Compact Ga2O3 Thin Films Deposited by Plasma Enhanced Atomic Layer Deposition at Low Temperature
Abstract
:1. Introduction
2. Materials and Methods
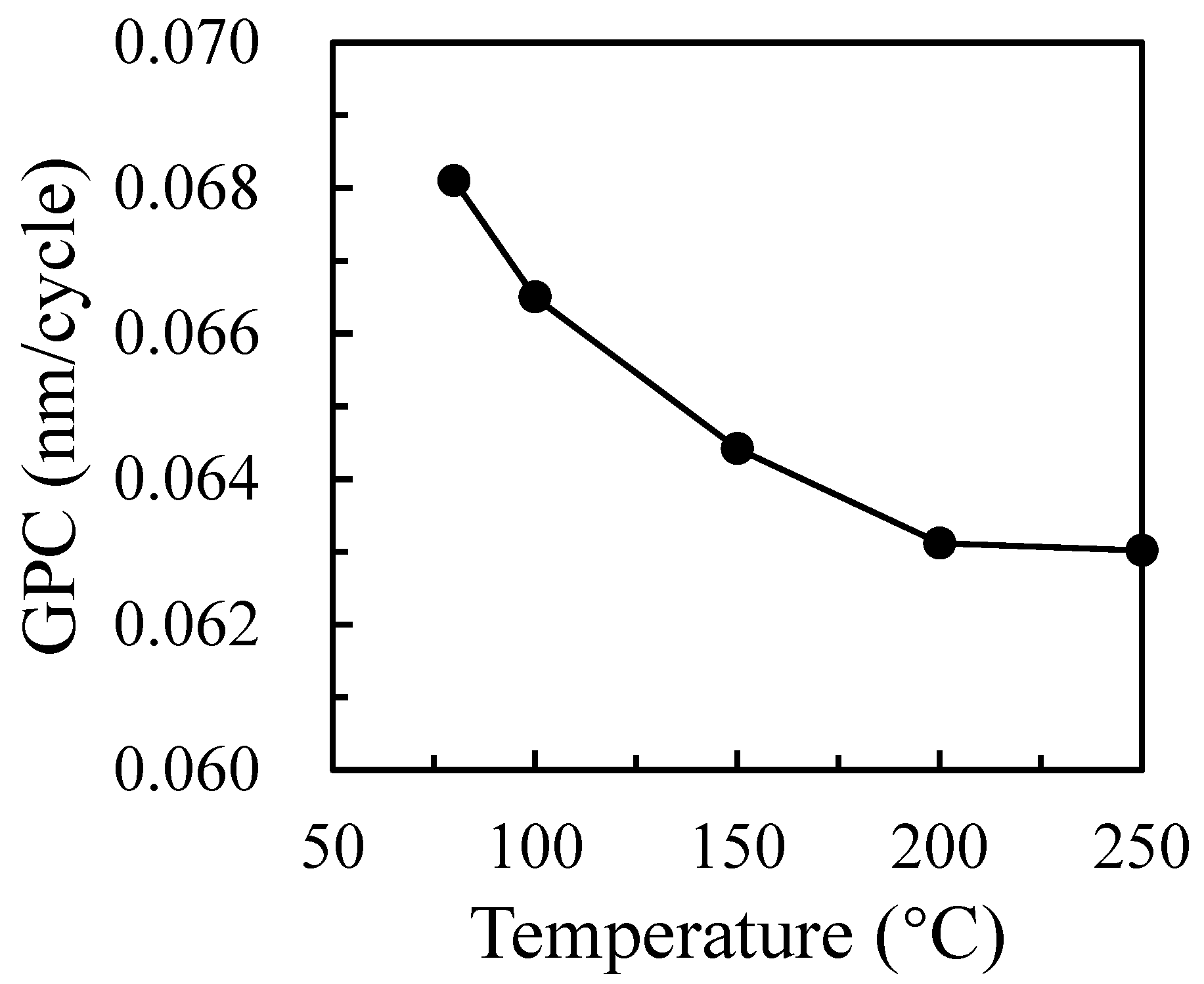
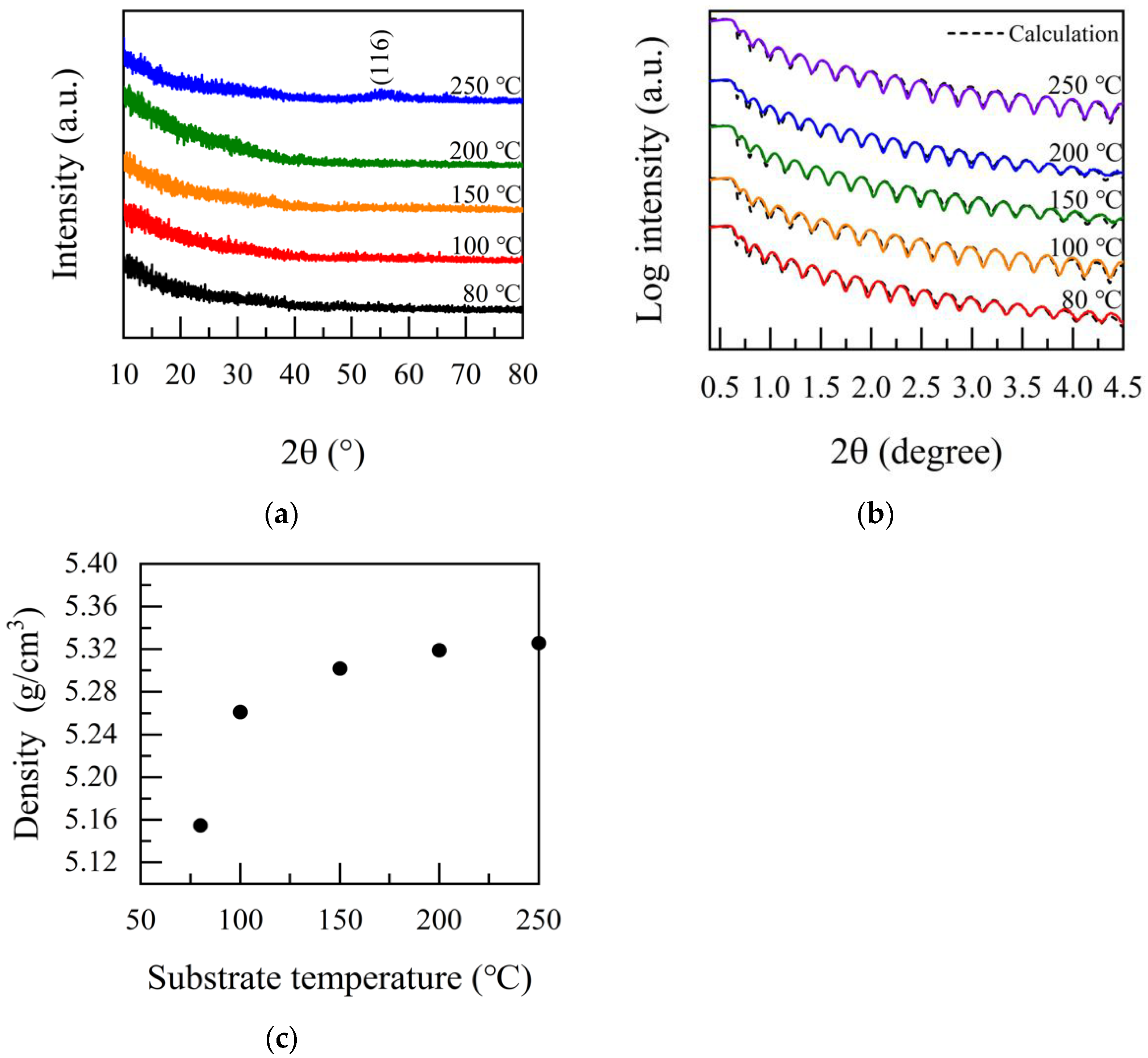
3. Results and Discussion
4. Conclusions
Author Contributions
Funding
Institutional Review Board Statement
Informed Consent Statement
Data Availability Statement
Conflicts of Interest
References
- Pintor-Monroy, M.I.; Murillo-Borjas, B.L.; Quevedo-Lopez, M.A. Nanocrystalline and Polycrystalline β-Ga2O3 Thin Films for Deep Ultraviolet Detectors. ACS Appl. Electron. Mater. 2020, 2, 3358. [Google Scholar] [CrossRef]
- Oshima, T.; Okuno, T.; Arai, N.; Suzuki, N.; Ohira, S.; Fujita, S. Vertical Solar-Blind Deep-Ultraviolet Schottky Photodetectors Based on β-Ga2O3 Substrates. Appl. Phys. Express 2008, 1, 011202. [Google Scholar] [CrossRef]
- Nakagomi, S.; Sakai, T.; Kikuchi, K.; Kokubun, Y. β-Ga2O3/p-Type 4H-SiC Heterojunction Diodes and Applications to Deep-UV Photodiodes. Phys. Status Solidi A 2019, 216, 1700796. [Google Scholar] [CrossRef]
- Atilgan, A.; Yildiz, A.; Harmanci, U.; Gulluoglu, M.T.; Salimi, K. β-Ga2O3 Nanoflakes/p-Si Heterojunction Self-Powered Photodiodes. Mater. Today Commun. 2020, 24, 101105. [Google Scholar] [CrossRef]
- Hernandez, A.; Islam, M.M.; Saddatkia, P.; Codding, C.; Dulal, P.; Agarwal, S.; Janover, A.; Novak, S.; Huang, M.; Dang, T.; et al. MOCVD Growth and Characterization of Conductive Homoepitaxial Si-Doped Ga2O3. Results Phys. 2021, 25, 104167. [Google Scholar] [CrossRef]
- Wu, Z.; Jiang, Z.; Song, P.; Tian, P.; Hu, L.; Liu, R.; Fang, Z.; Kang, J.; Zhang, T. Nanowire-Seeded Growth of Single-Crystalline (010) β-Ga2O3 Nanosheets with High Field-Effect Electron Mobility and On/Off Current Ratio. Small 2019, 15, 1900580. [Google Scholar] [CrossRef]
- Singh, M.; Casbon, M.A.; Uren, M.J.; Pomeroy, J.W.; Dalcanale, S.; Karboyan, S.; Tasker, P.J.; Wong, M.H.; Sasaki, K.; Kuramata, A.; et al. Pulsed Large Signal RF Performance of Field-Plated Ga2O3 MOSFETs. IEEE Electron Device Lett. 2018, 39, 1572. [Google Scholar] [CrossRef] [Green Version]
- Singh, A.K.; Gupta, M.; Sathe, V.; Katharria, Y.S. Effect of Annealing Temperature on β-Ga2O3 Thin Films Deposited by RF Sputtering Method. Superlattices Microstruct. 2021, 156, 106976. [Google Scholar] [CrossRef]
- Yadav, M.K.; Mondal, A.; Das, S.; Sharma, S.K.; Bag, A. Impact of Annealing Temperature on Band-Alignment of PLD Grown Ga2O3/Si (100) Heterointerface. J. Alloys Compd. 2020, 819, 153052. [Google Scholar] [CrossRef]
- Shen, H.; Baskaran, K.; Yin, Y.; Tian, K.; Duan, L.; Zhao, X.; Tiwari, A. Effect of Thickness on the Performance of Solar Blind Photodetectors Fabricated Using PLD Grown β-Ga2O3 Thin Films. J. Alloys Compd. 2020, 822, 153419. [Google Scholar] [CrossRef]
- Sasaki, K.; Higashiwaki, M.; Kuramata, A.; Masui, T.; Yamakoshi, S. MBE Grown Ga2O3 and Its Power Device Applications. J. Cryst. Growth 2013, 378, 591. [Google Scholar] [CrossRef]
- Pratiyush, A.S.; Xia, Z.; Kumar, S.; Zhang, Y.; Joishi, C.; Muralidharan, R.; Rajan, S.; Nath, D.N. MBE-Grown β-Ga2O3-Based Schottky UV-C Photodetectors With Rectification Ratio ~107. IEEE Photonics Technol. Lett. 2018, 30, 2025. [Google Scholar] [CrossRef]
- Li, Z.; Jiao, T.; Yu, J.; Hu, D.; Lv, Y.; Li, W.; Dong, X.; Zhang, B.; Zhang, Y.; Feng, Z.; et al. Single Crystalline β-Ga2O3 Homoepitaxial Films Grown by MOCVD. Vacuum 2020, 178, 109440. [Google Scholar] [CrossRef]
- Cao, Q.; He, L.; Xiao, H.; Feng, X.; Lv, Y.; Ma, J. β-Ga2O3 Epitaxial Films Deposited on Epi-GaN/Sapphire (0001) Substrates by MOCVD. Mater. Sci. Semicond. Process. 2018, 77, 58. [Google Scholar] [CrossRef]
- Dezelah, C.; Niinistö, J.; Arstila, K.; Niinistö, L.; Winter, C.H. Atomic Layer Deposition of Ga2O3 Films from a Dialkylamido-Based Precursor. Chem. Mater. 2006, 18, 471. [Google Scholar] [CrossRef]
- Lee, S.H.; Lee, K.M.; Lee, S.W. Influences of Process Temperature on a Phase of Ga2O3 Thin Films Grown by Atomic Layer Deposition on Sapphire. Bull. Korean Chem. Soc. 2020, 41, 1190. [Google Scholar] [CrossRef]
- Hiller, D.; Julin, J.; Chnani, A.; Strehle, S. Silicon Surface Passivation by ALD-Ga2O3: Thermal vs. Plasma-Enhanced Atomic Layer Deposition. IEEE J. Photovolt. 2020, 10, 959. [Google Scholar] [CrossRef]
- Choi, D.; Chung, K.-B.; Park, J.-S. Low Temperature Ga2O3 Atomic Layer Deposition Using Gallium Tri-Isopropoxide and Water. Thin Solid Films 2013, 546, 31. [Google Scholar] [CrossRef]
- Ilhom, S.; Mohammad, A.; Shukla, D.; Grasso, J.; Willis, B.G.; Okyay, A.K.; Biyikli, N. Low-Temperature As-Grown Crystalline β-Ga2O3 Films via Plasma-Enhanced Atomic Layer Deposition. ACS Appl. Mater. Interfaces 2021, 13, 8538. [Google Scholar] [CrossRef]
- Ramachandran, R.K.; Dendooven, J.; Botterman, J.; Sree, S.P.; Poelman, D.; Martens, J.A.; Poelman, H.; Detavernier, C. Plasma Enhanced Atomic Layer Deposition of Ga2O3 Thin Films. J. Mater. Chem. A 2014, 2, 19232. [Google Scholar] [CrossRef]
- Zhang, X.-Y.; Yang, Y.; Zhang, Z.-X.; Geng, X.-P.; Hsu, C.-H.; Wu, W.-Y.; Lien, S.-Y.; Zhu, W.-Z. Deposition and Characterization of RP-ALD SiO2 Thin Films with Different Oxygen Plasma Powers. Nanomaterials 2021, 11, 1173. [Google Scholar] [CrossRef] [PubMed]
- Hsu, C.-H.; Zhang, Z.-X.; Huang, P.-H.; Wu, W.-Y.; Ou, S.-L.; Lien, S.-Y.; Huang, C.-J.; Lee, M.-K.; Zhu, W.-Z. Effect of Plasma Power on the Structural Properties of Tin Oxide Prepared by Plasma-Enhanced Atomic Layer Deposition. Ceram. Int. 2021, 47, 8634. [Google Scholar] [CrossRef]
- Wang, C.; Li, S.-W.; Fan, W.-H.; Zhang, Y.-C.; Zhang, X.-Y.; Guo, R.-R.; Lin, H.-J.; Lien, S.-Y.; Zhu, W.-Z. Structural, Optical and Morphological Evolution of Ga2O3/Al2O3 (0001) Films Grown at Various Temperatures by Pulsed Laser Deposition. Ceram. Int. 2021, 47, 29748. [Google Scholar] [CrossRef]
- Dai, T.; Ren, Y.; Qian, L.; Liu, X. Characterization of Molybdenum Oxide Thin Films Grown by Atomic Layer Deposition. J. Electr. Mater. 2018, 47, 6709. [Google Scholar] [CrossRef]
- Werfel, F.; Minni, E.J. Photoemission Study of the Electronic Structure of Mo and Mo Oxides. Phys. C Solid State Phys. 1983, 16, 6091. [Google Scholar] [CrossRef]
- Mitchell, D.F.; Sproule, G.I.; Graham, M.J. Sputter Reduction of Oxides by Ion Bombardment during Auger Depth Profile Analysis. Surf. Interface Anal. 1990, 15, 487. [Google Scholar] [CrossRef]
- Kohli, S.; Rithner, C.D.; Dorhout, P.K.; Dummer, A.M.; Menoni, C.S. Comparison of Nanometer-Thick Films by X-Ray Reflectivity and Spectroscopic Ellipsometry. Rev. Sci. Instrum. 2005, 76, 023906. [Google Scholar] [CrossRef] [Green Version]
- Li, X.; Lu, H.-L.; Ma, H.-P.; Yang, J.-G.; Chen, J.-X.; Huang, W.; Guo, Q.; Feng, J.-J.; Zhang, D.W. Chemical, Optical, and Electrical Characterization of Ga2O3 Thin Films Grown by Plasma-Enhanced Atomic Layer Deposition. Curr. Appl. Phys. 2019, 19, 72. [Google Scholar] [CrossRef]
- Stepanov, S.I.; Nikolaev, V.I.; Bougrov, V.E.; Romanov, A.E. Gallium Oxide: Properties and Applications—A Review. Rev. Adv. Mater. Sci. 2016, 44, 63. [Google Scholar]
- Víllora, E.G.; Arjoca, S.; Shimamura, K.; Inomata, D.; Aoki, K. β-Ga2O3 and Single-Crystal Phosphors for High-Brightness White LEDs and LDs, and β-Ga2O3 Potential for next Generation of Power Devices. In Proceedings of the Oxide-Based Materials and Devices V, San Francisco, CA, USA, 8 March 2014; SPIE: Bellingham, WA, USA, 2014; Volume 8987, pp. 371–382. [Google Scholar]
- Yu, Z.; Overgaard, C.D.; Droopad, R.; Passlack, M.; Abrokwah, J.K. Growth and Physical Properties of Ga2O3 Thin Films on GaAs(001) Substrate by Molecular-Beam Epitaxy. Appl. Phys. Lett. 2003, 82, 2978. [Google Scholar] [CrossRef]
- Passlack, M.; Schubert, E.F.; Hobson, W.S.; Hong, M.; Moriya, N.; Chu, S.N.G.; Konstadinidis, K.; Mannaerts, J.P.; Schnoes, M.L.; Zydzik, G.J. Ga2O3 Films for Electronic and Optoelectronic Applications. J. Appl. Phys. 1995, 77, 686. [Google Scholar] [CrossRef]
- Nieminen, M.; Niinistö, L.; Rauhala, E. Growth of Gallium Oxide Thin Films from Gallium Acetylacetonate by Atomic Layer Epitaxy. J. Mater. Chem. 1996, 6, 27. [Google Scholar] [CrossRef]
- O’Donoghue, R.; Rechmann, J.; Aghaee, M.; Rogalla, D.; Becker, H.-W.; Creatore, M.; Wieck, A.D.; Devi, A. Low Temperature Growth of Gallium Oxide Thin Films via Plasma Enhanced Atomic Layer Deposition. Dalton Trans. 2017, 46, 16551. [Google Scholar] [CrossRef] [PubMed]
- Liu, H.; Xu, C.; Pan, X.; Ye, Z. The Photoluminescence Properties of β-Ga2O3 Thin Films. J. Electr. Mater. 2020, 49, 4544. [Google Scholar] [CrossRef]
- Yang, H.; Qian, Y.; Zhang, C.; Wuu, D.-S.; Talwar, D.N.; Lin, H.-H.; Lee, J.-F.; Wan, L.; He, K.; Feng, Z.C. Surface/Structural Characteristics and Band Alignments of Thin Ga2O3 Films Grown on Sapphire by Pulse Laser Deposition. Appl. Surf. Sci. 2019, 479, 1246. [Google Scholar] [CrossRef]
- Chen, Y.; Lu, Y.; Yang, X.; Li, S.; Li, K.; Chen, X.; Xu, Z.; Zang, J.; Shan, C. Bandgap Engineering of Gallium Oxides by Crystalline Disorder. Mater. Today Phys. 2021, 18, 100369. [Google Scholar] [CrossRef]
- Ramana, C.V.; Rubio, E.J.; Barraza, C.D.; Gallardo, A.M.; McPeak, S.; Kotru, S.; Grant, J.T. Chemical Bonding, Optical Constants, and Electrical Resistivity of Sputter-Deposited Gallium Oxide Thin Films. J. Appl. Phys. 2014, 115, 043508. [Google Scholar] [CrossRef] [Green Version]
- Altuntas, H.; Donmez, I.; Ozgit-Akgun, C.; Biyikli, N. Effect of Postdeposition Annealing on the Electrical Properties of β-Ga2O3 Thin Films Grown on p-Si by Plasma-Enhanced Atom-ic Layer Deposition. J. Vac. Sci. Technol. A Vac. Surf. Films 2014, 32, 041504. [Google Scholar] [CrossRef] [Green Version]
- Donmez, I.; -Akgun, C.O.; Biyikli, N. Low Temperature Deposition of Ga2O3 Thin Films Using Trimethylgallium and Oxygen Plasma. J. Vac. Sci. Technol. A 2013, 31, 01A110. [Google Scholar] [CrossRef]
- Lavalley, J.C.; Daturi, M.; Montouillout, V.; Clet, G.; Areán, C.O.; Delgado, M.R.; Sahibed-dine, A. Unexpected Similarities between the Surface Chemistry of Cubic and Hexagonal Gallia Polymorphs. Phys. Chem. Chem. Phys. 2003, 5, 1301. [Google Scholar] [CrossRef]
- Rodríguez, C.I.M.; Álvarez, M.Á.L.; Rivera, J.d.F.; Arízaga, G.G.C.; Michel, C.R. α-Ga2O3 as a Photocatalyst in the Degradation of Malachite Green. ECS J. Solid State Sci. Technol. 2019, 8, Q3180. [Google Scholar] [CrossRef]
- Vega, E.; Isukapati, S.B.; Oder, T.N. Microstructure and Optical Properties of Sputter-Deposited Ga2O3 Films. J. Vac. Sci. Technol. A 2021, 39, 033412. [Google Scholar] [CrossRef]
- Mahmoodinezhad, A.; Janowitz, C.; Naumann, F.; Plate, P.; Gargouri, H.; Henkel, K.; Schmeißer, D.; Flege, J.I. Low-Temperature Growth of Gallium Oxide Thin Films by Plasma-Enhanced Atomic Layer Deposition. J. Vac. Sci. Technol. A 2020, 38, 022404. [Google Scholar] [CrossRef]






| Parameters | Value |
|---|---|
| Bubbler temperature (°C) | 0 |
| Substrate temperature (°C) | 80–250 |
| tmga pulse time (s) | 0.2 |
| tmga purge time (s) | 4 |
| O2 pulse time (s) | 28 |
| O2 flow stabilization (s) | 1.4 |
| O2 RF power on (s) | 26 |
| O2 purge time (s) | 4 |
| Flow rate of Ar (sccm) | 80 |
| Flow rate of O2 (sccm) | 380 |
| O2 plasma power (W) | 2500 |
| tmga carry gas (sccm) | 120 |
| tmga dilute gas (sccm) | 400 |
| Deposition Technique | Thickness | Density (g/cm3) | Roughness (nm) | Temperature (°C) | Ref. |
|---|---|---|---|---|---|
| RF sputtering | 89.9–103 | 5.28 | 0.88 | 500 | [8] |
| MBE | 12.7–95.4 | 5.30 ± 0.06 | 0.2–0.3 | 350–500 | [31] |
| e-beam evap. | 40 | 5.15 | - | 40 | [32] |
| PEALD | 30 | 5.3 | 0.44 | 120 | [34] |
| PEALD | 37.8 | 5.33 | 0.187 | 250 | This work |
Publisher’s Note: MDPI stays neutral with regard to jurisdictional claims in published maps and institutional affiliations. |
© 2022 by the authors. Licensee MDPI, Basel, Switzerland. This article is an open access article distributed under the terms and conditions of the Creative Commons Attribution (CC BY) license (https://creativecommons.org/licenses/by/4.0/).
Share and Cite
Yang, Y.; Zhang, X.-Y.; Wang, C.; Ren, F.-B.; Zhu, R.-F.; Hsu, C.-H.; Wu, W.-Y.; Wuu, D.-S.; Gao, P.; Ruan, Y.-J.; et al. Compact Ga2O3 Thin Films Deposited by Plasma Enhanced Atomic Layer Deposition at Low Temperature. Nanomaterials 2022, 12, 1510. https://doi.org/10.3390/nano12091510
Yang Y, Zhang X-Y, Wang C, Ren F-B, Zhu R-F, Hsu C-H, Wu W-Y, Wuu D-S, Gao P, Ruan Y-J, et al. Compact Ga2O3 Thin Films Deposited by Plasma Enhanced Atomic Layer Deposition at Low Temperature. Nanomaterials. 2022; 12(9):1510. https://doi.org/10.3390/nano12091510
Chicago/Turabian StyleYang, Yue, Xiao-Ying Zhang, Chen Wang, Fang-Bin Ren, Run-Feng Zhu, Chia-Hsun Hsu, Wan-Yu Wu, Dong-Sing Wuu, Peng Gao, Yu-Jiao Ruan, and et al. 2022. "Compact Ga2O3 Thin Films Deposited by Plasma Enhanced Atomic Layer Deposition at Low Temperature" Nanomaterials 12, no. 9: 1510. https://doi.org/10.3390/nano12091510
APA StyleYang, Y., Zhang, X.-Y., Wang, C., Ren, F.-B., Zhu, R.-F., Hsu, C.-H., Wu, W.-Y., Wuu, D.-S., Gao, P., Ruan, Y.-J., Lien, S.-Y., & Zhu, W.-Z. (2022). Compact Ga2O3 Thin Films Deposited by Plasma Enhanced Atomic Layer Deposition at Low Temperature. Nanomaterials, 12(9), 1510. https://doi.org/10.3390/nano12091510

