Abstract
In the present work, a series of Sm3+ doped transparent strontium aluminate glasses with the composition Al2O3-(3-x)SrO: xSm3+ (x = 0, 0.01, 0.03, 0.06, 0.1, 0.2) were fabricated by a containerless process using an aerodynamic levitation furnace. The structural characteristics, density, Vicker’s hardness, and thermal and spectroscopic behaviors of these glasses were investigated. All the glasses exhibit excellent thermal stabilities (Tg ≥ 792 °C) and the glass-forming ability is enhanced with the increasing content of Sm3+. The emission spectra recorded under an excitation of 404 nm show four emission transitions as a result of 4G5/2 translated to the lower states of 6H5/2, 6H7/2, 6H9/2, and 6H11/2, and a bright orange-reddish luminescence can be observed in Al2O3-(3-x)SrO: xSm3+ glasses. The high thermal stability, good glass-forming ability and excellent hardness provide new options for the development of visible orange-reddish lasers and smart photoluminescent glass coating materials.
1. Introduction
Oxide glasses containing luminescent rare-earth (RE) ions have been widely investigated due to their excellent photoluminescence properties, outstanding optical properties and high thermal and chemical stabilities. Numerous applications as functional photonic devices [1,2,3] and smart glass coating materials [4,5] have been carried out in these glasses. However, the spectroscopic properties of RE ions in these glasses are susceptible to the surrounding environment and the distribution of ions doped in the glassy matrix [6]. Aluminate-based materials have been widely concerned for their high stability, quantum efficiency, high transparency in the UV-Vis range and decent mechanical property [4,5,7,8,9]. Studies have shown that the presence of alkaline earth is of great benefit to the chemical resistance of the glass substrate [10], and alkaline earth aluminate-based luminescent materials have been extensively applied as host materials. It was noticed that the Al2O3-SrO system can form solid solutions with various metal oxides, which results in certain modifications in crystal structure and optical properties [11]. Therefore, in-depth study of RE-doped Al2O3-SrO glassy systems would promote the understanding of its multifunctional properties, such as the thermal, mechanical and optical properties.
Sm3+ is well known as an important rare earth activator that exhibits unique properties, such as strong reddish-orange emission due to its 4G5/2 → 6HJ (J = 5/2, 7/2, 9/2, 11/2) transition, high quantum and luminescence efficiencies. Sm3+ ions doped glasses, such as single alkali and mixed alkali fluoro tungsten tellurite glasses [12], sodiumfluoro-phosphate glasses [13], Li2O-MO-B2O3 (M = Mg/Ca/Sr/Ba) glasses [14], lead fluoro-borophosphate glasses [15], borate glasses [16], etc., have been investigated for decades to explore their structural, spectroscopic and luminescent properties. Numerous applications of Sm3+ doped glasses in the field of visible solid state lasers, optical memory devices, submarine communication and display devices have been developed [17,18,19]. Predictably, the introduction of Sm3+ ions into the Al2O3-SrO glassy system is of great significance for developing new optical devices with specific utility and enhanced performance.
In this work, we focused on Sm3+ doped Al2O3-SrO glasses to explore the effect of samarium concentration on the structural, mechanical and thermal stability, as well as the absorption and emission spectra of these glasses. The difference between the crystallization temperature Tx and glass transition temperature Tg (i.e., ΔT) was measured to evaluate the glass-forming ability. Additionally, the nephelauxetic effect β and bonding parameters δ were analyzed from the absorption spectral features, from which the nature of Sm3+-ligand bond in the glass can be identified. Moreover, based on the emission spectra, the 4G5/2 → 6H7/2 (607 nm) transition exhibits the maximum intensity, indicating that the Sm3+ doped Al2O3-SrO glasses (namely Al2O3-(3-x)SrO: xSm3+ glasses) show a bright orange-reddish emission under an UV source. In addition, a moderate amount of Sm3+ doping can enhance the Vicker’s hardness (with a value of 7.03 GPa) and thermal stability (with high Tg values of over 792 °C) of these glasses, which provide more options for the manufacture of novel visible orange-reddish lasers and smart photoluminescent glass coatings.
2. Experimental Procedure
Sm3+ doped Al2O3-(3-x)SrO: xSm3+(x = 0, 0.01, 0.03, 0.06, 0.1, 0.2) luminescent glasses were successfully prepared by a containerless process using an aerodynamic levitation furnace (ALF, Shanghai Institute of Ceramics, Shanghai, China). Stoichiometric amounts of high purity (>99.9%) raw materials of Al2O3, SrO and Sm2O3 (China New Metal Materials Technology Co., Ltd., Beijing, China) were milled for two hours with ZrO balls using alcohol as a medium. The speed of the ball mill is 200 rpm, and the quality of the ball mill is about 5 times that of the raw material. After being blended well, the mixture of about 1 g was compacted into disks of diameter 10 mm, melted by a CO2 laser device (ALF, Shanghai Institute of Ceramics, Shanghai, China) and levitated by oxygen gas flow. The samples were kept in a molten state for ~20 s to ensure homogenization. Then, the melts were rapidly cooled down to room temperature by shutting off the laser power, and transparent glassy-spheres with a diameter of approximately 2–4 mm were obtained. Part of the glassy spheres were carefully polished into disks for structural and performance analyses.
The structures of the samples were examined by X-ray diffraction (XRD, Smartlab, Rigaku D/MAX/2500/PC, Tokyo, Japan) analysis. A high-resolution TEM (HRTEM) image and the electron diffraction pattern were observed by transmission electron microscopy (TEM, Tecnai G2 F20, FEI, Phoenix, AZ, USA). Bulk densities of the glasses were measured by the Archimedes method. Vicker’s hardness was tested for each sample via a digital hardness tester (MHV-50Z/V2.0, Sctmc, Beijing, China) equipped with a Vickers indenter with an applied load of 500 g for 10 s. Differential thermal analysis (DTA) was obtained by using an Evolution system (Setsys, Setaram, Lyon, France) at a heating rate of 10 °C/min in the temperature range of 600 °C to 1000 °C in an argon atmosphere. Optical absorption spectra in the wavelength range of 300–1800 nm were detected by an UV-Vis spectrometer (Cary5000, Varian, Palo Alto, CA, USA). The luminescence properties and fluorescence decay curves were measured by fluorescence spectrofluorometers (F-7000, Hitachi, Tokyo, Japan, and F-7100, Hitachi, Tokyo, Japan, respectively).
3. Results and Discussion
3.1. Structural Properties
Considering the similar structural characteristics of Al2O3-(3-x)SrO: xSm3+ glasses, typical XRD patterns of selective x = 0, 0.06 and 0.2 are shown in Figure 1. It can be seen that each sample exhibits a broad diffusive diffraction peak centered at 2θ ≈ 31°, indicating the amorphous nature of Al2O3-(3-x)SrO: xSm3+ glasses. In order to obtain a high-resolution image and further confirm the structural characteristics, the HRTEM micrograph and the corresponding electron diffraction pattern of a randomly selected composition of x = 0.03 are captured and shown in Figure 2. It is observed that no significant grains, second phases or residual pores are detected in Figure 2a and only a broad diffuse halo is presented in Figure 2b, which further confirms the complete glassy state of Al2O3-(3-x)SrO: xSm3+ samples. These results suggest that uniform transparent Al2O3-(3-x)SrO: xSm3+ glasses could be successfully prepared by a containerless process.
Figure 1.
XRD patterns of Al2O3-(3-x)SrO: xSm3+ (x = 0, 0.06, 0.2) glasses.
Figure 2.
(a) HRTEM micrograph; (b) the electron diffraction pattern of Al2O3-(3-x)SrO: xSm3+ glass with x = 0.03.
3.2. Density and Vicker’s Hardness
Figure 3 depicts the Vicker’s hardness and density (ρ) of Al2O3-(3-x)SrO: xSm3+ glasses. Both Vicker’s hardness and density of the as-prepared glasses increased with rising Sm3+ content, with values from 5.01 to 7.03 GPa and 3.99 to 4.12 g/cm3 for x = 0 to 0.2, respectively. The density of Sm2O3 (8.35 g/cm3) is larger than the SrO (4.70 g/cm3), content, and hence, the substitution of the lighter SrO by the heavier Sm2O3 can lead to an increase in density. In addition, the ionic radius of Sm3+ (96 pm) is slightly smaller than Sr2+ (118 pm). The replacement of Sr2+ ions by Sm3+ ions decreases the spatial distance between ions, which is inversely proportional to hardness [20] and results in the rise of Vicker’s hardness. The highest value of Vicker’s hardness is 7.03 GPa for x = 0.2, which is larger than the reported Sm3+ doped oxide glasses [21] and exhibits good potential for mechanical applications.
Figure 3.
Vicker’s hardness and density of Al2O3-(3-x)SrO: xSm3+(x = 0, 0.01, 0.03, 0.06, 0.1, 0.2) glasses. The inset photo shows transparent samples of three randomly selected components with x = 0, 0.06, 0.1.
3.3. Thermal Properties
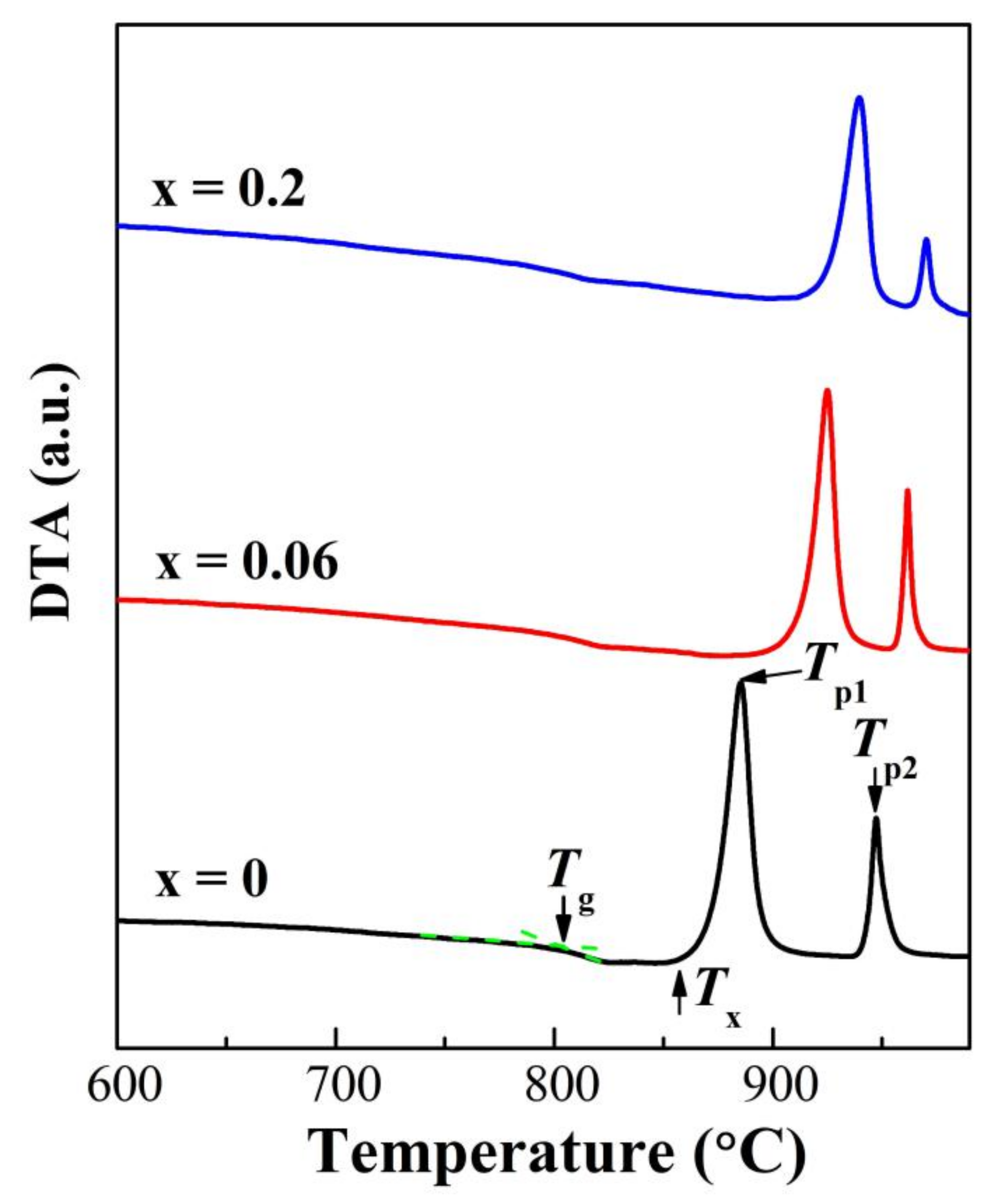
Thermal stability determines the service conditions of glasses. The differential thermal analyses (DTA) curves were measured to study the thermal stability, glass-forming ability and crystallization behavior of Al2O3-(3-x)SrO: xSm3+ (x = 0, 0.01, 0.03, 0.06, 0.1, 0.2) glasses, as shown in Figure 4. The intersection of tangents overlaid across the endothermic peaks is specified as the glass transition temperature Tg, and the exothermic peak is assigned to the crystallization temperature Tp. The detailed Tg, crystallization onset temperature Tx, crystallization temperatures Tp1 and Tp2, as well as the supercooled liquid region ΔT (defined as ΔT = Tx − Tg), are summarized in Table 1. ΔT has been used to evaluate glass-forming ability, and higher values of ΔT correspond to superior glass-forming ability [22,23]. It can be seen that Tg slightly declines with increasing x, as a sign of thermal stability reduction, which suggests that the substitution of Sm2O3 for SrO may weaken the network connectivity of matrix glass. Nevertheless, it can be observed that each Tg of the glasses is still above 792 °C, significantly superior to those Sm3+ doped phosphate-based glasses [24], zinc magnesium sulfophosphate glasses [17] and calcium sulfoborophosphate glasses [25], confirming a higher thermal stability. Meanwhile, Tx tends to increase with rising Sm2O3 content, which leads to the widening of the supercooled liquid region. For instance, ΔT for x = 0, 0.01 and 0.03 are lower than 60 °C, which means the inferior glass-forming ability of these glasses. When the higher content of Sm2O3 is followed, such as x = 0.06, 0.1 and 0.2, the values of ΔT increased significantly and reached 99 °C, 121 °C and 127 °C, respectively. The booming supercooled liquid region ΔT well confirmed the prosperous glass-forming ability when SrO is partially replaced by Sm2O3. Therefore, a suitable amount of Sm2O3 modified Al2O3-SrO glasses exhibit high thermal stability and glass-forming ability, which are of benefit to their applications in coating fields [4].
Figure 4.
DTA curves of Al2O3-(3-x)SrO: xSm3+ (x = 0, 0.06, 0.2) glasses.
Table 1.
Thermal properties, Tg, Tx, Tp1, Tp2 and ΔT of Al2O3-(3-x)SrO: xSm3+ (x = 0, 0.01, 0.03, 0.06, 0.1, 0.2) glasses.
3.4. Absorption Spectra and Nephelauxetic Effect
Figure 5 presents the absorption spectra of Al2O3-(3-x)SrO: xSm3+ (x = 0, 0.01, 0.03, 0.06, 0.1, 0.2) glasses in the UV-Vis-NIR region. In the current investigation, all Sm3+ ions doped glasses exhibit nearly the same absorption spectra, with several inhomogeneous bands corresponding to the characteristic f-f transitions from the ground state 6H5/2 to various excited states. The absorption peaks centered at about 360, 375, 404, 1066, 1214, 1356, 1460 and 1523 nm can be assigned to the 4D3/2, 6P7/2, 6P3/2, 6F9/2, 6F7/2, 6F5/2, 6F3/2 and 6H15/2 transitions, respectively, similar to those reported in other Sm3+ ions doped glasses [26,27]. For the present system, most of the absorption peaks are induced electric dipole contributions with the selection rule ∆J ≤ 6 and a few magnetic dipole transitions followed the selection rule ∆J = 0, ±1. According to Boehm et al. [28], the absorption bands of Sm3+ ion can be divided into two groups: a low-energy group in the NIR region and a high-energy group in the UV-Vis region. The transition 6H5/2 → 6F7/2 seems to be stronger in the NIR region, whereas, in the UV-Vis region, the transition 6H5/2 → 6P3/2 appears to be the most intense compared with other transitions in the UV-Vis and NIR regions.
Figure 5.
The absorption spectra of Al2O3-(3-x)SrO: xSm3+ (x = 0, 0.01, 0.03, 0.06, 0.1, 0.2) glasses.
Generally, the nephelauxetic effect results from the expansion of partially filled f-shells and is used to identify the covalency of the RE-O bond in the host matrix [29,30]. To further confirm the absorption transitions of Sm3+ ions in the as-prepared samples and investigate the nature of Sm3+-ligand bond in the glass, the nephelauxetic ratio β and bonding parameter δ were evaluated. The nephelauxetic ratio is given by the ratio of the observed wave number for a particular absorption transition of the RE3+ ion in the host under investigation (νc in cm−1) to the same transition of the aquoion (νa in cm−1). Then, the bonding parameter δ can be determined from the average nephelauxetic ratio using the following expression [31]:
The δ can be presented as a positive or a negative value and determined by the ligand field environment, thus implying the corresponding covalent or ionic nature of RE3+-ligand bond. The calculated values of and δ for the Al2O3-(3-x)SrO: xSm3+ glasses are shown in Table 2. The negative δ values reflect the ionic nature of the prepared Sm3+-doped glasses and the ionicity gradually decreases with the increase of Sm3+ ions concentration, which indicates that a higher amount of Sm3+ results in altering the dominant form of bonding. A similar ionic bonding nature has also been observed in Sm3+-doped zinc fluorophosphate glasses [32], sodium potassiumborate glasses [27] and zinc alumino bismuth borate glasses [33].
Table 2.
Band positions of observed νc and aqueous solution νa (cm−1), Nephelauxetic effect (β) and bonding parameters (δ) of Al2O3-(3-x)SrO: xSm3+ (x = 0.01, 0.03, 0.06, 0.1, 0.2) glasses.
3.5. Photoluminescence Properties
The excitation spectra are often used to extract the efficient luminescence properties and recognize the higher energy levels of Sm3+ ions. Figure 6 exhibits the photoluminescence excitation spectra of Al2O3-(3-x)SrO: xSm3+ glasses in the region of 300–550 nm under the emission wavelength of 607 nm. The excitation bands arising caused by the f-f transitions of Sm3+ ions are observed at 316, 344, 360, 375, 404, 420, 470 and 488 nm, corresponding to the transitions from the ground state 6H5/2 to4P3/2, 4D7/2, 4D3/2, 6P7/2, 6P3/2, 6P5/2, (4I13/2 + 4I11/2) and 4I9/2, respectively [19,34]. Clearly, the highest intensity of the excitation spectra is the 6H5/2 → 6P3/2 transition centered at 404 nm, which is selected as an excitation source for the measurement of emission spectra.
Figure 6.
Photoluminescence excitation spectra of Al2O3-(3-x)SrO: xSm3+ (x = 0, 0.01, 0.03, 0.06, 0.1, 0.2) glasses under an excitation of 607 nm.
Figure 7 shows the emission spectra of Al2O3-(3-x)SrO: xSm3+ glasses excited at 404 nm (6H5/2 → 6P3/2) within the spectral range 550–750 nm. The emission spectra consist of potential green, orange-reddish and red emission bands centered at 568, 607, 655 and 712 nm. These bands can be assigned to the emission transition 4G5/2 → 6H5/2, 6H7/2, 6H9/2 and 6H11/2, respectively, which are similar to the emission characteristics of the other Sm3+ doped glasses [13,35]. Among these four transitions, the 4G5/2 → 6H7/2 (607 nm) transition exhibits the maximum intensity, indicating that the Sm3+ doped Al2O3-(3-x)SrO: xSm3+ glasses show a bright orange-reddish emission under an UV source. These results are significant for color displays, medical diagnostics and high-density optical data storage [36]. In addition, the photoluminescence intensity relative to 4G5/2 → 6H7/2 transition is found to increase with the rising content of Sm3+ ion up to x = 0.03, and then a luminescence quenching behavior is observed beyond the critical Sm3+ ion concentration of x = 0.03. Generally, the active ions can aggregate with others along with the increasing concentration and result in the cross-relaxation process between Sm3+-Sm3+ ions, leading to emission quenching [15].
Figure 7.
Photoluminescence emission spectra of Al2O3-(3-x)SrO: xSm3+ (x = 0.01, 0.03, 0.06, 0.1, 0.2) glasses (λex = 404 nm).
Information about the decay behaviors and lifetimes of the excited state of rare-earth ions can be provided by analyzing the emission decay curves. The Sm3+ emission decay curves of Al2O3-(3-x)SrO: xSm3+ glasses for 4G5/2 → 6H7/2 (607 nm) transition under 404 nm excitation are displayed in Figure 8. It is noticed that the decay curves deviate from the single exponential law and exhibit non-exponential behavior for all glasses. This non-exponential behavior may be attributed to the energy transfer through cross-relaxation between the Sm3+ ions in different sites [37]. The non-radiative decay rate can be evaluated experimentally by combining the lifetime measurement. Given that the best fit is obtained by using bi-exponential expression for all the decay curves, as follows:
where I is the luminescence intensity at time t, I0 is the initial emission intensity, A1, A2 are scalar constants obtained from the curve fitting, and τ1, τ2 are the lifetimes related to the fast and slow decays. The average values of decay time (τav) of 4G5/2 excited level of Sm3+ ions can be calculated as [37,38]:
Figure 8.
Decay curves and luminescence lifetimes of the 6H7/2 emitting level of Sm3+ ions inAl2O3-(3-x)SrO: xSm3+ (x = 0.01, 0.03, 0.06, 0.1, 0.2) glasses.
The calculated τav values of Sm3+doped Al2O3-(3-x)SrO: xSm3+ glasses are given in the inset of Figure 8. As shown, the τav values are found to be 0.98 (x = 0.01), 0.69 (x = 0.03), 0.35 (x = 0.06), 0.18 (x = 0.1) and 0.02 ms (x = 0.2), which are in the order of milliseconds, corresponding to the characteristics of the f → f transition of samarium ions [39]. The τav value decreases with the rising concentration of Sm3+ ions. Quenching of the 4G5/2 lifetime and the non-exponential nature of the decay curves are the characteristic features for the existence of concentration quenching caused by the energy transfer among Sm3+ ions [40].
Finally, the CIE (Commission Internationale Eclairage 1931) chromaticity diagram of Al2O3-(3-x)SrO: xSm3+ (x = 0.01, 0.03, 0.06, 0.1, 0.2) glasses is calculated and shown in Figure 9 to investigate the dominant emission color. The CIE chromaticity coordinates (x, y) are presented as (0.59, 0.41), (0.60, 0.40), (0.60, 0.40), (0.59, 0.41) and (0.58, 0.42) for x = 0.01, 0.03, 0.06, 0.1 and 0.2 in Al2O3-(3-x)SrO: xSm3+(x = 0.01, 0.03, 0.06, 0.1, 0.2) glasses, respectively, and are located in the orange-reddish region of the visible spectrum. The chromatic color coordinates of the obtained glasses are found to be consistent with other Sm3+ doped glasses [15,27,37].
Figure 9.
CIE chromaticity of Al2O3-(3-x)SrO: xSm3+ glasses.
4. Conclusions
Sm3+ doped Al2O3-(3-x)SrO: xSm3+ (x = 0, 0.01, 0.03, 0.06, 0.1, 0.2) transparent glasses with high mechanical hardness were successfully prepared by a containerless process. The excellent glass-forming ability and thermal stability can be detected in these glasses. Elevating the content of Sm3+ ions augmented the emissions first and then reduced them when x reached 0.03, verifying the concentration quenching effect. A bright orange-reddish luminescence was observed in Al2O3-(3-x)SrO: xSm3+ glasses, indicating that these glasses are promising materials for developing visible orange-reddish lasers and smart photoluminescent coating films.
Author Contributions
Data curation, J.Z.; Formal analysis, X.L.; Funding acquisition, P.L., X.Z. and X.Q.; Investigation, P.L. and X.L.; Methodology, J.Z.; Resources, X.Z.; Writing—original draft, P.L. and X.Q. All authors have read and agreed to the published version of the manuscript.
Funding
This work was financially supported by the National Natural Science Foundation of China (No. 51972048) and the Fundamental Research Funds for the Central Universities (No. N2023010, N2123003).
Institutional Review Board Statement
Not applicable.
Informed Consent Statement
Not applicable.
Data Availability Statement
Data sharing is not applicable to this article.
Conflicts of Interest
The authors declare no conflict of interest.
References
- Roy, J.S.; Messaddeq, Y. Photoluminescence study of Eu3+ doped zinc-tungsten-antimonite glasses for red LED applications. J. Lumin. 2020, 228, 117608. [Google Scholar] [CrossRef]
- Subrahmanyam, T.; Gopal, K.R.; Suvarna, R.P.; Jamalaiah, B.C.; Kumar, M.V.V. Luminescent properties of Tb3+-doped TeO2-WO3-GeO2 glasses for green laser applications. Opt. Mater. 2018, 80, 154–159. [Google Scholar] [CrossRef]
- Lakshminarayana, G.; Baki, S.O.; Lira, A.; Kityk, I.V.; Caldiño, U.; Kaky, K.M.; Mahdi, M.A. Structural, thermal and optical investigations of Dy3+-doped B2O3-WO3-ZnO-Li2O- Na2O glasses for warm white light emitting applications. J. Lumin. 2017, 186, 283–300. [Google Scholar] [CrossRef]
- Khattab, T.A.; Rehan, M.; Shaheen, Y.H.T.I. Facile development of photoluminescent textile fabric via spray coating of Eu (II)-doped strontium aluminate. Ind. Eng. Chem. Res. 2018, 57, 11483–11492. [Google Scholar] [CrossRef]
- Al-Qahtani, S.D.; Binyaseen, A.M.; Aljuhani, E.; Aljohani, M.; Alzahrani, H.K.; Shah, R.; El-Metwaly, N.M. Production of smart nanocomposite for glass coating toward photochromic and long-persistent photoluminescent smart windows. Ceram. Int. 2022, 48, 903–912. [Google Scholar] [CrossRef]
- Mohan, S.; Kaur, S.; Singh, D.P.; Kaur, P. Structural and luminescence properties of samarium doped lead alumino borate glasses. Opt. Mater. 2017, 73, 223–233. [Google Scholar] [CrossRef]
- Chen, L.; Zhang, Z.; Tian, Y.F.; Fei, M.; He, L.R.; Zhang, P.J.; Zhang, W.H. Origin of the red luminescence in Sr3Al2O6: Eu phosphor-from the synergetic effects of Eu2+ and Eu3+. J. Rare Earths 2017, 35, 127–134. [Google Scholar] [CrossRef]
- Zhang, X.Y.; Yang, W.C.; Zhang, J.R.; Li, J.S.; Jiang, L.H.; Qi, X.W. High hardnesses of Tm3+-doped La2O3-Al2O3 luminescent glasses fabricated by containerless solidification. J. Non-Cryst. Solids 2019, 525, 119599. [Google Scholar] [CrossRef]
- Ma, X.G.; Li, X.Y.; Li, J.Q.; Genevois, C.; Ma, B.Q.; Etienne, A.; Wan, C.L.; Véron, E.; Peng, Z.J.; Allix, M. Pressureless glass crystallization of transparent yttrium aluminum garnet-based nanoceramics. Nat. Commun. 2018, 9, 1175. [Google Scholar] [CrossRef] [Green Version]
- Basavapoornima, C.; Linganna, K.; Kesavulu, C.; Ju, S.; Kim, B.; Han, W.-T.; Jayasankar, C. Spectroscopic and pump power dependent upconversion studies of Er3+-doped lead phosphate glasses for photonic applications. J. Alloys Compd. 2017, 699, 959–968. [Google Scholar] [CrossRef]
- Zhang, X.Y.; Zhang, M.; Zhang, J.R.; Li, Y.; Gu, Y.H.; Qi, X.W. Photoluminescence, transmittance and electrical properties of Eu3+-doped Al2O3-SrO glasses synthesized by an aerodynamic levitation technique. J. Lumin. 2019, 206, 79–83. [Google Scholar] [CrossRef]
- Devi, C.B.A.; Swapna, K.; Mahamuda, S.; Venkateswarlu, M.; Prasad, M.V.V.K.S.; Reddy, K.S.R.K.; Deopa, N.; Rao, A.S. Spectroscopic studies and lasing potentialities of Sm3+ ions doped single alkali and mixed alkali fluoro tungstentellurite glasses. Opt. Laser Technol. 2019, 111, 176–183. [Google Scholar] [CrossRef]
- Jlassi, I.; Mnasri, S.; Elhouichet, H. Concentration dependent spectroscopic behavior of Sm3+-doped sodium fluoro-phosphates glasses for orange and reddish-orange light emitting applications. J. Lumin. 2018, 199, 516–527. [Google Scholar] [CrossRef]
- Kirdsiri, K.; Ramakrishna, R.R.; Damdee, B.; Kim, H.J.; Kaewjaeng, S.; Kothan, S.; Kaewkhao, J. Investigations of optical and luminescence features of Sm3+ doped Li2O-MO-B2O3 (M = Mg/Ca/Sr/Ba) glasses mixed with different modifier oxides as an orange light emitting phosphor for WLED’s. J. Alloys Compd. 2018, 749, 197–204. [Google Scholar] [CrossRef]
- Vijayakumar, M.; Marimuthu, K.; Sudarsan, V. Concentration dependent spectroscopic behavior of Sm3+ doped lead fluoro-borophosphate glasses for laser and LED applications. J. Alloys Compd. 2015, 647, 209–220. [Google Scholar] [CrossRef]
- Deopa, N.; Rao, A.S.; Choudhary, A.; Saini, S.; Navhal, A.; Jayasimhadria, M.; Haranath, D.; Prakash, G.V. Photoluminescence investigations on Sm3+ ions doped borate glasses for tricolor w-LEDs and lasers. Mater. Res. Bull. 2018, 100, 206–212. [Google Scholar] [CrossRef]
- Ahmadi, F.; Asgari, A. Spectroscopic investigation of Sm3+ doped sulfophosphate glasses for visible photonic applications. J. Non-Cryst. Solids 2019, 505, 406–413. [Google Scholar] [CrossRef]
- Wang, S.Y.; Zhang, H.B.; Wang, T.; Lv, H.M.; Zou, X.Y.; Wei, Y.L.; Hu, W.H.; Su, C.H. Synthesis and luminescence properties of Sm3+ doped molybdate glass ceramic. J. Alloys Compd. 2020, 823, 153822. [Google Scholar] [CrossRef]
- Rudramamba, K.S.; Reddy, D.V.K.; Rao, T.S.; Taherunnisa, S.K.; Veeraiah, N.; Reddy, M.R. Optical properties of Sm3+ doped strontium bismuth borosilicate glasses for laser applications. Opt. Mater. 2019, 89, 68–79. [Google Scholar] [CrossRef]
- Zhu, M.G.; Wang, L. Study on the relationship between the melting point the hardness of the alkaline earth metal oxide and the electron structure. J. Ningbo Univ. 2004, 17, 482–484. [Google Scholar]
- Prabhu, N.S.; Hegde, V.; Wagh, A.; Sayyed, M.I.; Agar, O.; Kamath, S.D. Physical, structural and optical properties of Sm3+ doped lithium zinc alumino borate glasses. J. Non-Cryst. Solids 2019, 515, 116–124. [Google Scholar] [CrossRef]
- Li, P.F.; Qi, X.W.; Wang, L.M. A comprehensive study of lead telluride (PbTe)-based amorphous alloys: Glass formation and thermoelectric properties. J. Non-Cryst. Solids 2021, 571, 121057. [Google Scholar] [CrossRef]
- Zhang, M.H.; Wen, H.Q.; Pan, X.H.; Yu, J.D.; Shao, H.; Tang, M.B.; Gai, L.J.; Ai, F. Study on novel high refractive index La2O3-Lu2O3-TiO2 glasses prepared by aerodynamic levitation method. Mater. Lett. 2018, 222, 5–7. [Google Scholar] [CrossRef]
- Rasool, S.N.; Moorthy, L.R.; Jayasankar, C.K. Spectroscopic Investigation of Sm3+ doped phosphate based glasses for reddish-orange emission. Opt. Commun. 2013, 311, 156–162. [Google Scholar] [CrossRef]
- Yamusa, Y.A.; Hussin, R.; Shamsuri, W.N.W. Physical, optical and radiative properties of CaSO4-B2O3-P2O5 glasses doped with Sm3+ ions. Chin. J. Phys. 2018, 56, 932–943. [Google Scholar] [CrossRef]
- Mohan, S.; Kaur, S.; Kaur, P.; Singh, D.P. Spectroscopic investigations of Sm3+-doped lead alumino-borate glasses containing zinc, lithium and barium oxides. J. Alloys Compd. 2018, 763, 486–495. [Google Scholar] [CrossRef]
- Shamshad, L.; Ali, N.; Kaewkhao, J.; Rooh, G.; Ahmad, T.; Zaman, F. Luminescence characterization of Sm3+-doped sodium potassium borate glasses for laser application. J. Alloys Compd. 2018, 766, 828–840. [Google Scholar] [CrossRef]
- Boehm, L.; Reisfeld, R.; Spector, N. Optical transitions of Sm3+ in oxide glasses. J. Solid State Chem. 1979, 28, 75–78. [Google Scholar] [CrossRef]
- Jorgensen, C.K. Oxidation Numbers and Oxidation States; Springer Science & Business Media: New York, NY, USA, 1969; Volume 6, pp. 72–140. [Google Scholar]
- Shamshad, L.; Rooh, G.; Kirdsiri, K.; Srisittipokakun, N.; Damdee, B.; Kim, H.J. Photoluminescence and white light generation behavior of lithium gadolinium silicoborate glasses. J. Alloys Compd. 2017, 695, 2347–2355. [Google Scholar] [CrossRef]
- Carnall, W.T.; Fields, P.R.; Rajnak, K. Electronic energy levels in the trivalent lanthanide aquo ions. I. Pr3+, Nd3+, Pm3+, Sm3+, Dy3+, Ho3+, Er3+, Tm3+. J. Chem. Phys. 1968, 49, 4424–4442. [Google Scholar] [CrossRef]
- Sreedhar, V.B.; Basavapoornima, C.; Jayasankar, C.K. Spectroscopic and fluorescence properties of Sm3+ doped zinc fluorophosphate glasses. J. Rare Earths 2014, 32, 918–926. [Google Scholar] [CrossRef]
- Swapna, K.; Mahamuda, S.; Rao, A.S.; Shakya, S.; Sasikala, T.; Haranath, D.; Prakash, G.V. Optical studies of Sm3+ ions doped zinc alumino bismuth borate glasses. Spectrochim. Acta A 2014, 125, 53–60. [Google Scholar] [CrossRef]
- Talewar, R.A.; Mahamuda, S.; Swapna, K.; Venkateswarlu, M.; Rao, A.S. Spectroscopic studies of Sm3+ ions doped alkaline-earth chloro borate glasses for visible photonic applications. Mater. Res. Bull. 2018, 105, 45–54. [Google Scholar] [CrossRef]
- Basavapoornima, C.; Jayasankar, C.K. Spectroscopic and photoluminescence properties of Sm3+ ions in Pb-K-Al-Na phosphate glasses for efficient visible lasers. J. Lumin. 2014, 153, 233–241. [Google Scholar] [CrossRef]
- Liang, X.; Yang, Y.; Zhu, C.; Yuan, S.; Chen, G. Luminescence properties of Tb3+-Sm3+ codoped glasses for white light emitting diodes. Appl. Phys. Lett. 2007, 91, 091104. [Google Scholar] [CrossRef] [Green Version]
- Mariyappan, M.; Arunkumar, S.; Marimuthu, K. Concentration effect on the structural and spectroscopic investigations of Sm3+ ions doped B2O3-Bi2O3-CaF2-Na2O glasses. J. Lumin. 2018, 196, 151–160. [Google Scholar] [CrossRef]
- Suthanthirakumar, P.; Arunkumar, S.; Marimuthu, K. Spectroscopic properties and excited state dynamics of Sm3+ ions in zinc telluro-flfluoroborate glasses. J. Lumin. 2018, 202, 289–300. [Google Scholar] [CrossRef]
- Puchalska, M.; Zych, E. The effffect of charge compensation by means of Na+ ions on the luminescence behavior of Sm3+-doped CaAl4O7 phosphor. J. Lumin. 2012, 132, 826–831. [Google Scholar] [CrossRef]
- Min, X.; Fang, M.H.; Huang, Z.H.; Liu, Y.A.; Tang, C.; Zhu, H.K.; Wu, X.W. Preparation and luminescent properties of orange reddish emitting phosphor LaMgAl11O19:Sm3+. Opt. Mater. 2014, 37, 110–114. [Google Scholar] [CrossRef]
Publisher’s Note: MDPI stays neutral with regard to jurisdictional claims in published maps and institutional affiliations. |
© 2021 by the authors. Licensee MDPI, Basel, Switzerland. This article is an open access article distributed under the terms and conditions of the Creative Commons Attribution (CC BY) license (https://creativecommons.org/licenses/by/4.0/).








