Electroless Cobalt Deposition on Dealloyed Nanoporous Gold Substrate: A Versatile Technique to Control Morphological and Magnetic Properties
Abstract
1. Introduction
2. Experimental
2.1. Synthesis of NPG Substrate
2.2. Electroless Co Deposition on NPG
2.3. Morphological, Structural and Magnetic Characterization of the Hybrid Co/NPG Heterostructures
3. Results and Discussion
3.1. Morphology and Structural Characterization of Co/NPG Heterostructures
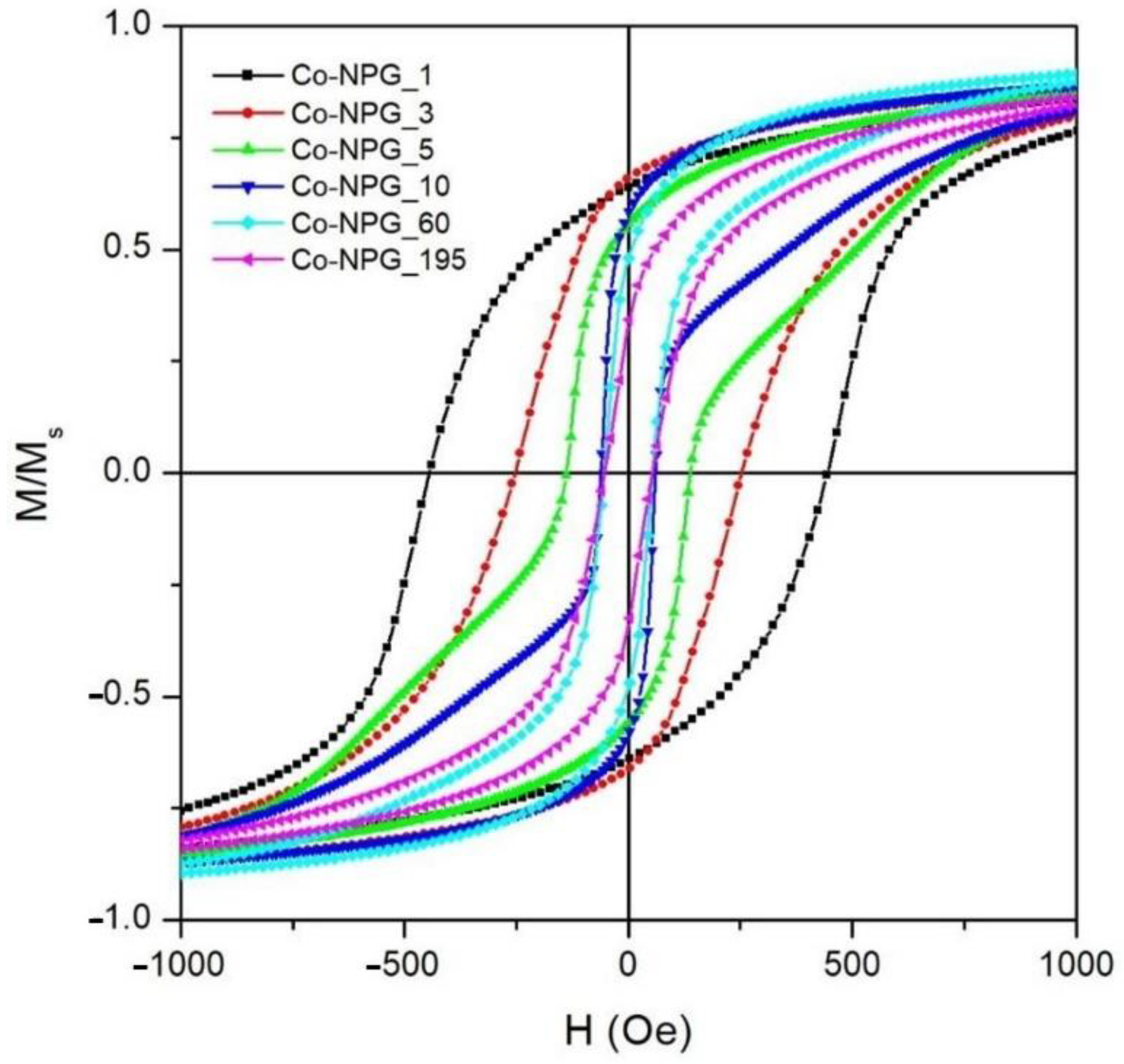
3.2. Magnetic Properties of Co/NPG Heterostructures
4. Conclusions
Supplementary Materials
Author Contributions
Funding
Data Availability Statement
Acknowledgments
Conflicts of Interest
References
- Nalwa, H.S. (Ed.) Magnetic Nanostructures; American Scientific Publishers: Valencia, CA, USA, 2002. [Google Scholar]
- Domracheva, N.; Caporali, M.; Rentschler, E. (Eds.) Novel Magnetic Nanostructures; Elsevier: Amsterdam, The Netherlands, 2018. [Google Scholar]
- Abd-Elsalam, K.A.; Mohamed, M.A.; Prasad, R. (Eds.) Magnetic Nanostructures; Springer: Cham, Germany, 2019. [Google Scholar]
- Macagnano, A.; De Cesare, F.; Cavaliere, S. (Eds.) Design and Development of Nanostructured Thin Films; MDPI: Basel, Switzerland, 2020. [Google Scholar]
- Wang, S.; Xu, J.; Li, W.; Sun, S.; Gao, S.; Hou, Y. Magnetic Nanostructures: Rational Design and Fabrication Strategies toward Diverse Applications. Chem. Rev. 2022, 122, 5411–5475. [Google Scholar] [CrossRef]
- Bidaud, C.; Gamet, E.; Jamon, D.; Vidal, L.; Neveu, S.; Soppera, O.; Royer, F.; Berling, D. Deep-UV Lithography of Nanocomposite Thin Films into Magnetooptical Gratings with Submicron Periodicity. ChemPhotoChem 2020, 4, 5355–5363. [Google Scholar] [CrossRef]
- Williams, G.; Hunt, M.; Boehm, B.; May, A.; Taverne, M.; Ho, D.; Giblin, S.; Read, D.; Rarity, J.; Allenspach, R.; et al. Two-photon lithography for 3D magnetic nanostructure fabrication. Nano Res. 2018, 11, 845–854. [Google Scholar] [CrossRef]
- Jung, W.-B.; Jang, S.; Cho, S.-Y.; Jeon, H.-J.; Jung, H.-T. Recent Progress in Simple and Cost-Effective Top-Down Lithography for ≈10 nm Scale Nanopatterns: From Edge Lithography to Secondary Sputtering Lithography. Adv. Mater. 2020, 32, 1907101. [Google Scholar] [CrossRef]
- Krupinski, M.; Bali, R.; Mitin, D.; Sobieszczyk, P.; Gregor-Pawlowski, J.; Zarzycki, A.; Böttger, R.; Albrecht, M.; Potzger, K.; Marszałek, M. Ion induced ferromagnetism combined with self-assembly for large area magnetic modulation of thin films. Nanoscale 2019, 11, 8930–8939. [Google Scholar] [CrossRef]
- Barrera, G.; Celegato, F.; Cialone, M.; Coïsson, M.; Rizzi, P.; Tiberto, P. Structural, wetting and magnetic properties of sputtered fe70pd30 thin film with nanostructured surface induced by dealloying process. Nanomaterials 2021, 11, 282. [Google Scholar] [CrossRef]
- Coïsson, M.; Celegato, F.; Barrera, G.; Conta, G.; Magni, A.; Tiberto, P. Bi-Component Nanostructured Arrays of Co Dots Embedded in Ni80Fe20 Antidot Matrix: Synthesis by Self-Assembling of Polystyrene Nanospheres and Magnetic Properties. Nanomaterials 2017, 7, 232. [Google Scholar] [CrossRef]
- Tiberto, P.; Celegato, F.; Barrera, G.; Coisson, M.; Vinai, F.; Rizzi, P. Magnetization reversal and microstructure in polycrystalline Fe50Pd50 dot arrays by self-assembling of polystyrene nanospheres. Sci. Technol. Adv. Mater. 2016, 17, 462–472. [Google Scholar] [CrossRef]
- Navarro, E.; González, M.U.; Béron, F.; Tejo, F.; Escrig, J.; García-Martín, J.M. Large-Area Nanopillar Arrays by Glancing Angle Deposition with Tailored Magnetic Properties. Nanomaterials 2022, 12, 1186. [Google Scholar] [CrossRef]
- Sobha Jayakrishnan, D. Electrodeposition: The Versatile Technique for Nanomaterials; Woodhead Publishing Limited: Sawston, UK, 2012. [Google Scholar]
- Shinde, P.; Pan, S. Electrodeposition. In Chemical Methods for Processing Nanomaterials; Singh, V.N., Ed.; CRC Press: Boca Raton, FL, USA, 2021; p. 24. [Google Scholar]
- Cragnolino, G.A. Corrosion fundamentals and characterization techniques. In Techniques for Corrosion Monitoring; Yang, L., Ed.; Elsvier: Amsterdam, The Netherlands, 2008; pp. 6–45. [Google Scholar]
- Gößler, M.; Nachtnebel, M.; Schröttner, H.; Krenn, H.; Steyskal, E.M.; Würschum, R. Evolution of superparamagnetism in the electrochemical dealloying process. J. Appl. Phys. 2020, 128, 093904. [Google Scholar] [CrossRef]
- Cialone, M.; Celegato, F.; Scaglione, F.; Barrera, G.; Raj, D.; Coïsson, M.; Tiberto, P.; Rizzi, P. Nanoporous FePd alloy as multifunctional ferromagnetic SERS-active substrate. Appl. Surf. Sci. 2021, 543, 148759. [Google Scholar] [CrossRef]
- Niauzorau, S.; Sharstniou, A.; Sampath, V.K.; Kublik, N.; Bandarenka, H.; Azeredo, B. Electroless Dealloying of Thin-Film Nanocrystalline Au-Ag Alloys: Mechanisms of Ligament Nucleation and Sources of Its Synthesis Variability. ACS Appl. Mater. Interfaces 2022, 14, 17927–17939. [Google Scholar] [CrossRef]
- Zhang, Z.; Zhang, C.; Gao, Y.; Frenzel, J.; Sun, J.; Eggeler, G. Dealloying strategy to fabricate ultrafine nanoporous gold-based alloys with high structural stability and tunable magnetic properties. CrystEngComm 2012, 14, 8292–8300. [Google Scholar] [CrossRef]
- Joo, S.H.; Kato, H. 3D interconnected nanoporous FeCo soft magnetic materials synthesized by liquid metal dealloying. J. Alloy. Compd. 2022, 908, 164688. [Google Scholar] [CrossRef]
- Rizzi, P.; Scaglione, F.; Battezzati, L. Nanoporous gold by dealloying of an amorphous precursor. J. Alloy. Compd. 2014, 586, S117–S120. [Google Scholar] [CrossRef]
- Scaglione, F.; Rizzi, P.; Celegato, F.; Battezzati, L. Synthesis of nanoporous gold by free corrosion of an amorphous precursor. J. Alloy. Compd. 2014, 615, S142–S147. [Google Scholar] [CrossRef]
- Casella, I.G.; Guascito, M.R. Anodic electrodeposition of conducting cobalt oxyhydroxide films on a gold surface. XPS study and electrochemical behaviour in neutral and alkaline solution. J. Electroanal. Chem. 1999, 476, 54–63. [Google Scholar] [CrossRef]
- Ortiz, V.H.; Coh, S.; Wilson, R.B. Magneto-optical Kerr spectra of gold induced by spin accumulation. Phys. Rev. B 2022, 106, 014410. [Google Scholar] [CrossRef]
- Landa-Castro, M.; Sebastián, P.; Giannotti, M.I.; Serrà, A.; Gómez, E. Electrodeposition of nanostructured cobalt films from a deep eutectic solvent: Influence of the substrate and deposition potential range. Electrochim. Acta 2020, 359, 136928. [Google Scholar] [CrossRef]
- Hamulić, D.; Milošev, I.; Lützenkirchen-Hecht, D. The effect of the deposition conditions on the structure, composition and morphology of electrodeposited cobalt materials. Thin Solid Film. 2018, 667, 11–20. [Google Scholar] [CrossRef]
- Fallarino, L.; Stienen, S.; Gallardo, R.A.; Arregi, J.A.; Uhlíř, V.; Lenz, K.; Hübner, R.; Oelschlägel, A.; Hellwig, O.; Lindner, J. Higher-order ferromagnetic resonances in out-of-plane saturated Co/Au magnetic multilayers. Phys. Rev. B 2020, 102, 094434. [Google Scholar] [CrossRef]
- Mendoza-Huizar, L.; Robles, J.; Palomar-Pardavé, M. Nucleation and growth of cobalt onto different substrates. J. Electroanal. Chem. 2002, 521, 95–106. [Google Scholar] [CrossRef]
- Flis-Kabulska, I. Electrodeposition of cobalt on gold during voltammetric cycling. J. Appl. Electrochem. 2006, 36, 131–137. [Google Scholar] [CrossRef]
- Gündel, A.; Cagnon, L.; Gomes, C.; Morrone, A.; Schmidt, J.; Allongue, P. In-situ magnetic measurements of electrodeposited ultrathin Co, Ni and Fe/Au(111) layers. Phys. Chem. Chem. Phys. 2001, 3, 3330–3335. [Google Scholar] [CrossRef]
- Rakesh, B.; Bhagat, N.; Gupta, D.; Gupta, M.; Pandey, B. Temperature induced interface roughness and spin reorientation transition in Co/Au multilayers thin films. Mater. Res. Express 2019, 6, 126445. [Google Scholar] [CrossRef]
- Kikuchi, Y.; Tanaka, T. Plasmon assisted improvement of figure of merit of magneto-optical Kerr effect in Au/Co/Au multilayered nanorectangular patch array. Jpn. J. Appl. Phys. 2018, 57, 110305. [Google Scholar] [CrossRef]
- Rizal, C.; Pisana, S.; Hrvoic, I.; Fullerton, E.E. Microstructure and magneto-optical surface plasmon resonance of Co/Au multilayers. J. Phys. Commun. 2018, 2, 055010. [Google Scholar] [CrossRef]
- Li, Z.; He, Y.; Ke, X.; Gan, L.; Zhao, J.; Cui, G.; Wu, G. Three-dimensional nanoporous gold-cobalt oxide electrode for high-performance electroreduction of hydrogen peroxide in alkaline medium. J. Power Sources 2015, 294, 136–140. [Google Scholar] [CrossRef]
- Zhou, C.; Tang, X.; Xia, Y.; Li, Z. Electrochemical Fabrication of Cobalt Oxides/Nanoporous Gold Composite Electrode and its Nonenzymatic Glucose Sensing Performance. Electroanalysis 2016, 28, 2149–2157. [Google Scholar] [CrossRef]
- Zhang, X.; Wang, F.; Zhou, Y.; Liang, A.; Zhang, J. Aluminum-induced direct electroless deposition of Co and Co-P coatings on copper and their catalytic performance for electrochemical water splitting. Surf. Coat. Technol. 2018, 352, 42–48. [Google Scholar] [CrossRef]
- Xue, Y.; Wang, S.; Shi, P.; Huang, Y.; Scaglione, F.; Rizzi, P.; Battezzati, L.; Denis, P.; Fecht, H.J. Nanoporous gold chemically de-alloyed from Au-based amorphous thin film for electrochemical nonenzymatic H2O2 sensing. Chem. Phys. Lett. 2019, 723, 22–27. [Google Scholar] [CrossRef]
- Panagiotopoulos, I. A simple approach to the First Order Reversal Curves (FORC) of two-phase magnetic systems. J. Magn. Magn. Mater. 2011, 323, 2148–2153. [Google Scholar] [CrossRef]
- Zhang, L.; Xue, D.; Gao, C. Anomalous magnetic properties of antiferromagnetic CoO nanoparticles. J. Magn. Magn. Mater. 2003, 267, 111–114. [Google Scholar] [CrossRef]
- Moro, F.; Yu Tang, S.V.; Tuna, F.; Lester, E. Magnetic properties of cobalt oxide nanoparticles synthesised by a continuous hydrothermal method. J. Magn. Magn. Mater. 2013, 348, 1–7. [Google Scholar] [CrossRef]
- Gawali, S.R.; Gandhi, A.C.; Gaikwad, S.S.; Pant, J.; Chan, T.S.; Cheng, C.L.; Ma, Y.R.; Wu, S.Y. Role of cobalt cations in short range antiferromagnetic Co3O4 nanoparticles: A thermal treatment approach to affecting phonon and magnetic properties. Sci. Rep. 2018, 8, 249. [Google Scholar] [CrossRef]
- Barrera, G.; Celegato, F.; Coisson, M.; Manzin, A.; Ferrarese Lupi, F.; Seguini, G.; Boarino, L.; Aprile, G.; Perego, M.; Tiberto, P. Magnetization switching in high-density magnetic nanodots by a fine-tune sputtering process on large area diblock copolymer mask. Nanoscale 2017, 9, 16981–16992. [Google Scholar] [CrossRef]
- Briones, J.; Toro, P.; Encinas, A.; Caballero, L.; Denardin, J.C.; Melo, F.; Cerda, E.; Robert, S.; Lacour, D.; Montaigne, F. Large area patterned magnetic films by depositing cobalt layers on nano-wrinkled polydimethylsiloxane templates. Appl. Phys. Lett. 2013, 103, 072404. [Google Scholar] [CrossRef]
- Seymour, M.P.; Wilding, I.; Xu, B.; Mercer, J.I.; Plumer, M.L.; Poduska, K.M.; Yethiraj, A.; Van Lierop, J. Micromagnetic modeling of experimental hysteresis loops for heterogeneous electrodeposited cobalt films. Appl. Phys. Lett. 2013, 102, 072403. [Google Scholar] [CrossRef]
- Gadwal, M.S.; Kaur, J.; Shaikh, S.F.; Lokhande, P.; Mathe, V.L.; Sartale, S.D.; Pathan, H.M. Investigations on the Magnetic Properties of Patterned Cobalt Grown on a Mechanically Scratched Copper Substrate. Eng. Sci. 2022, 18, 1–9. [Google Scholar] [CrossRef]
- Borin, D.Y.; Vaganov, M.V. FORC analysis of magnetically soft microparticles embedded in a polymeric elastic environment. J. Phys. D. Appl. Phys. 2022, 55, 155001. [Google Scholar] [CrossRef]
- Elmekawy, A.H.A.; Iashina, E.G.; Dubitskiy, I.S.; Sotnichuk, S.V.; Bozhev, I.V.; Napolskii, K.S.; Menzel, D.; Mistonov, A.A. Magnetic properties and FORC analysis of iron nanowire arrays. Mater. Today Commun. 2020, 25, 101609. [Google Scholar] [CrossRef]
- Fernández, J.G.; Martínez, V.V.; Thomas, A.; de la Prida Pidal, V.M.; Nielsch, K. Two-step magnetization reversal FORC fingerprint of coupled bi-segmented Ni/Co magnetic nanowire arrays. Nanomaterials 2018, 8, 548. [Google Scholar] [CrossRef] [PubMed]
- Nayak, B.B.; Jammalamadaka, S.N. Effect of sputtering power on the first order magnetization reversal, reversible and irreversible process in Fe71Ga29 thin films. J. Magn. Magn. Mater. 2021, 536, 168107. [Google Scholar] [CrossRef]
- Roy, D.; Sreenivasulu, K.V.; Anil Kumar, P.S. Investigation on non-exchange spring behaviour and exchange spring behaviour: A first order reversal curve analysis. Appl. Phys. Lett. 2013, 103, 222406. [Google Scholar] [CrossRef]
- Muxworthy, A.; Heslop, D.; Williams, W. Influence of magnetostatic interactions on first-order-reversal-curve (FORC) diagrams: A micromagnetic approach. Geophys. J. Int. 2004, 158, 888–897. [Google Scholar] [CrossRef]
- Stancu, A.; Pike, C.; Stoleriu, L.; Postolache, P.; Cimpoesu, D. Micromagnetic and Preisach analysis of the First Order Reversal Curves (FORC) diagram. J. Appl. Phys. 2003, 93, 6620–6622. [Google Scholar] [CrossRef]










Disclaimer/Publisher’s Note: The statements, opinions and data contained in all publications are solely those of the individual author(s) and contributor(s) and not of MDPI and/or the editor(s). MDPI and/or the editor(s) disclaim responsibility for any injury to people or property resulting from any ideas, methods, instructions or products referred to in the content. |
© 2023 by the authors. Licensee MDPI, Basel, Switzerland. This article is an open access article distributed under the terms and conditions of the Creative Commons Attribution (CC BY) license (https://creativecommons.org/licenses/by/4.0/).
Share and Cite
Barrera, G.; Scaglione, F.; Celegato, F.; Coïsson, M.; Tiberto, P.; Rizzi, P. Electroless Cobalt Deposition on Dealloyed Nanoporous Gold Substrate: A Versatile Technique to Control Morphological and Magnetic Properties. Nanomaterials 2023, 13, 494. https://doi.org/10.3390/nano13030494
Barrera G, Scaglione F, Celegato F, Coïsson M, Tiberto P, Rizzi P. Electroless Cobalt Deposition on Dealloyed Nanoporous Gold Substrate: A Versatile Technique to Control Morphological and Magnetic Properties. Nanomaterials. 2023; 13(3):494. https://doi.org/10.3390/nano13030494
Chicago/Turabian StyleBarrera, Gabriele, Federico Scaglione, Federica Celegato, Marco Coïsson, Paola Tiberto, and Paola Rizzi. 2023. "Electroless Cobalt Deposition on Dealloyed Nanoporous Gold Substrate: A Versatile Technique to Control Morphological and Magnetic Properties" Nanomaterials 13, no. 3: 494. https://doi.org/10.3390/nano13030494
APA StyleBarrera, G., Scaglione, F., Celegato, F., Coïsson, M., Tiberto, P., & Rizzi, P. (2023). Electroless Cobalt Deposition on Dealloyed Nanoporous Gold Substrate: A Versatile Technique to Control Morphological and Magnetic Properties. Nanomaterials, 13(3), 494. https://doi.org/10.3390/nano13030494

