Integrated Source of Path-Entangled Photon Pairs with Efficient Pump Self-Rejection
Abstract
1. Introduction
2. Scheme
3. Results and Discussions
3.1. Operational Regime
3.2. Quantum Perturbation Theory
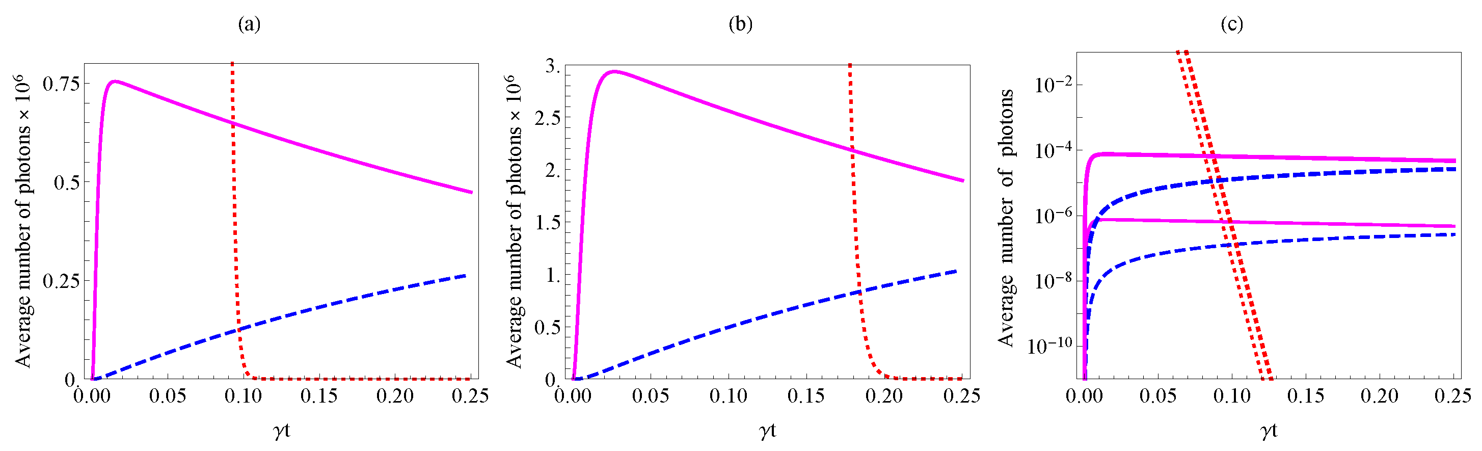
3.3. Realizations
3.4. Extention to NOON States
4. Conclusions
Author Contributions
Funding
Conflicts of Interest
Appendix A. Heisenberg-Picture Operator Perturbation Expansion for the Photon Number
Appendix B. NOON State Generator
References
- Pirandola, S.; Bardhan, B.R.; Gehring, T.; Weedbrook, C.; Lloyd, S. Advances in photonic quantum sensing. Nat. Phot. 2018, 12, 724. [Google Scholar] [CrossRef]
- Moreau, P.-A.; Toninelli, E.; Gregory, T.; Padgett, M.J. Imaging with quantum states of light. Nat. Rev. Phys. 2019, 1, 367. [Google Scholar] [CrossRef]
- Berchera, I.R.; Degiovanni, I.P. Quantum imaging with sub-Poissonian light: Challenges and perspectives in optical metrology. Metrologia 2019, 56, 024001. [Google Scholar] [CrossRef]
- Agrawal, G.P. Nonlinear Fiber Optics, 3rd ed.; Academic Press: New York, NY, USA, 1995. [Google Scholar]
- Fiorentino, M.; Voss, P.L.; Sharping, J.E.; Kumar, P. All-fiber photon-pair source for quantum communications. IEEE Photonics Technol. Lett. 2002, 14, 983–985. [Google Scholar] [CrossRef]
- Caspani, L.; Xiong, C.; Eggleton, B.; Bajoni, D.; Liscidini, M.; Galli, M.; Morandotti, R.; Moss, D.J. Integrated sources of photon quantum states based on nonlinear optics. Light Sci. Appl. 2017, 6, e17100. [Google Scholar] [CrossRef] [PubMed]
- Knill, E.; Laflamme, R.; Milburn, G.J. A scheme for efficient quantum computation with linear optics. Nature 2001, 409, 46. [Google Scholar] [CrossRef] [PubMed]
- Diamanti, E.; Lo, H.-K.; Qi, B.; Yuan, Z. Practical challenges in quantum key distribution. NPJ Quant. Inf. 2016, 2, 16025. [Google Scholar] [CrossRef]
- Solntsev, A.S.; Sukhorukov, A.A. Path-entangled photon sources on nonlinear chips. Rev. Phys. 2017, 2, 19–31. [Google Scholar] [CrossRef]
- Silverstone, J.W.; Bonneau, D.; O’Brien, J.L.; Thompson, M.G. Silicon Quantum Photonics. IEEE J. Sel. Top. Quantum Electron. 2016, 22, 390. [Google Scholar] [CrossRef]
- Kruse, R.; Sansoni, L.; Brauner, S.; Ricken, R.; Hamilton, C.S.; Jex, I.; Silberhorn, C. Dual-path source engineering in integrated quantum optics. Phys. Rev. A 2015, 92, 053841. [Google Scholar] [CrossRef]
- Oser, D.; Tanzilli, S.; Mazeas, F.; Alonso-Ramos, C.; Roux, X.L.; Sauder, G.; Hua, X.; Alibart, O.; Vivien, L.; Cassan, É.; et al. High-quality photonic entanglement out of a stand-alone silicon chip. NPJ Quantum Inf. 2020, 6, 31. [Google Scholar] [CrossRef]
- Piekarek, M.; Bonneau, D.; Miki, S.; Yamashita, T.; Fujiwara, M.; Sasaki, M.; Terai, H.; Tanner, M.G.; Natarajan, C.M.; Hadfield, R.H.; et al. High-extinction ratio integrated photonic filters for silicon quantum photonics. Opt. Lett. 2017, 42, 815. [Google Scholar] [CrossRef] [PubMed]
- Pérez-Galacho, D.; Alonso-Ramos, C.; Mazeas, F.; Roux, X.L.; Oser, D.; Zhang, W.; Marris-Morini, D.; Labonte, L.; Tanzilli, S.; Cassan, É.; et al. Optical pump-rejection filter based on silicon sub-wavelength engineered photonic structures. Opt. Lett. 2017, 42, 1468. [Google Scholar] [CrossRef] [PubMed]
- Minkov, M.; Savona, V. A compact, integrated silicon device for the generation of spectrally filtered, pair-correlated photons. J. Opt. 2016, 18, 054012. [Google Scholar] [CrossRef]
- Wu, C.W.; Solntsev, A.S.; Neshev, D.N.; Sukhorukov, A.A. Photon pair generation and pump filtering in nonlinear adiabatic waveguiding structures. Opt. Lett. 2014, 39, 953. [Google Scholar] [CrossRef] [PubMed]
- Solntsev, A.S.; Liu, T.; Boes, A.; Nguyen, T.G.; Wu, C.W.; Setzpfandt, F.; Mitchell, A.; Neshev, D.N.; Sukhorukov, A.A. Towards on-chip photon-pair bell tests: Spatial pump filtering in a LiNbO3 adiabatic coupler. Appl. Phys. Lett. 2017, 111, 261108. [Google Scholar] [CrossRef]
- Mitchell, M.; Lundeen, J.; Steinberg, A. Super-resolving phase measurements with a multiphoton entangled state. Nature 2004, 429, 161–164. [Google Scholar] [CrossRef]
- Dowling, J.P. Quantum optical metrology–the lowdown on high-N00N states. Contemp. Phys. 2008, 49, 125–143. [Google Scholar] [CrossRef]
- Kowalewska-Kudłaszyk, A.; Leoński, W.; Peřina, J., Jr. Generalized Bell states generation in a parametrically excited nonlinear coupler. Phys. Scr. 2012, 2012, 014016. [Google Scholar] [CrossRef]
- Olsen, M.K. Spreading of entanglement and steering along small Bose-Hubbard chains. Phys. Rev. 2015, 92, 033627. [Google Scholar] [CrossRef]
- Kalaga, J.K.; Leoński, W.; Szczȩśniak, R. Quantum steering and entanglement in three-mode triangle Bose–Hubbard system. Quantum Inf. Process. 2017, 16, 265. [Google Scholar] [CrossRef]
- Peřina, J., Jr.; Peřina, J. Quantum Statistics of Nonlinear Optical Couplers; Progress in Optics; Wolf, E., Ed.; Elsevier: Amsterdam, The Netherlands, 2000; p. 361. [Google Scholar]
- Korolkova, N.; Peřina, J. Quantum statistics and dynamics of Kerr nonlinear couplers. Opt. Commun. 1997, 136, 135–149. [Google Scholar] [CrossRef]
- Korolkova, N.; Peřina, J. Kerr nonlinear coupler with varying linear coupling coefficient. J. Mod. Opt. 1997, 44, 1525–1534. [Google Scholar] [CrossRef]
- Thapliyal, K.; Pathak, A.; Sen, B.; Peřina, J. Higher-order nonclassicalities in a codirectional nonlinear optical coupler: Quantum entanglement, squeezing, and antibunching. Phys. Rev. A 2014, 90, 013808. [Google Scholar] [CrossRef]
- Mogilevtsev, D.; Korolkova, N.; Peřina, J. Band-gap quantum coupler. J. Mod. Opt. 1997, 44, 1293–1307. [Google Scholar] [CrossRef]
- Meany, T.; Gräfe, M.; Heilmann, R.; Perez-Leija, A.; Gross, S.; Steel, M.J.; Withford, M.J.; Szameit, A. Laser written circuits for quantum photonics. Laser Photonics Rev. 2015, 9, 363–384. [Google Scholar] [CrossRef]
- Mogilevtsev, D.; Shchesnovich, V.S. Single-photon generation by correlated loss in a three-core optical fiber. Opt. Lett. 2010, 35, 3375. [Google Scholar] [CrossRef]
- Mukherjee, S.; Mogilevtsev, D.; Slepyan, G.Y.; Doherty, T.H.; Thomson, R.R.; Korolkova, N. Dissipatively coupled waveguide networks for coherent diffusive photonics. Nat. Commun. 2017, 8, 1909. [Google Scholar] [CrossRef]
- Thornton, M.; Sakovich, A.; Mikhalychev, A.; Ferrer, J.D.; Hoz, P.d.; Korolkova, N.; Mogilevtsev, D. Coherent Diffusive Photon Gun for Generating Nonclassical States. Phys. Rev. Appl. 2019, 12, 064051. [Google Scholar] [CrossRef]
- Shchesnovich, V.; Mogilevtsev, D. Three-site Bose-Hubbard model subject to atom losses: Boson-pair dissipation channel and failure of the mean-field approach. Phys. Rev. A 2010, 82, 043621. [Google Scholar] [CrossRef]
- Nasu, Y.; Kohtoku, M.; Hibino, Y. Low-loss waveguides written with a femtosecond laser for flexible interconnection in a planar light-wave circuit. Opt. Lett. 2005, 30, 723. [Google Scholar] [CrossRef] [PubMed]
- Gross, S.; Withford, M.J. Ultrafast-laser-inscribed 3D integrated photonics: Challenges and emerging applications. Nanophotonics 2015, 4, 332. [Google Scholar] [CrossRef]
- Russell, P.S.J. Photonic crystal fibers. Science 2003, 299, 358. [Google Scholar] [CrossRef] [PubMed]
- Nielsen, M.D.; Jacobsen, C.; Mortensen, N.A.; Folkenberg, J.R.; Simonsen, H.R. Low-loss photonic crystal fibers for transmission systems and their dispersion properties. Opt. Exp. 2004, 12, 1372. [Google Scholar] [CrossRef]
- Thomson, D.; Zilkie, A.; Bowers, J.E.; Komljenovic, T.; Reed, G.T.; Vivien, L.; Marris-Morini, D.; Cassan, E.; Virot, L.; Fedeli, J.-M.; et al. Roadmap on silicon photonics. J. Opt. 2016, 18, 073003. [Google Scholar] [CrossRef]
- Augustin, L.M.; Santos, R.; den Haan, E.; Kleijn, S.; Thijs, P.A.; Latkowski, S.; Zhao, D.; Yao, W.; Bolk, J.; Ambrosius, H.; et al. InP-Based Generic Foundry Platform for Photonic Integrated Circuits. IEEE J. Sel. Top. Quantum Electron. 2018, 24, 10. [Google Scholar] [CrossRef]
- Dong, P.; Qian, W.; Liao, S.; Liang, H.; Kung, C.; Feng, N.; Shafiiha, R.; Fong, J.; Feng, D.; Krishnamoorthy, A.V.; et al. Low loss shallow-ridge silicon waveguides. Opt. Exp. 2010, 18, 14474. [Google Scholar] [CrossRef]
- Sato, T.; Makino, S.; Ishizaka, Y.; Fujisawa, T.; Saitoh, K. A rigorous definition of nonlinear parameter and effective area Aeff for photonic crystal optical waveguides. JOSA B 2015, 32, 1245. [Google Scholar] [CrossRef]
- Agrawal, G. Nonlinear Fiber Optics; Elsevier Academic Press: Amsterdam, The Netherlands, 2013. [Google Scholar]
- Clark, A.S.; Collins, M.J.; Judge, A.C.; Magi, E.C.; Xiong, C.; Eggleton, B.J. Raman scattering effects on correlated photon-pair generation in chalcogenide. Opt. Exp. 2012, 20, 16807. [Google Scholar] [CrossRef]
- Dezfouli, M.K.; Dignam, M.M.; Steel, M.J.; Sipe, J.E. Heisenberg treatment of pair generation in lossy coupled-cavity systems. Phys. Rev. A 2014, 90, 043832. [Google Scholar] [CrossRef]






© 2020 by the authors. Licensee MDPI, Basel, Switzerland. This article is an open access article distributed under the terms and conditions of the Creative Commons Attribution (CC BY) license (http://creativecommons.org/licenses/by/4.0/).
Share and Cite
de la Hoz, P.; Sakovich, A.; Mikhalychev, A.; Thornton, M.; Korolkova, N.; Mogilevtsev, D. Integrated Source of Path-Entangled Photon Pairs with Efficient Pump Self-Rejection. Nanomaterials 2020, 10, 1952. https://doi.org/10.3390/nano10101952
de la Hoz P, Sakovich A, Mikhalychev A, Thornton M, Korolkova N, Mogilevtsev D. Integrated Source of Path-Entangled Photon Pairs with Efficient Pump Self-Rejection. Nanomaterials. 2020; 10(10):1952. https://doi.org/10.3390/nano10101952
Chicago/Turabian Stylede la Hoz, Pablo, Anton Sakovich, Alexander Mikhalychev, Matthew Thornton, Natalia Korolkova, and Dmitri Mogilevtsev. 2020. "Integrated Source of Path-Entangled Photon Pairs with Efficient Pump Self-Rejection" Nanomaterials 10, no. 10: 1952. https://doi.org/10.3390/nano10101952
APA Stylede la Hoz, P., Sakovich, A., Mikhalychev, A., Thornton, M., Korolkova, N., & Mogilevtsev, D. (2020). Integrated Source of Path-Entangled Photon Pairs with Efficient Pump Self-Rejection. Nanomaterials, 10(10), 1952. https://doi.org/10.3390/nano10101952

