Optimizing Effective Parameters to Enhance the Sensitivity of Vertical Flow Assay for Detection of Escherichia coli
Abstract
:1. Introduction
2. Materials and Methods
2.1. Reagents and Membranes
2.2. Bacterial Growth
2.3. Preparation of Activated Membranes
2.4. Preparation of Blocking Layers
2.5. Preparation of PVA Films
2.6. 3D-Printing of the Customized Holder
2.7. Assembly of the Vertical Immunoassay System
2.8. Instrumentation
2.9. Optimization Steps
2.9.1. Optimization of Antibody Stability in Conjugation Pad
- (a)
- Borate buffer (5 mM, pH 7.4) containing 0.05% (v/v) Tween 20
- (b)
- PBS (10 mM, pH 7.4) buffer containing 0.05% (v/v) Tween 20
- (c)
- PBS (10 mM, pH 7.4) containing 0.05% (v/v) Tween 20 with 5%, 10% or 20% (w/v) sucrose
- (d)
- PBS (10 mM, pH 7.4) containing 0.05% (v/v) Tween 20 with 5%, 10% or 20% (w/v) lactose
2.9.2. Optimization of Conjugate Release
2.9.3. Optimization of Flow Management
2.9.4. Optimization of Absorption Efficacy
3. Reproducibility and Statistical Analysis
4. Results and Discussion
4.1. Optimization of the Efficacy of Conjugate Pad
4.1.1. Selection of Base Buffer
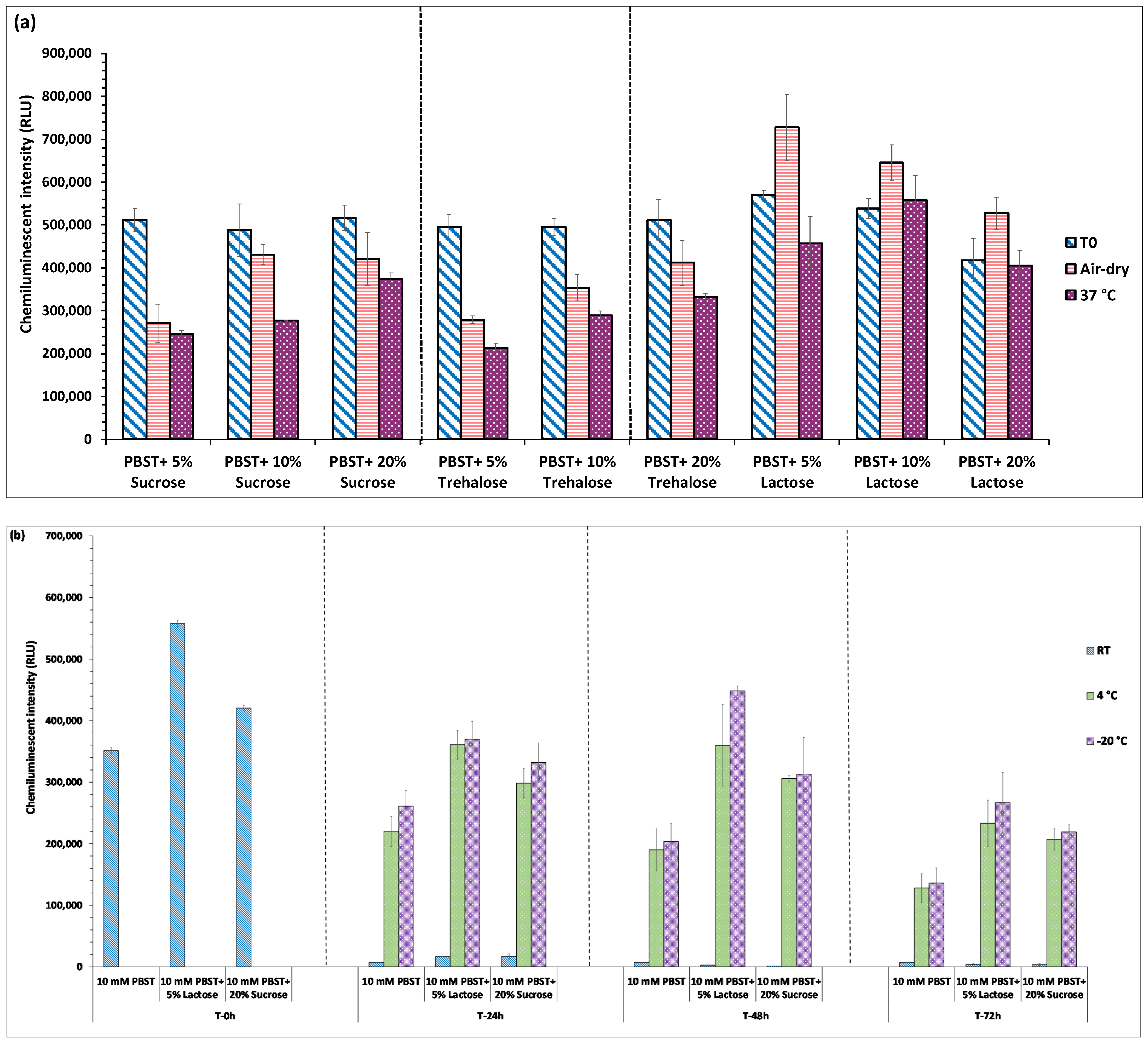
4.1.2. Optimization of Stabilizers and Drying Temperature of Reporter
4.2. Optimization of Conjugate Release
4.2.1. Influence of Conjugate Pad Blocking on Conjugate Release
4.2.2. Sample Deposition Mode
4.3. Effect of PVA Layer on Flow Rate Delay
4.4. Effect of Absorption Efficacy
5. Conclusions
Supplementary Materials
Author Contributions
Funding
Institutional Review Board Statement
Informed Consent Statement
Conflicts of Interest
References
- Pohanka, M. Point-of-Care Diagnoses and Assays Based on Lateral Flow Test. Int. J. Anal. Chem. 2021, 2021, 6685619. [Google Scholar] [CrossRef]
- Di Nardo, F.; Chiarello, M.; Cavalera, S.; Baggiani, C.; Anfossi, L. Ten Years of Lateral Flow Immunoassay Technique Applications: Trends, Challenges and Future Perspectives. Sensors 2021, 21, 5185. [Google Scholar] [CrossRef] [PubMed]
- Sajid, M.; Daud, M. Designs, formats and applications of lateral flow assay: A literature review. J. Saudi Chem. Soc. 2015, 19, 689–705. [Google Scholar] [CrossRef] [Green Version]
- Bahadır, E.B.; Sezgintürk, M.K. Lateral flow assays: Principles, designs and labels. TrAC—Trends Anal. Chem. 2016, 82, 286–306. [Google Scholar] [CrossRef]
- Chen, P.; Gates-hollingsworth, M.; Pandit, S.; Park, A.; Montgomery, D.; Aucoin, D.; Gu, J.; Zenhausern, F. Paper-based Vertical Flow Immunoassay (VFI) for detection of bio-threat pathogens. Talanta 2019, 191, 81–88. [Google Scholar] [CrossRef] [PubMed]
- Oh, Y.K.; Joung, H.; Kim, S.; Kim, M. Vertical flow immunoassay (VFA) biosensor for a rapid one-step immunoassay. Lab Chip 2013, 13, 768–772. [Google Scholar] [CrossRef] [PubMed]
- Ross, G.M.S.; Salentijn, G.I.J. A Critical Comparison between Flow-through and Lateral Flow Immunoassay Formats for Visual and Smartphone-Based Multiplex Allergen Detection. Biosensors 2019, 9, 143. [Google Scholar] [CrossRef] [Green Version]
- Yee, E.H.; Lathwal, S.; Shah, P.P.; Sikes, H.D. Detection of Biomarkers of Periodontal Disease in Human Saliva Using Stabilized, Vertical Flow Immunoassays. ACS Sens. 2017, 2, 1589–1593. [Google Scholar] [CrossRef]
- Clarke, O.J.R.; Goodall, B.L.; Hui, H.P.; Vats, N.; Brosseau, C.L. Development of a SERS-Based Rapid Vertical Flow Assay for Point-of-Care Diagnostics. Anal. Chem. 2017, 89, 1405–1410. [Google Scholar] [CrossRef]
- Kim, S.; Hao, Y.; Miller, E.A.; Tay, D.M.Y.; Yee, E.; Kongsuphol, P.; Jia, H.; McBee, M.; Preiser, P.R.; Sikes, H.D. Vertical Flow Cellulose-Based Assays for SARS-CoV-2 Antibody Detection in Human Serum. ACS Sens. 2021, 6, 1891–1898. [Google Scholar] [CrossRef]
- Afriat, R.; Chalupowicz, D.; Eltzov, E. Development of a point-of-care technology for bacterial identification in milk. Talanta 2020, 219, 121223. [Google Scholar] [CrossRef] [PubMed]
- Agnihotri, S.; Mukherji, S.; Mukherji, S. Immobilized silver nanoparticles enhance contact killing and show highest efficacy: Elucidation of the mechanism of bactericidal action of silver. Nanoscale 2013, 5, 7328–7340. [Google Scholar] [CrossRef] [PubMed] [Green Version]
- Safari, M.; Noorbakhsh, F.; Baharifar, H.; Pourmand, M.R.; Heiat, M.; Mohammad, M.A. Optimising effective parameters to improve performance quality in lateral flow immunoassay for detection of PBP2a in methicillin-resistant Staphylococcus aureus (MRSA). J. Exp. Nanosci. 2020, 15, 266–279. [Google Scholar] [CrossRef]
- Thorat, A.A.; Suryanarayanan, R. Characterization of Phosphate Buffered Saline (PBS) in Frozen State and after Freeze-Drying. Pharm. Res. 2019, 36, 98. [Google Scholar] [CrossRef]
- Dilek, Ç.A.M.; Öktem, H.A. Optimizations needed for lateral flow assay for rapid detection of pathogenic E. Coli. Turk. J. Biol. 2017, 41, 954–968. [Google Scholar] [CrossRef]
- Li, J.; Mcmillan, D.; Macdonald, J. Enhancing the Signal of Lateral Flow Immunoassays by Using Different Developing Methods. Sens. Mater. 2015, 27, 549–561. [Google Scholar] [CrossRef]
- Tsai, T.; Huang, T.; Chen, C.; Ho, N.Y.; Chou, Y.; Chen, C. Development a stacking pad design for enhancing the sensitivity of lateral flow immunoassay. Sci. Rep. 2018, 8, 17319. [Google Scholar] [CrossRef] [Green Version]
- Lee, S.; Kim, G.; Moon, J. Performance Improvement of the One-Dot Lateral Flow Immunoassay for Aflatoxin B1 by Using a Smartphone-Based Reading System. Sensors 2013, 1, 5109–5116. [Google Scholar] [CrossRef] [Green Version]
- Asad, S.; Torabi, S.; Fathi-roudsari, M. Phosphate Buffer Effects on Thermal Stability and H2O2-Resistance of Horseradish Peroxidase. Int. J. Biol. Macromol. 2011, 48, 566–570. [Google Scholar] [CrossRef]
- Oshima, H.; Kinoshita, M. Effects of sugars on the thermal stability of a protein. J. Chem. Phys. 2013, 138, 245101. [Google Scholar] [CrossRef]
- Yazdani, Y.; Mohammadi, S.; Yousefi, M.; Shokri, F. Preliminary Assessment of Various Additives on the Specific Reactivity of Anti-rHBsAg Monoclonal Antibodies. Avicenna J. Med. Biotechnol. 2015, 7, 145–150. [Google Scholar]
- Tonnis, W.F.; Mensink, M.A.; De Jager, A.; Van Der Voort Maarschalk, K.; Frijlink, H.W.; Hinrichs, W.L.J. Size and molecular flexibility of sugars determine the storage stability of freeze-dried proteins. Mol. Pharm. 2015, 12, 684–694. [Google Scholar] [CrossRef] [PubMed]
- Jiang, Y.; Chen, S.; Zhao, Y.; Yang, X.; Fu, S.; Mckillip, J.L.; Fox, E.M.; Man, C. Multiplex loop-mediated isothermal amplification-based lateral flow dipstick for simultaneous detection of 3 food-borne pathogens in powdered infant formula. J. Dairy Sci. 2020, 103, 4002–4012. [Google Scholar] [CrossRef]
- Sun, J. Rapid Simultaneous Quantification of Zearalenone and Fumonisin B1 in Corn and Wheat by Lateral Flow Dual Immunoassay. J. Agric. Food Chem. 2013, 61, 5031–5036. [Google Scholar]
- Jovanović, N.; Bouchard, A.; Hofland, G.W.; Witkamp, G.J.; Crommelin, D.J.A.; Jiskoot, W. Distinct effects of sucrose and trehalose on protein stability during supercritical fluid drying and freeze-drying. Eur. J. Pharm. Sci. 2006, 27, 336–345. [Google Scholar] [CrossRef]
- Le Basle, Y.; Chennell, P.; Tokhadze, N.; Astier, A.; Sautou, V. Physicochemical Stability of Monoclonal Antibodies: A Review. J. Pharm. Sci. 2020, 109, 169–190. [Google Scholar] [CrossRef] [PubMed] [Green Version]
- Punitha, S.; Uvarani, R.; Panneerselvam, A.; Nithiyanantham, S. Physico-chemical studies on some saccharides in aqueous cellulose solutions at different temperatures—Acoustical and FTIR analysis. J. Saudi Chem. Soc. 2014, 18, 657–665. [Google Scholar] [CrossRef] [Green Version]
- Jena, S.; Suryanarayanan, R.; Aksan, A. Mutual Influence of Mannitol and Trehalose on Crystallization Behavior in Frozen Solutions. Pharm. Res. 2016, 33, 1413–1425. [Google Scholar] [CrossRef]
- Chattopadhyay, K.; Mazumdar, S. Structural and Conformational Stability of Horseradish Peroxidase: Effect of Temperature and pH. Biochemistry 2000, 39, 263–270. [Google Scholar] [CrossRef]
- Sun, Y.; Yang, J.; Yang, S.; Sang, Q.; Teng, M.; Li, Q. Development of an immunochromatographic lateral flow strip for the simultaneous detection of aminoglycoside residues in milk. RSC Adv. 2018, 8, 9580–9586. [Google Scholar] [CrossRef] [Green Version]
- Bever, C.S.; Adams, C.A.; Hnasko, R.M.; Cheng, L.W.; Stanker, H. Lateral flow immunoassay (LFIA) for the detection of lethal amatoxins from mushrooms. PLoS ONE 2020, 15, e0231781. [Google Scholar] [CrossRef] [PubMed]
- Ohtake, S.; Kita, Y.; Arakawa, T. Interactions of formulation excipients with proteins in solution and in the dried state. Adv. Drug Deliv. Rev. 2011, 63, 1053–1073. [Google Scholar] [CrossRef] [PubMed]
- Uri, D.; Teiwes, H. A Paper-Based Lateral Flow Device for the Detection of I α IP via ELISA Open Access. Master’s Thesis, University of Rhode Island, Kingston, RI, USA, 2014. [Google Scholar]
- Telis, V.R.N.; Mazzotti, H.B.; Gabas, A.L. Viscosity of Aqueous Carbohydrate Solutions at Different Temperatures and Concentrations. Int. J. Food Prop. 2007, 10, 185–195. [Google Scholar] [CrossRef]
- Shahrokh, Z. Enabling Freeze-Thaw Stability of PBS-Based Formulations of a Monoclonal Antibody. BioPharm Int. 2016, 29, 8–9. [Google Scholar]
- Kubiak, R.J.; Lee, N.; Zhu, Y.; Franch, W.R.; Levitskaya, S.V.; Krishnan, S.R.; Abraham, V.; Akufongwe, P.F.; Larkin, C.J.; White, W.I. Storage Conditions of Conjugated Reagents Can Impact Results of Immunogenicity Assays. J. Immunol. Res. 2016, 2016, 1485615. [Google Scholar] [CrossRef] [Green Version]
- Alam, N.; Tong, L.; He, Z.; Tang, R.; Ahsan, L. Improving the sensitivity of cellulose fiber-based lateral flow assay by incorporating a water-dissolvable polyvinyl alcohol dam. Cellulose 2021, 28, 8641–8651. [Google Scholar] [CrossRef]
- Harpaz, D.; Axelrod, T.; Yitian, A.L.; Eltzov, E.; Marks, R.S.; Tok, A.I.Y. Dissolvable Polyvinyl-Alcohol Film, a Time-Barrier to Modulate Sample Flow in a 3D-Printed Holder for Capillary Flow Paper Diagnostics. Materials 2019, 12, 343. [Google Scholar] [CrossRef] [Green Version]
- Studentsov, Y.Y.; Schiffman, M.; Strickler, H.D.; Ho, G.Y.F.; Pang, Y.S.; Schiller, J.; Herrero, R.; Burk, R.D. Enhanced Enzyme-Linked Immunosorbent Assay for Detection of Antibodies to Virus-Like Particles of Human Papillomavirus. J. Clin. Microbiol. 2002, 40, 1755–1760. [Google Scholar] [CrossRef] [Green Version]
- Chen, Z.; Zhang, Z.; Zhai, X.; Li, Y.; Lin, L.; Zhao, H.; Bian, L.; Li, P.; Yu, L.; Wu, Y.; et al. Rapid and Sensitive Detection of anti-SARS-CoV-2 IgG, Using Lanthanide-Doped Nanoparticles-Based Lateral Flow Immunoassay. Anal. Chem. 2020, 92, 7226–7231. [Google Scholar] [CrossRef]
- Boyd, S.; Letcher, K.; Yamazaki, H. Stabilization effect of polyvinyl alcohol on horseradish peroxidase, glucose oxidase, β-galactosidase and alkaline phosphatase. Biotechnol. Tech. 1996, 10, 693–698. [Google Scholar] [CrossRef]
- Omidfar, K.; Dehdast, A.; Zarei, H.; Sourkohi, B.K.; Larijani, B. Development of urinary albumin immunosensor based on colloidal AuNP and PVA. Biosens. Bioelectron. 2011, 26, 4177–4183. [Google Scholar] [CrossRef] [PubMed]
- Borse, V.; Srivastava, R. Process parameter optimization for lateral flow immunosensing. Mater. Sci. Energy Technol. 2019, 2, 434–441. [Google Scholar] [CrossRef]
- Kumar, R.; Yadav, S.C.; Kumar, S.; Dilbaghi, N. Development of membrane-based flow-through assay for detection of trypanosomosis in equines. J. Parasit. Dis. 2020, 44, 99–104. [Google Scholar] [CrossRef] [PubMed]
- Axelrod, T.; Eltzov, E.; Marks, R.S. Capture-Layer Lateral Flow Immunoassay: A New Platform Validated in the Detection and Quantification of Dengue NS1. ACS Omega 2020, 5, 10433–10440. [Google Scholar] [CrossRef]
- Alhussien, M.N.; Dang, A.K. Sensitive and rapid lateral-flow assay for early detection of subclinical mammary infection in dairy cows. Sci. Rep. 2020, 10, 11161. [Google Scholar] [CrossRef]
- Tomás, A.L.; de Almeida, M.P.; Cardoso, F.; Pinto, M.; Pereira, E.; Franco, R.; Matos, O. Development of a Gold Nanoparticle-Based Lateral-Flow Immunoassay for Pneumocystis Pneumonia Serological Diagnosis at Point-of-Care. Front. Microbiol. 2019, 10, 2917. [Google Scholar] [CrossRef]









| Properties | AP080 | AP110 | AP120 |
|---|---|---|---|
| Thickness (µm) | 650–950 | 970–1330 | 1120–1580 |
| Weight (mg/cm2) | 10–22 | 57–93 | 60–100 |
| Water holding capacity (mg/cm2) | 52–112 | 87–147 | 110–200 |
Publisher’s Note: MDPI stays neutral with regard to jurisdictional claims in published maps and institutional affiliations. |
© 2022 by the authors. Licensee MDPI, Basel, Switzerland. This article is an open access article distributed under the terms and conditions of the Creative Commons Attribution (CC BY) license (https://creativecommons.org/licenses/by/4.0/).
Share and Cite
Kaur, M.; Eltzov, E. Optimizing Effective Parameters to Enhance the Sensitivity of Vertical Flow Assay for Detection of Escherichia coli. Biosensors 2022, 12, 63. https://doi.org/10.3390/bios12020063
Kaur M, Eltzov E. Optimizing Effective Parameters to Enhance the Sensitivity of Vertical Flow Assay for Detection of Escherichia coli. Biosensors. 2022; 12(2):63. https://doi.org/10.3390/bios12020063
Chicago/Turabian StyleKaur, Manpreet, and Evgeni Eltzov. 2022. "Optimizing Effective Parameters to Enhance the Sensitivity of Vertical Flow Assay for Detection of Escherichia coli" Biosensors 12, no. 2: 63. https://doi.org/10.3390/bios12020063
APA StyleKaur, M., & Eltzov, E. (2022). Optimizing Effective Parameters to Enhance the Sensitivity of Vertical Flow Assay for Detection of Escherichia coli. Biosensors, 12(2), 63. https://doi.org/10.3390/bios12020063

