Quantum Cone—A Nano-Source of Light with Dispersive Spectrum Distributed along Height and in Time
Abstract
1. Introduction
2. Materials and Methods
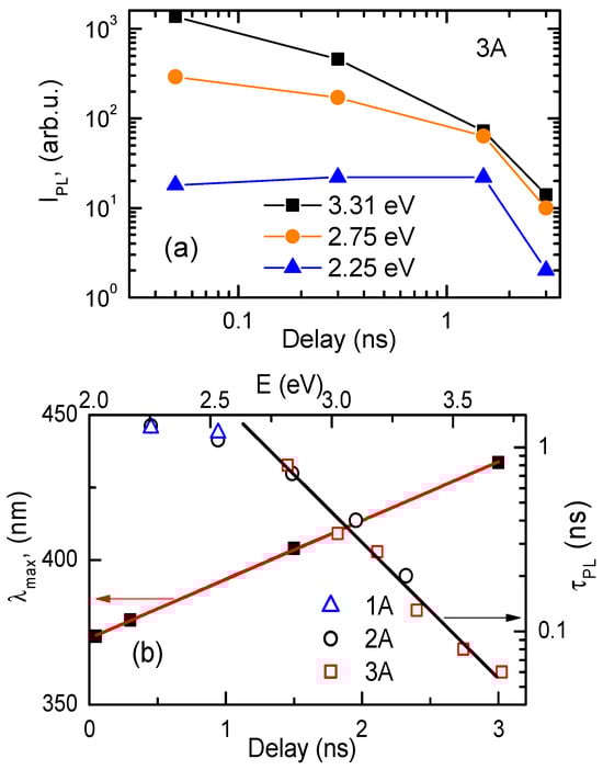
3. Results
4. Discussion
5. Conclusions
Author Contributions
Funding
Data Availability Statement
Conflicts of Interest
References
- Li, H.; Zhang, Z.; Ding, J.; Xu, Y.; Chen, G.; Liu, J. Diamond-like carbon structure-doped carbon dots: A new class of self-quenching-resistant solid-state fluorescence materials toward light-emitting diodes. Carbon 2019, 149, 342–349. [Google Scholar] [CrossRef]
- Kwon, W.; Do, S.; Lee, J.; Hwang, S.; Kim, J.K.; Rhee, S.-W. Freestanding Luminescent Films of Nitrogen-Rich Carbon Nanodots toward Large-Scale Phosphor-Based White-Light-Emitting Devices. Chem. Mater. 2013, 25, 1893–1899. [Google Scholar] [CrossRef]
- Carra, C.; Medvids, A.; Litvinas, D.; Ščajev, P.; Malinauskas, T.; Selskis, A. Hierarchical Carbon Nano-Silica Metamaterials: Implications for White Light Photoluminescence. ACS Appl. Nano Mater. 2022, 5, 4787–4800. [Google Scholar] [CrossRef]
- Levchenko, I.; Baranov, O.; Riccardi, C.; Roman, H.E.; Cvelbar, U.; Ivanova, E.P. Nanoengineered Carbon-Based Interfaces for Advanced Energy and Photonics Applications: A Recent Progress and Innovations. Adv. Mater. Interfaces 2023, 10, 2201739. [Google Scholar] [CrossRef]
- Lu, Y.; Wang, S.; Huang, G.; Xi, L.; Qin, G.; Zhu, M. Fabrication and applications of the optical diamond-like carbon films: A review. J. Mater. Sci. 2022, 57, 3971–3992. [Google Scholar] [CrossRef]
- Sharifahmadian, O.; Pakseresht, A.; Kirubaharan, K.; Mosas, A.; Galusek, D. Doping effects on the tribological performance of diamond-like carbon coatings: A review. J. Mater. Res. Tech. 2023, 27, 7748–7765. [Google Scholar] [CrossRef]
- Ohtake, N.; Hiratsuka, M.; Kanda, K.; Akasaka, H.; Tsujioka, M.; Hirakuri, K.; Hirata, A.; Ohana, T.; Inaba, H.; Kano, M.; et al. Properties and Classification of Diamond-Like Carbon Films. Materials 2021, 14, 315. [Google Scholar] [CrossRef]
- Hoque, M.J.; Li, L.; Ma, J.; Cha, H.; Sett, S.; Yan, X.; Rabbi, K.F.; Ho, J.Y.; Khodakarami, S.; Suwala, J.; et al. Ultra-resilient multi-layer fluorinated diamond like carbon hydrophobic surfaces. Nat. Commun. 2023, 14, 4902. [Google Scholar] [CrossRef]
- Motz, J.T.; Hunter, M.; Galindo, L.H.; Gardecki, J.A.; Kramer, J.R.; Dasari, R.R.; Feld, M.S. Optical fiber probe for biomedical Raman spectroscopy. Appl. Opt. 2004, 43, 542–554. [Google Scholar] [CrossRef]
- Brus, L.E. Electron–electron and electron-hole interactions in small semiconductor crystallites: The size dependence of the lowest excited electronic state. J. Chem. Phys. 1984, 80, 4403–4444. [Google Scholar] [CrossRef]
- Murray, C.B.; Norris, D.J.; Bawendi, M.G. Synthesis and characterization of nearly monodisperse CdE (E = sulfur, selenium, tellurium) semiconductor nanocrystallites. J. Amer. Chem. Soc. 1993, 115, 8706–8715. [Google Scholar] [CrossRef]
- Ekimov, A.I.; Hache, F.; Schanne-Klein, M.C.; Ricard, D.; Flytzanis, C.; Kudryavtsev, I.A. Absorption and intensity-dependent photoluminescence measurements on CdSe quantum dots: Assignment of the first electronic transitions. JOSA B 1993, 10, 100–107. [Google Scholar] [CrossRef]
- Al Efors, L.; Efors, A.L. Interband absorption of light in a semiconductor sphere, Phys. Techn. Semicond. 1982, 16, 1209–1215. [Google Scholar]
- Medvid’, A.; Fukuda, Y.; Michko, A.; Onufrievs, P.; Anma, Y. 2D lattice formation by YAG:Nd laser on the surface of Ge single crystal. Appl. Surf. Sci. 2005, 244, 120–123. [Google Scholar] [CrossRef]
- Medvid’, A.; Dmytruk, I.; Onufrijevs, P.; Pundyk, I. Quantum confinement effect in nanohills formed on a surface of Ge by laser radiation. Phys. Status Solidi c 2007, 4, 3066–3069. [Google Scholar] [CrossRef]
- Medvid’, A.; Dmitruk, I.; Onufrijevs, P.; Pundyk, I. Properties of Nanostructure Formed on SiO2/Si Interface by Laser Radiation. Solid State Phenom. 2008, 131, 559–562. [Google Scholar] [CrossRef]
- Medvid’, A.; Onufrijevs, P. Properties of nanocones formed on a surface of semiconductors by laser radiation: QC effect of electrons, phonons, and excitons. Nanoscale Res. Lett. 2011, 6, 582. [Google Scholar] [CrossRef]
- Medvid’, A.; Mychko, A.; Gnatyuk, V.; Levytskyi, S.; Naseka, Y. Mechanism of nano-cone formation on Cd0.9Zn0.1Te crystal by laser radiation. Opt. Mater. 2010, 32, 836–839. [Google Scholar] [CrossRef]
- Medvids, A.; Mychko, A.; Onufrijevs, P.; Dauksta, E. Application of Nd:YAG laser in semiconductors nanotechnology. In Nd YAG Laser; Dumitras, D.C., Ed.; IntechOpen: London, UK, 2012; ISBN 978-953-51-0105-5. [Google Scholar] [CrossRef]
- Safari, R.; Sohbatzadeh, F.; Mohsenpour, T. Optical and electrical properties of N-DLC films deposited by atmospheric pressure DBD plasma: Effect of deposition time. Surf. Interf. 2020, 21, 100795. [Google Scholar] [CrossRef]
- LiBassi, A.; Ferrari, A.C.; Stolojan, V.; Tanner, B.K.; Robertson, J.; Brown, L.M. Density, sp3 content and internal layering of DLC films by X-ray reflectivity and electron energy loss spectroscopy. Diam. Relat. Mater. 2000, 9, 771–776. [Google Scholar] [CrossRef]
- Ichii, T.; Hazama, Y.; Naka, N.; Tanaka, K. Study of detailed balance between excitons and free carriers in diamond using broadband terahertz time-domain spectroscopy. Appl. Phys. Lett. 2020, 116, 231102. [Google Scholar] [CrossRef]
- Deng, W.; Zou, J.; Peng, X.; Zhang, J.; Wang, W.; Zhang, Y. Dynamics of graded-composition and graded-doping semiconductor nanowires under local carrier modulation. Opt. Express 2016, 24, 24347–24360. [Google Scholar] [CrossRef]
- Zatryb, G.; Podhorodecki, A.; Misiewicz, J.; Cardin, J.; Gourbilleau, F. On the nature of the stretched exponential photoluminescence decay for silicon nanocrystals. Nanoscale Res. Lett. 2011, 6, 106. [Google Scholar] [CrossRef] [PubMed]
- Ščajev, P.; Gudelis, V.; Jarašiūnas, K.; Kisialiou, I.; Ivakin, E.; Nesládek, M.; Haenen, K. Carrier recombination and diffusivity in microcrystalline CVD-grown and single-crystalline HPHT diamonds. Phys. Status Solidi A 2012, 209, 1744–1749. [Google Scholar] [CrossRef]
- Takagahara, T.; Takeda, K. Theory of the quantum confinement effect on excitons in quantum dots of indirect-gap materials. Phys. Rev. B 1992, 46, 15578–15581. [Google Scholar] [CrossRef] [PubMed]
- Medvids, A.; Ščajev, P.; Miasojedovas, S.; Hara, K. Quantum prism—Nano source of light with dispersive spectrum and optical upconversion. Nanomaterials 2024, 14, 1277. [Google Scholar] [CrossRef] [PubMed]
- Tanaka, M.; Saito, Y.; Verma, P. White nanolight source for optical nanoimaging. Sci. Adv. 2020, 6, 23–26. [Google Scholar] [CrossRef]
- No, Y.-S. Electrically Driven Micro- and Nano-Scale Semiconductor Light Source. Appl. Sci. 2019, 9, 802. [Google Scholar] [CrossRef]




| Cone Density | Red Edge | Blue Edge | |||
|---|---|---|---|---|---|
| Sample | μm−2 | τ0, ns | β | τ0, ns | β |
| 3A | 11 | 0.52 | 0.55 | 0.35 | 0.55 |
| 2A | 3.1 | 1.12 | 0.56 | 0.59 | 0.56 |
| 1A | 0.2 | 1.35 | 0.72 | 1.25 | 0.72 |
Disclaimer/Publisher’s Note: The statements, opinions and data contained in all publications are solely those of the individual author(s) and contributor(s) and not of MDPI and/or the editor(s). MDPI and/or the editor(s) disclaim responsibility for any injury to people or property resulting from any ideas, methods, instructions or products referred to in the content. |
© 2024 by the authors. Licensee MDPI, Basel, Switzerland. This article is an open access article distributed under the terms and conditions of the Creative Commons Attribution (CC BY) license (https://creativecommons.org/licenses/by/4.0/).
Share and Cite
Medvids, A.; Ščajev, P.; Hara, K. Quantum Cone—A Nano-Source of Light with Dispersive Spectrum Distributed along Height and in Time. Nanomaterials 2024, 14, 1580. https://doi.org/10.3390/nano14191580
Medvids A, Ščajev P, Hara K. Quantum Cone—A Nano-Source of Light with Dispersive Spectrum Distributed along Height and in Time. Nanomaterials. 2024; 14(19):1580. https://doi.org/10.3390/nano14191580
Chicago/Turabian StyleMedvids, Arturs, Patrik Ščajev, and Kazuhiko Hara. 2024. "Quantum Cone—A Nano-Source of Light with Dispersive Spectrum Distributed along Height and in Time" Nanomaterials 14, no. 19: 1580. https://doi.org/10.3390/nano14191580
APA StyleMedvids, A., Ščajev, P., & Hara, K. (2024). Quantum Cone—A Nano-Source of Light with Dispersive Spectrum Distributed along Height and in Time. Nanomaterials, 14(19), 1580. https://doi.org/10.3390/nano14191580

