Evaluating the Potential of an Oral-Based Bioguard to Estimate Heart Rate Using Photoplethysmography
Abstract
1. Introduction
2. Materials and Methods
2.1. Participants
2.2. Instrumentation
2.3. Experimental Protocol
2.3.1. In Vivo Testing
2.3.2. In Vitro Testing
2.4. Signal Processing
2.5. Statistical Analysis
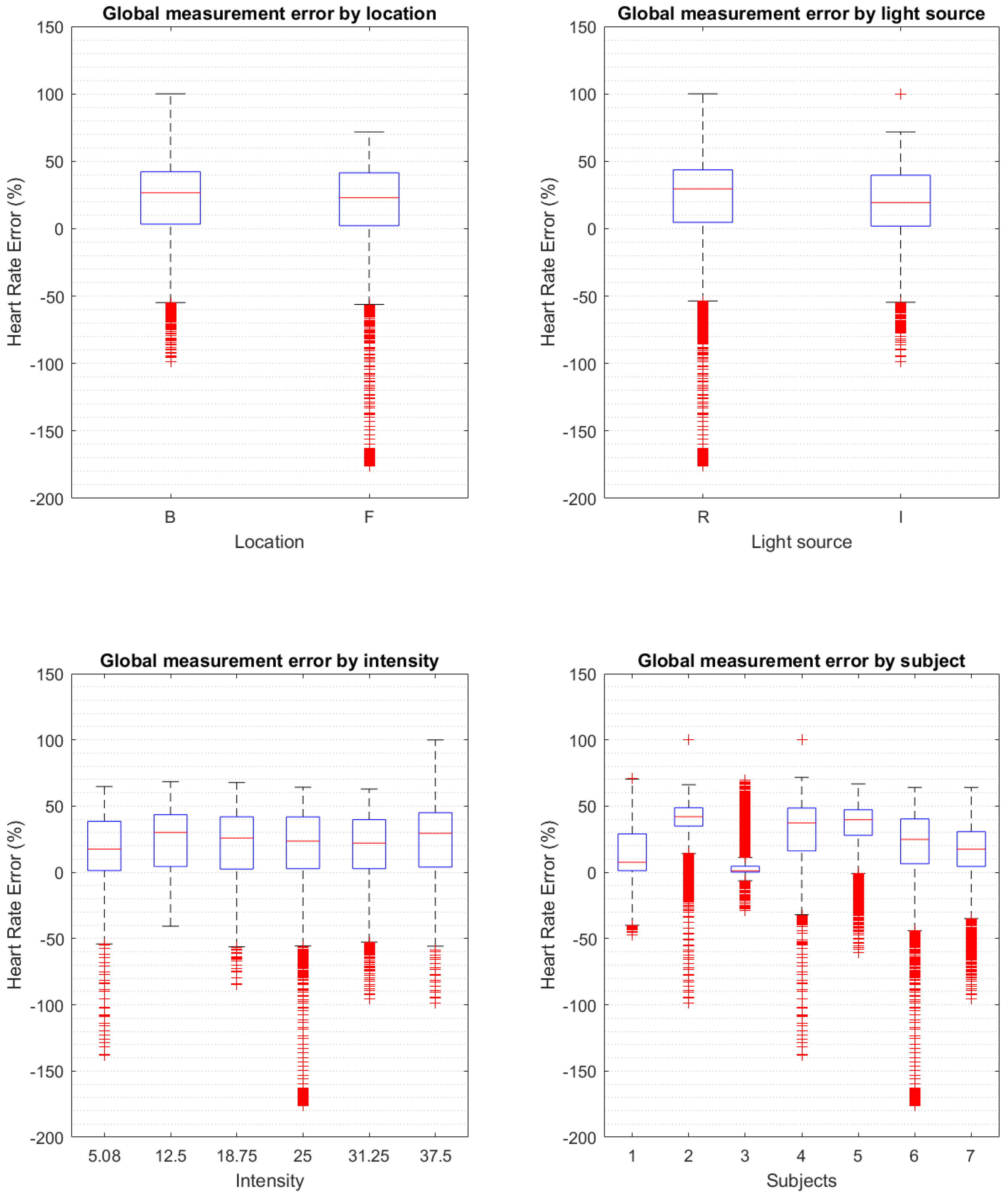
3. Results
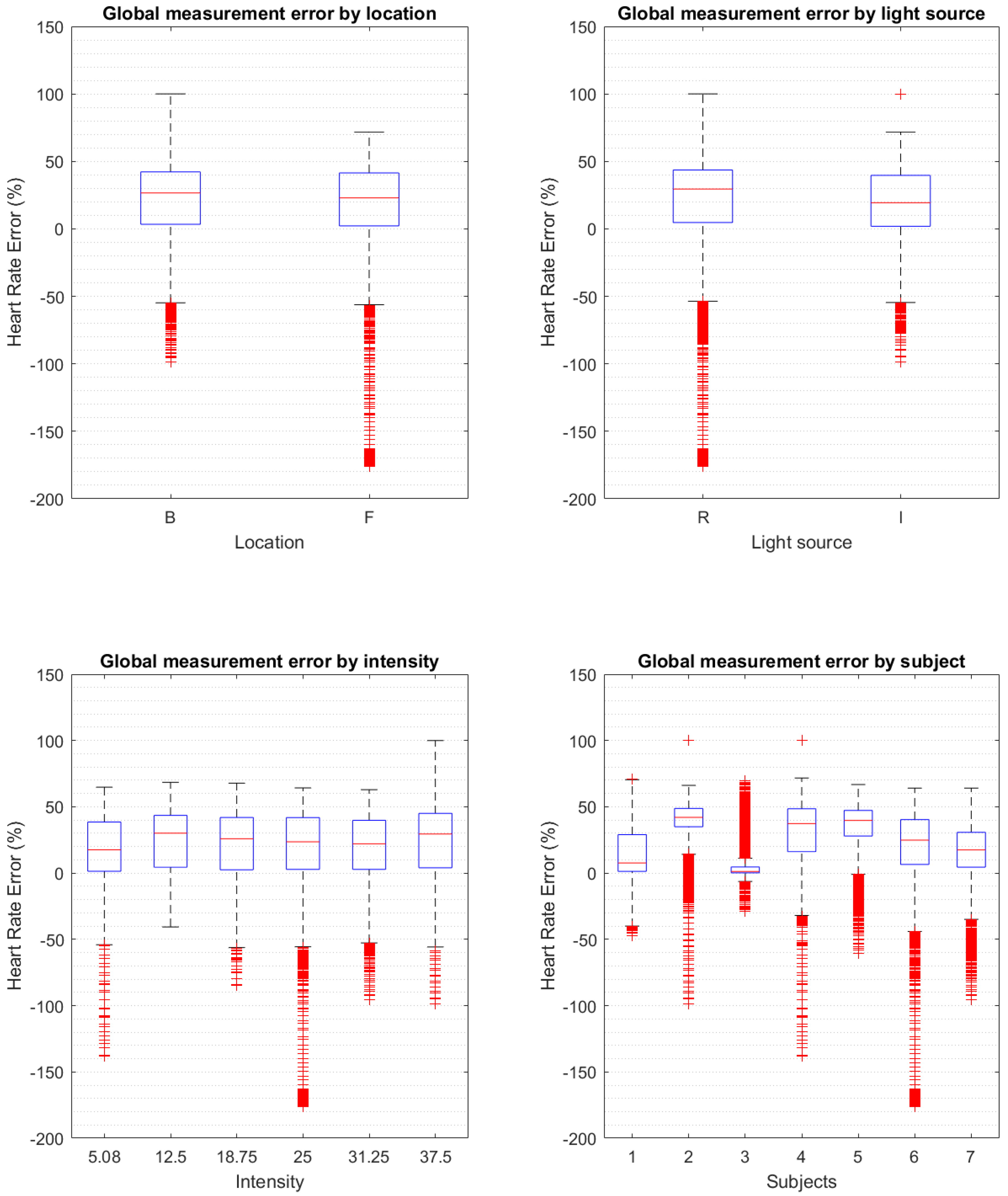
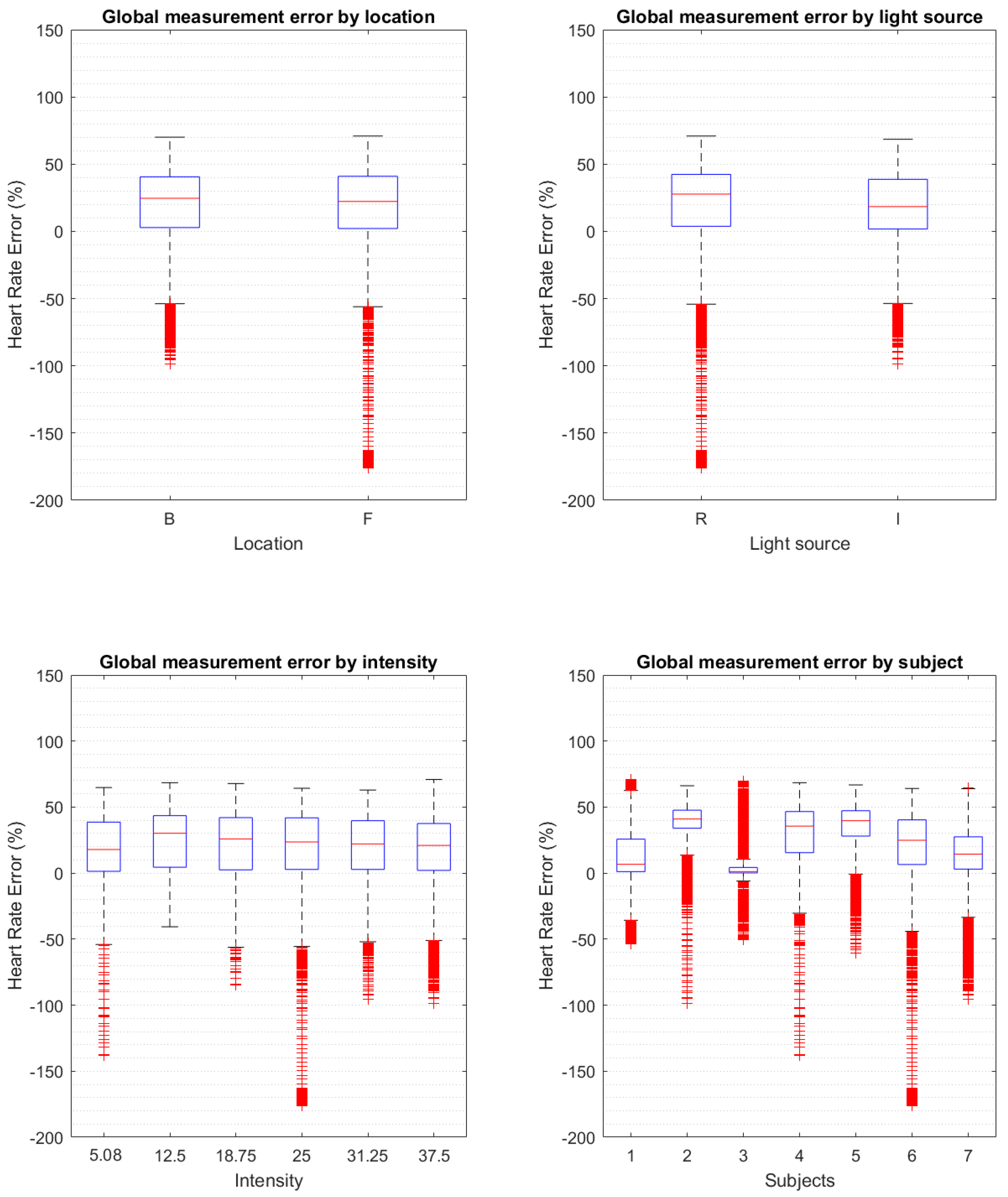
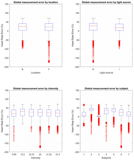
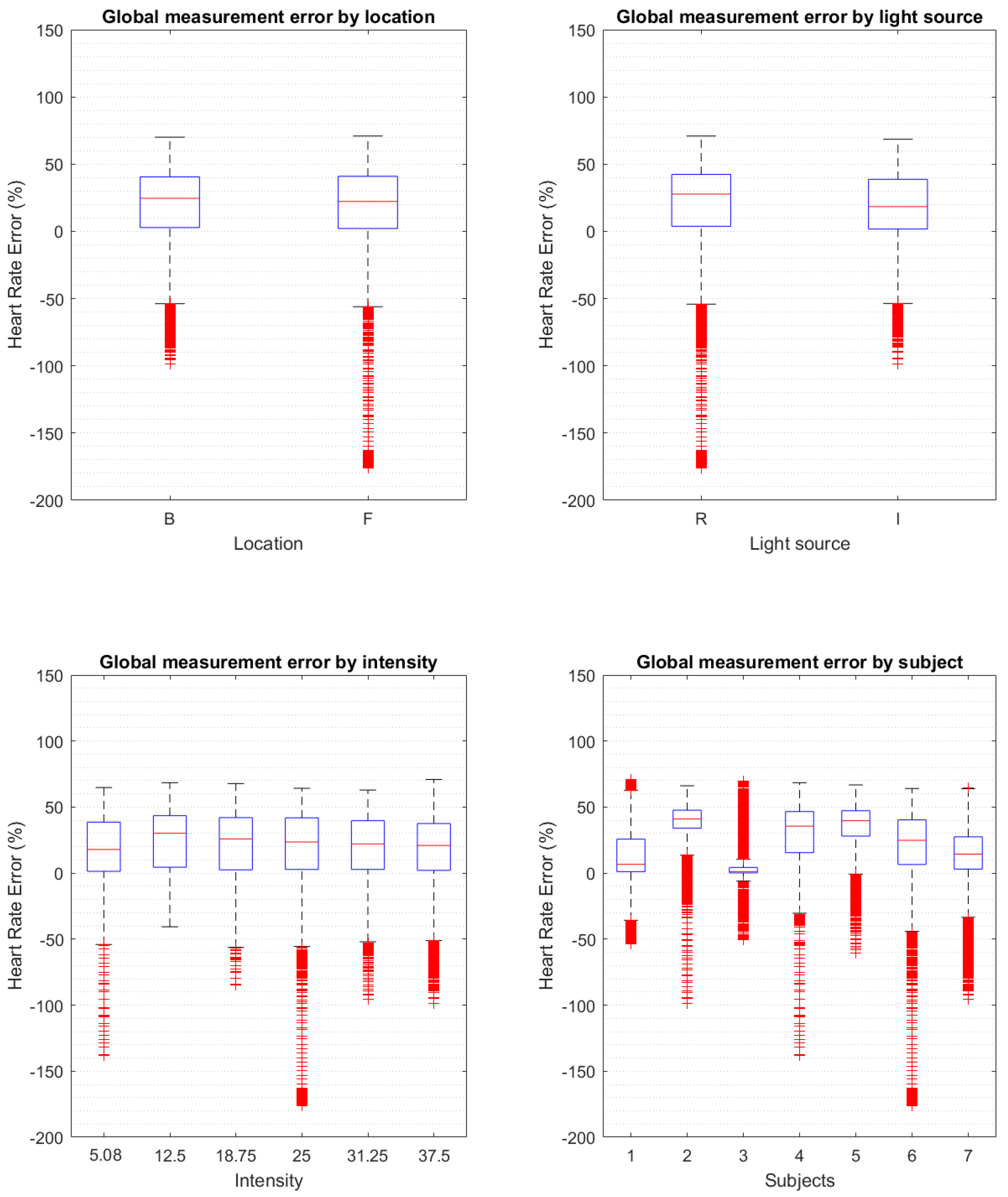
3.1. Heart Rate Calculation without Wavelet Denoising
3.2. Signal Processing with Wavelet Denoising
4. Discussion
5. Conclusions
Author Contributions
Funding
Institutional Review Board Statement
Informed Consent Statement
Data Availability Statement
Acknowledgments
Conflicts of Interest
References
- Sapra, A.; Malik, A.; Bhandari, P. Vital Sign Assessment; StatPearls: Treasure Island, FL, USA, 2022. [Google Scholar]
- Strath, S.J.; Swartz, A.M.; Bassett, J.; O’Brien, W.L.; King, G.A.; Ainsworth, B.E. Evaluation of Heart Rate as a Method for Assessing Moderate Intensity Physical Activity. Med. Sci. Sports Exerc. 2000, 32, 465–470. [Google Scholar] [CrossRef] [PubMed]
- De Lira, C.A.B.; Peixinho-Pena, L.F.; Vancini, R.L.; de Freitas Guina Fachina, R.J.; de Almeida, A.A.; Andrade, M.D.S.; da Silva, A.C. Heart Rate Response during a Simulated Olympic Boxing Match Is Predominantly above Ventilatory Threshold 2: A Cross Sectional Study. Open Access J. Sports Med. 2013, 4, 175–182. [Google Scholar] [CrossRef] [PubMed]
- Kohl, H.W. Physical Activity and Cardiovascular Disease: Evidence for a Dose Response. Med. Sci. Sport. Exerc. 2001, 33, S472–S483. [Google Scholar] [CrossRef] [PubMed]
- Matthew, D.; Delextrat, A. Heart Rate, Blood Lactate Concentration, and Time–Motion Analysis of Female Basketball Players during Competition. J. Sports Sci. 2009, 27, 813–821. [Google Scholar] [CrossRef]
- Benedetto, S.; Caldato, C.; Bazzan, E.; Greenwood, D.C.; Pensabene, V.; Actis, P. Assessment of the Fitbit Charge 2 for Monitoring Heart Rate. PLoS ONE 2018, 13, e0192691. [Google Scholar] [CrossRef]
- Gillinov, S.; Etiwy, M.; Wang, R.; Blackburn, G.; Phelan, D.; Gillinov, A.M.; Houghtaling, P.; Javadikasgari, H.; Desai, M.Y. Variable Accuracy of Wearable Heart Rate Monitors during Aerobic Exercise. Med. Sci. Sport. Exerc. 2017, 49, 1697–1703. [Google Scholar] [CrossRef]
- Müller, A.M.; Wang, N.X.; Yao, J.; Tan, C.S.; Low, I.C.C.; Lim, N.; Tan, J.; Tan, A.; Müller-Riemenschneider, F. Heart Rate Measures from Wrist-Worn Activity Trackers in a Laboratory and Free-Living Setting: Validation Study. JMIR mHealth uHealth 2019, 7, e14120. [Google Scholar] [CrossRef]
- Kim, S.; Xiao, X.; Chen, J. Advances in Photoplethysmography for Personalized Cardiovascular Monitoring. Biosensors 2022, 12, 863. [Google Scholar] [CrossRef]
- Lee, S.P.; Ha, G.; Wright, D.E.; Ma, Y.; Sen-Gupta, E.; Haubrich, N.R.; Branche, P.C.; Li, W.; Huppert, G.L.; Johnson, M.; et al. Highly Flexible, Wearable, and Disposable Cardiac Biosensors for Remote and Ambulatory Monitoring. NPJ Digit. Med. 2018, 1, 2. [Google Scholar] [CrossRef]
- Higuchi, Y.; Saijo, N.; Ishihara, T.; Usui, T.; Murakami, T.; Miyata, M.; Ono, K.; Usui, S.; Togo, H. New Wearable Heart Rate Monitor for Contact Sports and Its Potential to Change Training Load Management. In Proceedings of the 2019 41st Annual International Conference of the IEEE Engineering in Medicine and Biology Society (EMBC), Berlin, Germany, 23–27 July 2019; pp. 4121–4124. [Google Scholar]
- Wu, L.C.; Nangia, V.; Bui, K.; Hammoor, B.; Kurt, M.; Hernandez, F.; Kuo, C.; Camarillo, D.B. In Vivo Evaluation of Wearable Head Impact Sensors. Ann. Biomed. Eng. 2016, 44, 1234–1245. [Google Scholar] [CrossRef]
- Bridgman, H.; Kwong, M.T.; Bergmann, J.H.M. Mechanical Safety of Embedded Electronics for In-Body Wearables: A Smart Mouthguard Study. Ann. Biomed. Eng. 2019, 47, 1725–1737. [Google Scholar] [CrossRef]
- De Almeida e Bueno, L.; Milnthorpe, W.; Bergmann, J.H.M. Determining the Performance of a Temperature Sensor Embedded into a Mouthguard. BDJ Open 2022, 8, 23. [Google Scholar] [CrossRef] [PubMed]
- Park, J.; Seok, H.S.; Kim, S.-S.; Shin, H. Photoplethysmogram Analysis and Applications: An Integrative Review. Front. Physiol. 2022, 12, 1–23. [Google Scholar] [CrossRef] [PubMed]
- Shahbazi, A.; Grimm, A.; Feigl, G.; Gerber, G.; Székely, A.D.; Molnár, B.; Windisch, P. Analysis of Blood Supply in the Hard Palate and Maxillary Tuberosity—Clinical Implications for Flap Design and Soft Tissue Graft Harvesting (a Human Cadaver Study). Clin. Oral Investig. 2019, 23, 1153–1160. [Google Scholar] [CrossRef] [PubMed]
- Soltanzadeh, R.; Moussavi, Z. Design an Oral Photoplethysmogram for Deriving Peripheral Oxygen Saturation Level. J. Med. Devices 2015, 9, 020922. [Google Scholar] [CrossRef]
- Gilgen-Ammann, R.; Schweizer, T.; Wyss, T. RR Interval Signal Quality of a Heart Rate Monitor and an ECG Holter at Rest and during Exercise. Eur. J. Appl. Physiol. 2019, 119, 1525–1532. [Google Scholar] [CrossRef]
- Ismail, S.; Akram, U.; Siddiqi, I. Heart Rate Tracking in Photoplethysmography Signals Affected by Motion Artifacts: A Review. EURASIP J. Adv. Signal Process. 2021, 2021, 5. [Google Scholar] [CrossRef]
- Romagnoli, S.; Ripanti, F.; Morettini, M.; Burattini, L.; Sbrollini, A. Wearable and Portable Devices for Acquisition of Cardiac Signals While Practicing Sport: A Scoping Review. Sensors 2023, 23, 3350. [Google Scholar] [CrossRef]
- Janani, K.; Palanivelu, A.; Sandhya, R. Diagnostic Accuracy of Dental Pulse Oximeter with Customized Sensor Holder, Thermal Test and Electric Pulp Test for the Evaluation of Pulp Vitality: An In Vivo Study. Braz. Dent. Sci. 2020, 23. [Google Scholar] [CrossRef]
- Joseph, G.; Joseph, A.; Titus, G.; Thomas, R.M.; Jose, D. Photoplethysmogram (PPG) Signal Analysis and Wavelet de-Noising. In Proceedings of the 2014 Annual International Conference on Emerging Research Areas: Magnetics, Machines and Drives (AICERA/iCMMD), Kottayam, India, 24–26 July 2014; pp. 1–5. [Google Scholar]
- Keerthiveena, B.; Esakkirajan, S. Denoising of PPG Signal by Wavelet Packet Transform. In Proceedings of the 2017 International Conference on Intelligent Computing, Instrumentation and Control Technologies (ICICICT), Kerala, India, 6–7 July 2017; pp. 608–612. [Google Scholar]
- Mohd Sani, N.H.; Mansor, W.; Lee, K.Y.; Ahmad Zainudin, N.; Mahrim, S.A. Determination of Heart Rate from Photoplethysmogram Using Fast Fourier Transform. In Proceedings of the 2015 International Conference on BioSignal Analysis, Processing and Systems (ICBAPS), Kuala Lumpur, Malaysia, 26–28 May 2015; pp. 168–170. [Google Scholar]
- Lamarra, N.; Whipp, B.J.; Ward, S.A.; Wasserman, K. Effect of Interbreath Fluctuations on Characterizing Exercise Gas Exchange Kinetics. J. Appl. Physiol. 1987, 62, 2003–2012. [Google Scholar] [CrossRef]
- Liu, H.; Wang, Y.; Wang, L. The Effect of Light Conditions on Photoplethysmographic Image Acquisition Using a Commercial Camera. IEEE J. Transl. Eng. Health Med. 2014, 2, 1–11. [Google Scholar] [CrossRef] [PubMed]
- Han, D.; Bashar, S.K.; Lázaro, J.; Mohagheghian, F.; Peitzsch, A.; Nishita, N.; Ding, E.; Dickson, E.L.; Dimezza, D.; Scott, J.; et al. A Real-Time PPG Peak Detection Method for Accurate Determination of Heart Rate during Sinus Rhythm and Cardiac Arrhythmia. Biosensors 2022, 12, 82. [Google Scholar] [CrossRef] [PubMed]
- Dasari, A.; Prakash, S.K.A.; Jeni, L.A.; Tucker, C.S. Evaluation of Biases in Remote Photoplethysmography Methods. NPJ Digit. Med. 2021, 4, 91. [Google Scholar] [CrossRef] [PubMed]
- De Almeida e Bueno, L.; Kwong, M.T.; Bergmann, J.H.M. Performance of Oral Cavity Sensors: A Systematic Review. Sensors 2023, 23, 588. [Google Scholar] [CrossRef]










| Hardware | Configuration | Mean Rank |
|---|---|---|
| Light Source | Red | |
| Infrared | ||
| Placement | Back | |
| Front | ||
| Intensity | 5.08 mA | |
| 12.5 mA | ||
| 18.75 mA | ||
| 25 mA | ||
| 31.25 mA | ||
| 37.5 mA |
Disclaimer/Publisher’s Note: The statements, opinions and data contained in all publications are solely those of the individual author(s) and contributor(s) and not of MDPI and/or the editor(s). MDPI and/or the editor(s) disclaim responsibility for any injury to people or property resulting from any ideas, methods, instructions or products referred to in the content. |
© 2023 by the authors. Licensee MDPI, Basel, Switzerland. This article is an open access article distributed under the terms and conditions of the Creative Commons Attribution (CC BY) license (https://creativecommons.org/licenses/by/4.0/).
Share and Cite
de Almeida e Bueno, L.; Walls, V.C.; Bergmann, J.H.M. Evaluating the Potential of an Oral-Based Bioguard to Estimate Heart Rate Using Photoplethysmography. Biosensors 2023, 13, 533. https://doi.org/10.3390/bios13050533
de Almeida e Bueno L, Walls VC, Bergmann JHM. Evaluating the Potential of an Oral-Based Bioguard to Estimate Heart Rate Using Photoplethysmography. Biosensors. 2023; 13(5):533. https://doi.org/10.3390/bios13050533
Chicago/Turabian Stylede Almeida e Bueno, Leonardo, Victoria C. Walls, and Jeroen H. M. Bergmann. 2023. "Evaluating the Potential of an Oral-Based Bioguard to Estimate Heart Rate Using Photoplethysmography" Biosensors 13, no. 5: 533. https://doi.org/10.3390/bios13050533
APA Stylede Almeida e Bueno, L., Walls, V. C., & Bergmann, J. H. M. (2023). Evaluating the Potential of an Oral-Based Bioguard to Estimate Heart Rate Using Photoplethysmography. Biosensors, 13(5), 533. https://doi.org/10.3390/bios13050533

