Drain Current Model for Double Gate Tunnel-FETs with InAs/Si Heterojunction and Source-Pocket Architecture
Abstract
:1. Introduction
2. Heterojunction Source-Pocket DGTFET
3. Model Derivation for InAs/Si HSP-TFET
3.1. Channel Potential Model
3.2. Drain Current Model
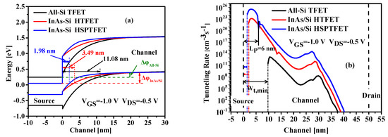
4. Results and Discussion
4.1. Channel Potential
4.2. Drain Current
5. Conclusions
Author Contributions
Funding
Conflicts of Interest
Appendix A
| Quantity | Value | 
|---|---|
| Channel length, Lg (nm) | 50 | 
| Pocket length, LP (nm) | 6 | 
| Source/Drain length, LSD (nm) | 50 | 
| Silicon layer thickness, tSi (nm) | 10 | 
| Gate dielectric thickness, tox (nm) | 2 | 
| Source doping, Ns (cm−3) | 1 × 1020 | 
| Pocket doping, NP (cm−3) | 1 × 1019 | 
| Channel doping, Ni (cm−3) | 1 × 1017 | 
| Drain doping, ND (cm−3) | 1 × 1021 | 
| Quantity | Value | 
|---|---|
| Vacuum permittivity | ε0 | 
| Silicon permittivity, εSi | 11.9ε0 | 
| Oxide permittivity, εOX | 3.9ε0 | 
| Source Energy band gap (InAs), Eg,Source (eV) | 0.36 | 
| Channel Energy band gap (Si), Eg,Channel (eV) | 1.12 | 
| Drain Energy band gap (Si), Eg,Drain (eV) | 0.89 | 
| Source Affinity, χSource (eV) | 4.93 | 
| Channel Affinity, χChannel (eV) | 4.07 | 
| Drain Affinity, χDrain (eV) | 4.18 | 
| Silicon Conduction density of states, NC,Si (cm−3) | 2.58 × 1019 | 
| Silicon Valance density of states, NV,Si (cm−3) | 1.94 × 1019 | 
| InAs Conduction density of states, NC,InAs (cm−3) | 8.72 × 1016 | 
| InAs Valance density of states, NV,InAs (cm−3) | 6.66 × 1018 | 
References
- Lu, B.; Lu, H.L.; Zhang, Y.; Zhang, Y.; Cui, X.R.; Lv, Z.J.; Liu, C. Fully Analytical Carrier-Based Charge and Capacitance Model for Hetero-Gate-Dielectric Tunneling Field-Effect Transistors. IEEE Trans. Electron Devices 2018, 65, 3555–3561. [Google Scholar] [CrossRef]
- Chen, F.; Ilatikhameneh, H.; Tan, Y.; Gerhard, K.; Rajib, R. Switching Mechanism and the Scalability of vertical-TFETs. IEEE Trans. Electron Devices 2018, 65, 3065–3068. [Google Scholar] [CrossRef]
- Strangio, S.; Palestri, P.; Lan, M. Benchmarks of a III-V TFET technology platform against the 10-nm CMOS FinFET technology node considering basic arithmetic circuits. Solid-State Electron. 2017, 128, 37–42. [Google Scholar] [CrossRef]
- Liu, J.S.; Clavel, M.B.; Hudait, M.K. An Energy-Efficient Tensile-Strained Ge/InGaAs TFET 7T SRAM Cell Architecture for Ultralow-Voltage Applications. IEEE Trans. Electron Devices 2017, 64, 2193–2200. [Google Scholar] [CrossRef]
- Noor, S.L.; Safa, S.; Khan, Z.R. Dual-material double-gate tunnel FET: Gate threshold voltage modeling and extraction. J. Comput. Electron. 2016, 15, 763–769. [Google Scholar] [CrossRef]
- Semiconductor Industry Association (SIA). International Technology Roadmap for Semiconductors 2015. Available online: https://www.semiconductors.org/wp-content/uploads/2018/06/6_2015-ITRS-2.0-Beyond-CMOS.pdf (accessed on 1 February 2019).
- Ameen, T.A.; Ilatikhameneh, H.; Fay, P. Alloy Engineered Nitride Tunneling Field-Effect Transistor: A Solution for the Challenge of Heterojunction TFETs. IEEE Trans. Electron Devices 2018, 66, 736–742. [Google Scholar] [CrossRef]
- Ambika, R.; Keerthana, N.; Srinivasan, R. Realization of Silicon nanotube tunneling FET on junctionless structure using single and multiple gate workfunction. Solid-State Electron. 2017, 127, 45–50. [Google Scholar] [CrossRef]
- Lu, B.; Lu, H.; Zhang, Y.; Zhang, Y.; Lv, Z.; Zhao, Y. A Novel Planar InAs/Si Hetero-TFET with Buried Drain Design and Face-tunneling Technique. In Proceedings of the 2018 14th IEEE International Conference on Solid-State and Integrated Circuit Technology (ICSICT), Qingdao, China, 31 October–3 November 2018. [Google Scholar]
- Giannazzo, F.; Greco, G.; Roccaforte, F.; Sushant, S.S. Vertical transistors based on 2D materials: Status and prospects. Crystals 2018, 8, 70. [Google Scholar] [CrossRef]
- Sarkar, D.; Xie, X.; Liu, W.; Cao, W.; Kang, J.; Gong, Y.; Kraemer, S.; Pulickel, M.A.; Kaustav, B. A subthermionic tunnel field-effect transistor with an atomically thin channel. Nature 2015, 526, 91. [Google Scholar] [CrossRef] [PubMed]
- Mookerjea, S.; Krishnan, R.; Datta, S.; Narayanan, V. Effective capacitance and drive current for tunnel FET (TFET) CV/I estimation. IEEE Trans. Electron Devices 2009, 56, 2092–2098. [Google Scholar] [CrossRef]
- Das, G.D.; Mishra, G.P.; Dash, S. Impact of source-pocket engineering on device performance of dielectric modulated tunnel FET. Superlattices Microstruct. 2018, 124, 131–138. [Google Scholar] [CrossRef]
- Chang, H.Y.; Adams, B.; Chien, P.Y.; Li, J.; Woo, J.C. Improved subthreshold and output characteristics of source-pocket Si tunnel FET by the application of laser annealing. IEEE Trans. Electron Devices 2013, 60, 92–96. [Google Scholar] [CrossRef]
- Mahajan, A.; Dash, D.K.; Banerjee, P.; Sarkar, S.K. Analytical Modeling of Triple-Metal Hetero-Dielectric DG SON TFET. J. Mater. Eng. Perform. 2018, 27, 2693–2700. [Google Scholar] [CrossRef]
- Wang, P.; Zhuang, Y.; Li, C.; Jiang, Z.; Liu, Y. Drain current model for double-gate tunnel field-effect transistor with hetero-gate-dielectric and source-pocket. Microelectron. Reliab. 2016, 59, 30–36. [Google Scholar] [CrossRef]
- Samuel, T.A.; Balamurugan, N.B. Analytical modeling and simulation of germanium single gate silicon on insulator TFET. J. Semicond. 2014, 35, 034002. [Google Scholar] [CrossRef]
- Xu, W.; Wong, H.; Iwai, H. Analytical model of drain current of cylindrical surrounding gate pnin TFET. Solid-State Electron. 2015, 111, 171–179. [Google Scholar] [CrossRef]
- Ionescu, A.M.; Riel, H. Tunnel field-effect transistors as energy-efficient electronic switches. Nature 2011, 479, 329–337. [Google Scholar] [CrossRef] [PubMed]
- Lu, B.; Lu, H.; Zhang, Y.; Zhang, Y.; Cui, X.; Jin, C.; Liu, C. Improved analytical model of surface potentialwith modifiedboundary conditions for double gate tunnel FETs. Microelectron. Reliab. 2017, 79, 231–238. [Google Scholar]
- Madan, J.; Gupta, R.S.; Chaujar, R. Analytical drain current formulation for gate dielectric engineered dual material gate-gate all around-tunneling field effect transistor. Jpn. J. Appl. Phys. 2015, 54, 094202. [Google Scholar] [CrossRef]
- Meshkin, R.; Ziabari, S.A.S.; Jordehi, A.R. A Novel Analytical Approach to Optimize the Work Functions of Dual-Material Double-Gate Tunneling-FETs. Superlattices Microstruct. 2018, 126, 63–71. [Google Scholar] [CrossRef]
- Sentaurus Device User Guide, version H-2013.03; Synopsys, Inc.: Mountain View, CA, USA, 2013; pp. 400–401.
- Wang, C.; Wu, C.; Wang, J.; Huang, Q.; Huang, R. Analytical current model of tunneling field-effect transistor considering the impacts of both gate and drain voltages on tunneling. Sci. China Inf. Sci. 2015, 58, 1–8. [Google Scholar] [CrossRef]
- Nigam, K.; Pandey, S.; Kondekar, N. A Barrier Controlled Charge Plasma-Based TFET With Gate Engineering for Ambipolar Suppression and RF/Linearity Performance Improvement. IEEE Trans. Electron Devices 2017, 64, 2751–2757. [Google Scholar] [CrossRef]
- Kwon, D.W.; Kim, J.H.; Park, E.; Lee, J.; Park, T.; Lee, R.; Park, G. Reduction method of gate-to-drain capacitance by oxide spacer formation in tunnel field-effect transistor with elevated drain. Jpn. J. Appl. Phys. 2016, 55, 06GG04. [Google Scholar] [CrossRef]
- Bessire, C.D.; Bjoörk, M.T.; Schmid, H.; Andreas, S.; Kathleen, B.R.; Heike, R. Trap-assisted tunneling in Si-InAs nanowire heterojunction tunnel diodes. Nano Lett. 2011, 11, 4195–4199. [Google Scholar] [CrossRef] [PubMed]
- Sant, S.; Moselund, K.; Cutaia, D.; Schmid, H.; Mattias, B.; Heike, R.; Andreas, S. Lateral InAs/Si p-type tunnel FETs integrated on Si—Part 2: Simulation study of the impact of interface traps. IEEE Trans. Electron Devices 2016, 63, 4240–4247. [Google Scholar] [CrossRef]
- Björk, M.T.; Schmid, H.; Bessire, C.D.; Moselund, K.E.; Ghoneim, H.; Karg, S.; Lonscher, E.; Riel, H. Si–InAs heterojunction Esaki tunnel diodes with high current densities. Appl. Phys. Lett. 2010, 97, 163501. [Google Scholar] [CrossRef]








© 2019 by the authors. Licensee MDPI, Basel, Switzerland. This article is an open access article distributed under the terms and conditions of the Creative Commons Attribution (CC BY) license (http://creativecommons.org/licenses/by/4.0/).
Share and Cite
Lu, H.; Lu, B.; Zhang, Y.; Zhang, Y.; Lv, Z. Drain Current Model for Double Gate Tunnel-FETs with InAs/Si Heterojunction and Source-Pocket Architecture. Nanomaterials 2019, 9, 181. https://doi.org/10.3390/nano9020181
Lu H, Lu B, Zhang Y, Zhang Y, Lv Z. Drain Current Model for Double Gate Tunnel-FETs with InAs/Si Heterojunction and Source-Pocket Architecture. Nanomaterials. 2019; 9(2):181. https://doi.org/10.3390/nano9020181
Chicago/Turabian StyleLu, Hongliang, Bin Lu, Yuming Zhang, Yimen Zhang, and Zhijun Lv. 2019. "Drain Current Model for Double Gate Tunnel-FETs with InAs/Si Heterojunction and Source-Pocket Architecture" Nanomaterials 9, no. 2: 181. https://doi.org/10.3390/nano9020181
APA StyleLu, H., Lu, B., Zhang, Y., Zhang, Y., & Lv, Z. (2019). Drain Current Model for Double Gate Tunnel-FETs with InAs/Si Heterojunction and Source-Pocket Architecture. Nanomaterials, 9(2), 181. https://doi.org/10.3390/nano9020181
 
        
 
       