Evaluation of Biotechnological Active Peptides Secreted by Saccharomyces cerevisiae with Potential Skin Benefits
Abstract
1. Introduction
2. Results
2.1. Antimicrobial Activity of the S. cerevisiae Peptides (2–10 kDa) against Dermal Pathogens
2.1.1. Determination of Minimum Inhibitory Concentration (MIC)
2.1.2. Peptides (2–10 kDa) Potential Preservative Effect
Physicochemical and Microbiological Analysis
Evaluation of the Antimicrobial Protection of a Cosmetic Product-Preservation Efficacy Test-Challenge Test (ISO 11930:2019)
2.2. Potential Skin Benefits of the Peptides (2–10 kDa)
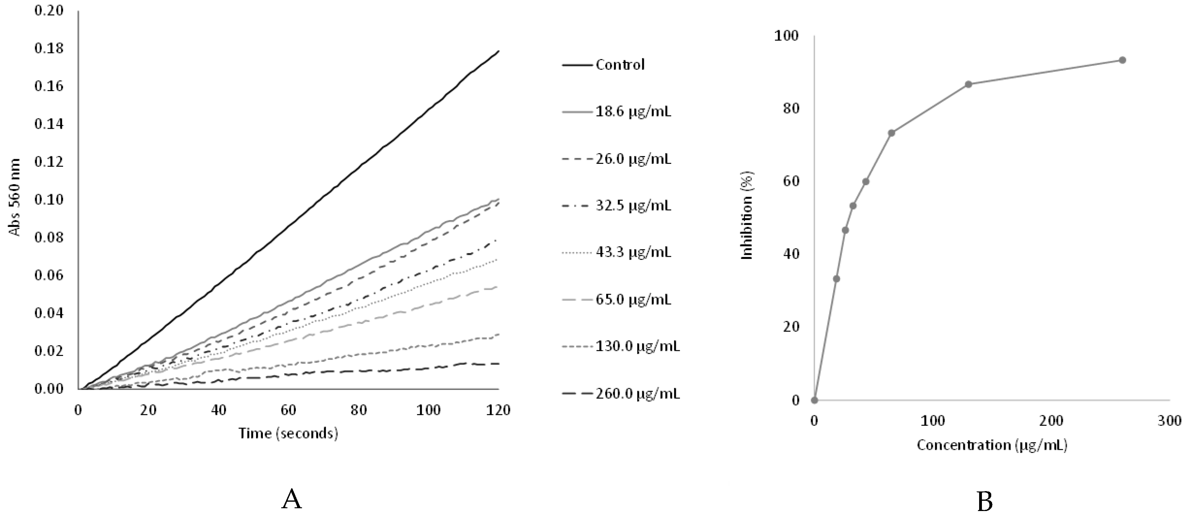
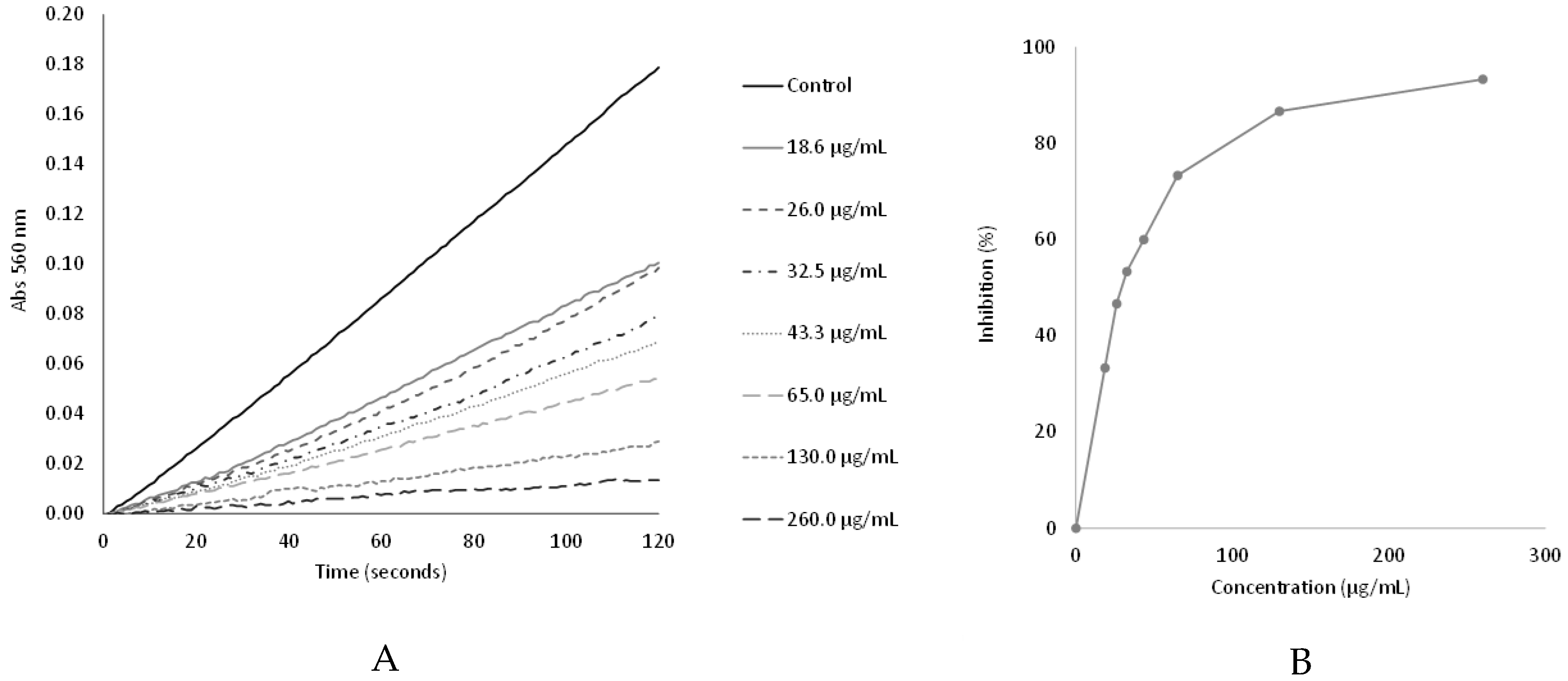
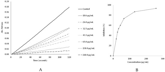
In Vitro Collagenase Inhibition Assay
2.3. The Peptides (2–10 kDa) Cytotoxicity in Dermal Cells
2.4. Analysis of Anti-Inflammatory Effect of Peptide (2–10 kDa)
2.5. Analysis of the Effect of Peptides (2–10 kDa) on Angiogenesis
2.6. Scratch Test
2.7. Superoxide Anion Radical Scavenging Capacity of the Peptides (2–10 kDa)
3. Discussion
4. Materials and Methods
4.1. Production of the Peptides (2–10 kDa)
4.2. High-Performance Liquid Chromatography Analysis
4.3. Microorganisms and Preparation of Inoculum Cultures
4.4. Antimicrobial Activity
Minimum Inhibitory Concentration (MIC)
4.5. Peptides (2–10 kDa) Potential Preservative Effect
4.5.1. Tested Product
4.5.2. Physicochemical and Microbiological Analysis
4.5.3. Evaluation of the Antimicrobial Protection of a Cosmetic Product-Preservation Efficacy Test-Challenge Test (ISO 11930:2019)
4.6. Potential Skin Benefits of the S. cerevisiae Peptides (2–10 kDa)
In Vitro Collagenase Inhibition Assay
4.7. Cytotoxicity of Peptides (2–10 kDa) in Dermal Cells
4.8. Wound-Healing Assay
4.9. Inflammation Assay
4.10. Endothelial Cell Tube Formation
4.11. Superoxide Anion Radical Scavenging Assay
4.12. Statistical Analysis
5. Conclusions
Supplementary Materials
Author Contributions
Funding
Institutional Review Board Statement
Informed Consent Statement
Data Availability Statement
Acknowledgments
Conflicts of Interest
References
- Alves, A.; Sousa, E.; Kijjoa, A.; Pinto, M. Marine-derived compounds with potential uses as cosmeceutical and nutricosmetics. Molecules 2020, 25, 2536. [Google Scholar] [CrossRef] [PubMed]
- Liu, J.K. Natural products in cosmetics. Nat. Prod. Bioprospect. 2022, 12, 40. [Google Scholar] [CrossRef] [PubMed]
- Darbre, P.D. Environmental oestrogens, cosmetics and breast cancer. Best Pract. Res. Clin. Endocrinol. Metab. 2006, 20, 121–143. [Google Scholar] [CrossRef] [PubMed]
- de Groot, A.C.; Veenstra, M. Formaldehyde-releasers in cosmetics: Relationship to formaldehyde contact allergy. J. Am. Acad. Dermatol. 2010, 62, 60–68. [Google Scholar] [CrossRef] [PubMed]
- Wu, Y.; Choi, M.-H.; Li, J.; Yang, H.; Shin, H.-J. Mushroom Cosmetics: The Present and Future. Cosmetics 2016, 3, 22. [Google Scholar] [CrossRef]
- Gupta, P.L.; Rajput, M.; Oza, T.; Trivedi, U.; Sanghvi, G. Eminence of Microbial Products in Cosmetic Industry. Nat. Prod. Bioprospect. 2019, 9, 267–278. [Google Scholar] [CrossRef]
- Bianchet, R.T.; Vieira Cubas, A.L.; Machado, M.M.; Siegel Moecke, E.H. Applicability of bacterial cellulose in cosmetics—Bibliometric review. Biotechnol. Rep. 2020, 27, e00502. [Google Scholar] [CrossRef]
- Kiki, M.J. Biopigments of Microbial Origin and Their Application in the Cosmetic Industry. Cosmetics 2023, 10, 47. [Google Scholar] [CrossRef]
- Dini, I. The Potential of Algae in the Nutricosmetic Sector. Molecules 2023, 28, 4032. [Google Scholar] [CrossRef]
- Rybczyńska-Tkaczyk, K.; Grenda, A.; Jakubczyk, A.; Kiersnowska, K.; Bik-Małodzińska, M. Natural Compounds with Antimicrobial Properties in Cosmetics. Pathogens 2023, 12, 320. [Google Scholar] [CrossRef]
- Min, M.W.; Kim, C.E.; Chauhan, S.; Park, H.J.; Park, C.S.; Yoo, T.H.; Kang, T.J. Identification of peptide inhibitors of matrix metalloproteinase 1 using an in-house assay system for the enzyme. Enzyme Microb. Technol. 2019, 127, 65–69. [Google Scholar] [CrossRef] [PubMed]
- Ferreira, M.S.; Magalhães, M.C.; Sousa-Lobo, J.M.; Almeida, I.F. Trending Anti-Aging Peptides. Cosmetics 2020, 7, 91. [Google Scholar] [CrossRef]
- Branco, P.; Francisco, D.; Chambon, C.; Hébraud, M.; Arneborg, N.; Almeida, M.G.; Caldeira, J.; Albergaria, H. Identification of novel GAPDH-derived antimicrobial peptides secreted by Saccharomyces cerevisiae and involved in wine microbial interactions. Appl. Microbiol. Biotechnol. 2014, 98, 843–853. [Google Scholar] [CrossRef] [PubMed]
- Branco, P.; Francisco, D.; Monteiro, M.; Almeida, M.G.; Caldeira, J.; Arneborg, N.; Prista, C.; Albergaria, H. Antimicrobial properties and death-inducing mechanisms of saccharomycin, a biocide secreted by Saccharomyces cerevisiae. Appl. Microbiol. Biotechnol. 2017, 101, 159–171. [Google Scholar] [CrossRef] [PubMed]
- Branco, P.; Maurício, E.M.; Costa, A.; Ventura, D.; Roma-Rodrigues, C.; Duarte, M.P.; Fernandes, A.R.; Prista, C. Exploring the Multifaceted Potential of a Peptide Fraction Derived from Saccharomyces cerevisiae Metabolism: Antimicrobial, Antioxidant, Antidiabetic, and Anti-Inflammatory Properties. Antibiotics 2023, 12, 1332. [Google Scholar] [CrossRef]
- Ngoc, L.T.N.; Moon, J.-Y.; Lee, Y.-C. Insights into Bioactive Peptides in Cosmetics. Cosmetics 2023, 10, 111. [Google Scholar] [CrossRef]
- Mirzaei, M.; Mirdamadi, S.; Ehsani, M.; Aminlari, M.; Hosseini, E. Purification and Identification of Antioxidant and ACE-Inhibitory Peptide from Saccharomyces cerevisiae Protein Hydrolysate. J. Funct. Foods 2015, 19, 259–268. [Google Scholar] [CrossRef]
- Ni, H.; Li, L.; Liu, G.; Hu, S. Inhibition Mechanism and Model of an Angiotensin I-Converting Enzyme (ACE)-Inhibitory Hexapeptide from Yeast (Saccharomyces cerevisiae). PLoS ONE 2012, 7, e37077. [Google Scholar] [CrossRef]
- Bhattacharyya, J.; Santhoshkumar, P.; Sharma, K. A peptide sequence-YSGVCHTDLHAWHGDWPLPVK [40–60]-in yeast alcohol dehydrogenase prevents the aggregation of denatured substrate proteins. Biochem. Biophys. Res. Commun. 2003, 307, 1–7. [Google Scholar] [CrossRef]
- Hancock, R.E.W.; Sahl, H.-G. Antimicrobial and host-defense peptides as new anti-infective therapeutic strategies. Nat. Biotechnol. 2006, 24, 1551–1557. [Google Scholar] [CrossRef]
- Mahlapuu, M.; Håkansson, J.; Ringstad, L.; Björn, C. Antimicrobial Peptides: An Emerging Category of Therapeutic Agents. Front. Cell. Infect. Microbiol. 2016, 6, 194. [Google Scholar] [CrossRef] [PubMed]
- Wang, G. Human Antimicrobial Peptides and Proteins. Pharmaceuticals 2014, 7, 545–594. [Google Scholar] [CrossRef] [PubMed]
- Albergaria, H.; Francisco, D.; Gori, K.; Arneborg, N.; Gírio, F. Saccharomyces cerevisiae CCMI 885 secretes peptides that inhibit the growth of some non-Saccharomyces wine-related strains. Appl. Microbiol. Biotechnol. 2010, 86, 965–972. [Google Scholar] [CrossRef] [PubMed]
- Branco, P.; Diniz, M.; Albergaria, H. Evaluation of the Biocontrol Potential of a Commercial Yeast Starter against Fuel-Ethanol Fermentation Contaminants. Fermentation 2022, 8, 233. [Google Scholar] [CrossRef]
- Branco, P.; Kemsawasd, V.; Santos, L.; Diniz, M.; Caldeira, J.; Almeida, M.G.; Arneborg, N.; Albergaria, H. Saccharomyces cerevisiae accumulates GAPDH-derived peptides on its cell surface that induce death of non-Saccharomyces yeasts by cell-to-cell contact. FEMS Microbiol. Ecol. 2017, 93, fix055. [Google Scholar] [CrossRef]
- Wagener, J.; Schneider, J.J.; Baxmann, S.; Kalbacher, H.; Borelli, C.; Nuding, S.; Küchler, R.; Wehkamp, J.; Kaeser, M.D.; Mailänder-Sanchez, D.; et al. A Peptide Derived from the Highly Conserved Protein GAPDH Is Involved in Tissue Protection by Different Antifungal Strategies and Epithelial Immunomodulation. J. Investig. Dermatol. 2013, 133, 144–153. [Google Scholar] [CrossRef]
- Varvaresou, A.; Papageorgiou, S.; Tsirivas, E.; Protopapa, E.; Kintziou, H.; Kefala, V.; Demetzos, C. Self-preserving cosmetics. Int. J. Cosmet. Sci. 2009, 31, 163–175. [Google Scholar] [CrossRef]
- Nielsen, N.H.; Linneberg, A.; Menne, T.; Madsen, F.; Frolund, L.; Dirksen, A.; Jorgensen, T. Allergic contact sensitization in an adult Danish population: Two cross-sectional surveys eight years apart (the Copenhagen Allergy Study). Acta Derm.-Venereol. 2001, 81, 31–34. [Google Scholar] [CrossRef]
- Lundov, M.D.; Moesby, L.; Zachariae, C.; Johansen, J.D. Contamination versus preservation of cosmetics: A review on legislation, usage, infections, and contact allergy. Contact Dermat. 2009, 60, 70–78. [Google Scholar] [CrossRef]
- European Parliament and Council. Regulation (EC) No 1223/2009 of the European Parliament and of the Council of 30 November 2009 on Cosmetic Products. Off. J. Eur. Union 2009, 342, 59–209. [Google Scholar]
- Epstein, H. Cosmetics preservation: Sense and nonsense. Clin. Dermatol. 2006, 24, 551–552. [Google Scholar] [CrossRef] [PubMed]
- Papageorgiou, S.; Varvaresou, A.; Tsirivas, E.; Demetzos, C. New alternatives to cosmetics preservation. J. Cosmet. Sci. 2010, 61, 107. [Google Scholar] [PubMed]
- Maurício, E.; Rosado, C.; Duarte, M.P.; Verissimo, J.; Bom, S.; Vasconcelos, L. Efficiency of Nisin as Preservative in Cosmetics and Topical Products. Cosmetics 2017, 4, 41. [Google Scholar] [CrossRef]
- Manou, I.; Bouillard, L.; Devleeschouwer, M.J.; Barel, A.O. Evaluation of the preservative properties of Thymus vulgaris essential oil in topically applied formulations under a challenge test. J. Appl. Microbiol. 1998, 84, 368–376. [Google Scholar] [CrossRef] [PubMed]
- Moser, C.L.; Meyer, B.K. Comparison of Compendial Antimicrobial Effectiveness Tests: A Review. AAPS PharmSciTech 2011, 12, 222–226. [Google Scholar] [CrossRef]
- ISO 11930:2019; Cosmetics—Microbiology—Evaluation of the Antimicrobial Protection of a Cosmetic Product. International Organization for Standardization: Geneva, Switzerland, 2019.
- Alshehrei, F. Microbiological Quality Assessment of Skin and Body care Cosmetics by using Challenge test. Saudi J. Biol. Sci. 2024, 31, 103965. [Google Scholar] [CrossRef]
- Dao, H.; Lakhani, P.; Police, A.; Kallakunta, V.; Ajjarapu, S.S.; Wu, K.W.; Ponkshe, P.; Repka, M.A.; Narasimha Murthy, S. Microbial Stability of Pharmaceutical and Cosmetic Products. AAPS PharmSciTech 2018, 19, 60–78. [Google Scholar] [CrossRef]
- CLSI. Performance Standards for Antimicrobial Susceptibility Testing; Seventeenth Information Supplement; CLSI Document M100-S17 (M2-A7 and M7-A7); Clinical and Laboratory Standards Institute: Wayne, PA, USA, 2007; Volume 27. [Google Scholar]
- CLSI. Performance Standards for Antifungal Susceptibility Testing of Filamentous Fungi, 3rd ed.; Clinical and Laboratory Standards Institute: Wayne, PA, USA, 2017. [Google Scholar]
- Wong, S.; Street, D.; Delgado, S.I. Recalls of foods and cosmetics due to microbial contamination reported to the US Food and Drug Administration. J. Food Prot. 2000, 63, 1113–1116. [Google Scholar] [CrossRef]
- Ferrarese, L.; Paglia, R.; Ghirardini, A. Bacterial resistance in cosmetics industrial plant: Connected problems and their solution. Ann. Microbiol. 2003, 53, 477–490. [Google Scholar]
- Halla, N.; Fernandes, I.P.; Heleno, S.A.; Costa, P.; Boucherit-Otmani, Z.; Boucherit, K.; Rodrigues, A.E.; Ferreira, I.C.F.R.; Barreiro, M.F. Cosmetics preservation: A review on present strategies. Molecules 2018, 23, 1571. [Google Scholar] [CrossRef]
- Kočevar Glavač, N.; Lunder, M. Preservative efficacy of selected antimicrobials of natural origin in a cosmetic emulsion. Int. J. Cosmet. Sci. 2018, 40, 276–284. [Google Scholar] [CrossRef] [PubMed]
- Arnaoutova, I.; Kleinman, H. In vitro angiogenesis: Endothelial cell tube formation on gelled basement extract. Nat. Protoc. 2010, 5, 628–635. [Google Scholar] [CrossRef] [PubMed]
- Kaplani, K.; Koutsi, S.; Armenis, V.; Skondra, F.G.; Karantzelis, N.; Tsaniras, S.C.; Taraviras, S. Wound healing related agents: Ongoing research and perspectives. Adv. Drug Deliv. Rev. 2018, 129, 242–253. [Google Scholar] [CrossRef] [PubMed]
- Gurtner, G.; Werner, S.; Barrandon, Y.; Longaker, M.T. Wound repair and regeneration. Nature 2008, 453, 314–321. [Google Scholar] [CrossRef]
- Wen, C.; Zhang, J.; Zhang, H.; Duan, Y.; Ma, H. Plant protein-derived antioxidant peptides: Isolation, identification, mechanism of action and application in food systems: A review. Trends Food Sci. Technol. 2020, 105, 308–322. [Google Scholar] [CrossRef]
- Duarte, M.C.T.; Leme, E.E.; Delarmelina, C.; Soares, A.A.; Figueira, G.M.; Sartoratto, A. Activity of essential oils from Brazilian medicinal plants on Escherichia coli. J. Ethnopharmacol. 2007, 111, 197–201. [Google Scholar] [CrossRef]
- Vieitez, I.; Maceiras, L.; Jachmanián, I.; Alborés, S. Antioxidant and antibacterial activity of different extracts from herbs obtained by maceration or supercritical technology. J. Supercrit. Fluids 2018, 133, 58–64. [Google Scholar] [CrossRef]
- Pereira, P.; Mauricio, E.M.; Duarte, M.P.; Lima, K.; Fernandes, A.S.; Bernardo-Gil, G.; Cebola, M.J. Potential of supercritical fluid myrtle extracts as an active ingredient and co-preservative for cosmetic and topical pharmaceutical applications. Sustain. Chem. Pharm. 2022, 28, 100739. [Google Scholar] [CrossRef]
- Kunicka-Styczyńska, A.; Sikora, M.; Kalemba, D. Lavender, tea tree and lemon oils as antimicrobials in washing liquids and soft body balms. Int. J. Cosmet. Sci. 2011, 33, 53–61. [Google Scholar] [CrossRef]
- Patrone, V.; Campana, R.; Vittoria, E.; Baffone, W. In vitro synergistic activities of essential oils and surfactants in combination with cosmetic preservatives against Pseudomonas aeruginosa and Staphylococcus aureus. Curr. Microbiol. 2010, 60, 237–241. [Google Scholar] [CrossRef]
- Bandzerewicz, A.; Gadomska-Gajadhur, A. Into the Tissues: Extracellular Matrix and Its Artificial Substitutes: Cell Signalling Mechanisms. Cells 2022, 11, 914. [Google Scholar] [CrossRef]
- Zhou, H.; Li, W.; Pan, L.; Zhu, T.; Zhou, T.; Xiao, E.; Wei, Q. Human extracellular matrix (ECM)-like collagen and its bioactivity. Regenerative Biomaterials 2024, 11, rbae008. [Google Scholar] [CrossRef]
- Thudium, C.S.; Frederiksen, P.; Karsdal, M.A. Changes in Type VI Collagen Degradation Reflect Clinical Response to Treatment in Rheumatoid Arthritis Patients Treated with Tocilizumab. Arthritis Res. Ther. 2024, 26, 3. [Google Scholar] [CrossRef]
- Brett, D. A Review of Collagen and Collagen-Based Wound Dressings. Wounds 2008, 20, 347–356. [Google Scholar]
- He, T.; Fisher, G.J.; Kim, A.J.; Quan, T. Age-Related Changes in Dermal Collagen Physical Properties in Human Skin. PLoS ONE 2023, 18, e0292791. [Google Scholar] [CrossRef]
- Thring, T.S.; Hili, P.; Naughton, D.P. Anti-collagenase, anti-elastase and anti-oxidant activities of extracts from 21 plants. BMC Complement. Altern. Med. 2009, 9, 27. [Google Scholar] [CrossRef]
- Gruber, J.V.; Smith, D.; Bouldin, L. Personal Care Composition Containing Yeast Extract and Hexapeptide. U.S. Patent Application No. 13/247,689, 28 September 2014. [Google Scholar]
- Vijayakumar, R.; Abd Gani, S.S.; Mohd Mokhtar, N.F. Anti-elastase, anti-collagenase and antimicrobial activities of the underutilized red pitaya peel: An in vitro study for anti-aging applications. Asian J. Pharm. Clin. Res. 2017, 10, 251–255. [Google Scholar] [CrossRef]
- Kang, Y.-A.; Kim, Y.-J.; Jin, S.-K.; Choi, H.-J. Antioxidant, Collagenase Inhibitory, and Antibacterial Effects of Bioactive Peptides Derived from Enzymatic Hydrolysate of Ulva australis. Mar. Drugs 2023, 21, 469. [Google Scholar] [CrossRef]
- Ennaas, N.; Hammami, R.; Gomaa, A.; Bédard, F.; Biron, É.; Subirade, M.; Beaulieu, L.; Fliss, I. Collagencin, an antibacterial peptide from fish collagen: Activity, structure and interaction dynamics with membrane. Biochem. Biophys. Res. Commun. 2016, 473, 642–647. [Google Scholar] [CrossRef]
- Ryu, B.; Qian, Z.J.; Kim, S.K. SHP-1, a novel peptide isolated from seahorse inhibits collagen release through the suppression of collagenases 1 and 3, nitric oxide products regulated by NF-kappaB/p38 kinase. Peptides 2010, 31, 79–87. [Google Scholar] [CrossRef]
- Tottoli, E.M.; Dorati, R.; Genta, I.; Chiesa, E.; Pisani, S.; Conti, B. Skin wound healing process and new emerging technologies for skin wound care and regeneration. Pharmaceutics 2020, 12, 735. [Google Scholar] [CrossRef]
- Eming, S.A.; Martin, P.; Tomic-Canic, M. Wound repair and regeneration: Mechanisms, signaling, and translation. Sci. Transl. Med. 2014, 6, 265sr6. [Google Scholar] [CrossRef]
- Criollo-Mendoza, M.S.; Contreras-Angulo, L.A.; Leyva-López, N.; Gutiérrez-Grijalva, E.P.; Jiménez-Ortega, L.A.; Heredia, J.B. Wound healing properties of natural products: Mechanisms of action. Molecules 2023, 28, 598. [Google Scholar] [CrossRef]
- Halliwell, B. Reactive species and antioxidants. Redox biology is a fundamental theme of aerobic life. Plant Physiol. 2006, 141, 312–322. [Google Scholar] [CrossRef]
- Fujii, J.; Homma, T.; Osaki, T. Superoxide radicals in the execution of cell death. Antioxidants 2022, 11, 501. [Google Scholar] [CrossRef]
- Gulcin, İ. Antioxidants and antioxidant methods: An updated overview. Arch. Toxicol. 2020, 94, 651–715. [Google Scholar] [CrossRef]
- Akbarian, M.; Khani, A.; Eghbalpour, S.; Uversky, V.N. Bioactive peptides: Synthesis, sources, applications, and proposed mechanisms of action. Int. J. Mol. Sci. 2022, 23, 1445. [Google Scholar] [CrossRef]
- Sarbon, N.M.; Badii, F.; Howell, N.K. Purification and characterization of antioxidative peptides derived from chicken skin gelatin hydrolysate. Food Hydrocoll. 2018, 85, 311–320. [Google Scholar] [CrossRef]
- Wang, W.Y.; Zhao, Y.Q.; Zhao, G.X.; Chi, C.F.; Wang, B. Antioxidant peptides from collagen hydrolysate of redlip croaker (Pseudosciaena polyactis) scales: Preparation, characterization, and cytoprotective effects on H2O2-damaged HepG2 cells. Mar. Drugs 2020, 18, 156. [Google Scholar] [CrossRef]
- Tadesse, S.A.; Emire, S.A. Production and processing of antioxidant bioactive peptides: A driving force for the functional food market. Heliyon 2020, 6, e04765. [Google Scholar] [CrossRef]
- ISO 22716:2007; Cosmetics—Good Manufacturing Practices (GMP)—Guidelines on Good Manufacturing Practices. International Organization for Standardization: Geneva, Switzerland, 2007.
- ISO 4316:1977; Surface Active Agents—Determination of pH of Aqueous Solutions—Potentiometric Method. International Organization for Standardization: Geneva, Switzerland, 1977.
- ISO 2555:2018; Plastics—Resins in the Liquid State or as Emulsions or Dispersions—Determination of Apparent Viscosity Using a Single Cylinder Type Rotational Viscometer Method. International Organization for Standardization: Geneva, Switzerland, 2018.
- ISO 21149:2017; Cosmetics—Microbiology—Enumeration and Detection of Aerobic Mesophilic Bacteria. International Organization for Standardization: Geneva, Switzerland, 2017.
- ISO 22718:2015; Cosmetics—Microbiology—Detection of Staphylococcus aureus. International Organization for Standardization: Geneva, Switzerland, 2015.
- ISO 21150:2015; Cosmetics—Microbiology—Detection of Escherichia coli. International Organization for Standardization: Geneva, Switzerland, 2015.
- ISO 22717:2015; Cosmetics—Microbiology—Detection of Pseudomonas aeruginosa. International Organization for Standardization: Geneva, Switzerland, 2015.
- ISO 18416:2015; Cosmetics—Microbiology—Detection of Candida albicans. International Organization for Standardization: Geneva, Switzerland, 2015.
- ISO 16212:2017; Cosmetics—Microbiology—Enumeration of Yeast and Mould. International Organization for Standardization: Geneva, Switzerland, 2017.
- Livak, K.J.; Schmittgen, T.D. Analysis of Relative Gene Expression Data Using Real-Time Quantitative PCR and the 2−ΔΔCT Method. Methods 2001, 25, 402–408. [Google Scholar] [CrossRef] [PubMed]
- Valentão, P.; Fernandes, E.; Carvalho, F.; Andrade, P.B.; Seabra, R.M.; Bastos, M.L. Antioxidant activity of Centaurium erythraea infusion evidenced by its superoxide radical scavenging and xanthine oxidase inhibitory activity. J. Agric. Food Chem. 2001, 49, 3476–3479. [Google Scholar] [CrossRef] [PubMed]
- Huang, J.; Hitchins, A.D.; Tran, T.T.; McCarron, J.E. Microbiological methods for cosmetics. In Bacteriological Analytical Manual (BAM), 8th ed.; FDA: Silver Spring, MD, USA, 2017. [Google Scholar]







| Strains Tested | Minimum Inhibitory Concentration (MIC) (µg/mL) | ||||
|---|---|---|---|---|---|
| Peptides (2–10 kDa) | Ethanol * | Vancomycin ** | Norfloxac ** | Ketaconazol ** | |
| Staphylococcus aureus | 125 | n.d | 1.56 | - | - |
| Methicillin-resistant S. aureus | 500 | n.d | 1.56 | - | - |
| Staphylococcus epidermidis | 250 | n.d | 1.56 | - | - |
| Enterococcus faecalis | 500 | n.d | 3.12 | - | - |
| Streptococcus pyogenes | 1000 | n.d | 3.12 | - | - |
| Streptococcus mitis | 500 | n.d | 3.12 | - | - |
| Bacillus cereus | 250 | n.d | 0.78 | - | - |
| Candida albicans | 1000 | n.d | - | - | 0.039 |
| Escherichia coli | 250 | n.d | - | 0.48 | - |
| Pseudomonas aeruginosa | 250 | n.d | - | 1.90 | - |
| Aspergillus brasiliensis | >1000 | n.d | - | - | - |
| Samples | IC50 (µg/mL) |
|---|---|
| Peptides (2–10 kDa) | 30.6 ± 1.4 |
| Gallic acid (positive control) | 20.7 ± 3.7 |
Disclaimer/Publisher’s Note: The statements, opinions and data contained in all publications are solely those of the individual author(s) and contributor(s) and not of MDPI and/or the editor(s). MDPI and/or the editor(s) disclaim responsibility for any injury to people or property resulting from any ideas, methods, instructions or products referred to in the content. |
© 2024 by the authors. Licensee MDPI, Basel, Switzerland. This article is an open access article distributed under the terms and conditions of the Creative Commons Attribution (CC BY) license (https://creativecommons.org/licenses/by/4.0/).
Share and Cite
Maurício, E.M.; Branco, P.; Araújo, A.L.B.; Roma-Rodrigues, C.; Lima, K.; Duarte, M.P.; Fernandes, A.R.; Albergaria, H. Evaluation of Biotechnological Active Peptides Secreted by Saccharomyces cerevisiae with Potential Skin Benefits. Antibiotics 2024, 13, 881. https://doi.org/10.3390/antibiotics13090881
Maurício EM, Branco P, Araújo ALB, Roma-Rodrigues C, Lima K, Duarte MP, Fernandes AR, Albergaria H. Evaluation of Biotechnological Active Peptides Secreted by Saccharomyces cerevisiae with Potential Skin Benefits. Antibiotics. 2024; 13(9):881. https://doi.org/10.3390/antibiotics13090881
Chicago/Turabian StyleMaurício, Elisabete Muchagato, Patrícia Branco, Ana Luiza Barros Araújo, Catarina Roma-Rodrigues, Katelene Lima, Maria Paula Duarte, Alexandra R. Fernandes, and Helena Albergaria. 2024. "Evaluation of Biotechnological Active Peptides Secreted by Saccharomyces cerevisiae with Potential Skin Benefits" Antibiotics 13, no. 9: 881. https://doi.org/10.3390/antibiotics13090881
APA StyleMaurício, E. M., Branco, P., Araújo, A. L. B., Roma-Rodrigues, C., Lima, K., Duarte, M. P., Fernandes, A. R., & Albergaria, H. (2024). Evaluation of Biotechnological Active Peptides Secreted by Saccharomyces cerevisiae with Potential Skin Benefits. Antibiotics, 13(9), 881. https://doi.org/10.3390/antibiotics13090881

