In-Situ Fabrication of Electroactive Cu2+-Trithiocyanate Complex and Its Application for Label-Free Electrochemical Aptasensing of Thrombin
Abstract
1. Introduction
2. Materials and Methods
2.1. Reagents and Apparatus
2.2. Fabrication of the Electroactive Cu2+-TCY Polymer on AuE
2.3. Assembly of AuNPs and Immobilization of the Aptamer
2.4. Thrombin Binding and Electrochemical Measurements
3. Results and Discussion
3.1. Physical Characterization on the Fabrication of Aptasensor
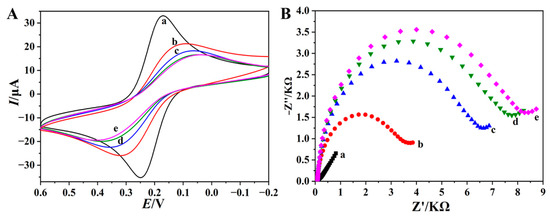
3.2. Electrochemical Characterization
3.3. Voltammetric Behavior of Aptasensor and Its Response to Thrombin
3.4. Optimization of Experimental Conditions
3.5. Aptasensing Performance Assessment of the Biosensor
3.6. Determination of Thrombin in Actual Serum Samples
4. Conclusions
Supplementary Materials
Author Contributions
Funding
Institutional Review Board Statement
Informed Consent Statement
Data Availability Statement
Conflicts of Interest
References
- Zhu, Y.; Qi, Y.; Xu, M.; Luo, J. Flexible biosensor based on signal amplification of gold nanoparticles-composite flower clusters for glucose detection in sweat. Colloids Surf. A Physicochem. Eng. Asp. 2023, 661, 130908. [Google Scholar] [CrossRef]
- Sumitha, M.; Xavier, T. Recent advances in electrochemical biosensors—A brief review. Hybrid Adv. 2023, 2, 100023. [Google Scholar] [CrossRef]
- Gao, F.; Zhan, F.; Li, S.; Antwi-Mensah, P.; Niu, L.; Wang, Q. Dual signal-based electrochemical aptasensor for simultaneous detection of Lead(II) and Mercury(II) in environmental water samples. Biosens. Bioelectron. 2022, 209, 114280. [Google Scholar] [CrossRef]
- Lakshmi, G.; Poddar, M.; Dhiman, T.K.; Singh, A.K.; Solanki, P.R. Gold-Ceria nanocomposite based highly sensitive and selective aptasensing platform for the detection of the Chlorpyrifos in Solanum tuberosum. Colloids Surf. A Physicochem. Eng. Asp. 2022, 653, 129819. [Google Scholar] [CrossRef]
- Hasan, M.R.; Sharma, P.; Shaikh, S.; Singh, S.; Pilloton, R.; Narang, J. Electrochemical Aptasensor Developed Using Two-Electrode Setup and Three-Electrode Setup: Comprising Their Current Range in Context of Dengue Virus Determination. Biosensors 2022, 13, 1. [Google Scholar] [CrossRef]
- Toh, S.Y.; Citartan, M.; Gopinath, S.C.; Tang, T.H. Aptamers as a replacement for antibodies in enzyme-linked immuno-sorbent assay. Biosens. Bioelectron. 2015, 64, 392–403. [Google Scholar] [CrossRef]
- Lei, Z.; Lei, P.; Guo, J.; Wang, Z. Recent advances in nanomaterials-based optical and electrochemical aptasensors for detection of cyanotoxins. Talanta 2022, 248, 123607. [Google Scholar] [CrossRef]
- Amouzadeh Tabrizi, M.; Acedo, P. Highly sensitive aptasensor for the detection of SARS-CoV-2-RBD using aptamer-gated methylene blue@mesoporous silica film/laser engraved graphene electrode. Biosens. Bioelectron. 2022, 215, 114556. [Google Scholar] [CrossRef]
- Liang, H.; Chen, S.; Li, P.; Wang, L.; Li, J.; Li, J.; Yang, H.-H.; Tan, W. Nongenetic Approach for Imaging Protein Dimerization by Aptamer Recognition and Proximity-Induced DNA Assembly. J. Am. Chem. Soc. 2018, 140, 4186–4190. [Google Scholar] [CrossRef]
- Zheng, H.; GhavamiNejad, A.; GhavamiNejad, P.; Samarikhalaj, M.; Giacca, A.; Poudineh, M. Hydrogel Microneedle-Assisted Assay Integrating Aptamer Probes and Fluorescence Detection for Reagentless Biomarker Quantification. ACS Sens. 2022, 7, 2387–2399. [Google Scholar] [CrossRef]
- Centane, S.; Nyokong, T. Aptamer versus antibody as probes for the impedimetric biosensor for human epidermal growth factor receptor. J. Inorg. Biochem. 2022, 230, 111764. [Google Scholar] [CrossRef]
- Gao, F.; Gao, C.; He, S.; Wang, Q.; Wu, A. Label-free electrochemical lead (II) aptasensor using thionine as the signaling molecule and graphene as signal-enhancing platform. Biosens. Bioelectron. 2016, 81, 15–22. [Google Scholar] [CrossRef]
- Su, J.; Zhang, L.; Lai, L.; Zhu, W.; Hu, C. A Hemin–Graphene Nanocomposite-Based Aptasensor for Ultrasensitive Colorimetric Quantification of Leukaemia Cells Using Magnetic Enrichment. Biosensors 2022, 12, 1070. [Google Scholar] [CrossRef]
- Shen, R.; Tan, J.; Yuan, Q. Chemically Modified Aptamers in Biological Analysis. ACS Appl. Bio Mater. 2020, 3, 2816–2826. [Google Scholar] [CrossRef]
- Actis, P.; Rogers, A.; Nivala, J.; Vilozny, B.; Seger, R.A.; Jejelowo, O.; Pourmand, N. Reversible thrombin detection by aptamer functionalized STING sensors. Biosens. Bioelectron. 2011, 26, 4503–4507. [Google Scholar] [CrossRef]
- Zhu, C.; Liu, M.; Li, X.; Zhang, X.; Chen, J. A new electrochemical aptasensor for sensitive assay of a protein based on the dual-signaling electrochemical ratiometric method and DNA walker strategy. Chem. Commun. 2018, 54, 10359–10362. [Google Scholar] [CrossRef]
- Zhang, L.; Zhang, X.; Feng, P.; Han, Q.; Liu, W.; Lu, Y.; Song, C.; Li, F. Photodriven Regeneration of G-Quadruplex Aptasensor for Sensitively Detecting Thrombin. Anal. Chem. 2020, 92, 7419–7424. [Google Scholar] [CrossRef]
- Su, S.; Sun, H.; Cao, W.; Chao, J.; Peng, H.; Zuo, X.; Yuwen, L.; Fan, C.; Wang, L. Dual-Target Electrochemical Biosensing Based on DNA Structural Switching on Gold Nanoparticle-Decorated MoS2 Nanosheets. ACS Appl. Mater. Interfaces 2016, 8, 6826–6833. [Google Scholar] [CrossRef]
- Zhang, Q.; Fan, G.; Chen, W.; Liu, Q.; Zhang, X.; Zhang, X.; Liu, Q. Electrochemical sandwich-type thrombin aptasensor based on dual signal amplification strategy of silver nanowires and hollow Au–CeO2. Biosens. Bioelectron. 2020, 150, 111846. [Google Scholar] [CrossRef]
- Yousef, H.; Liu, Y.; Zheng, L. Nanomaterial-Based Label-Free Electrochemical Aptasensors for the Detection of Thrombin. Biosensors 2022, 12, 253. [Google Scholar] [CrossRef]
- Gao, F.; Du, L.; Zhang, Y.; Zhou, F.; Tang, D. A sensitive sandwich-type electrochemical aptasensor for thrombin detection based on platinum nanoparticles decorated carbon nanocages as signal labels. Biosens. Bioelectron. 2016, 86, 185–193. [Google Scholar] [CrossRef] [PubMed]
- Gao, F.; Chu, Y.; Ai, Y.; Yang, W.; Lin, Z.; Wang, Q. Hybridization induced ion-barrier effect for the label-free and sensitive electrochemical sensing of Hepatocellular Carcinoma biomarker of miRNA-122. Chin. Chem. Lett. 2021, 32, 2192–2196. [Google Scholar] [CrossRef]
- Jana, N.R.; Gearheart, L.; Murphy, C.J. Seed-mediated growth approach for shape-controlled synthesis of spheroidal and rod-like gold nanoparticles using a surfactant template. Adv. Mater. 2001, 13, 1389–1393. [Google Scholar] [CrossRef]
- Zhan, F.; Liao, X.; Wang, Q.; Sun, W. A subfemtomolar electrochemical DNA biosensor realized by in-situ grafting of gold nanoparticle/neutral red on the terminal of hairpin probe as the signal tag. Microchem. J. 2021, 164, 106079. [Google Scholar] [CrossRef]
- Song, Z.; Song, J.; Gao, F.; Chen, X.; Wang, Q.; Zhao, Y.; Huang, X.; Yang, C.; Wang, Q. Novel electroactive ferrocene-based covalent organic frameworks towards electrochemical label-free aptasensors for the detection of Cardiac Troponin I. Sens. Actuators B Chem. 2022, 368, 132205. [Google Scholar] [CrossRef]
- Hamami, M.; Bouaziz, M.; Raouafi, N.; Bendounan, A.; Korri-Youssoufi, H. MoS2/PPy nanocomposite as a transducer for electrochemical aptasensor of ampicillin in river water. Biosensors 2021, 11, 311. [Google Scholar] [CrossRef]
- Zeng, S.-Z.; Yao, Y.; Zeng, X.; He, Q.; Zheng, X.; Chen, S.; Tu, W.; Zou, J. A composite of hollow carbon nanospheres and sulfur-rich polymers for lithium-sulfur batteries. J. Power Sources 2017, 357, 11–18. [Google Scholar] [CrossRef]
- Drożdżewski, P.; Malik, M.; Kopel, P.; Bieńko, D.C. Normal vibrations and vibrational spectra of trithiocyanuric acid in its natural, deuterated, anionic and metal coordinated forms. Polyhedron 2022, 220, 115819. [Google Scholar] [CrossRef]
- Jayakumar, K.; Camarada, M.B.; Dharuman, V.; Rajesh, R.; Venkatesan, R.; Ju, H.; Maniraj, M.; Rai, A.; Barman, S.R.; Wen, Y. Layer-by-layer-assembled AuNPs-decorated first-generation poly(amidoamine) dendrimer with reduced graphene oxide core as highly sensitive biosensing platform with controllable 3D nanoarchitecture for rapid voltammetric analysis of ultratrace DNA hybridization. ACS Appl. Mater. Interfaces 2018, 10, 21541–21555. [Google Scholar] [CrossRef]
- Ensafi, A.A.; Heydari-Bafrooei, E.; Rezaei, B. DNA-Based Biosensor for Comparative Study of Catalytic Effect of Transition Metals on Autoxidation of Sulfite. Anal. Chem. 2012, 85, 991–997. [Google Scholar] [CrossRef]
- Guo, X.; Kulkarni, A.; Doepke, A.; Halsall, H.B.; Iyer, S.; Heineman, W.R. Carbohydrate-Based Label-Free Detection of Escherichia coli ORN 178 Using Electrochemical Impedance Spectroscopy. Anal. Chem. 2012, 84, 241–246. [Google Scholar] [CrossRef] [PubMed]
- Mei, B.A.; Lau, J.; Lin, T.; Tolbert, S.H.; Dunn, B.S.; Pilon, L. Physical interpretations of electrochemical impedance spectroscopy of redox active electrodes for electrical energy storage. J. Phys. Chem. C 2018, 122, 24499–24511. [Google Scholar] [CrossRef]
- Nam, K.-M.; Shin, D.-H.; Jung, N.; Joo, M.G.; Jeon, S.; Park, S.-M.; Chang, B.-Y. Development of Galvanostatic Fourier Transform Electrochemical Impedance Spectroscopy. Anal. Chem. 2013, 85, 2246–2252. [Google Scholar] [CrossRef] [PubMed]
- Wang, X.; Wang, Q.; Wang, Q.; Gao, F.; Gao, F.; Yang, Y.; Guo, H. Highly dispersible and stable copper terephthalate metal–organic framework–graphene oxide nanocomposite for an electrochemical sensing application. ACS Appl. Mater. Interfaces 2014, 6, 11573–11580. [Google Scholar] [CrossRef]
- Ksenia, K.; Chandrika, P.K.; Cynthia, A.S.; Ochrymowycz, L.A.; Rorabacher, D.B. A structural strategy for generating rapid electron-transfer kinetics in copper(II/I) systems. Inorg. Chem. 1999, 38, 4322–4328. [Google Scholar] [CrossRef]
- Song, J.; Ni, J.; Wang, Q.; Chen, H.; Gao, F.; Lin, Z.; Wang, Q. A planar and uncharged copper(II)-picolinic acid chelate: Its intercalation to duplex DNA by experimental and theoretical studies and electrochemical sensing application. Biosens. Bioelectron. 2019, 141, 111405. [Google Scholar] [CrossRef]
- Song, J.; Li, S.; Gao, F.; Wang, Q.; Lin, Z. An in situ assembly strategy for the construction of a sensitive and reusable elec-trochemical aptasensor. Chem Commun. 2019, 55, 905–908. [Google Scholar] [CrossRef]
- Jolly, P.; Miodek, A.; Yang, D.K.; Chen, L.C.; Lloyd, M.D.; Estrela, P. Electro-engineered polymeric films for the development of sensitive aptasensors for prostate cancer marker detection. ACS Sens. 2016, 1, 1308–1314. [Google Scholar] [CrossRef]
- Mie, Y.; Kowata, K.; Kojima, N.; Komatsu, Y. Electrochemical Properties of Interstrand Cross-Linked DNA Duplexes Labeled with Nile Blue. Langmuir 2012, 28, 17211–17216. [Google Scholar] [CrossRef]
- Wang, S.F.; Chen, T.; Zhang, Z.L.; Shen, X.C.; Lu, Z.X.; Pang, D.W.; Yin, W.K. Direct electrochemistry and electrocatalysis of heme proteins entrapped in agarose hydrogel films in room-temperature ionic liquids. Langmuir 2005, 21, 9260–9266. [Google Scholar] [CrossRef]
- Wagner, T.; Lazar, J.; Schnakenberg, U.; Böker, A. In situ Electrochemical Impedance Spectroscopy of Electrostatically Driven Selective Gold Nanoparticle Adsorption on Block Copolymer Lamellae. ACS Appl. Mater. Interfaces 2016, 8, 27282–27290. [Google Scholar] [CrossRef] [PubMed]
- Gao, N.; Gao, F.; He, S.; Zhu, Q.; Huang, J.; Tanaka, H.; Wang, Q. Graphene oxide directed in-situ deposition of electroactive silver nanoparticles and its electrochemical sensing application for DNA analysis. Anal. Chim. Acta 2017, 951, 58–67. [Google Scholar] [CrossRef] [PubMed]
- Bard, A.J.; Faulkner, L.L. Electrochemical Methods Fundamentals and Applications, 2nd ed.; John Wiley & Sons: Hoboken, NJ, USA, 2001. [Google Scholar]
- Zhang, H.; Zhang, B.; Chen, A.; Qin, Y. Controllable: N -Fe2O3@graphene nanomaterials by ALD applied in an aptasensor with enhanced electrochemical performance for thrombin detection. Dalt. Trans. 2017, 46, 7434–7440. [Google Scholar] [CrossRef]
- Huang, Y.; Pei, X.; Du, S.; Li, Z.; Gu, X.; Sun, W.; Niu, X. Target-induced ratiometric electrochemical aptasensor for highly sensitive detection of thrombin based on AuNPs-MXene. Microchem. J. 2022, 181, 107774. [Google Scholar] [CrossRef]
- Qin, B.; Yang, K. Voltammetric aptasensor for thrombin by using a gold microelectrode modified with graphene oxide decorated with silver nanoparticles. Microchim. Acta 2018, 185, 407. [Google Scholar] [CrossRef] [PubMed]
- Jamei, H.R.; Rezaei, B.; Ensafi, A.A. Ultra-sensitive and selective electrochemical biosensor with aptamer recognition surface based on polymer quantum dots and C60/MWCNTs- polyethylenimine nanocomposites for analysis of thrombin protein. Bioelectrochemistry 2021, 138, 107701. [Google Scholar] [CrossRef]
- Xu, H.; Zhang, T.; Gu, Y.; Yan, X.; Lu, N.; Liu, H.; Xu, Z.; Xing, Y.; Song, Y.; Zhang, Z.; et al. An electrochemical thrombin aptasensor based on the use of graphite-like C3N4 modified with silver nanoparticles. Microchim. Acta 2020, 187, 163. [Google Scholar] [CrossRef]





Disclaimer/Publisher’s Note: The statements, opinions and data contained in all publications are solely those of the individual author(s) and contributor(s) and not of MDPI and/or the editor(s). MDPI and/or the editor(s) disclaim responsibility for any injury to people or property resulting from any ideas, methods, instructions or products referred to in the content. |
© 2023 by the authors. Licensee MDPI, Basel, Switzerland. This article is an open access article distributed under the terms and conditions of the Creative Commons Attribution (CC BY) license (https://creativecommons.org/licenses/by/4.0/).
Share and Cite
Wang, Z.; Gao, N.; Chen, Z.; Gao, F.; Wang, Q. In-Situ Fabrication of Electroactive Cu2+-Trithiocyanate Complex and Its Application for Label-Free Electrochemical Aptasensing of Thrombin. Biosensors 2023, 13, 532. https://doi.org/10.3390/bios13050532
Wang Z, Gao N, Chen Z, Gao F, Wang Q. In-Situ Fabrication of Electroactive Cu2+-Trithiocyanate Complex and Its Application for Label-Free Electrochemical Aptasensing of Thrombin. Biosensors. 2023; 13(5):532. https://doi.org/10.3390/bios13050532
Chicago/Turabian StyleWang, Zehao, Ningning Gao, Zhenmao Chen, Feng Gao, and Qingxiang Wang. 2023. "In-Situ Fabrication of Electroactive Cu2+-Trithiocyanate Complex and Its Application for Label-Free Electrochemical Aptasensing of Thrombin" Biosensors 13, no. 5: 532. https://doi.org/10.3390/bios13050532
APA StyleWang, Z., Gao, N., Chen, Z., Gao, F., & Wang, Q. (2023). In-Situ Fabrication of Electroactive Cu2+-Trithiocyanate Complex and Its Application for Label-Free Electrochemical Aptasensing of Thrombin. Biosensors, 13(5), 532. https://doi.org/10.3390/bios13050532

