Fabrication and Characterization of a Poly(3,4-ethylenedioxythiophene)@Tungsten Trioxide–Graphene Oxide Hybrid Electrode Nanocomposite for Supercapacitor Applications
Abstract
:1. Introduction
2. Materials and Methods
2.1. Materials
2.2. Measurements
2.3. Synthesis of Graphene Oxide (GO)
2.4. Preparation of WO3–GO
2.5. Fabrication of PEDOT@WO3–GO
2.6. Electrochemical Studies
3. Results
3.1. Structural Determination
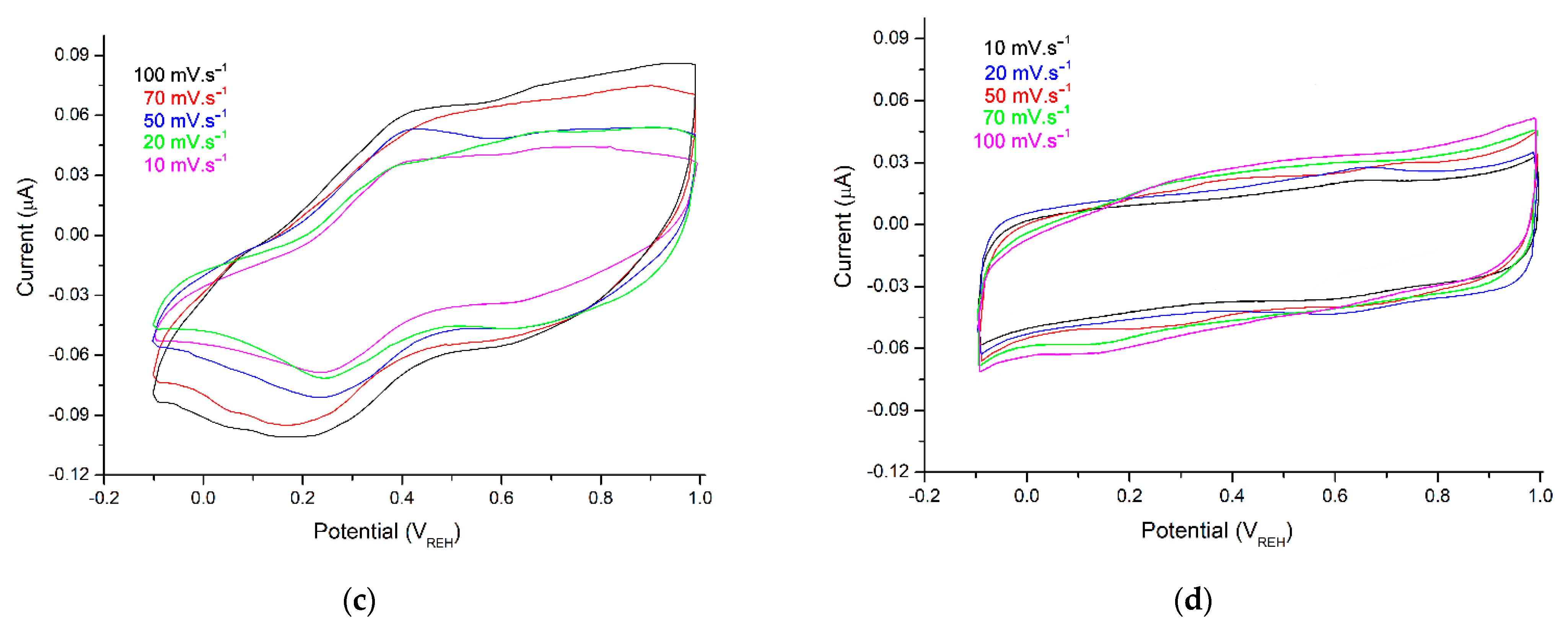
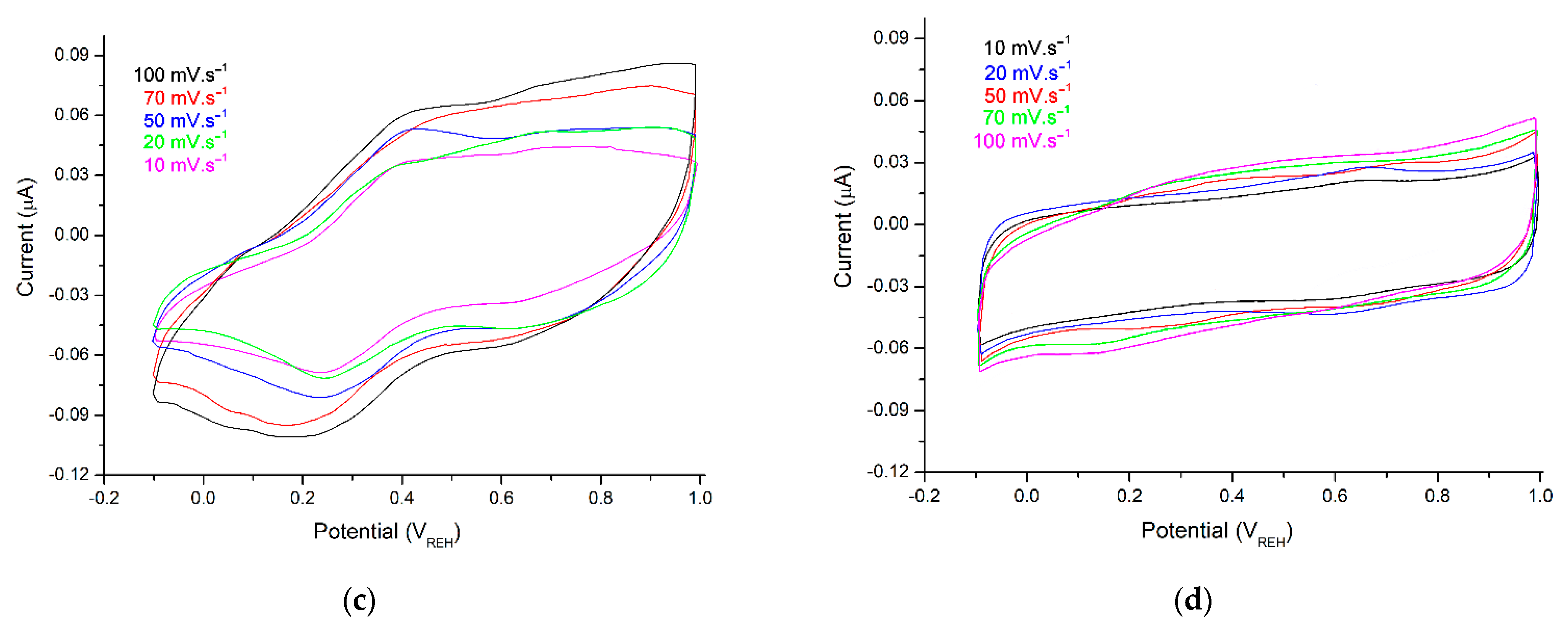
3.2. Electrochemical Studies
4. Conclusions
Author Contributions
Funding
Data Availability Statement
Acknowledgments
Conflicts of Interest
References
- Haldar, P. Achieving wide potential window and high capacitance for supercapacitors using different metal oxides (viz.: ZrO2, WO3 and V2O5) and their PANI/graphene composites with Na2SO4 electrolyte. Electrochim. Acta 2021, 381, 138221. [Google Scholar] [CrossRef]
- Jin, L.N.; Liu, P.; Jin, C.; Zhang, J.N.; Bian, S.W. Porous WO3/graphene/polyester textile electrode materials with enhanced electrochemical performance for flexible solid-state supercapacitors. J. Colloid Interface Sci. 2018, 510, 1–11. [Google Scholar] [CrossRef]
- Zhuzhelskii, D.V.; Tolstopjatova, E.G.; Eliseeva, S.N.; Ivanov, A.V.; Miao, S.; Kondratiev, V.V. Electrochemical properties of PEDOT/WO3 composite films for high performance supercapacitor application. Electrochim. Acta 2019, 299, 182–190. [Google Scholar] [CrossRef]
- Dubal, D.P.; Ayyad, O.; Ruiz, V.; Romero, P.G. Hybrid energy storage: The merging of battery and supercapacitor chemistries. Chem. Soc. Rev. 2015, 44, 1777–1790. [Google Scholar] [CrossRef] [PubMed]
- Joseph, R.X.; Raja, B.J. Evaluation of reduced graphene oxide/WO3/WS2 hybrids for high performance supercapacitor electrode. J. Alloys Compd. 2023, 947, 169483. [Google Scholar] [CrossRef]
- Fatemeh, M.; Javanbakht, M.; Shahrokhian, S. In-site pulse electrodeposition of manganese dioxide/reduced graphene oxide nanocomposite for high-energy supercapacitors. J. Energy Storage 2022, 46, 103802. [Google Scholar] [CrossRef]
- Babu, P.M.; Kim, H.J. Confinement of Zn-Mg-Al-layered double hydroxide and α-Fe2O3 nanorods on hollow porous carbon nanofibers: A free-standing electrode for solid-state symmetric supercapacitors. Chem. Eng. J. 2022, 429, 132345. [Google Scholar] [CrossRef]
- Tulin, K.; Carpan, M.; Tokgoz, S.R.; Peksoz, A. Fabrication of a new rGO@ PPy/SS composite electrode with high energy storage and long cycling life for potential applications in supercapacitors. Mater. Sci. Eng. B 2022, 286, 116032. [Google Scholar] [CrossRef]
- Lewis, W.; Le, F.; Jianyun, C.; Ian, A.K.; Andrew, J.F.; Robert, A.W.D. Systematic Comparison of Graphene Materials for Supercapacitor Electrodes. ChemistryOpen 2019, 8, 418–428. [Google Scholar] [CrossRef]
- Ma, Q.; Liu, M.; Cui, F.; Zhang, J.; Cui, T. Fabrication of 3D graphene microstructures with uniform metal oxide nanoparticles via molecular self-assembly strategy and their supercapacitor performance. Carbon 2023, 204, 336–345. [Google Scholar] [CrossRef]
- El-Shafai, N.M.; Ramadan, M.S.; Alkhamis, K.M.; Aljohani, M.M.; El-Metwaly, N.M.; El-Mehasseb, I.M. A unique engineering building of nanoelectrodes based on titanium and metal oxides nanoparticles captured on graphene oxide surface for supercapacitors and energy storage. J. Alloys Compd. 2023, 939, 168685. [Google Scholar] [CrossRef]
- Shi, S.; Deng, T.; Zhang, M.; Yang, G. Fast facile synthesis of SnO2/Graphene composite assisted by microwave as anode material for lithium-ion batteries. Electrochim. Acta 2017, 246, 1104–1111. [Google Scholar] [CrossRef]
- Gao, W.; Li, Y.; Zhao, J.; Zhang, Z.; Tang, W.; Wang, J.; Wu, Z.; Li, Z. Design and Preparation of Graphene/Fe2O3 Nanocomposite as Negative Material for Supercapacitor. Chem. Res. Chin. Univ. 2022, 38, 1097–1104. [Google Scholar] [CrossRef]
- Li, S.; Jiang, H.; Yang, K.; Zhang, Z.; Li, S.; Luo, N.; Liu, Q.; Wei, R. Three-dimensional hierarchical graphene/TiO2 composite as high-performance electrode for supercapacitor. J. Alloys Compd. 2018, 746, 670–676. [Google Scholar] [CrossRef]
- Sheikhzadeh, M.; Sanjabi, S.; Gorji, M.; Khabazian, S. Nano foam layer of CuO/graphene oxide for high performance supercapacitor. Synth. Met. 2018, 244, 10–14. [Google Scholar] [CrossRef]
- Sahoo, N.; Tatrari, G.; Tewari, C.; Karakoti, M.; Bohra, B.S.; Danadapat, A. Vanadium pentaoxide-doped waste plastic-derived graphene nanocomposite for supercapacitors: A comparative electrochemical study of low and high metal oxide doping. RSC Adv. 2022, 12, 5118–5134. [Google Scholar] [CrossRef]
- Qiu, S.; Li, R.; Huang, Z.; Huang, Z.; Tsui, C.P.; He, C.; Han, X.; Yang, Y. Scalable sonochemical synthesis of petal-like MnO2/graphene hierarchical composites for high-performance supercapacitors. Compos. Part B Eng. 2019, 161, 37–43. [Google Scholar] [CrossRef]
- Zhang, Z.; Haq, M.; Wen, Z.; Ye, Z.; Zhu, L. Ultrasensitive ppb-level NO2 gas sensor based on WO3 hollow nanosphers doped with Fe. Appl. Surf. Sci. 2018, 434, 891–897. [Google Scholar] [CrossRef]
- Hussain, S.Z.; Ihrar, M.; Hussain, S.B.; Oh, W.C.; Ullah, K. A review on graphene based transition metal oxide composites and its application towards supercapacitor electrodes. SN Appl. Sci. 2020, 2, 764. [Google Scholar] [CrossRef]
- He, X.; Wan, J.; He, D.; Yang, X.; Suo, H.; Zhao, C. Synthesis of Three-Dimensional Hierarchical Urchinlike Tungsten Trioxide Microspheres for High-Performance Supercapacitor Electrode. Crystals 2019, 9, 485. [Google Scholar] [CrossRef]
- Nayak, A.K.; Das, A.K.; Pradhan, D. High Performance Solid-State Asymmetric Supercapacitor using Green Synthesized Graphene–WO3 Nanowires Nanocomposite. ACS Sustain. Chem. Eng. 2017, 5, 10128–10138. [Google Scholar] [CrossRef]
- Dahou, F.Z.; Belardja, M.S.; Moulefera, I.; Sabantina, L.; Benyoucef, A. Preparation of ternary polyaniline@CuO−zeolite composite, discussion of characteristics, properties and their applications in supercapacitors and cationic dye adsorption. Polym. Int. 2023, 17731839. [Google Scholar] [CrossRef]
- Boutaleb, N.; Dahou, F.Z.; Djelad, H.; Sabantina, L.; Moulefera, I.; Benyoucef, A. Facile Synthesis and Electrochemical Characterization of Polyaniline@TiO2-CuO Ternary Composite as Electrodes for Supercapacitor Applications. Polymers 2022, 14, 4562. [Google Scholar] [CrossRef] [PubMed]
- Belhadj, H.; Moulefera, I.; Sabantina, L.; Benyoucef, A. Effects of Incorporating Titanium Dioxide with Titanium Carbide on Hybrid Materials Reinforced with Polyaniline: Synthesis, Characterization, Electrochemical and Supercapacitive Properties. Fibers 2022, 10, 46. [Google Scholar] [CrossRef]
- Akbar, A.R.; Saleem, A.; Rauf, A.; Iqbal, R.; Tahir, M.; Peng, G.; Khan, A.S.; Hussain, A.; Ahmad, M.; Akhtar, M.; et al. Integrated MnO2/PEDOT composite on carbon cloth for advanced electrochemical energy storage asymmetric supercapacitors. J. Power Sources 2023, 579, 233181. [Google Scholar] [CrossRef]
- Ahmad, A.; Ullah, S.; Khan, A.; Ahmad, W.; Khan, A.U.; Khan, U.A.; Rahman, A.U.; Yuan, Q. Graphene oxide selenium nanorod composite as a stable electrode material for energy storage devices. Appl. Nanosci. 2020, 10, 1243–1255. [Google Scholar] [CrossRef]
- Johra, F.T.; Jung, W.G. Hydrothermally reduced graphene oxide as a supercapacitor. Appl. Surf. Sci. 2015, 357, 1911–1914. [Google Scholar] [CrossRef]
- Lien, S.Y.; Lin, P.C.; Chen, W.R.; Liu, C.H.; Lee, K.W.; Wang, N.F.; Huang, C.J. The Mechanism of PEDOT: PSS Films with Organic Additives. Crystals 2022, 12, 1109. [Google Scholar] [CrossRef]
- Du, F.P.; Cao, N.N.; Zhang, Y.F.; Fu, P.; Wu, Y.G.; Lin, Z.D.; Shi, R.; Amini, A.; Cheng, C. PEDOT: PSS/graphene quantum dots films with enhanced thermoelectric properties via strong interfacial interaction and phase separation. Sci. Rep. 2018, 8, 6441. [Google Scholar] [CrossRef]
- Rahman, M.; Sarmah, T.; Dihingia, P.; Verma, R.; Sharma, S.; Kirti; Srivastava, D.N.; Pandey, L.M.; Kakati, M. Bulk synthesis of tungsten-oxide nanomaterials by a novel, plasma chemical reactor configuration, studies on their performance for waste-water treatment and hydrogen evolution reactions. Chem. Eng. J. 2022, 428, 131111. [Google Scholar] [CrossRef]
- Ikram, M.; Sajid, M.M.; Javed, Y.; Afzal, A.M.; Shad, N.A.; Sajid, M.; Akhtar, K.; Yousaf, M.I.; Sharma, S.K.; Aslam, H.; et al. Crystalline growth of tungsten trioxide (WO3) nanorods and their development as an electrochemical sensor for selective detection of vitamin C. J. Mater. Sci. Mater. Electron. 2021, 32, 6344–6357. [Google Scholar] [CrossRef]
- Xing, L.L.; Huang, K.J.; Fang, L.X. Preparation of layered graphene and tungsten oxide hybrids for enhanced performance supercapacitors. Dalton Trans. 2016, 45, 17439–17446. [Google Scholar] [CrossRef]
- Huang, H.; Zeng, X.; Li, W.; Wang, H.; Wang, Q.; Yang, Y. Reinforced conducting hydrogels prepared from the in situ polymerization of aniline in an aqueous solution of sodium alginate. J. Mater. Chem. A 2014, 2, 16516–16522. [Google Scholar] [CrossRef]
- Bejjanki, D.; Babu, G.U.B.; Kumar, K.; Puttapati, S.K. SnO2/RGO@PANi ternary composite via chemical oxidation polymerization and its synergetic effect for better performance of supercapacitor. Mater. Today Proc. 2023, 78, 74–79. [Google Scholar] [CrossRef]
- Sequeira, R.Z.; Ardao, I.; Starbird, R.; González, C.A.G. Conductive nanostructured materials based on poly-(3,4-ethylenedioxythiophene) (PEDOT) and starch/κ-carrageenan for biomedical applications. Carbohydr. Polym. 2018, 189, 304–312. [Google Scholar] [CrossRef] [PubMed]
- Cheng, W.; Liu, Y.; Tong, Z.; Zhu, Y.; Cao, K.; Chen, W.; Zhao, D.; Yu, H. Micro-interfacial polymerization of porous PEDOT for printable electronic devices. EcoMat 2023, 5, e12288. [Google Scholar] [CrossRef]
- Yin, P.T.; Kim, T.H.; Choi, J.W.; Lee, K.B. Prospects for graphene–nanoparticle-based hybrid sensors. Phys. Chem. Chem. Phys. 2013, 15, 12785–12799. [Google Scholar] [CrossRef]
- Wang, Y.; Wang, Y.; Wang, C.; Wang, Y. A Hierarchical Architecture of Functionalized Polyaniline/Manganese Dioxide Composite with Stable-Enhanced Electrochemical Performance. J. Compos. Sci 2021, 5, 129. [Google Scholar] [CrossRef]
- Hamedani, H.; Ghasemi, A.K.; Kafshgari, M.S.; Zolfaghari, Y.; Kafshgari, L.A. Electrochemical performance of 3D porous PANI/Gr/MIL-100(Fe) nanocomposite as a novel smart supercapacitor electrode material. Synth. Met. 2023, 298, 117428. [Google Scholar] [CrossRef]
- Lin, T.T.; Wang, W.D.; Lü, Q.F.; Zhao, H.B.; Zhang, X.; Lin, Q. Graphene-wrapped nitrogen-containing carbon spheres for electrochemical supercapacitor application. J. Anal. Appl. Pyrolysis 2015, 113, 545–550. [Google Scholar] [CrossRef]
- Zhang, X.; Ma, L.; Gan, M.; Fu, G.; Jin, M.; Lei, Y.; Yang, P.; Yan, M. Fabrication of 3D lawn-shaped N-doped porous carbon matrix/polyaniline nanocomposite as the electrode material for supercapacitors. J. Power Sources 2017, 340, 22–31. [Google Scholar] [CrossRef]
- Barik, R.; Yadav, A.K.; Jha, S.N.; Bhattacharyya, D.; Ingole, P.P. Two-Dimensional Tungsten Oxide/Selenium Nanocomposite Fabricated for Flexible Supercapacitors with Higher Operational Voltage and Their Charge Storage Mechanism. ACS Appl. Mater. Interfaces 2021, 13, 8102–8119. [Google Scholar] [CrossRef] [PubMed]
- Shinde, P.A.; Lokhande, V.C.; Patil, A.M.; Ji, T.; Lokhande, C.D. Single-step hydrothermal synthesis of WO3-MnO2 composite as an active material for all-solid-state flexible asymmetric supercapacitor. Int. J. Hydrogen Energy 2018, 43, 2869–2880. [Google Scholar] [CrossRef]
- Morka, T.D.; Ujihara, M. Enhanced Performance of WO3/SnO2 Nanocomposite Electrodes with Redox-Active Electrolytes for Supercapacitors. Int. J. Mol. Sci. 2023, 24, 6045. [Google Scholar] [CrossRef]
- Sun, D.; Jin, L.; Chen, Y.; Zhang, J.R.; Zhu, J.J. Microwave-assisted in situ synthesis of graphene/PEDOT hybrid and its application in supercapacitors. ChemPlusChem 2013, 78, 227–234. [Google Scholar] [CrossRef]
- Wang, W.; Lei, W.; Yao, T.; Xia, X.; Huang, W.; Hao, Q.; Wang, X. One-pot synthesis of graphene/SnO2/PEDOT ternary electrode material for supercapacitors. Electrochim. Acta 2013, 108, 118–126. [Google Scholar] [CrossRef]
- Karakoti, M.; Tatrari, G.; Pandey, S.; Dhapola, P.S.; Jangra, R.; Mahendia, S.; Pathak, M.; Dhali, S.; Singh, P.K.; Sahoo, N.G. Tailoring the electrochemical performance of PEDOT:PSS via incorporation of spray dryer processed graphene oxide. Int. J. Energy Res. 2022, 46, 18711–18726. [Google Scholar] [CrossRef]
- Patil, D.S.; Pawar, S.A.; Shin, J.C.; Kim, H.J. MnO2-Graphene Oxide-PEDOT:PSS Nanocomposite for an Electrochemical Supercapacitor. J. Korean Phys. Soc. 2018, 72, 952–958. [Google Scholar] [CrossRef]
- Giuri, A.; Colella, S.; Listorti, A.; Rizzo, A.; Mele, C.; Corcione, C.E. GO/glucose/PEDOT:PSS ternary nanocomposites for flexible supercapacitors. Compos. Part B Eng. 2018, 148, 149–155. [Google Scholar] [CrossRef]
- Moon, I.K.; Ki, B.; Oh, J. Three-dimensional porous stretchable supercapacitor with wavy structured PEDOT:PSS/graphene electrode. Chem. Eng. J. 2020, 392, 123794. [Google Scholar] [CrossRef]
- Bhojane, P.; Shirage, P.M. Facile preparation of hexagonal WO3 nanopillars and its reduced graphene oxide nanocomposites for high-performance supercapacitor. J. Energy Storage 2022, 55, 105649. [Google Scholar] [CrossRef]
- Fan, Y.F.; Yi, Z.L.; Song, G.; Wang, Z.F.; Chen, C.J.; Xie, L.J.; Sun, G.H.; Su, F.Y.; Chen, C.M. Self-standing graphitized hybrid Nanocarbon electrodes towards high-frequency supercapacitors. Carbon 2021, 185, 630–640. [Google Scholar] [CrossRef]
- Islam, N.; Hoque, M.N.F.; Zu, Y.; Wang, S.; Fan, Z. Carbon nanofiber aerogel converted from bacterial cellulose for kilohertz AC-supercapacitors. MRS Adv. 2018, 3, 855–860. [Google Scholar] [CrossRef]









| Electrodes | Specific Capacitance (F·g–1) | Energy Density (Wh·kg–1) | Power Density (W·kg–1) | References |
|---|---|---|---|---|
| Graphene/Fe2O3 | 378.7 | 64.09 | 800.01 | [13] |
| WO3/GO | 143.6 | // | // | [21] |
| WO3 | 32.4 | // | // | [21] |
| Graphene–WO3 nanowire | 465 | 25 | 6000 | [21] |
| WO3/Se(ASC) | 0.858 | 0.047 | 0.345 | [42] |
| WO3–MnO2 | 103 | 24.13 | 915 | [43] |
| WO3/SnO2 | 530 | 35 | 468 | [44] |
| Graphene/PEDOT | 270 | 34 | 25000 | [45] |
| Graphene/SnO2/PEDOT | 183 | 22.8 | 238.4 | [46] |
| GO/PEDOT:PSS | 155 | 10.79 | 1.53 | [47] |
| PEDOT:PSS/MnO2/GO | 841 | 593 | // | [48] |
| GO/Glucose/PEDOT: PSS | 19.72 | // | // | [49] |
| Graphene/PEDOT:PSS/Ecoflex | 82.4 | 11.44 | 131.58 | [50] |
| WO3–GO | 345.3 | 29.7 | 585 | This work |
| PEDOT@WO3–GO | 478.3 | 54.2 | 971 | This work |
Disclaimer/Publisher’s Note: The statements, opinions and data contained in all publications are solely those of the individual author(s) and contributor(s) and not of MDPI and/or the editor(s). MDPI and/or the editor(s) disclaim responsibility for any injury to people or property resulting from any ideas, methods, instructions or products referred to in the content. |
© 2023 by the authors. Licensee MDPI, Basel, Switzerland. This article is an open access article distributed under the terms and conditions of the Creative Commons Attribution (CC BY) license (https://creativecommons.org/licenses/by/4.0/).
Share and Cite
Memou, C.H.; Bekhti, M.A.; Kiari, M.; Benyoucef, A.; Alelyani, M.; Alqahtani, M.S.; Alshihri, A.A.; Bakkour, Y. Fabrication and Characterization of a Poly(3,4-ethylenedioxythiophene)@Tungsten Trioxide–Graphene Oxide Hybrid Electrode Nanocomposite for Supercapacitor Applications. Nanomaterials 2023, 13, 2664. https://doi.org/10.3390/nano13192664
Memou CH, Bekhti MA, Kiari M, Benyoucef A, Alelyani M, Alqahtani MS, Alshihri AA, Bakkour Y. Fabrication and Characterization of a Poly(3,4-ethylenedioxythiophene)@Tungsten Trioxide–Graphene Oxide Hybrid Electrode Nanocomposite for Supercapacitor Applications. Nanomaterials. 2023; 13(19):2664. https://doi.org/10.3390/nano13192664
Chicago/Turabian StyleMemou, Cherifa Hakima, Mohamed Amine Bekhti, Mohamed Kiari, Abdelghani Benyoucef, Magbool Alelyani, Mohammed S. Alqahtani, Abdulaziz A. Alshihri, and Youssef Bakkour. 2023. "Fabrication and Characterization of a Poly(3,4-ethylenedioxythiophene)@Tungsten Trioxide–Graphene Oxide Hybrid Electrode Nanocomposite for Supercapacitor Applications" Nanomaterials 13, no. 19: 2664. https://doi.org/10.3390/nano13192664
APA StyleMemou, C. H., Bekhti, M. A., Kiari, M., Benyoucef, A., Alelyani, M., Alqahtani, M. S., Alshihri, A. A., & Bakkour, Y. (2023). Fabrication and Characterization of a Poly(3,4-ethylenedioxythiophene)@Tungsten Trioxide–Graphene Oxide Hybrid Electrode Nanocomposite for Supercapacitor Applications. Nanomaterials, 13(19), 2664. https://doi.org/10.3390/nano13192664

