakumar, R.; Nagahama, H.; Furuike, T.; Tamura, H. Synthesis, characterization and bioactivity studies of novel beta-chitin scaffolds for tissue-engineering applications. Int. J. Biol. Macromol. 2008, 42, 463–467. [Google Scholar] [CrossRef]
- Liu, M.; Zheng, H.; Chen, J.; Li, S.; Huang, J.; Zhou, C. Chitosan-chitin nanocrystal composite scaffolds for tissue engineering. Carbohydr. Polym. 2016, 152, 832–840. [Google Scholar] [CrossRef] [PubMed]
- Li, H.-Y.; Li, H.; Wang, B.-J.; Gu, Q.; Jiang, Z.-Q.; Wu, X.-D. Synthesis and properties of poly(3-hydroxybutyrate-co-3-hydroxyvalerate)/chitin nanocrystals composite scaffolds for tissue engineering. Chin. Chem. Lett. 2014, 25, 1635–1638. [Google Scholar] [CrossRef]
- Wongpanit, P.; Sanchavanakit, N.; Pavasant, P.; Bunaprasert, T.; Tabata, Y.; Rujiravanit, R. Preparation and characterization of chitin whisker-reinforced silk fibroin nanocomposite sponges. Eur. Polym. J. 2007, 43, 4123–4135. [Google Scholar] [CrossRef]
- Ito, I.; Osaki, T.; Ifuku, S.; Saimoto, H.; Takamori, Y.; Kurozumi, S.; Imagawa, T.; Azuma, K.; Tsuka, T.; Okamoto, Y.; et al. Evaluation of the effects of chitin nanofibrils on skin function using skin models. Carbohydr. Polym. 2014, 101, 464–470. [Google Scholar] [CrossRef]
- Hariraksapitak, P.; Supaphol, P. Preparation and properties of α-chitin-whisker-reinforced hyaluronan-gelatin nanocomposite scaffolds. J. Appl. Polym. Sci. 2010, 117, 3406–3418. [Google Scholar] [CrossRef]
- Torres-Rendon, J.G.; Femmer, T.; De Laporte, L.; Tigges, T.; Rahimi, K.; Gremse, F.; Zafarnia, S.; Lederle, W.; Ifuku, S.; Wessling, M.; et al. Bioactive gyroid scaffolds formed by sacrificial templating of nanocellulose and nanochitin hydrogels as instructive platforms for biomimetic tissue engineering. Adv. Mater. 2015, 27, 2989–2995. [Google Scholar] [CrossRef]
- Howling, G.I.; Dettmar, P.W.; Goddard, P.A.; Hampson, F.C.; Dornish, M.; Wood, E.J. The effect of chitin and chitosan on the proliferation of human skin fibroblasts and keratinocytes in vitro. Biomaterials 2001, 22, 2959–2966. [Google Scholar] [CrossRef]
- Suzuki, S.; Teramoto, Y. Simple Inkjet Process To Fabricate Microstructures of Chitinous Nanocrystals for Cell Patterning. Biomacromolecules 2017, 18, 1993–1999. [Google Scholar] [CrossRef]
- Lee, S.B.; Kim, Y.H.; Chong, M.S.; Lee, Y.M. Preparation and characteristics of hybrid scaffolds composed of beta-chitin and collagen. Biomaterials 2004, 25, 2309–2317. [Google Scholar] [CrossRef]
- Liu, H.; Feng, Y.; Cao, X.; Luo, B.; Liu, M. Chitin Nanocrystals as an Eco-friendly and Strong Anisotropic Adhesive. ACS Appl. Mater. Interfaces 2021, 13, 11356–11368. [Google Scholar] [CrossRef]
- Xu, Y.; Liang, K.; Ullah, W.; Ji, Y.; Ma, J. Chitin nanocrystal enhanced wet adhesion performance of mussel-inspired citrate-based soft-tissue adhesive. Carbohydr. Polym. 2018, 190, 324–330. [Google Scholar] [CrossRef]
Publisher’s Note: MDPI stays neutral with regard to jurisdictional claims in published maps and institutional affiliations. |
© 2022 by the authors. Licensee MDPI, Basel, Switzerland. This article is an open access article distributed under the terms and conditions of the Creative Commons Attribution (CC BY) license (https://creativecommons.org/licenses/by/4.0/).





