Electrochemical Performance and Time Stability of the Solid Oxide Cells with a (La,Sr)(Ga,Fe,Mg)O3−δ Electrolyte and (La,Sr)(Fe,Ga,Mg)O3−δ Electrodes
Abstract
1. Introduction
2. Materials and Methods
3. Results
3.1. XRD Certification
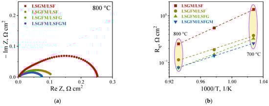
3.2. Electrochemical Measurements
3.3. Long-Term Testing
4. Conclusions
Author Contributions
Funding
Data Availability Statement
Acknowledgments
Conflicts of Interest
References
- Qasem, N.A.A.; Abdulrahman, G.A.Q. A recent Comprehensive review of fuel Cells: History, Types, and Applications. Int. J. Energy Res. 2024, 1, 7271748. [Google Scholar] [CrossRef]
- Zou, D.; Yi, Y.; Song, Y.; Guan, D.; Xu, M.; Ran, R.; Wang, W.; Zhou, W.; Shao, Z. The BaCe0.16Y0.04Fe0.8O3−δ nanocomposite: A new high-performance cobalt-free triple-conducting cathode for protonic ceramic fuel cells operating at reduced temperatures. J. Mater. Chem. A 2022, 10, 5381–5390. [Google Scholar] [CrossRef]
- Ya, Y.; Xu, Y.; Elbanna, A.M.; Liu, Y.; Sun, B.; Cheng, X. Review of direct ammonia solid oxide fuel cells: Low temperature cell structure and ammonia decomposition strategies. Renew. Sustain. Energy Rev. 2025, 213, 115350. [Google Scholar] [CrossRef]
- Bhardwaj, S.; Jayant, A. Advancements in electrolysis technologies: Exploring the potential of oxyhydrogen as a clean energy source. Fuel 2025, 389, 134522. [Google Scholar] [CrossRef]
- Demin, A.K.; Bronin, D.I. Solid state electrochemical devices for hydrogen energy. Electrochem. Mater. Technol. 2023, 2, 20232016. [Google Scholar] [CrossRef]
- Hamiche, A.M.; Stambouli, A.B.; Benmessaoud, M.T.; Kitamura, Y. Advances in steam electrolysis for green hydrogen production: Current status and future outlook. Fuel 2025, 395, 135165. [Google Scholar] [CrossRef]
- Tang, Y.; Hu, Y.; Wen, S.; Lei, S.; Lin, Y.; Ding, L.; Wang, H. Electrochemically-driven solid oxide tubular membrane reactor for efficient separation of oxygen and argon. J. Membr. Sci. Lett. 2025, 1, 100092. [Google Scholar] [CrossRef]
- Cheng, H.; Wang, X.; Meng, X.; Meng, B.; Sunarso, J.; Tan, X.; Liu, L.; Liu, S. Dual-layer BaCe0.8Y0.2O3–δ-Ce0.8Y0.2O2–δ/BaCe0.8Y0.2O3–δ-Ni hollow fiber membranes for H2 separation. J. Membr. Sci. 2020, 601, 117801. [Google Scholar] [CrossRef]
- Malerød-Fjeld, H.; Clark, D.; Yuste-Tirados, I.; Zanón, R.; Catalán-Martinez, D.; Beeaff, D.; Morejudo, S.H.; Vestre, P.K.; Norby, T.; Haugsrud, R.; et al. Thermo-electrochemical production of compressed hydrogen from methane with near-zero energy loss. Nat. Energy 2017, 12, 923–931. [Google Scholar] [CrossRef]
- Starostin, G.; Volkov, A.N.; Kalyakin, A.S.; Medvedev, D.A. High-temperature gas sensors based on proton-conducting ceramic oxides. A brief review. Ceram. Int. 2024, 20, 37449–37459. [Google Scholar] [CrossRef]
- Kalyakin, A.S.; Volkov, A.N.; Gorshkov, M.Y. Stability and reproducibility of solid electrolyte amperometry sensors at the analysis of hydrogen in nitrogen-containing gas mixtures. Electrochem. Mater. Technol. 2024, 1, 20243026. [Google Scholar] [CrossRef]
- Kalyakin, A.S.; Volkov, A.N. Sensor for operational control of oxygen and combustible gases concentration in waste gases of thermal units. Electrochem. Mater. Technol. 2023, 3, 20232019. [Google Scholar] [CrossRef]
- Dunyushkina, L.A. Solid oxide Fuel cells with a thin Film Electrolyte: A review on manufacturing technologies and electrochemical characteristicses. Electrochem. Mater. Technol. 2022, 1, 20221006. [Google Scholar] [CrossRef]
- Xiao, M.; Liu, Z.; Di, H.; Bai, Y.; Yang, G.; Medvedev, D.A.; Luo, Z.; Wang, W.; Zhou, W.; Ran, R.; et al. High-entropy materials for solid oxide cells: Synthesis, applications, and prospects. J. Energy Chem. 2025, 104, 268–296. [Google Scholar] [CrossRef]
- Zamudio-García, J.; Caizán-Juanarena, L.; Porras-Vázquez, J.M.; Losilla, E.R.; Marrero-López, D. A review on recent advances and trends in symmetrical electrodes for solid oxide cells. J. Power Sources 2022, 520, 230852. [Google Scholar] [CrossRef]
- Zhu, K.; Luo, B.; Liu, Z.; Wen, X. Recent advances and prospects of symmetrical solid oxide fuel cells. Ceram. Int. 2022, 7, 8972–8986. [Google Scholar] [CrossRef]
- Liu, Q.; Bugaris, D.E.; Xiao, G.; Chmara, M.; Ma, S.; zur Loye, H.; Amiridis, M.D.; Chen, F. Sr2Fe1.5Mo0.5O6–δ as a regenerative anode for solid oxide fuel cells. J. Power Sources 2011, 196, 9148–9153. [Google Scholar] [CrossRef]
- He, B.; Zhao, L.; Song, S.; Liu, T.; Chen, F.; Xia, C. Sr2Fe1.5Mo0.5O6−δ–Sm0.2Ce0.8O1.9 Composite Anodes for Intermediate-Temperature Solid Oxide Fuel Cells. J. Electrochem. Soc. 2012, 159, B619–B626. [Google Scholar] [CrossRef]
- Filonova, E.; Medvedev, D. Recent progress in the Design, characterisation and application of LaAlO3- and LaGaO3-based solid oxide fuel cell electrolytes. Nanomaterials 2022, 12, 1991. [Google Scholar] [CrossRef]
- Gordeev, E.V.; Porotnikova, N.M. Approaches for the preparation of dense ceramics and sintering aids for Sr/mg doped lanthanum gallate: Focus review. Electrochem. Mater. Technol. 2023, 4, 20232022. [Google Scholar] [CrossRef]
- Md Harashid, M.A.; Chen, R.S.; Ahmad, S.H.; Ismail, A.F.; Baharuddin, N.A. Recent advances in electrode material for symmetrical solid oxide fuel cells and way forward sustainability based on local mineral resources. Int. J. Energy Res. 2022, 15, 22188–22221. [Google Scholar] [CrossRef]
- Istomin, S.Y.; Lyskov, N.V.; Mazo, G.N.; Antipov, E.V. Electrode materials based on complex d-metal oxides for symmetrical solid oxide fuel cells. Russ. Chem. Rev. 2021, 6, 644–676. [Google Scholar] [CrossRef]
- dos Santos-Gómez, L.; Porras-Vázquez, J.M.; Losilla, E.R.; Marrero-López, D. Ti-doped SrFeO3 nanostructured electrodes for symmetric solid oxide fuel cells. RSC Adv. 2015, 130, 107889–107895. [Google Scholar] [CrossRef]
- Osinkin, D.A. Precursor of Pr2NiO4+δ as a highly effective catalyst for the simultaneous promotion of oxygen reduction and hydrogen oxidation reactions in solid oxide electrochemical devices. Int. J. Hydrogen Energy 2021, 48, 24546–24554. [Google Scholar] [CrossRef]
- He, W.; Fan, J.; Zhang, H.; Chen, M.; Sun, Z.; Ni, M. Zr doped BaFeO3–δ as a robust electrode for symmetrical solid oxide fuel cells. Int. J. Hydrogen Energy 2019, 60, 32164–32169. [Google Scholar] [CrossRef]
- Ma, L.; Wang, Y.; Li, W.; Guan, B.; Qi, H.; Tian, H.; Zhou, L.; De Santiago, H.A.; Liu, X. Redox-stable symmetrical solid oxide fuel cells with exceptionally high performance enabled by electrode/electrolyte diffuse interface. J. Power Sources 2021, 488, 229458. [Google Scholar] [CrossRef]
- Zhang, J.; Ricote, S.; Hendriksen, V.P.; Chen, Y. Advanced Materials for Thin-Film Solid Oxide Fuel Cells: Recent Progress and Challenges in Boosting the Device Performance at Low Temperatures. Adv. Funct. Mater. 2022, 32, 2111205. [Google Scholar] [CrossRef]
- Porotnikova, N.; Osinkin, D. Segregation and interdiffusion processes in perovskites: A review of recent advances. J. Mater. Chem. A 2024, 5, 2620–2646. [Google Scholar] [CrossRef]
- He, S.; Zou, Y.; Chen, K.; Jiang, S.P. A critical review of key materials and issues in solid oxide cells. Interdiscip. Mater. 2023, 1, 111–136. [Google Scholar] [CrossRef]
- Hanif, M.B. Tailoring thermal expansion for next-generation energy systems: Integrating the potential of NTE materials in SOFCs and beyond. J. Power Sources 2025, 633, 236460. [Google Scholar] [CrossRef]
- Wu, S.; Yan, W.; Ni, N.; Zhu, L.; Huang, Z. Densification of ceria-based barrier layer for solid oxide cells at lower sintering temperatures: A review. J. Adv. Ceram. 2025, 1, 9221001. [Google Scholar] [CrossRef]
- Holzer, L.; Iwanschitz, B.; Hocker, T.; Münch, B.; Prestat, M.; Wiedenmann, D.; Vogt, U.; Holtappels, P.; Sfeir, J.; Mai, A.; et al. Microstructure degradation of cermet anodes for solid oxide fuel cells: Quantification of nickel grain growth in dry and in humid atmospheres. J. Power Sources 2011, 3, 1279–1294. [Google Scholar] [CrossRef]
- Han, F.; Lang, M.; Szabo, P.; Geipel, C.; Walter, C.; Costa, R. Performance and degradation of electrolyte Supported SOECs with advanced Thin-film Gadolinium doped Ceria barrier Layers in Long-term Stack Test. J. Electrochem. Soc. 2024, 5, 054515. [Google Scholar] [CrossRef]
- Gordeev, E.V.; Osinkin, D.A. Step-by-step strategy to improve the performance of the (La,Sr)(Ga,Mg)O3–δ electrolyte for symmetrical solid oxide fuel cells. Ceram. Int. 2024, 22, 47395–47401. [Google Scholar] [CrossRef]
- Yoo, J.S.; Lee, S.; Yu, J.H.; Woo, S.K.; Park, H.; Kim, H.G. Fe doping effects on phase stability and conductivity of La0.75Sr0.25Ga0.8Mg0.2O3−δ. J. Power Sources 2009, 193, 593–597. [Google Scholar] [CrossRef]
- Kharton, V.V.; Yaremchenko, A.A.; Viskup, A.P.; Patrakeev, M.V.; Leonidov, I.A.; Kozhevnikov, V.L.; Figuerido, F.M.; Shaulo, A.L.; Naumovich, E.N.; Marques, F.M.B. Oxygen Permeability and Ionic Conductivity of Perovskite-Related La0.3Sr0.7Fe(Ga)O3–δ. J. Electrochem. Soc. 2002, 149, E125–E135. [Google Scholar] [CrossRef]
- Xu, J.; Li, X.; Lu, F.; Fu, H.; Brown, C.M.; Kuang, X. Oxygen interstitials and vacancies in LaSrGa3O7-based melilites. J. Solid State Chem. 2015, 230, 309–317. [Google Scholar] [CrossRef]
- Liu, Q.; Dong, X.; Xiao, G.; Zhao, F.; Chen, F. A novel Electrode material for symmetrical SOFCs. Adv. Mater. 2010, 48, 5478–5482. [Google Scholar] [CrossRef]
- Zhou, Q.; Yuan, C.; Han, D.; Luo, T.; Li, J.; Zhan, Z. Evaluation of LaSr2Fe2CrO9–δ as a Potential Electrode for Symmetrical Solid Oxide Fuel Cells. Electrochim. Acta 2014, 133, 453–458. [Google Scholar] [CrossRef]
- Gou, M.; Ren, R.; Sun, W.; Xu, C.; Meng, X.; Wang, Z.; Qiao, J.; Sun, K. Nb-doped Sr2Fe1.5Mo0.5O6–δ electrode with enhanced stability and electrochemical performance for symmetrical solid oxide fuel cells. Ceram. Int. 2019, 12, 15696–15704. [Google Scholar] [CrossRef]
- Niu, B.; Jin, F.; Feng, T.; Zhang, L.; Zhang, Y.; He, T. A-site deficient (La0.6Sr0.4)1–xCo0.2Fe0.6Nb0.2O3–δ symmetrical electrode materials for solid oxide fuel cells. Electrochim. Acta 2018, 270, 174–182. [Google Scholar] [CrossRef]
- Kong, X.; Zhou, X.; Tian, Y.; Wu, X.; Zhang, J.; Zuo, W. Niobium doped lanthanum calcium ferrite perovskite as a novel electrode material for symmetrical solid oxide fuel cells. J. Power Sources 2016, 326, 35–42. [Google Scholar] [CrossRef]
- Zhou, J.; Chen, Y.; Chen, G.; Wu, K.; Cheng, Y. Evaluation of LaxSr2−xFeO4 layered perovskite as potential electrode materials for symmetrical solid oxide fuel cells. J. Alloys Compd. 2015, 647, 778–783. [Google Scholar] [CrossRef]
- Gordeev, E.; Belyakov, S.; Antonova, E.; Osinkin, D. Highly conductive Fe-doped (La,Sr)(Ga,Mg)O3−δ Solid-state Membranes for electrochemical Application. Membranes 2023, 5, 502. [Google Scholar] [CrossRef]







| Electrolyte Composition | Electrode Composition | Cell Designation |
|---|---|---|
| La0.8Sr0.2Ga0.8Mg0.2O3−δ | La0.6Sr0.4FeO3−δ | LSGM/LSF |
| (La0.8Sr0.2)0.98Ga0.7Fe0.1Mg0.2O3−δ + 0.5 wt.% Fe2O3 | La0.6Sr0.4FeO3−δ | LSGFM/LSF |
| La0.6Sr0.4Fe0.8Ga0.2O3−δ | LSGFM/LSFG | |
| La0.6Sr0.4Fe0.85Ga0.1Mg0.05O3−δ | LSGFM/LSFGM |
| Electrode | Rη, Ω cm2 | Ref. |
|---|---|---|
| Sr2Fe1.5Mo0.5O6−δ | 0.24 | [38] |
| LaSr2Fe2CrO9−δ | 0.29 | [39] |
| Sr2Fe1.4Nb0.1Mo0.5O6−δ | 0.1 | [40] |
| La0.6Sr0.4Co0.2Fe0.6Nb0.2O3−δ | 0.36 | [41] |
| La0.9Ca0.1Fe0.9Nb0.1O3−δ | 0.24 | [42] |
| La1.4Sr0.6FeO4−δ | 5.82 | [43] |
| La0.6Sr0.4FeO3−δ (on LSGM) | 0.25 | This study |
| La0.6Sr0.4FeO3−δ (on LSGFM *) | 0.11 | |
| La0.6Sr0.4Fe0.8Ga0.2O3−δ | 0.08 | |
| La0.6Sr0.4Fe0.85Ga0.1Mg0.05O3−δ | 0.08 |
Disclaimer/Publisher’s Note: The statements, opinions and data contained in all publications are solely those of the individual author(s) and contributor(s) and not of MDPI and/or the editor(s). MDPI and/or the editor(s) disclaim responsibility for any injury to people or property resulting from any ideas, methods, instructions or products referred to in the content. |
© 2025 by the authors. Licensee MDPI, Basel, Switzerland. This article is an open access article distributed under the terms and conditions of the Creative Commons Attribution (CC BY) license (https://creativecommons.org/licenses/by/4.0/).
Share and Cite
Gordeev, E.; Antonova, E.; Osinkin, D. Electrochemical Performance and Time Stability of the Solid Oxide Cells with a (La,Sr)(Ga,Fe,Mg)O3−δ Electrolyte and (La,Sr)(Fe,Ga,Mg)O3−δ Electrodes. Nanomaterials 2025, 15, 935. https://doi.org/10.3390/nano15120935
Gordeev E, Antonova E, Osinkin D. Electrochemical Performance and Time Stability of the Solid Oxide Cells with a (La,Sr)(Ga,Fe,Mg)O3−δ Electrolyte and (La,Sr)(Fe,Ga,Mg)O3−δ Electrodes. Nanomaterials. 2025; 15(12):935. https://doi.org/10.3390/nano15120935
Chicago/Turabian StyleGordeev, Egor, Ekaterina Antonova, and Denis Osinkin. 2025. "Electrochemical Performance and Time Stability of the Solid Oxide Cells with a (La,Sr)(Ga,Fe,Mg)O3−δ Electrolyte and (La,Sr)(Fe,Ga,Mg)O3−δ Electrodes" Nanomaterials 15, no. 12: 935. https://doi.org/10.3390/nano15120935
APA StyleGordeev, E., Antonova, E., & Osinkin, D. (2025). Electrochemical Performance and Time Stability of the Solid Oxide Cells with a (La,Sr)(Ga,Fe,Mg)O3−δ Electrolyte and (La,Sr)(Fe,Ga,Mg)O3−δ Electrodes. Nanomaterials, 15(12), 935. https://doi.org/10.3390/nano15120935

